Abstract: Creative self-efficacy has emerged as one of the most striking constructs in education. Yet, instruments to assess it in children and adolescents are scant. This article introduces the CASES, a new creative self-efficacy scale designed to address this concern. The process of development and initial validation of the scale are presented herein. Following the items’ conception, exploratory, and confirmatory factorial analysis was performed. The final structure comprises nine items, evenly distributed by three factors: fluency, elaboration, and personality. Preliminary reliability and validity analysis display good psychometric properties, highlighting CASES as a potentially relevant addition to the creative self-efficacy assessment instruments array. Designed for children and adolescents (ages 3 to 16), it can uphold a developmental approach of creative self-efficacy, with potential implications within educational settings. Thus, it might be of interest for parents, educators, educational psychologists, researchers, and policymakers involved in designing curricula and interventions to nurture and enhance creative potential.
Keywords: Creativity, Self-Efficacy, Multidimensional Scaling, Child and Adolescent Development, Education.
Resumen: La autoeficacia creativa (AC) se ha convertido en uno de los constructos más discutidos de la educación. Sin embargo, los instrumentos para evaluarlo en niños y adolescentes son escasos. Este artículo presenta el proceso de desarrollo y validación inicial de CASES, una nueva medida de AC diseñada para esa populación. Tras la concepción de los ítems, se realizó un análisis factorial exploratorio y confirmatorio. La estructura final es constituida por nueve ítems, distribuidos uniformemente por tres factores: fluidez, elaboración y personalidad. Los análisis preliminares de confiabilidad y validez muestran buenas propiedades psicométricas, destacando la CASES como una adición potencialmente relevante al conjunto de instrumentos de evaluación de la AC. Diseñada para niños y adolescentes (de 3 a 16 años), puede permitir un enfoque en el desarrollo de AC con posibles implicaciones educativas. Por consiguiente, podrá ser de interés para padres, educadores, psicólogos educativos, investigadores y políticos implicados en el diseño de currículos e intervenciones capaces de nutrir y mejorar el potencial creativo.
Palabras Clave: Creatividad, Autoeficacia, Escala multidimensional, Desarrollo infantil y adolescente, Educación.
RESEARCH ARTICLE
Creative Self-Efficacy Scale for Children and Adolescents (CASES): A Development and Validation Study
Escala de Autoeficacia Creativa para niños y adolescentes (CASES): Un estudio de desarrollo y validación
Received: 20 May 2021
Revised document received: 20 January 2022
Accepted: 15 February 2022
In the last decade, creativity research has flourished as never before. Labelled as one of the essential skills for the 21st century Batelle for Kids, 2019), it has permeated educational settings, programs, and policies. Nevertheless, due to its multidimensional, dynamic and complex nature (Corazza, 2017; Gl˘aveanu, 2015), defining and measuring creativity remains challenging (PuenteDíaz, 2016).
From a componential standpoint, creativity emerges from the interaction between creative potential and creative production (Barbot et al., 2016), requiring motivation to be enacted. Indeed, belief systems can play a decisive role in the development of creativity, since transforming creative potential into creative behavior depends upon a person’s intentional action which, in turn, is sculpted by creative self-beliefs. These encompass creative self-awareness, creative self-image, and creative confidence beliefs (Karwowski et al., 2019). The latter are vital for creative action because they reflect a person’s belief in one’s ability to think or act creatively in a specific domain (Karwowski & Beghetto, 2019), comprising the creative self-concept and creative self-efficacy (CSE). As components of a multi-layered and continuously evolving belief system, these dimensions are deeply interconnected (Beghetto & Karwowski, 2017; Karwowski & Barbot, 2016). However, even deriving from a common core, they involve different facets of psychological functioning. While the creative selfconcept refers to a person’s cognitive and affective judgment of one’s ability to be creative, CSE can be defined as the belief one has in his/her/their ability to do something creative in a specific time and context. CSE is active during and after a person’s engagement with a task, as observed with general self-efficacy beliefs (Bandura, 1997). It helps to assess if our creative investment should be sustained, providing vital feedback to the ongoing process of constructing our belief system, which will be mobilized when facing future creative performance demands. Thus, it possesses a performative, dynamic, and prospective character (Karwowski & Beghetto, 2019), crucial when considering creativity relies upon the ability to confidently overcome difficulties and challenge oneself by embracing the perpetual process of (re)constructing the worlds we live in (Goodman, 1978). Moreover, CSE is situational or task dependent, revealing the profound influence of contextual determinants on its development. This singular combination of developmental and contextual influences supports a thoughtful analysis of CSE when aiming to comprehend the development of creativity in childhood and adolescence.
