Artículos
Recepción: 02 Julio 2020
Aprobación: 05 Abril 2022
DOI: https://doi.org/10.5944/empiria.55.2022.34182
Resumen: Los Objetivos de Desarrollo Sostenible (ODS) para el 2030 se constituyen en metas a las que adhieren casi todos los gobiernos del mundo, y es la primera vez que acuerdan un objetivo de pobreza multidimensional que incluye explícitamente a los niños/as. En la última década, son muchos los aportes que se han realizado desde lo conceptual y metodológico a la construcción de medidas de pobreza multidimensionales y en particular orientadas a la medición del fenómeno de la pobreza infantil. Estas propuestas, en algunos casos, retoman la perspectiva de las capacidades de Sen, o bien el enfoque de derechos humanos, o se ven más alineadas con el enfoque de privaciones socialmente consensuadas. Este último enfoque es el utilizado por la Unión Europea, e incorporado a través de 18 indicadores en un módulo específico de “Privación material” de la Encuesta de la Unión Europea de Ingresos y Condiciones de Vida (EU-SILC), en el que se releva información de los hogares con niños/as. A partir de la propuesta para la UE y con la intención de poder desarrollar un análisis comparado entre España y la Argentina, se avanzó en la adecuación de indicadores de la Encuesta de la Deuda Social Argentina (EDSA) del Programa del Observatorio de la Deuda Social Argentina (ODSA) de la Universidad Católica Argentina (UCA), procurando su comparabilidad con los presentes en la Encuesta de Condiciones de Vida (ECV) del Instituto Nacional de Estadísticas de España. En este proceso de compatibilización de los instrumentos se tomaron decisiones conceptuales y metodológicas que son sistematizadas y discutidas en el presente artículo. El índice construido logró compatibilizar 11 indicadores comunes para niñas/os entre los 3 y 15 años de la Argentina y España que resultaron ser adecuados, válidos, fiables y aditivos.
Palabras clave: Pobreza multidimensional, infancias, validez, fiabilidad y aditividad.
Abstract: The Sustainable Development Goals (SDGs) for 2030 are set in goals to which almost all the governments of the world adhere, and it is the first time that they have agreed on a multidimensional poverty objective that explicitly includes children. In the last decade, there have been many contributions that have been made from the conceptual and methodological point of view to the construction of multidimensional poverty measures, particularly aimed at measuring the phenomenon of child poverty. These proposals, in some cases, either take the perspective of Sen’s capabilities, or the human rights approach, or are more aligned with the approach of socially agreed deprivation. This last approach is the one used by the European Union, and incorporated through 18 indicators in a specific module of «Material Deprivation» of the Survey of the European Union of Income and Living Conditions (EU-SILC), in which Relevance information from households with children. Based on the proposal for the EU and with the intention of being able to develop a comparative analysis between Spain and Argentina, progress was madein adapting the indicators of the Argentine Social Debt Survey (EDSA) of the Debt Observatory Program Social Argentina (ODSA) of the Universidad Católica Argentina (UCA), seeking comparability with those present in the Survey of Living Conditions (ECV) of the National Institute of Statistics of Spain. In this process of compatibility of the instruments, conceptual and methodological decisions will be made that are systematized and discussed in this article. The compatible constructed index reconciles 11 common indicators for children between 3 and 15 years of age in Argentina and Spain that were found to be valid, valid, reliable and additive.
Keywords: Multidimensional poverty, childhood, validity, reliability and additivity.
1. INTRODUCCIÓN
Los Objetivos de Desarrollo Sostenible (ODS) que cuentan con la adhesión de casi todos los gobiernos del mundo, establecen en su meta 1.2 “reducir al menos a la mitad la proporción de hombres, mujeres y niños de todas las edades que viven en la pobreza en todas sus dimensiones de acuerdo con las definiciones nacionales, para el 2030”. De esta manera, el documento reconoce la naturaleza multidimensional de la pobreza y sugiere contemplarla en todos los países miembros/adherentes, de modo que se demanda la construcción de indicadores multidimensionales tanto en países desarrollados como en vías de desarrollo (Zchen 2017). Por otro lado, también se puede distinguir la mención especial a la población infantil para ser contemplada de modo particular en las mediciones de pobreza.
En los últimos años, múltiples estudios han aportado valiosas propuestas conceptuales y metodológicas con intenciones de definir y medir la pobreza infantil (Alkire 2009); (Minujin 2012); (Cepal 2013); (Gordon 2012); (CEPAL 2013); (Nandy 2015); (Guio 2018). Las mismas coinciden en que existe la necesidad de considerar las múltiples dimensiones en las que se expresa el fenómeno, pero se distinguen al definir qué se entiende por pobreza infantil, y sobre cómo establecer los umbrales de esta.
En este sentido algunas de las propuestas guardan correspondencia con un enfoque de derechos (Unicef 2012); (De Neubourg 2012), otras se ajustan al marco conceptual de las capacidades de Amartya Sen (1976) o bien se ven alineadas con el enfoque de privaciones socialmente consensuadas, como es el caso del índice construido por el equipo de la Universidad de Bristol y que ha ganado amplio consenso en la Unión Europea (Unicef 2012).
En el presente artículo se desarrolla un ejercicio de construcción de un índice de pobreza multidimensional infantil que permite realizar comparaciones entre España y Argentina. El mismo se basa principalmente en el indicador de pobreza multidimensional infantil generado por Catherine Guio y equipo (Guio 2018) con algunas adecuaciones que permite aplicarlo en ambos países. Se evalúa valioso avanzar sobre la construcción de un índice que permite la comparación entre un país desarrollado y otro en vías de desarrollo. En este sentido, se adhiere al enfoque de privaciones socialmente consensuadas desarrollado en la Unión Europea lo cual supone umbrales elevados y ampliamente generosos para países en desarrollo como la Argentina. No obstante, el artículo adhiere a este enfoque y se centra en los aspectos más empíricos de la medición de la pobreza. Más específicamente, en examinar y evaluar los principios de validez, confiabilidad y aditividad del índice para los países de referencia.
Se conjetura que los indicadores componentes del índice de pobreza multidimensional son medidas confiables de privación para España y Argentina, en los años seleccionados. Aunque se espera que el índice alcance mayor consistencia interna (homogeneidad) en el caso de las infancias españolas en comparación con las argentinas, justamente porque algunos de los indicadores de déficit considerados aún se encuentran muy extendidos en estas infancias. No obstante, es altamente probable que los indicadores que componen el índice sean válidos en términos de su asociación con medidas de pobreza alternativas, y que las diferencias estén más relacionadas con el principio de aditividad.
Igualmente, cabe señalar que ambos países experimentan una situación de crisis socioeconómica en los años analizados, 2014 en España y 2018 en Argentina, con incremento de la pobreza y especialmente en la población de niñas, niños y adolescentes2. España es uno de los países con mayor pobreza infantil de la Unión Europea luego de Rumania y Bulgaria (Unicef 2012), y no se trata de uno de los países más avanzados en términos de políticas de protección social orientadas a los hogares con niñas/os (Pau Marí-Klose 2015).
A continuación, se examina si el índice de pobreza multidimencional adaptado resulta válido, adecuado, confiable y aditivo a la luz de los microdatos de la Encuesta de la Deuda Social Argentina (EDSA) de la UCA, y la Encuesta de Condiciones de Vida (ECV) de España.
El documento está organizado de la siguiente manera: un primer apartado con una breve referencia a los enfoques conceptuales desde donde se definen la pobreza multidimensional en la infancia, y la perspectiva a la que se adhiere en el presente artículo; un segundo apartado presenta resultados de los diferentes ejercicios de robustez realizados y cálculo de la incidencia de la pobreza y principales factores asociados; y el tercero de los apartados está orientado a los aspectos metodológicos de la medición de la pobreza y construcción de un índice multidimensional en el marco de un estudio comparado. Se cierra con un apartado de conclusiones.
2. MARCO CONCEPTUAL DE REFERENCIA
Existen numerosos enfoques para medir y conceptualizar la pobreza. La misma puede ser representada a través de mediciones indirectas, donde suelen establecerse umbrales de ingresos que las familias perciben y que en relación con el valor de una canasta básica de alimentos y servicios son clasificadas como pobres o no pobres. No obstante, este tipo de medidas de pobreza por ingresos de los hogares poco nos dice sobre el uso efectivo de dichos ingresos y en relación con el acceso a recursos que son esenciales para el desarrollo de la vida y en particular de los miembros niñas y niños de las familias. Si bien estas medidas monetarias son muy populares y suelen ser parte de los indicadores oficiales en la mayoría de los países, representan una definición parcial del fenómeno de la pobreza.
En la literatura sobre la cuestión, se reconocen otras medidas denominadas directas que procuran captar los niveles de vida de las personas en diferentes dimensiones del bienestar y que se consideran complementarias de las mediciones de ingreso. Justamente, los indicadores de medición directa intentan captar diferentes dimensiones del bienestar y suelen alcanzar una representación más amplia del fenómeno de la pobreza.
