FITOSSANIDADE
Temporal selectivity of saflufenacil herbicide for the common bean crop of a brazilian oxisol
Seletividade temporal do herbicida saflufenacil à cultura do feijão em latossolo vermelho distroférrico
Temporal selectivity of saflufenacil herbicide for the common bean crop of a brazilian oxisol
Acta Scientiarum. Agronomy, vol. 38, no. 4, pp. 421-428, 2016
Editora da Universidade Estadual de Maringá - EDUEM
Received: 27 January 2016
Accepted: 06 April 2016
ABSTRACT.: The temporal selectivity of an herbicide refers to the time interval required between its soil application and crop sowing to prevent damage to crop development and reproduction. Using field bioassays, this study aimed to determine the temporal sensitivity of the herbicide saflufenacil when used with a crop. The study was conducted in two time periods during 2011/2012 and 2012/2013 and employed a split-plot, randomized block experimental design. The main plots were assigned to seven time intervals between herbicide application and bean sowing (0, 5, 10, 15, 25, 35, and 50 days), and the subplots were assigned to groups in which saflufenacil was absent or present (0 and 29.4 g ai ha-1). We determined the stand and the plant height at 7, 14, and 21 days after sowing (DAS), and the first pod height, the number of pods per plant, the number of seeds per pod and the grain yield at maturity. Saflufenacil negatively affected the development of the IPR-Tiziu bean; at 21 DAS, the stand and the plant height at maturity were the variables most sensitive to the herbicide. A minimum interval of 15 days between herbicide spraying and bean sowing was necessary to prevent a reduction in grain yield.
Keywords: persistence, Protox inhibitor, Phaseolus vulgaris, phytotoxicity.
RESUMO.: A seletividade temporal de um herbicida diz respeito ao intervalo necessário entre sua aplicação no solo e a implantação de uma cultura, para não haver prejuízos ao seu desenvolvimento e reprodução. Este estudo objetivou, por meio de bioensaios a campo, determinar o tempo necessário entre a aplicação do herbicida saflufenacil no solo e a semeadura para conferir seletividade à cultura do feijão. Os estudos foram realizados em 2011/2012 e 2012/2013, em parcelas subdivididas. Nas parcelas principais foram alocados sete períodos entre a aplicação do herbicida e a semeadura de feijão (0, 5, 10, 15, 25, 35 e 50 dias) e nas subparcelas a ausência e presença de saflufenacil (0 e 29,4 g i.a. ha-1). Determinou-se o estande e altura de plantas aos 7, 14 e 21 dias após a semeadura (DAS) e de inserção da primeira vagem, número de vagens/planta, número de grãos/vagem e rendimento de grãos na maturação fisiológica. O desenvolvimento do feijão IPR-Tiziu foi reduzido pela presença de saflufenacil, sendo o estande aos 21 DAS e altura de planta na maturação fisiológica as variáveis com maior sensibilidade. Intervalo mínimo de 15 dias entre aplicação e semeadura foi necessário para não haver prejuízo ao rendimento de grãos.
Palavras-chave: persistência, inibidor da Protox, Phaseolus vulgaris, fitotoxicidade.
Introduction
The use of herbicides for weed control must be carried out carefully, and the specific technical recommendations for the herbicides must be followed to optimize their effectiveness and minimize environmental and toxicological risks. A potential risk of these products involves the persistence of herbicide residue in the environment, which is toxic to subsequent crops (Blanco & Velini, 2005).
The temporal selectivity of an herbicide is influenced by factors related to its dosage, formulation, method and period of application and positioning and the characteristics of the plant, such as its retention capacity, uptake, translocation, differential metabolism, age, cultivar type, and seed size (Oliveira Jr., & Inoue, 2011). The effectiveness of a residual herbicide when used with a cultivated species can be altered by varying the time between herbicide application and crop sowing, which varies depending on herbicide soil persistence and the herbicide tolerance of the species or cultivar.