CSE has risen to prominence in the field of creativity scholarship (Haase et al., 2018; McKay et al., 2018). Initially studied in organizational settings (Jaussi et al., 2007; Mathisen & Bronnick, 2009; Tierney & Farmer, 2002), it has flourished in education research (Anderson & Haney, 2020), contributing to envisioning schools as powerful developmental arenas, capable of encouraging (or hindering) the healthy construction of children and adolescents belief systems’ (Beghetto & Dilley, 2016; Beghetto, 2014).
The ascendancy of self-efficacy in creativity stems from the fact that the ability to self-motivate and pursue hard-to-achieve goals is almost a sine qua non condition for success in the creativity domain. A person with high self-efficacy levels tends to anticipate actions by creating potential cognitive scenarios, revealing greater cognitive resourcefulness and strategic flexibility, potentially translating into a contextually situated, more effective, and productive management capacity (Wood & Bandura, 1989). Simultaneously, the challenges underlying the social valuing of creativity demand a resilient and positive sense of self-efficacy, highlighting how creative abilities are not enough by themselves. Creative expression (deeply nuanced by self-efficacy beliefs) is also needed. Thus, having creative self-efficacy entails being able to mobilize cognitive resources and motivation to actively pursue an action path that grants better odds of success when facing a creative task or problem (Shaw et al., 2021).
Recent studies underline CSE as a powerful predictor of different types of creative performance (Beghetto et al., 2011; Jaiswal & Dhar, 2016), as well as a mediator between motivation and social influence (Malik et al., 2015), critical thinking, and employee creativity (Jiang & Yang, 2014), or even between creative mindsets and creative problem-solving (Royston & ReiterPalmon, 2017). Recently, it has been positively and significantly associated with mental well-being (Fino & Sun, 2022). Furthermore, higher levels of creativity appear to be associated with higher CSE levels (Valquaresma, 2020), both contributing to an improvement of self-competence perceptions and increased engagement in creative activities (Beghetto & Karwowski, 2017; PuenteDíaz & Cavazos-Arroyo, 2018). On the other hand, CSE is significantly influenced by knowledge gained through experience and observation, emotional activation, and verbal encouragement (Dampérat et al., 2016; Farmer & Tierney, 2017). The latter is especially important in educational settings, where peer, parent, and teacher-supported behavior and classroom atmosphere emerge as significant factors in the process of development of CSE (Beghetto, 2006; Karwowski et al., 2015).
Creativity research has also emphasized the multidimensionality of CSE (Abbott, 2010; Alotaibi, 2016; Beghetto, 2009; Karwowski et al., 2012). In the CSE literature, two dimensions have consistently arised: one related to a cognitive aspect (Tan, 2007), and another related to performance (Farmer & Tierney, 2017; Mathisen, 2011).
CSE develops through balancing the expression of a person’s psychological functioning (grounded in a dynamic cognitive structure) with an externalized manifestation of creativity, in a particular time and space. Therefore, attempts to dissect and comprehend CSE should equate its multidimensionality, avoiding the oversimplification of its developmental process.
In a comprehensive approach to creative behavior, Karwowski and Beghetto (2019) proposed a conceptual model that asserts how important confidence beliefs are in creative action, acting as mediators (i.e., predictors) of creative performance. When creative behavior is envisaged as an agentic action, creative confidence beliefs become critical elements of the development of creativity. To do something creative, one must first decide to be creative. From our perspective, this underpins an understanding of creativity as a construct that resonates with one’s psychological complexity (Valquaresma & Coimbra, 2021). CSE is activated when a person is faced with a task to perform, triggering a set of cognitive processes, whose direction will be determined by the self-judgment about one’s self-confidence in carrying out the task in a creative way. A multitude of dialogical and contextual variables informs the decision to perform (or not) a given creative task, nuancing CSE with myriad shades. To decode them, one must resort to one’s psychological structures. Thus, the decision to engage, avoid, or sustain interest in a specific creative task heavily relies upon CSE (Beghetto & Karwowski, 2017).