En el caso especial de la población infantil, los métodos directos son especialmente valiosos, dado que permiten el monitoreo de necesidades especiales para el correcto desarrollo de las niñas y los niños -como el acceso a estímulos socioculturales y/o al juegoy también permite captar necesidades que no siempre responden a mercados competitivos o que, no tienen mercados en absoluto, como la protección contra el trabajo infantil y violencia doméstica, entre otros (Gordon 2000).
En los últimos años, numerosos estudios se centraron en la construcción de índices de pobreza multidimensional infantil, apoyándose en bastos marcos conceptuales que sostienen las decisiones tomadas en relación a las dimensiones a incorporar, los instrumentos más apropiados para su medición y la determinación de los umbrales de privación; así como también las decisiones metodológicas en relación a las formas de cálculo (Alkire 2009); (Minujin 2012); (UNICEF 2012); (Gordon 2012); (CEPAL 2013); (Nandy 2015); (Guio 2018).
Los principales enfoques para abordar este tipo de índices de pobreza multidimensional infantil se desprenden principalmente de los estudios de Sen (1992) sobre las capacidades, como lo es el Oxford Poverty and Human Development Initiative (OPHI), y de la teoría de la pobreza relativa de Townsend (1962). Para este último se destaca el indicador desarrollado recientemente por UNICEF llamado “Multiple Overlapping Deprivation Analysis” (MODA) y el indicador propuesto por el equipo de la Universidad de Bristol que ha alcanzado amplio consenso en la Unión Europea (UE).
Los índices de pobreza antes mencionados parten del enfoque relativista de la pobreza: el indicador MODA toma un enfoque de derechos, donde el umbral de la pobreza está delimitado por los derechos de las niñas, niños y adolescentes, generando así una presión legal sobre la sociedad, mientras que el indicador de privaciones materiales desarrollado por el equipo de la Universidad de Bristol adopta un enfoque de privaciones socialmente percibidas.
El indicador de privación material del equipo de Bristol fue creado a raíz de la adaptación de los resultados obtenidos en el estudio de “Pobreza y Exclusión Social del Reino Unido” (Gordon 2000). Dicho estudio permitió identificar qué bienes, servicios y actividades eran considerados por la mayoría de la población como necesidades básicas para las niñas y los niños de Gran Bretaña, mediante las preguntas sobre necessities of life incorporadas en la Omnibus Survey relevada por la Oficina Nacional de Estadísticas en junio de 1999 (Gordon 2000). En ella se consideró un conjunto de 30 ítems que fueron respondidos por los adultos de referencia de niñas y niños. Esta batería de preguntas se correspondía a necesidades básicas que niñas/os podían tener o no acceso, y cuales eran deseables, pero no imprescindibles. Dicha encuesta reveló, que, de los 30 ítems presentados en el cuestionario, 27 eran para más del 50% de los padres necesidades básicas para las niñas/os dejando solo a 3 como ítems deseables, pero no imprescindibles.
Dichos ítems fueron incluidos en los módulos ad-hoc de la encuesta de la UE de Ingresos y Condiciones de Vida (EU-SILC) para los años 2009 y 2014, permitiendo recolectar datos sobre los estándares de vida de niñas y niños de la Unión Europea.
A la luz de los microdatos generados, Guio y equipo pudieron generar un índice de pobreza infantil incorporando un listado reducido de los 27 ítems iniciales de la Pobreza y Exclusión Social (PSE) (Guio 2017). Los ítems incorporados en el índice representan una selección óptima para calcular la pobreza infantil multidimensional en todos los países miembros de la Unión Europea y el Reino Unido evaluados en cuanto a su idoneidad, validez, confiabilidad y aditividad.
Tomando en cuenta la experiencia europea en materia de privación material de las niñas, niños y adolescentes y en la propia evolución en la construcción de medidas de pobreza multidimensionales para el caso de las infancias en la Argentina (Tuñón, Poy y Coll, 2017), se avanzó en incorporar indicadores de los propuestos para la UE en el cuestionario de la Encuesta de la Deuda Social Argentina (EDSA) del 2018, permitiendo así generar un índice de pobreza multidimensional infantil que concilie las mediciones de Argentina y de la Unión Europea.
Los microdatos recolectados por la EDSA aportan una valiosa información sobre el estado de las infancias en Argentina y estos se resignifican frente a la posibilidad de generar indicadores de pobreza multidimensional infantil flexibles y fuertemente validados en Europa.
3. METODOLOGÍA EMPLEADA
La Encuesta de la Deuda Social Argentina (EDSA) se realiza de modo periódico desde el año 2004 hasta la actualidad. Se trata de una encuesta multipropósito que indaga sobre diferentes dimensiones del desarrollo humano y social de los hogares, y las personas. Asimismo, incluye un módulo específico orientado especialmente a la evaluación y monitoreo de derechos de la infancia en el país. Este módulo en su medición del tercer trimestre de 2018 incluye varios de los ítems que se consideran en el módulo ad-hoc de privaciones materiales de la EU-SILC de los años 2009 y 2014. Los mismos para el caso de España fueron incluidos en un apartado especial de la Encuesta de Condiciones de Vida (ECV) del Instituto Nacional de Estadísticas de España.
La EDSA, es una encuesta representativa de los hogares de los aglomerados urbanos de más de 80.000 habitantes de la Argentina. El módulo orientado al registro de datos de niñas/os y adolescentes entre 0 y 17 años es respondido por el referente adulto a cargo del cuidado y crianza de los mismos. Cada uno de los indicadores es registrado para cada uno de los niños/as residentes en el hogar y alcanzó una muestra de aproximadamente 5400 casos.
La Encuesta de Condiciones de Vida (ECV), también se realiza en España desde 2004 a través del Instituto Nacional de Estadísticas de dicho país. Está basada en criterios armonizados para todos los países de la Unión Europea, cuyo principal objetivo es disponer de una fuente de referencia sobre estadísticas comparativas de la distribución de ingresos y la exclusión social en el ámbito europeo. Esta encuesta posee un módulo especial denominado “Privación Material” a partir del cual se relevan datos sobre niñas/os entre 1 a 15 años, pero a través de indicadores de hogar que son extensivos al total del universo de niñas y niños del hogar. Por lo cual, cuentan también con una muestra de aproximadamente 5000 niñas/os. La medición que se utiliza es la del año 2014, período en el cual se incluyó este módulo de privaciones en la niñez propuesta de forma ad hoc por la Unión Europea para todos los países miembros a fin de lograr un índice de privaciones multidimensional europeo.
Una revisión comparada de los instrumentos de encuesta de referencia permite realizar un recorte de la población infantil para la que ambas encuestas tienen indicadores similares. Efectivamente, las encuestas tienen 11 indicadores comunes para niñas, niños y adolescentes entre 3 y 15 años (una muestra de 4315 casos en Argentina y de 2167 casos en España). Lógicamente, en función de lograr compatibilizar indicadores se han dejado afuera del índice, indicadores que son relevantes en la definición de la pobreza infantil en la Argentina pero que ya no representan privaciones en España por su severidad, así como se han considerado otros indicadores que para el caso argentino son carencias que atraviesan a diferentes infancias y cuya correlación con la pobreza es menos evidente. En resumen, y en función de la comparabilidad se han omitido indicadores que en países en desarrollo como la Argentina siguen siendo relevantes para representar la pobreza infantil en sus niveles más severos (déficit en el espacio del saneamiento, vivienda, no asistencia a la escuela, déficit de atención de la salud, entre otros), y por otra parte algunos de los incluidos resultan ampliamente generosos como la tenencia de libros, juguetes de ocio al aire libre (bicicleta, patines), lugar adecuado para hacer tareas escolares, y/o las salidas educativas y/o recreativas desde el espacio escolar.
Otro aspecto singular de los indicadores del módulo ad-hoc de privaciones materiales de la EU-SILC, es que los mismos son diferenciados en términos de privaciones forzadas (el hogar no puede permitírselo) y otras razones. Mientras que los indicadores de la EDSA-UCA registran las carencias con independencia del motivo. Este es un punto ampliamente tratado por Guio et. al. (2018), quienes llegan a la conclusión que es recomendable la medición de los indicadores en su condición de privaciones forzadas. No obstante, en el presente ejercicio y a los efectos de la comparabilidad se optó por considerar para las dos mediciones el criterio de privación simple, más en línea con los enfoques de derechos humanos.
Así se llega a un índice de pobreza multidimensional que considera aspectos esenciales y específicos del bienestar infantil asociados a su vestimenta, calzado, calidad de la alimentación, acceso a juguetes, libros, socialización a través de participación en celebraciones, salidas educativas, oportunidades de vínculos con pares, y conectividad. Pero, por ejemplo, se omite que para tener salidas educativas y/o valorar un espacio en el hogar para hacer las tareas, se requiere antes asistir a la escuela. En este punto, se optó por considerar en situación de déficit a quienes no asisten a la escuela, y a quienes lo hacen, pero carecen de salidas formativas/recreativas, y/o quienes asistiendo carecen de espacio adecuado para estudiar en la vivienda.
El resto de los indicadores son muy similares con variaciones que se consideran menores en términos de aproximaciones al fenómeno de la pobreza infantil.
Seguidamente, en la Tabla 1 se presenta un esquema de la batería de indicadores comunes con un detalle del modo en que son medidos en cada uno de los instrumentos:

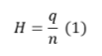
En relación con la ecuación de cálculo del índice de pobreza multidimensional se utilizan las medidas propuestas por Bourguignon y Chakravarty (2003), que se inscriben en la tradición de los índices Foster, Greer & Thorbecke (1984). La medida más sencilla de pobreza multidimensional es la tasa de recuento o incidencia (H), que responde a la fórmula:

Donde q es el número de niños identificados como pobres en el espacio multidimensional a un k valor definido previamente y n es la población total. En este documento, los valores de H se reportan considerando diferentes . valores de corte.
El marco analítico de Guio et. al. (2012) se basa en gran medida en la metodología de construcción del indicador de privación de la encuesta de PSE (Poverty and Social Exclusion) de 1999 (Gordon 2000). Este marco se ha utilizado para desarrollar soluciones sólidas y comparables entre países europeos. A partir de estos antecedentes, se construyen y analizan tres medidas de robustez: (1) validez, (2) fiabilidad y (3) aditividad, para el caso de las infancias de la Argentina y España.
(1) La validez de los indicadores (ítems) apunta a asegurar que cada uno de ellos registra ratios de riesgo relativo estadísticamente significativos con variables independientes que se espera estén correlacionadas con la pobreza multidimensional.
El primer análisis de robustez es la demostración de que todos los elementos de un indicador de privación multidimensional deben ser medidas válidas de privación. Un indicador individual será válido si muestra índices de riesgo relativo estadísticamente significativos con un conjunto de variables independientes sobre las que existe amplio consenso de que están correlacionadas con la variable latente de privación. Con este objetivo, se utilizan modelos de regresión logística como criterio de validez (Guio 2018); (Townsend 1989) para cada uno de los indicadores, que son considerados variables dependientes y las siguientes variables independientes, que a priori se correlacionan con pobreza multidimensional.
Las tres variables independientes consideradas en los análisis de validez son:
• Ingreso per cápita. Existe una larga tradición en la utilización de la asociación de ingresos per-capital familiar para validar los indicadores de privación. Si bien, la asociación transversal entre bajos ingresos y privaciones es más baja de lo que podría esperarse, Guio at al (2018), Townsend (1979) y Mack y Lansley (1985) utilizaron la fuerza de la correlación entre el ingreso y la privación como criterio para seleccionar indicadores de pobreza multidimensional.
• Tener dificultades económicas. Lo cual a menudo se utiliza como medida subjetiva de pobreza, suele estar estrechamente relacionada con la pobreza multidimensional. Esta medida surge de que, en el hogar, por problemas económicos en los últimos 12 meses, tuvieron que dejar de pagar alguna vez el alquiler o cuota de la casa, algún impuesto o tasa municipal o algún servicio público. Un hogar con dificultades económicas debería tener más probabilidades de tener déficit en alguno de los indicadores consideradores en el índice de pobreza multidimensional.
• Necesidades básicas insatisfechas (NBI). El índice de NBI fue uno de los primeros de pobreza multidimensional en la región de Latinoamérica (Cepal 2001). Si bien con el paso del tiempo algunas de las variables consideradas se volvieron menos representativas, es esperable la correlación entre éste y los indicadores de privación considerados. El índice de NBI permite estimar el porcentaje de niñas/os en hogares que presentan al menos una de las siguientes privaciones que se esquematizan a continuación para cada uno de los países (véase tabla 2).