The persistence of an herbicide can be defined as its ability to maintain the integrity of its molecules and their physical, chemical and biocide properties in the environment in which it is applied (Guimarães, 1987). Herbicides that reach the soil may be subjected to various soil processes, such as sorption, leaching, and degradation, all of which are influenced by the particular physical, chemical and biological characteristics of the soil (Filizola, Ferracini, Sans, Gomes, & Ferreira, 2002) and determine its persistence in the environment.
The herbicide saflufenacil inhibits the enzyme protoporphyrinogen oxidase (Protox) by systemic and residual activity and was developed for the control of dicotyledonous weeds (Badische Anilin and Soda Fabrik [BASF], 2008). It can be applied pre-emergence or post-emergence or can be incorporated into soil pre-planting within a wide array of agricultural systems and is especially useful in burndown operations before the planting of cultivated species. Saflufenacil is effective against plants that are difficult to control, such as horseweed (Conyza spp.), which is resistant to glyphosate (Mellendorf, Young, Matthews, & Young, 2013; Waggoner, Mueller, Bond, & Steckel, 2013). This herbicide is non-volatile, moderately acidic and has a water solubility of 30 mg L-1 at pH 5.0 and 2,100 mg L-1 at pH 7.0. It is absorbed by the roots and leaves of the plant and is mainly translocated by the xylem, with limited movement in the phloem; this feature distinguishes it from other Protox-inhibiting herbicides (Grossmann, Niggewed, Christiansen, Looser, & Ehrhardt, 2010).
In Brazil, the common bean (Phaseolus vulgaris) is sown across more than 3.4 million hectares and is one of the most important staple foods (Comissão Técnica Sul-Brasileira de Feijão [CTSBF], 2009). Saflufenacil may be an alternative to control broadleaf weeds in legume crops, such as bean crops (Soltani, Shropshire, & Sikkema, 2010) because legume crops are reasonably tolerant to the herbicide. The dose of 100 g ha-1 saflufenacil caused phytotoxicity and decreased the yield of the adzuki bean (Vigna angularis) and various types of common bean (e.g., Phaseolus vulgaris and Phaseolus lunatus) (Soltani et al., 2010). The response to saflufenacil in ten Brazilian common bean cultivars was evaluated by Diesel et al. (2014), who reported that most of them were highly sensitive to the herbicide.
The persistence of saflufenacil in the soil depends on many factors; therefore, conflicting data can be found in the literature. According to BASF (2008), the half-life (t1/2) of the product varies between 7 and 35 days. In a study conducted in Tennessee, USA, in soil classified as Sequatchie loam (20% clay), saflufenacil had a half-life of 21.4 days (Mueller, Boswell, Mueller, & Stecke, 2014). The degradation of saflufenacil in soil planted with rice is influenced by the availability of water in the soil, which ranges from 28 days for soil at field capacity (non-irrigated) to 80 days for saturated soil (flooded) (Camargo, Senseman, Haney, Guice, & McCauley, 2013). Long periods of drought reduce the persistence of this herbicide as 28 days of drought maintained herbicidal activity at 80% effectiveness, and 90 days of drought reduced herbicidal activity to 8% effectiveness (Monquero et al., 2012).
Saflufenacil was recently registered in Brazil, and few studies have been conducted on its behaviour in Brazilian soils. There is a need for research to determine its temporal selectivity for crops introduced after weed desiccation.
Thus, this study evaluated the persistence of saflufenacil in a Brazilian oxisol and determined its toxicity to the bean cultivar IPR-Tiziu using a field bioassay.
Material and methods
The investigation was conducted within two periods at the Experimental Area of the Federal Technological University of Paraná (UTFPR), Pato Branco Campus (latitude 26°07'S and longitude 52°41'W); the first period was between February and June of 2012, and the second period was between October of 2012 and March of 2013. The soil of the area is classified as an oxisol (Empresa Brasileira de Pesquisa Agropecuária [EMBRAPA], 2006), whose characteristics are indicated in Table 1.