This dynamically evolving process brings to light the plasticity of CSE, which is particularly important for psychological and educational interventions. Additionally, it points us in the direction of a developmental approach, because a comprehensive analysis of the developmental processes of CSE in children and adolescents holds the promise of gaining a broader and more impactful perspective on creativity. At the same time, it emphasizes the importance of early interventions in education for encouraging transformative developmental trajectories.
Departing from this holistic developmental stance, we considered observing CSE not only in middle-school, highschool, or university (Atwood-Blaine et al., 2019; Joët et al., 2011; Karwowski, 2012; Ohly et al., 2017), but also in preschool and primary school.
Despite previous research focusing mainly on the development of creative self-beliefs from the age of ten (Karwowski & Barbot, 2016), Piaget’s framework (1952, 1978) suggests that children’s cognitive development occurs not as a result to their awareness of the skills they are acquiring through development, but due to the internalization of those skills in a psychological structure. In fact, Bandura (1999) contends that self-beliefs are formed at a young age and serve as the foundation for subsequent self-efficacy beliefs. In other words, even though the youngest children have not yet developed the mechanisms that structure their awareness of their selfefficacy beliefs, those beliefs are integrated into a psychological structure that makes them implicitly present. Therefore, it appears critical to expand empirical research on the development of CSE to preschool and primary school. After all, in most Western education systems, preschool is a significant milestone of a child’s educational journey: it is the first experience within a curriculum-based educational program. Given CSE’s conceptual background, formal educationalcontexts (such as preschool education) can have a significant influence on the development of creativity (Craft, 2002; Valquaresma & Coimbra, 2021). Hence, designing psychological instruments for younger children may provide relevant data for understanding how CSE evolves. Nonetheless, as Joët et al. (2011) reported, CSE measures for children under the age of ten are scarce. To our best knowledge, a CSE scale for preschool and/or primary children has yet been developed, disclosing a potential vulnerability in the CSE developmental studies. Bearing these premises in mind, we set out to design, analyze, and validate a new CSE scale (the Creative Self-Efficacy Scale for children and adolescents [CASES]) that could contribute to a more inclusive and comprehensive understanding of CSE’s impact on child and adolescent creative development.
To increase content and criterion validity, we draw inspiration from previous instruments such as Abbott’s CSE Inventory (Abbott, 2010), Beghetto’s CSE Inventory (Beghetto, 2006), and Karwowski’s Short Scale for the Creative Self-Concept (Karwowski et al., 2012).
Following the scholarship on the CSE’s multidimensionality, we considered two CSE dimensions: thought and action. The first, linked to creative idea generation, can be defined as a person’s belief in his/her/their ability to produce creative thoughts (and can be manifested, for example, by the confidence in the production of multiple creative ideas [fluency] or in the ability to elaborate an idea or thought creatively [elaboration]). In contrast, the second refers to believing one can perform a certain creative activity, in a given situation and context. Hence, it is more attuned with creative action and implementation, and highly associated with motivational and personality variables.
Bandura’s (2006) guidelines for assessing self-efficacy beliefs in children and adolescents were considered when designing the CASES. As a result, it was designed to be a short, multidimensional scale, appropriate for children aged 3 to 16. It aimed to overcome the age and school level boundaries discussed above, thereby opening future research possibilities for understanding how school influences the development of CSE. Moreover, this age range encompasses the preschool and basic education levels of the Portuguese education system1, which were the focal points of a larger project (aimed at exploring the approach to creativity within the preschool and basic education curriculum), from which the current research stems.
Because it is aimed at an underage population, ethical implications were considered before collecting data. In harmony with the principles of The Declaration of Helsinki, we gathered, a priori, protocols of school board consent, oral or written child assent, as well as their legal guardian’s parental written consent. The study was also reviewed and approved by the Ethics Committee of the Faculty of Psychology and Education Sciences of the University of Porto, in Portugal (Ref.2019/07-3).
Participants had to be enrolled in preschool and basic education levels, and they had to be aged between 3 to 16 years old. Parental consent and child/adolescent assent were required.