(2) La fiabilidad de la escala de pobreza se orienta a evaluar la consistencia interna de la escala como un todo, es decir, qué tan relacionados están el conjunto de indicadores de pobreza multidimensional. Este análisis se realiza utilizando la Teoría Clásicas de los Tests (TCT), y específicamente: Cronbach’s Alpha, Revelle´s Beta y Guttman´s Lambdas. Luego, se realizó un análisis de cluster del indicador (ítem) y, por último, la TRI (Guio 2017); (Revelle 2009); (Guttman 1945).
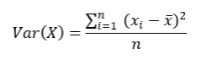
En la teoría de pruebas clásicas, el estadístico Alpha de Cronbach es el coeficiente de fiabilidad más utilizado3. Alpha mide la interna de una escala, es decir, qué tan relacionado está un grupo de elementos. Un valor “alto” de Alpha resulta indicativo de que el conjunto de elementos mide una relación subyacente o latente, la cual puede o no ser unidimensional. Según Nunally et al (1994), un Alpha mayor o igual a 0,7 se considera satisfactorio. A la vez, se identifica qué elementos si se omiten (uno por uno) aumentarían la fiabilidad del índice de privación (aumentaría el Alpha de Cronbach).
Sijtsma, estableció que la validez del Alpha se basa en una serie de supuestos que rara vez se cumplen en la práctica. Esto se debe a que el Cronbach’s Alpha asume que todos los elementos tienen la misma relación con la puntuación real y que todos los elementos tienen la misma variación (Revelle 2009). En la práctica, esto rara vez ocurre y es probable que este estadístico ofrezca un resumen impreciso de la fiabilidad general de un índice. Por lo tanto, para garantizar la robustez del índice, se propone trabajar con otros estadísticos de modo complementario.
El coeficiente Beta según Revelle (2009) puede proporcionar información adicional y complementaria sobre la fiabilidad. Este estadístico proporciona información sobre la homogeneidad del índice de privación, por ejemplo, si hay algunos elementos en el índice que puede ser poco confiables, llevará a que este también lo sea. Guio at al (2018) consideraran que el coeficiente Beta es una estimación conservadora de la fiabilidad y un límite inferior del porcentaje del índice de privación que mide una sola construcción latente (por ejemplo, la privación material). Se sugiere que el valor del coeficiente Beta sea mayor o igual que 0,5.
Por otro lado, Guttman (1945) propuso seis medidas de fiabilidad diferentes basadas en una serie de supuestos. Hay tres parámetros que se valora al calcular los seis estadísticos de confiabilidad de Guttman: la varianza total de una escala, la varianza de cada uno de sus componentes y la covarianza entre los elementos. Básicamente, cada estadístico usa los tres parámetros de diferentes maneras, por ejemplo, puede usar una suma de la varianza, varianza de elemento por elemento, etc. con diferentes tipos de ajustes, tales como el número de indicadores de privación. Por lo tanto, un buen coeficiente de confiabilidad debe ser lo suficientemente sensible como para tener en cuenta las diferentes maneras en que los datos afectan estas variaciones.
El trabajo teórico de Guttman ofrece la posibilidad de detectar en qué circunstancias un coeficiente de fiabilidad es mejor que otro. Guttman demostró que, Lambda 2 es un índice de confiabilidad de límite inferior más preciso que Lambda 3, el cual es el mismo que el Alpha de Cronbach. En algunos casos Lambda 2 sería igual a Lambda 3 pero nunca más bajo. De esto se deduce que Lambda 2 nunca es menos preciso que Alpha y que Lambda 4 es mejor que Lambda 2. El umbral para los coeficientes Lambdas de Guttman es de 0,7.
Por último, el coeficiente Omega total4 se calcula para un modelo unidimensional, esto no significa que su escala sea unidimensional, significa que sus indicadores son parte de un gran fenómeno como es la pobreza multidimensional. Se considera que es la mejor medida de confiabilidad independientemente de la multidimensionalidad o unidimensionalidad de una medida (Nájera Catalán 2019); (Nájera Catalán 2020).
Para el cálculo del coeficiente Omega se consideró el modelo unidemensional descripto anteriormente, y se evaluó la proporción de la varianza del índice de pobreza que se debe a todos los indicadores contemplados. El criterio de unidimensionalidad hace referencia a que se considera que todos los indicadores se refieren a un mismo concepto latente, el de privación. Se sugiere un valor del coeficiente Omega total de 0,7.
La TCT5 se complementa con pruebas adicionales sobre la fiabilidad de cada elemento en la escala basada en la Teoría de Respuesta al Item (TRI).
Siguiendo el desarrollo de Guio at al. (2018), se usará el análisis de cluster de variables que permite el análisis de la fiabilidad y la exploración de la estructura dimensional de un índice utilizando dos estadísticos: coeficiente Beta y Alpha. Es una técnica útil para examinar la forma en que los elementos se relacionan según su proximidad (es decir, la correlación) y la fiabilidad de los subgrupos. Por lo tanto, la estructura resultante permite emitir juicios sobre la consistencia interna de una medida y sobre la existencia de posibles subgrupos o dimensiones.
Si bien la TCT presentada por Nunally (1994) proporciona información sobre la fiabilidad de un índice de privación como un todo, se puede explorar más a fondo la fiabilidad siguiendo con la TRI. Esta teoría proporciona un conjunto de modelos estadísticos que describen la relación entre la respuesta de una persona a los ítems de la encuesta correspondiente y un rasgo latente no observado como por ejemplo cierta privación material de la persona. TRI se ha utilizado para desarrollar varias medidas de pobreza (Guio 2018).
Siguiendo a Guio, Gordon y Marlier (2012), se establece un criterio de severidad en 3 desviaciones estándar de la media. Esto es, todos los indicadores (ítems) con una severidad mayor que 3 desviaciones estándar carecerán de fiabilidad, mientras que si superan 3,5 no serán para nada fiables.
Por otro lado, las puntuaciones de discriminación indican en qué medida cada elemento discrimina entre los sujetos con privaciones y sin ellas, por lo cual esta puntuación está midiendo la correlación entre la pobreza multidimensional con cada indicador. Como en Guio at al. (2018), el criterio a utilizar será determinar cómo “no fiables” a todos aquellos elementos cuyo valor sea inferior a 0,4.
Según la literatura de teoría de respuesta al ítem, es ideal que un índice de privaciones “confiable” sea ilustrado por una serie de curvas en forma de “S” bastante verticales extendidas a lo largo del eje X. Asimismo, el punto de inflexión de cada curva, es decir, la mitad de la distancia entre las asíntotas superior e inferior, donde la pendiente es más pronunciada, debe estar entre 0 y +3 en el eje X (es decir, tiene una gravedad de entre 0 y 3 desviaciones estándar) (Guio, Gordon y Marlier 2012).
(3) La aditividad de las variables, procura verificar si una persona con una carencia en un indicador sufre de pobreza multidimensional más grave que una persona sin esa carencia, es decir, que los componentes del índice de pobreza multidimensional se suman.
Los tests de aditividad garantizan que los componentes del indicador de pobreza multidimensional se acumulen. Es decir, verifican que una persona con un déficit en uno de los elementos posee una privación más severa multidimensionalmente que una persona sin déficit. Esto se verifica utilizando un modelo ANOVA con interacciones de segundo orden de las variables que componen el índice multidimensional por el logaritmo del ingreso per cápita familiar de las personas.
4. RESULTADOS
4.1. Incidencia de la pobreza multidimensional en Argentina y España
El índice de pobreza multidimensional se construye con 11 indicadores, y a continuación se procede a mostrar como varía en su nivel de incidencia en la población de niñas y niños en la Argentina y España acorde a diferentes umbrales, determinados por el valor k, que establece la cantidad de privaciones sobre el total de los 11 posibles, a partir de los cuales una niña o niño se encontrará en condición de pobreza multidimensional.
UNICEF (2017) considera la situación de pobreza multidimensional en el caso en que la niña o el niño posea dos o más carencias de las 14 consideradas por el indicador MODA, mientras que Guio at al. (2017), considera a tres o más sobre 18 como privación material.
A continuación, en la tabla 3 se presentan los niveles de incidencia del índice para cada valor posible de k. De este modo que para un k=1 el indicador arrojará la proporción de niñas y niños que posean al menos una carencia, mientras que un k=2 representará a aquellos que poseen dos o más carencias, y así sucesivamente para todos los valores de k.