We used a split-plot, randomized block experimental design with four replications for each treatment. The main plots were assigned to seven time periods based on the number of days between the application of saflufenacil to the soil and the sowing of the beans (0, 5, 10, 15, 25, 35, and 50 days after application [DAA]), and the subplots were assigned based on the presence or absence of saflufenacil (0 or 29.4 g ai ha-1). The plots without saflufenacil application were hand weeded for weed control. The size of each main plot was 4.5 m long x 4 m wide, and the size of each subplot was 4 m long x 1.8 m wide. Each experimental unit consisted of four 0.45 m spaced bean rows. The working area of each subplot was 3 m long x 1.35 m wide.
The bean cultivar IPR-Tiziu was sown with a density of 31 plants m-2 at a depth of 3 cm. Saflufenacil was sprayed on the soil at pre-emergence, soon after sowing (0 DAA). The application was made with a CO2 pressurized backpack sprayer kept at a constant pressure and with flat fan nozzles located 0.5 m apart from each other along a 1.5 m-wide bar; the total spray volume was 200 L ha-1. The environmental conditions at the time of application for the two study periods were as follows: 1) 2011/2012: 25-28°C air temperature, 68-72% relative humidity, and 1.4-1.5 m s-1 maximum wind speed; and 2) 2012/2013: 26-29°C air temperature, 69-72% relative humidity, and 0.9-1.2 m s-1 maximum wind speed.

The minimum and maximum air temperatures and the rainfall recorded during the experimental period are illustrated in Figure 1A and B, respectively.

Sources: Rainfall (Experimental Area of the Federal Technological University of Paraná); Minimum and maximum temperatures (Weather Station of the Federal Technological University of Paraná - Pato Branco Campus).
The stand and the plant height were determined at 14 and 21 days after sowing (DAS). We counted the number of plants in two 4.0 m long rows that were centrally located within each subplot. Plant height was determined using plants within a 1 m row within the working area of each subplot. When the plants had reached physiological maturity, we again determined the plant height, as well as the first pod height, the number of pods per plant and the number of seeds per pod using ten plants randomly collected in the working area of each subplot. The grain yield was obtained by threshing, weighing and correcting for moisture (13%) the grain found in the subplot working area.
Data were analysed for variance using the F test and based on the three factors used in the split plot design: 1) the growing season, 2) the time between herbicide application and sowing time and 3) the presence or absence of saflufenacil. Significant interactions between factors were analysed using the Tukey's test (p < 0.05) with Winstat software (Machado & Conceição, 2005). Graphics were prepared with SigmaPlot 10.0 software (SIGMA PLOT, 2002). The relationships between the different factorial levels and the response variables were fitted by logistic regression with three and four parameters.
Results and discussion
The analysis of variance test for each variable was significant at 5%. The logistic regression analyses presented R² values between 0.73 and 0.99.
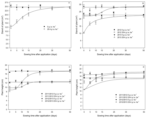
There was no significant difference between the two growing seasons in the stand of plants at 14 days after sowing (DAS), whereas at 21 DAS, there was an interaction between herbicide dose and growing season. At 14 DAS, there was no significant reduction in the stand of bean plants between the two growing seasons for the control group - without saflufenacil application (Figure 2A and B). The treatment of application of saflufenacil on the same day of bean sowing (0 DAA) significantly reduced the stand by 49% compared with the control. In turn, at 21 DAS (Figure 2B), the application of saflufenacil on the same day as sowing reduced the stand by 55 and 25% in the 2011/2012 and 2012/2013 growing seasons, respectively. The stand of plants was significantly reduced by the presence of saflufenacil in the soil compared with the stand of plants without saflufenacil (i.e., the control) at various time intervals up to 15 DAA in both growing seasons (Figure 2A and B).

A significant interaction was noted between herbicide dose and growing season in terms of plant height at 14 DAS and 21 DAS. At 14 DAS, in 2011/2012, we observed a 41% reduction in plant height in the treatment where saflufenacil was applied at 0 DAA compared with the control; in 2012/13, the reduction was only 18.3% (Figure 2C and D). At 21 DAS, the height difference between the plants treated with saflufenacil and the control plants was lower than the height difference between the two groups at 14 DAA. In terms of the data analysis at 21 DAS (Figure 2D), in 2011/2012, plant height was significantly reduced in the treatments with saflufenacil compared with the control at various time intervals up to 10 DAA; at time intervals between 15 DAA and 50 DAA, no significant differences in plant height were detected between the two groups. In 2012/2013, a significant reduction in plant height was observed with saflufenacil treatment at various time intervals up to 15 DAA, at which time it was reduced by 7% compared with the control.