Several meetings with the school director and teachers were held prior to data collection to ensure that all data collection requirements were met, as well as the timely gathering of informed consent and participant’s assent protocols from parents and guardians. Institutional permission was granted to collect data in five schools. The study’s 18 classes were chosen at random using an online selection software (www.miniwebtool. com). The first author contacted each class’s director and made the Informed Consent Protocol and the Participant Assent Protocol available to Parents and Guardians. As soon as they were granted, several data collection dates were set between the months of January and March 2019. Individual written responses were provided by the majority of participants. However, for those who attended preschool and the first year of basic education, CASES was answered orally with the first author’s assistance because the participants’ basic reading abilities had not yet been acquired or cemented. The school provided a private room to ensure complete confidentiality and to increase the participant’s comfort level. Oral instructions were limited to those written at the beginning of the scale in order to standardize the application conditions. Whenever there were questions or concerns, they were addressed and directed back to the original guidelines.
Participants could opt out of the study at any point during the process if they did not want to continue.
Through a convenience sampling process, a total of 393 children and adolescents (50.9% female), aged 3 to 16 (M = 9.06, SD = 3.60), and enrolled in preschool and basic education levels in a school cluster from the metropolitan area of Porto, participated in this study. The socioeconomic and cultural level (SECL) distribution of the participants had 26.2% in the lower level, 59.0% in the middle level, and 14.8% within the upper level. This distribution resembles the Portuguese socioeconomic reality.
To perform an exploratory factorial analysis (EFA) and a subsequent confirmatory factorial analysis (CFA), the total sample was randomly divided into two sub-samples using a stratified random sampling procedure. Table 1 presents each sample’s demographic characteristics.
Prior to data collection, participants were asked a few questions about their age, gender, and school level. The responses were provided by the teacher in the case of children aged 3 to 7. SECL is the average result of the participants’ legal guardians’ education level and current occupation, plus the number of experiences the child/adolescent has had in art settings. We averaged the results of each item using a Likert-type scale ranging from 0 (rare) to 3 (frequently) to obtain the SECL final score. Given the breadth of the art experiences item, we decided to compute it using three different elements: museum visits, frequency of extracurricular arts activities, and concert attendances. This decision is based on a previous observational analysis, which revealed that those art experiences were the most frequent and accessible in the participants’ daily life contexts.
The process of item development involved several stages. As mentioned above, it began by performing a literature review and assessment of existing scales; therefore, following a deductive method (Boateng et al., 2018).
Aiming to construct a multidimensional scale, we sought to produce items that could express the thought and action dimensions of CSE. To avoid potential confusion with other creative self-related constructs (i.e., creative self-concept), the items referred to a perception of the participant’s confidence instead of only focusing on their perception of competence.

We developed an initial set of twenty-one items, stated in the first person, clearly and without negative phrasing. The items were designed to capture the participants real-life experiences. Participants could express their level of confidence in completing the task at hand using a five-point Likert-type response scale (1=not at all confident; 2=not very confident; 3=confident; 4=quite confident; 5=totally confident). Response scales with five points are recommended by Boateng et al. (2018) for items reflecting relative degrees of a single item response quality. The CASES was designed as a paper-and-pencil instrument, with a maximum completion time of twenty minutes for the initial version.
Before distributing the CASES to the participants, we assembled a panel of five Psychology experts (3 female) with advanced knowledge in the key-concepts of the scale, who asserted the items’ suitability to the overall goals. This procedure also contributed to enhance the scale’s content validity (Boateng et al., 2018).
The facial validity was initially tested with a focus group of 24 children/adolescents (12 female), aged 3 to 14, evenly distributed per educational level (preschool to the 3rd cycle of basic education). The participants were asked to think aloud while responding to the scale (Tsang et al., 2017) and identify words or items they did not understand. In the case of children between 3 and 7 years old, the responses were registered by the first author. This procedure allowed verifying the items’ adequacy regarding language comprehension and developmental level appropriateness, which led to minor grammatical changes to CASE’s first version.
To determine the scale’s underlying factor structure and to support decisions regarding item retention, we performed an EFA. Using IBM Statistics SPSS 24, we asserted the assumptions fulfilment to perform it, addressing outliers and excluding missing values cases’ listwise. We also assessed item sensitivity by examining the descriptive statistics for each item (i.e., range, means, medians, skewness, and kurtosis; see Appendices: Table A). Furthermore, we looked at inter-item correlations and the anti-image diagonal to confirmed if the values were higher than .50.