De este análisis surge, para el caso argentino, que más del 87% de la infancia presenta al menos una privación y disminuye su incidencia a medida que aumenta la cantidad de privaciones de modo acelerado generando niveles críticos aún para los valores más elevados de k (por ejemplo, el 36,7% de la niñez argentina registra 4 o más carencias).
Por otro lado, se evidencian amplias brechas de desigualdad entre los niveles de incidencia de los países, generando distancias regresivas para el caso de las infancias argentinas de casi 50 p.p. para el caso de k=1 y de casi 19 puntos porcentuales (p.p.) para el caso de k=5.
Considerando a la pobreza multidimensional como la carencia de al menos tres ítems (k=3), a continuación, se estiman como varían los estadísticos con respecto a distintas variables descriptoras (véase Tabla 4).

En primer lugar, se estima que, para el caso de la Argentina, 5 de cada 10 niñas/os sufren al menos 3 carencias, mientras que en España este valor no llega a 2 de cada 10. No se registra diferencia significativa con respecto al sexo. No obstante, se advierten diferencias según los grupos de edad, de 3 a 4 años, más del 66% de los infantes experimentan privaciones en el espacio multidimensional. Dicho valor disminuye para las niñas/os de 5 a 12 pero aumenta un poco entre los adolescentes de 13 a 15 años. En España, se observa la misma dinámica, siendo el grupo de los más pequeños los más vulnerables, llegando al 18,6%. Considerando la situación de convivencia, aquellos niños/as que viven en hogares biparentales (núcleo conyugal completo con hijas/os), registra una situación relativa favorable respecto de pares en hogares monoparentales (núcleo conyugal incompleto con hijas/os). En efecto, dicha diferencia en Argentina es cercana a 10 p.p., mientras que en España es de 5 p.p.
Según el nivel socioeconómico en cuartiles de ingreso per cápita familiar, se advierten los resultados esperados: a medida que disminuye el nivel socioeconómico aumenta la probabilidad de tener al menos 3 carencias. Sin embargo, si bien en Argentina se registra una brecha de desigualdad más amplia, la caída en el sector medio alto en España pasa de aproximadamente 5 de cada 10 chicas/os a 1 de 100. Asimismo, más de 1 de cada 10 chicas/os de clase medio alta son pobres multidimensionales. La brecha de desigualdad entre el estrato superior y el inferior en Argentina es 72,5 p.p., mientras que en España es de 47,6 p.p.
De entre las múltiples medidas de pobreza absoluta, se consideró el enfoque europeo que contempla un porcentaje de la mediana como la línea de pobreza. Si bien en España toman el 60% de la mediada de los ingresos, en la tabla 8, se detallan otros porcentajes comunes para Europa. Bajo las tres medidas de pobreza monetaria consideradas las conclusiones son similares, en Argentina casi 8 de 10 chicas/os son doblemente pobres: son pobres en términos monetarios y en términos de privaciones multidimensionalmente. En España cerca de 5 de 10 chicas/os son pobres monetarios y multidimensionales. Los no pobres en términos de ingresos en Argentina tiene una probabilidad cercana al 50% de registrar tres o más carencias, mientras que en España cerca del 10%.
Asimismo, en la tabla 5, se puede advertir que la incidencia de las privaciones marca diferencias entre los países. Mientras que en las infancias argentinas aparecen, en primer lugar, las privaciones vinculadas a las salidas formativas y recreativas en el espacio escolar (46,5%), carecer de bicicleta, patines (41,3%), y las carencias en términos de nutrientes esenciales como frutas y verduras (30,1%) y prendas de ropa nuevas (30,6%); en las infancias españolas las principales carencias por su incidencia son: la falta de salidas formativas y recreativas en el espacio escolar (17,2%), la socialización con pares (17,2%), la carencia de bicicleta o patines (11,2%) y de ropa nueva (9,7%). Es fácil advertir, la gran disparidad en los niveles de prevalencia de las privaciones y cómo en Argentina todavía se ubica en los primeros lugares el acceso a nutrientes esenciales. Mientras en el caso de las infancias españolas aparece entre las principales carencias aspectos vinculados a los procesos de socialización.