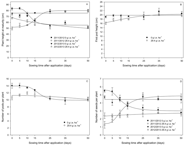
The application of saflufenacil on the same day of bean sowing reduced plant height at physiological maturity by 19 and 33% in the 2011/2012 and 2012/2013 harvests, respectively, compared with the control without saflufenacil application; differences in plant height between the treatment and control groups were observed at time intervals up to 10 DAA in both harvests (Figure 3A). The use of saflufenacil resulted in a lower first pod height up to 15 DAA compared with the control; however, no significant differences were found for this variable between harvests (Figure 3B).
The effect of saflufenacil is more detrimental to the development of some legume species than to others, as reported by Soltani et al. (2010). These researchers used a dose of 100 g ai ha-1 at pre-emergence (a 70% higher dose than that used in this experiment), which reduced the plant height of the cranberry bean, the lima bean, the snap bean and the white bean by more than 65% but reduced the plant height of the adzuki bean by only 25% and did not affect the plant height of the pea and the soybean.
The first pod height at physiological maturity (Figure 3A and B) is an important morphological indicator: it is recommended that plants have a minimum first pod height of 15 cm to avoid significant pod losses during mechanical harvesting (Salgado et al., 2012). In the present study, although saflufenacil treatments did not reduce the first pod height to less than 15 cm, a reduction in the pod height of 16% at 0 DAA for saflufenacil treatment compared with the control is notable because this reduction may vary based on the characteristics of the cultivar, the soil and the climate.
The presence of saflufenacil in the soil decreased the number of plant pods at sowing time intervals up to 15 DAA (Figure 3C); pod losses were 25, 19, 11, and 9% at 0, 5, 10 and 15 DAA, respectively. The number of seeds per pod was also reduced to varying degrees in the treatments with saflufenacil compared with the control, in which the reductions ranged from 33-56% in 2011/2012, and 41-69% in 2012/2013; there were significant differences in the number of seeds per pod between the saflufenacil and control groups at 15 DAA and 10 DAA in the 2011/2012 and 2012/2013 growing seasons, respectively (Figure 3D).
In general, there were no significant differences in grain weight between the saflufenacil and control groups in 2011/2012 (Figure 4). However, in 2012/2013, there was a significant reduction in grain weight of 16 and 14% for 0 DAA and 5 DAA, respectively, compared with the control group.
The presence of saflufenacil in the soil negatively affected the grain yield compared with the control group at time intervals up to 15 DAA, with grain yield reductions of between 23 and 41% across the two growing seasons (Figure 4B). These results were attributed to reductions in the number of plants per area, the number of pods per plant, the number of seeds per pod and the grain weight.


The lower average temperature (Figure 1A) and irradiance (i.e., sunlight) observed during the later sowing time intervals in the 2011/2012 growing season were unfavourable to the growth and reproduction of the beans, resulting in a reduction in plant height at maturity, the number of pods per plant, the number of seeds per pod and the grain weight for the control without herbicide (Figures 3 and 4). Taken together these reductions resulted in a lower grain yield (across the two harvest periods). According to Bisognin, Almeida, Guidolin, and Nascimento (1997), at later sowing dates in subtropical regions, higher temperatures act to shorten the period between emergence and flowering, and lower temperatures extend the period between flowering and grain maturation, both of which result in grain yield losses. The more favourable climatic conditions for the development and reproduction of bean crops in the 2012/2013 growing season resulted in a smaller reduction in bean yield components, although a decrease in grain yield in the controls was also observed in terms of the late sowing time intervals (across the two harvests).