Before factor extraction, we tested for homogeneity of variances across data by performing Bartlett’s Sphericity Test (Snedecor & Cochran, 1980). We examined the common variance in data through the KaiserMeyer Olkin (KMO) measure of sampling adequacy (Kaiser, 1970). Following Hair et al. (2018) recommendations, dimensionality was measured using Principal Axis Factoring (PAF) (considering an eigenvalue criterion greater than 1) through a reflective model with Oblique Rotation, because CSE dimensions represent latent variables and were expected to be correlated (Reise et al., 2000). Through an iterative, repeated EFA process, we retained items with no cross-loadings and factor loadings greater than .32, until we reached the final factor solution (Tabachnick & Fidell, 2014).
To determine if the model’s covariance structure was similar to the covariance structure of data, we performed a CFA (Cheung & Rensvold, 2002), using SPSS Statistics AMOS 24.
Firstly, we tested for multivariate normality by confirming asymmetry (sk) and kurtosis (ku) coefficients absolute values were within 3 and 10, respectively (Weston & Gore, 2006).
Following Brown (2015) recommendations, several indices were considered to assess the global quality of adjustment of the factorial model, namely: chi-square test and the chi-square/degrees of freedom between 1 and 2; Comparative Fit Index (CFI) above .90 (Bentler, 1990); Goodness of Fit Index (GFI) above .90 (Jöreskog & Sörbom, 1981); and, the root mean square error of approximation (RMSEA), P [RMSEA .05] below .80 (Steiger, 1990). The quality of local adjustment was assessed by observing each item’s standardized regression weights. When theoretically grounded, the model was also adjusted based on the modification indices suggested by AMOS (greater than 11; p < .001).
Common Method Variance Analysis. Common method variance can introduce a significant bias to research results. To assess if it existed, we conducted some diagnostic procedures, namely, a Harman single-factor test followed by a CFA analysis where all items loaded on a single factor. Additionally, we analyzed the correlations between the scale’s dimensions to check if there could be a high commonality between the factors.
To calculate the reliability of the EFA, we resorted to JASP (version 0.10.2) to determine McDonald’s ωt coefficients because recent research suggests it is a more robust and reliable measure than Cronbach’s alpha, especially when using multidimensional data (Trizano-Hermosilla & Alvarado, 2016).
In the CFA case, composite reliability (CR) was computed (McNeish, 2018). Convergent validity was analyzed, using factor loadings (standardized regression weights) to calculate the averagevarianceextracted (AVE). In contrast, each factor’s discriminant validity was assessed by computing the heterotrait-monotrait ratio of correlations (HTMT; Henseler et al., 2015). HTMT is a novel approach to determine discriminant validity that has demonstrated higher performance compared to the Fornell-Larcker criterion (1981) and the assessment of (partial) cross-loadings (Franke & Sarstedt, 2019). According to Henseler et al. (2015), discriminant validity can be established when the HTMT value is inferior to .85.
The Bartlett’s sphericity test was significant, thus confirming homogeneity of variance [χ2(210) = 1212, p < .05)]. The KMO measure of sampling adequacy was .84, demonstrating the existence of a highly adequate sample for analysis.
When the PAF with Oblique Rotation was performed, the anti-image diagonal revealed values above .50, as expected. After analyzing the scree plot and observing initial eigenvalues (above one), we obtained an initial six-factor solution that explained 46.6% of the total variance. The pattern matrix showed items 3, 10, and 17 cross-loaded in more than one factor. Following Boateng et al. (2018) suggestions, we decided to eliminate those items and run a new EFA, to verify if this procedure improved and refined the scale’s factorial structure. This was confirmed, leading to a new five-factor structure, with an acceptable 42.6% total variance explained (Hair et al., 2018). Nevertheless, items 13 and 18 did not load in any factor, whereas item 20 cross-loaded in two factors. Therefore, they were removed from the analysis, after which we re-ran the EFA. This time, a fourfactor solution emerged (with a 42.4% total variance explained). Still, item 4 had no factor loadings. We proceeded by dropping it and performed another EFA. Although explaining 43.8% of the total variance, the fourfactor solution obtained showed factor four had only two items. We chose to remove items 1 and 6 because factors should have a minimum of three items to ensure theoretical significance and validity (Froman, 2001; Hair et al., 2018). The subsequent EFA presented a three-factor factorial matrix, with all items loading only in one factor. However, the commonalities analysis of this solution displayed a commonality value (after extraction) of .15 for item 2. Considering a very low commonality value indicates the factor provides an insufficient explanation of the items’ variance -with consequences in the scale’s overall validity and reliability-, so we decided to discard it.