4.2. EVALUACIÓN DE LA VALIDEZ, FIABILIDAD Y ADITIVIDAD DEL ÍNDICE
En primer lugar, se evalúa la validez del índice de pobreza multidimensional a través de un modelo de regresión logística en el que cada uno de los indicadores de privación asume la función de variable dependiente (1= con privación y 0= sin privación) y las tres variables antes descriptas (ingreso per-cápita, dificultades económicas y NBI) asumen el rol de variables independientes.
A través de los modelos de regresión se puede identificar los factores que más inciden en cada una de las privaciones manteniendo constante el resto de los factores considerados. Los resultados de los modelos de regresión logística permiten estimar la fuerza y el sentido de la asociación con las medidas de pobreza alternativas consideradas (en relación al ingreso per-cápita, dificultades económicas y NBI), y su significancia.
Se considera que un elemento de privación del índice tiene problemas de validez si los resultados de los modelos de regresión logística no son significativos en al menos una de las tres pruebas de validez realizadas.
En este caso, todos los elementos pasaron las pruebas de validez. En todos los coeficientes el ingreso per cápita es significativo y negativo, estableciendo que a mayor nivel de ingresos menor probabilidad de tener privación en el ítem considerado. Residir en un hogar con NBI eleva la probabilidad de registrar carencias en todos los indicadores analizado, y lo propio sucede con la percepción de dificultades económicas. Asimismo, todos los estimadores son significativos (véase tabla 4).

En segundo lugar, se puso a prueba la fiabilidad utilizando la TCT, y específicamente: Cronbach’s Alpha, Revelle´s Beta y Guttman´s Lambdas. Luego, se realizó un análisis de cluster del indicador (ítem) y, por último, la TRI (Guio 2017); (Revelle 2009); (Guttman 1945).
Los estadísticos Alpha para el caso de España son muy superiores a los de Argentina. El Alpha para el caso de la Argentina no llega a ser del todo “satisfactorio” pero está en un nivel aceptable para los márgenes que se establecen en la literatura. No obstante, en el caso de la Argentina la quita de uno de los indicadores no conlleva un incremento de la fiabilidad, pero es notorio que, en España, la quita de por ejemplo el indicador “Comer fruta fresca y verduras al menos una vez al día”, modifica el coeficiente Alpha incrementando la fiabilidad (véase tabla 6).

Los resultados del cálculo del coeficiente Omega total son exitosos tanto para el caso de Argentina como para el de España, arrojando valores de omega(ωt)> a 0,7 en ambos casos. Para el caso de España (ωt =0,848) el índice de pobreza tiene un ajuste más exitoso que para el caso de Argentina (ωt =0,709) y el índice estaría explicando casi el 85% de las variaciones de los indicadores de privación mientras que el caso de Argentina el ajuste es un poco menor, representando el 70% de dichas variaciones (véase tabla 7).
En la tabla 5 se muestra los estadísticos Beta, Lambda 2, Lambda 3, Lambda 4 y Omega_t para el índice de privación de 11 ítems para los dos países. Ambos países presentan buenos niveles del coeficiente Betas. Con respecto a los coeficientes Lambdas y Omega_t, España supera el umbral consensuado en la literatura mientras que en Argentina esto no sucede, pero sigue en el margen del valor de 0,7.

Las gráficas 1 y 2 muestran los resultados del análisis de cluster para ambos países. En el caso argentino, los 11 ítems se agrupan por defecto en 9 indicadores de privación. A medida que se acortan los grupos, el Cronbach’s Alpha va disminuyendo escalonadamente, con la excepción del último cluster. En ese caso, el cual combina el déficit en la ingesta diaria de frutas y verduras con el consumo diario de carne, el valor de Alpha se eleva. Esto está sucediendo por la fuerte correlación entre ambos indicadores. Sin embargo, dado que es el último cluster, y todos los demás siguen un patrón decreciente en el Alpha, el índice de 11 ítems es robusto.
Por otro lado, en el caso español, se observa una caída de los coeficientes Alpha a medida que disminuye el número de indicadores considerados. En este caso, los indicadores se agrupan por defecto en 9 clusters. La posición de las variables es similar a la del ejemplo argentino salvo por el indicador de “tenencia de libros en el hogar”, el cual en España está dentro del último cluster pero en Argentina se elimina a partir del sexto grupo.


A continuación, se presentan los resultados de la aplicación del test TRI de dos parámetros a cada uno de los ítems de pobreza multidimensional. El primer parámetro se interpreta como la posible severidad de la pobreza multidimensional que sufre una persona que carece de este elemento. Entonces, las puntuaciones de severidad se miden en unidades de desviación estándar del promedio.
En términos de discriminación, en ambos países los coeficientes superan el 0,4. Los indicadores de carencias de “ropa nueva”, “socialización con pares” y “participación en celebraciones” son los que registran mayor diferencia entre los que tienen déficit y los que no lo tienen (véase tabla 8). Por otro lado, en términos de severidad, ambos países están dentro del rango y en la forma estipulada.

Como se ilustra en los gráficos 3 y 4, la capacidad de cada elemento para medir la severidad se muestra mediante el eje X, la cual tiene una curva en forma de “S” asintótica, las cuales se denominan curvas características del ítem. La idea de la forma de “S” cuanto más a la derecha, más severa es la privación. La capacidad de cada elemento para discriminar entre personas privadas de algún elemento con los no privados se muestra por la verticalidad de cada curva con respecto al eje Y. Cuanto más vertical sea, mejor será la capacidad de discriminación del elemento y mayor será su correlación con el índice de pobreza multidimensional.