The application of 100 g ha-1 saflufenacil, which was higher than the dose applied in the present study, negatively affected the grain yield of seven types of legumes; the reductions ranged from 56 to 99% for the adzuki bean, the cranberry bean, the lima bean, the snap bean and the white bean, whereas reductions of only 5% were observed for the soybean and the pea (Soltani et al., 2010). Regarding the use of saflufenacil with seven bean cultivars (e.g., from the black bean group, the carioca bean and the special bean), in which the method of application, the dose and the soil type were the same as in the present experiment, Diesel et al. (2014) reported reductions in grain yield ranging from 65 to 100%; they highlighted a 98% reduction in the yield of the IPR-Tiziu cultivar and indicated that yield losses may be variable. Hekmat, Shropshire, Soltani, & Sikkema (2007) conducted a study to assess the sensitivity of eight commercial bean groups to sulfentrazone (840 g ha-1), another Protox-inhibiting herbicide, and detected yield losses for the black bean, the cranberry bean, the otebo bean and the white bean of 47, 44, 26, and 52%, respectively, but found no yield losses for the brown bean, the kidney bean, the pinto bean and the yellow eye bean.
In the present study, for both harvests, it was possible to detect the effects of saflufenacil residue in the oxisol on the bean crop via comparisons between treatments with and without saflufenacil. Phytotoxicity to bean plants resulting from the persistence of saflufenacil in the soil was evident from 5-25 DAA based on some of the measured plant variables (Table 2). The number of plants at 21 DAS and the plant height at physiological maturity for the 2011/2012 growing season were the most sensitive of the measured variables to saflufenacil in the soil, whereas the seed weight (400 seeds) was the least sensitive variable (Table 2).
In the 2011/2012 growing season, we observed that longer time intervals between the time of herbicide application and sowing were needed to reduce the negative effects of the herbicide on four plant variables compared with the time intervals for the 2012/2013 season; the need for longer time intervals between application and sowing was more important for two plant variables in 2012/2013 than in 2011/2012. The contrasting results between the growing seasons may be related to the ability of bean plants to metabolize the herbicide and its relationship to the times of definition of specific yield components. It has been suggested that the reduced plant metabolism of herbicides at low temperatures results in a lower herbicide tolerance (Cole, Cummins, Hatton, Dixon, & Edwards, 1997; Gillespie & Miller, 1983; Vidal, 2002). Grossmann, Hutzler, Caspar, Kwiatkowski, and Brommer (2011) showed that the metabolism rate of saflufenacil by the shoots and roots of corn was responsible for a natural tolerance to the herbicide. The minimum period required for saflufenacil to not have an effect on the bean yield was 15 days between the herbicide application and the sowing of the crop. It is noteworthy that the dose used in this experiment, 29.4 g ai ha-1, is lower than the lowest recommended dose for the main crop species grown in Brazil today (Sistema de Agrotóxicos Fitossaniários [AGROFIT] 2015).

The time interval of 15 days between saflufenacil application and bean sowing is an important reference that can guide the actions of farmers and technicians, although persistence varies according to the dose, the soil type, the climatic factors, and the sensitivity of the cultivar to saflufenacil. This information should be emphasized because it is important to the profits of crop production. Alternatives exist that can contribute to an increase in the temporal selectivity of saflufenacil in bean crops, such as the combination of the herbicide with another herbicide, which may act to decrease the residual effect of saflufenacil and consequently reduce the time interval required between its application at burndown and the sowing of the bean crop. More information is needed, however, on the potential of combining saflufenacil with other burndown herbicides.
In the present experiment, the soil moisture and air temperature after applying saflufenacil (Figure 2A) were likely responsible for adequate microbial activity in the soil, accelerating herbicide degradation and dissipation. The soil persistence of approximately 90 days noted by Monquero et al. (2012) was much higher than that observed in our study, which can be explained by the lack of soil moisture after the application of saflufenacil, as reported by the authors, which acted to inhibit herbicide dissipation. Moreover, a study carried out in the United States on a soil classified as a Sequatchie loam found that saflufenacil had a half-life of 21.4 days (Mueller et al., 2014).