Our final EFA provided a factorial matrix of 11 items, distributed by three factors (Table 2), with 42.4% of the total variance explained (see Appendices Table B).
Factor one refers to fluency and comprises 4 items (e.g., item 2: ‘Quando estamos a brincar sou o primeiro a dizer um jogo para jogarmos’, which translates to “When we are playing, I am the first to say which game to play”). Factor two, also with 4 items, relates to elaboration, displaying the highest loading item of the whole scale (item 6: ‘Consigo criar histórias a partir de sonhos que tive’, which translates to “I can tell a new story from dreams I’ve had”). The third and final factor has 3 items linked to personality characteristics associated with creativity (e.g., ‘Adoro inventar jogos’ - translating into “I love creating games”). Factors means’, standard deviations, and correlations can be observed in Table 3.


Reliability analysis using McDonald’s ωt indicated overall good reliability (ωt = .78). Internal consistency for each factor was either good (for factor one-fluency, and factor three-personality) or acceptable (for factor two-elaboration) (Nunnally & Berstein, 1994), as shown in Table 4.

Altogether, three models were tested using CFA. The first one replicated the factorial structure achieved with the EFA. However, the model did not reveal adequate fit (χ2/df = 2.17; CFI=.88; GFI=.93; RMSEA=.08; furthermore P [RMSEA ≤ .05] = .03). When we examined

The factor loadings, we observed item 8 had a loading of .40, which can be considered too low. Since it was included in the elaboration factor (with 4 items), we decided to withdraw item 8 and re-ran the CFA. The results showed slight improvements (χ2/df = 2.15; CFI=.90; GFI=.94; RMSEA=.07; P [RMSEA .05] = .05), leading us to analyze the modification indices, which suggested that removing item 16 could contribute to a better model fit. We eliminated the item and performed one last CFA. This produced an overall improvement, with results suggesting adequate model fit (χ2/df = 2.03; CFI=.91; GFI=.95; RMSEA=.07; P [RMSEA .05] = .11).
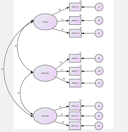
Table 5 displays the final nine item-solution for the scale, item distribution per factor, and each item’s standardized regression weights.
The final CFA model can be found in the Appendices, Figure 1.
The Harman single-factor test of all the scale’s items identified various factors, the largest of which accounted for only 25.2% of the total variance extracted, not showing clear evidence of common method bias.
Regarding the CFA model test where all items loaded in one single factor, it critically failed the overall fit test (χ2/df = 3.29; CFI=.78; GFI=.91; RMSEA=.11; furtheremore P [RMSEA .05] = .00), giving grounds to consider common method bias was not a significant problem of our model.
When weobserved the correlationsbetween the CASES constructs’, results showed fairly small values (the highest was r = .41), implying low commonality among them.
Composite reliability for the overall scale was found to be good (CR = .82) (Hair et al., 2017). Considering the scale’s exploratory nature, CR for the three sub-scales was acceptable, as can be observed in Table 6.


Convergent validity was assessed by calculating AVE, which can be considered satisfactory regarding the scale’s initial phase of development (Fornell & Larcker, 1981).
Factorial validity was also found, since most items displayed loadings above .50 (Hair et al., 2018), underlining an adequate item’s specification and distribution in the scale’s structure. Although items 7 and 21 had loadings under .50, we kept them in the model. This decision is anchored in their relevance for scale’s overall factorial structure and its internal consistency and validity. Removing them could theoretically compromise the scale’s significance, resulting in a majority of scale dimensions constituted only by two-items (Froman, 2001).
To assess discriminant validity, we resorted to Henseler’s online calculator (http://www.henseler.com/htmt. html). The scale evidenced discriminant validity, as HTMT values were all under .85 (vid. Table 7).