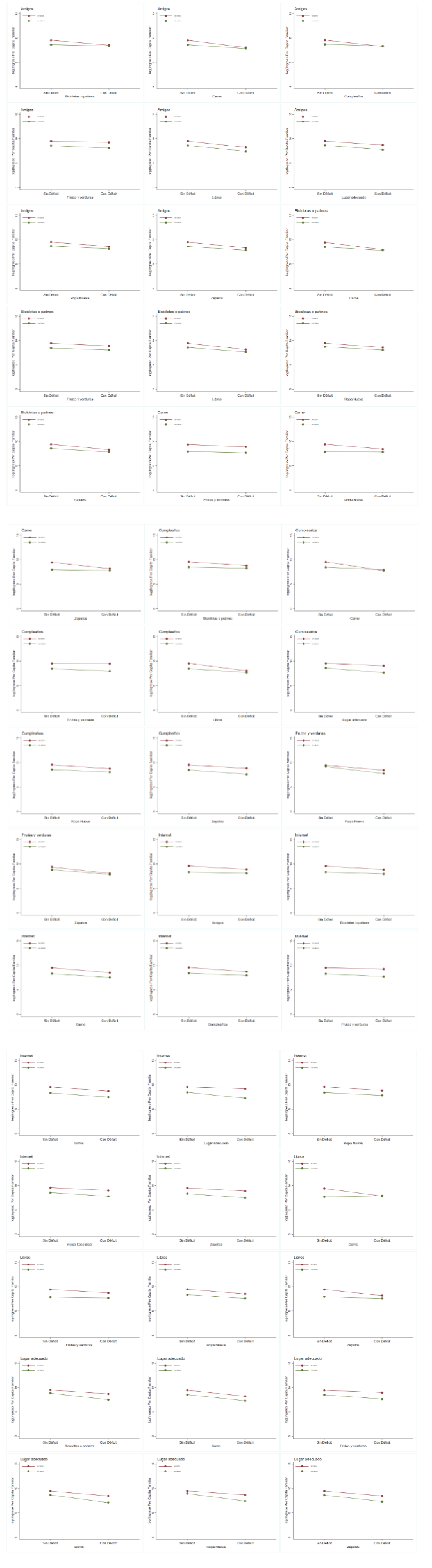
Estos modelos ANOVA asumen que las personas que sufren de dos privaciones (por ejemplo, quienes carece de ropa nueva y zapatos adecuados) deben vivir en hogares con ingresos netos equivalentes significativamente más bajos (en promedio) que aquellos que solo sufren de una sola privación (por ejemplo, la privación de ropa) o que no tienen privaciones. Del mismo modo, las personas que sufren de una privación deben tener ingresos más bajos que las personas sin privaciones. Esto debería ser válido para todas las combinaciones posibles de elementos de privación.
Idealmente, las dos líneas (véase gráficos en anexo), se deberían mover desde la parte superior izquierda a la inferior derecha, lo que indica que las personas que no tienen privación (arriba a la izquierda del cuadro) tienen el ingreso más alto; las personas con dos privaciones (abajo a la derecha) tienen los ingresos más bajos; y las personas que sufren de una privación tienen niveles intermedios de ingresos.
Todos los gráficos tanto para España como para la Argentina cumplen con el supuesto de aditividad. De todos modos, en el caso español, hay algunos casos que se encuentran al límite como el déficit de participación en celebraciones, el déficit de consumo diario de carne o equivalentes, el de carencia de libros y el de sociabilizar con pares.
5. PRINCIPALES CONCLUSIONES
Los países de América Latina necesitan avanzar sobre la definición de un índice de pobreza multidimensional que sea válido, confiable y comparable. En el caso específico de la Argentina, no se cuenta con una encuesta nacional oficial que considere indicadores a partir de los cuales poder construir medidas de pobreza que logren una mejor representación del fenómeno y que supere al clásico indicador de NBI. Las estimaciones de pobreza en el país son monetarias y dicho indicador de hogares es el informado a nivel de la población de niñas y niños entre 0 y 14 años.
Ejercicios de medición de la pobreza multidimensional infantil como el desarrollado en este artículo pueden contribuir a avanzar en el proceso de construcción de índices que no solo permitan representar el fenómeno de la pobreza local sino en su comparación con países desarrollados que tienen más antecedentes en dicho camino.
El artículo avanzó sobre el examen de las propiedades estadísticas de los indicadores componentes del índice multidimensional de la pobreza infantil, tomando como punto de partida la definición conceptual, umbrales de privación y antecedentes de validación estadística de la Unión Europea. Se partió de dichos antecedentes con el objetivo de corroborar en qué medida el índice desarrollado en la Unión Europea era aplicable al caso de un país en vías de desarrollo como la Argentina, y en tal sentido comparable con un país desarrollado como España.
Justamente, en esta ocasión se focalizó en el examen de la validez, fiabilidad y aditividad del índice, es decir en sus propiedades estadísticas. Los resultados indican que la medida de pobreza multidimensional considerada es válida tanto para el caso de las infancias argentinas como españolas, lo que significa que los indicadores considerados capturan la esencial del fenómeno que se pretende medir. No obstante, la consistencia interna es más robusta en el caso de España que en Argentina, donde los coeficientes se ubican en el límite de lo considerado satisfactorio por la literatura.
El supuesto de aditividad se corrobora tanto en el caso de Argentina como España. Sin embargo, en el caso español, hay algunos indicadores que se ubican en el límite, como déficit de participación en celebraciones, déficit de consumo diario de carne, carencia de libros y sociabilizar con pares.
Por último, los resultados del índice de pobreza multidimensional permiten advertir la amplia brecha de desigualdad entre las infancias de Argentina y España. Mientras que las infancias argentinas experimentan al menos una privación en un 87%, entre las españolas desciende al 37%. A su vez, cuando se ubica el umbral de pobreza en 3 o más privaciones la incidencia es de 51,8% y 15,6%, respectivamente; ampliándose la brecha claramente regresiva para las infancias argentinas.
Es fácil advertir, en el caso de la Argentina, que la pobreza multidimensional así definida atraviesa a diferentes infancias, revelándose heterogénea. De manera diferente, en el caso de España el índice permite focalizar mejor en una población más homogénea con relación al espacio multidimensional de la pobreza. Indicadores de privación como “socialización a través de salidas escolares”, y/o “tenencia de juguetes como bicicletas o patines”, que alcanzan una incidencia de 46,5% y 41,3%, respectivamente en las infancias argentinas, probablemente requieren de una revisión teórica en términos de su pertinencia como aspectos representativos de la pobreza en el país. Así como la carencia de otros tantos indicadores que fueron omitidos del índice por no ser representativos de la pobreza española y que para el caso de la Argentina continúan siendo relevantes, en el espacio del hábitat de vida, acceso a la salud y la educación. Discusión teórica que queda pendiente para su desarrollo en futuros trabajos.
6. BIBLIOGRAFÍA
ALKIRE, S.; FOSTER, J. (2009): “Counting and Multidimensional Poverty Measurement”, Oxford, U.K, OPHI Working Paper Nº 32, University of Oxford.
BOURGUIGNON, F.; CHAKRAVARTY, S. R. (2003): “The Measurement of Multidimensional Poverty.”, The Journal of Economic Inequality, 1, 25-49.
Comisión Económica para América Latina y el Caribe (CEPAL). (2001): “El método de las necesidades básicas insatisfechas (NBI) y sus aplicaciones en América Latina.” Santiago de Chile, Chile.