The CASES provides a CSE scale specifically designed to grasp a broad and diverse developmental span, namely preschool and primary school children, and adolescents up to the age of 16. As far as we know, this is novel in the field and has the potential to broaden the understanding of the development of CSE.
The final CFA analysis of the scale confirmed a multidimensional, three-factor structure, with overall good scale reliability (CR = .82). Common method variance was tested. While we cannot completely remove the possibility of such bias, our results suggest that, if present, it is fairly limited and unlikely to confound the interpretation of our results.
The CASES consists of nine items, evenly distributed by each of the factors: fluency, elaboration, and personality. This factorial structure confirms the scale’s multidimensionality and is in line with previous CSE studies (Abbott, 2010; Karwowski et al., 2012). Furthermore, the scale’s dimensions also seem to manifest the balance between cognitive and personality spheres, which has consistently been stated in creativity research (Benedek et al., 2018; Frith et al., 2020; Puryear et al., 2019). Fluency and elaboration compose the cognitive facet of the CASES and represent two well-known dimensions of divergent thinking associated with creativity (Vally et al., 2019). Even though we aimed to develop a CSE scale that could structurally reflect divergent and convergent thinking dimensions of creativity, our findings seem to strengthen the relevance of the link between CSE and divergent thinking features (Puente-Díaz & Cavazos-Arroyo, 2018). However, there is also the possibility that, in spite of our effort to specifically elicit CSE beliefs, this result may be displaying the predominance of a divergent thinking definition of creativity among our participants. In the future, research should control this aspect by scanning the participant’s implicit theories of creativity. The personality dimension, on the other hand, refers to individual characteristics associated with creativity (e.g., autonomy, resilience) and seeks to assess the relevance of certain personality characteristics to the development of CSE, rather than gauging the significance of creativity for the person’s identity (Karwowski et al., 2012). Thus, the CASES can be thought of as a more holistic and developmentally oriented psychometric instrument that enables a perspective of CSE as an element of a dynamic, multidimensional, and complex matrix of creativity.
Overall, the scale’s final factorial structure showed good psychometric properties with no overlapping factors, notwithstanding somewhat low values of CR and AVE for its dimensions. If fluency and elaboration fit the threshold for acceptable results (Hair et al., 2018), personality indices are below those guidelines. Despite this, we believe that lower results are understandable in an exploratory and early stage of a psychometric instrument development, such as it happens with the CASES. In this sense, keeping the three-factor structure was a more coherent option in this regard, because removing a theoretically relevant dimension such as personality could jeopardize the scale’s nomological validity (Hagger et al., 2017).
Another point worth discussing is that, given our developmental and ecological approach to CSE, we expected to find a dimension referring to the sociocultural influences permeating and shaping CSE beliefs. As we mentioned above, school and educational settings have a significant influence in the development of creativity in child and adolescents, with potentially significant interferences in CSE. Even though the items we developed to address that dimension were not robust enough to withstand the EFA and CFA analysis, their absence cannot be overlooked and should be explored in the future. Yet, the reduction in item number had a positive side effect: a final nine-item structure reduced completion time to a maximum of ten minutes, increasing the scale’s adequacy to our sample’s average attentional levels.
Aside from the research directions outlined above, it could also be fruitful to explore further the role of elaboration in the development of CSE. Elaboration (i.e., the ability to detail ideas) is a dimension where creative complexity can emerge. However, it remains understudied in the CSE research. From a developmental viewpoint, understanding this intersection can enlighten the implications of creativity and CSE in enriching psychological development trajectories. Future efforts should also consider testing the scale’s reliability results over time and its relationship with other CSE and divergent thinking abilities measures.
As a whole, CASES can be envisioned as a potentially relevant addition to the array of instruments assessing CSE, with implications amid educational settings. By gaining insight over child and adolescents CSE, parents, educators, educational psychologists, researchers, and policymakers can improve curriculum and interventions designed to nurture and enhance creative potential, opening new developmental possibilities of greater psychological complexity.


CASES
-Creative Self-Efficacy Scale for Children and Adolescents-
Below you will find some sentences regarding different activities. Please mark with one cross if you feel: not at all confident, not very confident, confident, quite confident, or totally confident, that you will be able to accomplish them.

⋆Corresponding author: Andreia Valquaresma. Email: andreia.valquaresma@gmail.com