Comisión Económica para América Latina y el Caribe (CEPAL). (2013): “Pobreza infantil en América Latina y el Caribe”, en Panorama Social de América Latina 2013, Santiago de Chile, Chile, CEPAL, capítulo II. .
Comisión Económica para América Latina y el Caribe (CEPAL); Fondo de las Naciones Unidas para la Infancia (UNICEF). (2013): “Guía para estimar la pobreza infantil, LC/M.2”, Santiago de Chile, Chile, CEPAL.
DE NEUBOURG, C.; CHAI, J.; DE MILLIANO, M.; PLAVGO, I.; WEI, Z. (2012): “Step-by-Step Guidelines to the Multiple Overlapping Deprivation Analysis (MODA)”, Working Paper 2012-10, UNICEF Office of Research. UNICEF, Florencia, IT. Disponible en: http://ppct.caicyt.gov.ar/index.php/pys/article/viewFile/8047/pdf
EUROPEAN COMMISSION. (2012): “Measuring material deprivation in the EU — Indicators for the whole population and child-specific indicators.”, Statistical working papers, Luxembourg, Publications Office of the European Union.
FOSTER J.; GREER J.; THORBECKE E. (1984): “A Class of Decomposable Poverty Measures.”, Econometrica, 52 (3), 761-766.
GORDON, D. (2017): “PSE-UK 2012 Survey. Note on the Poverty & Deprivation Measures.”, Bristol, UK, PSE-UK, University of Bristol.
GORDON, D.; ADELMAN, L.; ASHWORTH, K.; BRADSHAW, J.; LEVITAS, R.; MIDDLETON, S.; PANTAZIS, C.; PATSIOS, D.; PAYNE, S.; TOWNSEND, P.; WILLIAMS, J. (2000): “Povertyand social exclusion in Britain.”, York, U.K, Joseph Rowntree Foundation.
GORDON, D.; MIDDLETON, S.; BRADSHAW, J.R. (2002): “Millennium Survey of Poverty and Social Exclusion, 1999”. 2nd ed. Colchester, Essex: UK Data Archive, 10. SN: 4349.
GUIO, A.; GORDON, D.; MARLIER, E.; NAJERA, H.; POMATI, M. (2018): “Towards an EU measure of child deprivation.” Child Indicators Research, 11, 835, pp. 845.
GUTTMAN, L. (1945): “A basis for analysing test-retest reliability.”, Psychometrika, 10, pp. 255–282.
Instituto Nacional de Estadística y Censos (INDEC). (2019): “Condiciones de vida. Vol. 3, nº 4. Incidencia de la pobreza y la indigencia en 31 aglomerados urbanos.” Segundo semestre de 2018. Instituto Nacional de Estadística y Censos, Argentina.
MACK, J.; LANSLEY, S. (1985): “Poor Britain.”, London, U.K, George Allen and Unwin.
MARÍ-KLOSE P.; MARÍKLOSE, M. (2015): “Políticas de protección social contra la pobreza infantil mediante transferencias monetarias.”, Revista de estadística y sociedad, Nro. 63, pp. 38-40.
MARSH, A.; GORDON, D.; PANTAZIS, C.; HESLOP, P. (1999): “Home, sweet home? The impact of poor housing on health.”, Bristol, U.K, The Policy Press.
MARSH, A.; GORDON, D.; PANTAZIS, C.; HESLOP, P. (2000): “Housing Deprivation and health: A Longitudinal Analysis”, Housing Studies, Volume 15, No. 3, pp. 411-428.
MCKAY, S.; COLLARD, S. (2004): “Developing deprivation questions for the Family Resources Survey.” Department for Work and Pensions Working Paper No. 13. HMSO.
MIDDLETON, S.; ASHWORTH, K.; BRAITHWAITE, I. (1997): “Small fortunes: Spending on children, childhood poverty and parental sacrifice”, York, U.K, Joseph Rowntree Foundation.
MINUJIN, A.; NANDY S. (EDS.) (2012): “Global Child Poverty and Well-being: Measurement, concepts, policy and action,”, Bristol, U.K, Policy Press.
NÁJERA CATALÁN, H.E. (2020): “Medición de pobreza multidimensional: Una aproximación estadística con aplicaciones.” Documento inédito.
NÁJERA CATALÁN H.E.; GORDON, D. (2019): “The Importance of Reliability and Construct Validity in Multidimensional Poverty Measurement: An Illustration Using the Multidimensional Poverty Index for Latin America (MPI-LA)”, The Journal of Development Studies.
NANDY, S.; MAIN, G. (2015): “The consensual approach to child poverty measurement.” Mobilizing critical research for preventing and eradicating poverty. CROP Poverty Briefs.
NUNNALLY. J.; BERNSTEIN L. (1994): “Psychometric theory.”, New York, USA; McGraw-Hill Higher, INC.
Organización de las Naciones Unidas (ONU). (2015): “Objetivos del Desarrollo Sostenible (ODS)”, Nueva York, EE.UU.
REVELLE, W.; ZINBARG, R. (2009): “Coefficients alpha, Beta, omega, and the glb: Comments on Sijtsma”, Psychometrika, 74(1), pp. 145–154.
RINGEN, S. (1988): “Direct and indirect measures of poverty”, Journal of Social Policy, vol 17, pp. 351365.
SEN, A. (1976): “Poverty: an ordinal approach to measurement.”, Econometrica, Vol. 44, No. 2, pp. 219-231.
TOWNSEND, P. (1979): “Poverty in the UK.”, London, U.K Penguin Books.
TUÑÓN, I.; POY, S.; COLL, A. (2017): “La pobreza infantil en clave de derechos humanos y sociales. Definiciones, estimaciones y principales determinantes (20102014).”, Revista Población y Sociedad, Vol. 24, No. 1, pp. 101-133.
United Nations International Children’s Emergency Fund (UNICEF) Innocenti Research Centre (2012): “Measuring Child Poverty: New league tables of child poverty in the world’s rich countries”, Florence, IT, Innocenti Report Card 10, UNICEF Innocenti Research Centre.
ANEXO
GRÁFICOS DE ADITIVIDAD


Notas

Donde Si2es la varianza del ítem i y St2 es la varianza total del indicador. Al ser un indicador que se compone a partir de la suma de varianzas, si bien en la literatura se suele usar para variables continuas, no existe un impedimento para su utilización con variables discretas. El cálculo de la varianza para variables discretas se expresa como

Mientras que para variables continuas se calcula como la integral, en lugar de la sumatoria. Najera Catalán (2020) menciona diversos problemas asociados a la utilización del Alpha de Cronbach como medida de confiabilidad, sin embargo, aclara específicamente que esta es una medida válida para variables binarias, ordinales o continuas.