Finally, it is important and convenient to conduct further research on the persistence of the herbicide saflufenacil in the soil of bean crops in which different types of soil, climatic conditions, and sowing times are considered.
Conclusion
To prevent losses in the grain yield of the common bean grown in an oxisol soil, the time interval required between the application of saflufenacil (29 g ai ha-1) and bean sowing is approximately 15 days.
The variables most sensitive to the temporal selectivity of saflufenacil in terms of the common bean are the plant stand and plant height at physiological maturity.
The variable least sensitive to the temporal selectivity of saflufenacil in terms of the common bean is the seed weight.
References
Badische Anilin and Soda Fabrik [BASF]. (2008). Agricultural Products KIXORTM herbicide: Worldwide Technical Brochure (GL-69288). North Carolina, NC: Agricultural Products Division, Research Triangle Park.
Bisognin, G., Almeida, M. L., Guidolin, A. F., & Nascimento, J. A. (1997). Desempenho de cultivares de feijão em semeadura tardia no Planalto Catarinense. Ciência Rural, 27(2), 193-199.
Blanco, F. M. G., & Velini, E. D. (2005). Persistência do herbicida sulfentrazone em solo cultivado com soja e seu efeito em culturas sucedâneas. Planta Daninha, 23(4), 693-700.
Camargo, E. R., Senseman, S. A., Haney, R. L., Guice, J. B., & McCauley, G. N. (2013). Soil residue analysis and degradation of saflufenacil as affected by moisture content and soil characteristics. Pesticide Management Science, 69(12), 1291-1297.
Cole, D. J., Cummins, I., Hatton, P. J., Dixon, D., & Edwards, R. (1997). Glutathione transferases in crops and weeds. In K. K. Hatzios (Ed.), Regulation of enzymatic systems detoxifying xenobiotics in plants (p. 139-154). Chichester, UK: Wiley.
Comissão Técnica Sul-Brasileira de Feijão [CTSBF]. (2009). Informações técnicas para o cultivo de feijão na Região Sul brasileira 2009 (p. 163). Florianópolis, SC: Epagri.
Diesel, F., Trezzi, M. M., Oliveira, P. H., Xavier, E., Pazuch, D., & Pagnoncelli Jr., F. D. (2014). Tolerance of dry bean cultivars to saflufenacil. Ciência e Agrotecnologia, 38(4), 352-360.
Empresa Brasileira de Pesquisa Agropecuária [EMBRAPA]. (2006). Sistema brasileiro de classificação de solos (p. 412). Brasília, DF: CNPSo.
Filizola, H. F., Ferracini, V. L., Sans, L. M. A., Gomes, M. A. F., & Ferreira, C. J. A. (2002). Monitoramento e avaliação do risco de contaminação por pesticidas em água superficial e subterrânea na região de Guaíra. Pesquisa Agropecuária Brasileira, 37(5), 659-667.
Gillespie, G. R., & Miller, S. D. (1983). Absorption, translocation, and metabolism of diclofop by sunflower. Weed Science, 31(5), 658-663.
Grossmann, K., Niggewed, R., Christiansen, N., Looser, R., & Ehrhardt, T. (2010). The herbicide saflufenacil (KixorTM) is a new Inhibitor of protoporphyrinogen IX oxidase activity. Weed Science, 58(1), 1-9.
Grossmann, K., Hutzler, J., Caspar, G., Kwiatkowski, J., & Brommer, C. L. (2011). Saflufenacil (Kixor(tm)): Biokinetic Properties and Mechanism of Selectivity of a New Protoporphyrinogen IX Oxidase Inhibiting Herbicide. Weed Science, 59(1), 290-298, 2011.
Guimarães, G. L. (1987). Impactos ecológicos do uso de herbicidas ao meio ambiente. Série técnica IPEF, 4(12), 159-180.
Hekmat, S., Shropshire, C., Soltani, N., & Sikkema, P. H. (2007). Responses of dry beans (Phaseolus vulgaris L.) to sulfentrazone. Crop Protection, 26(4), 525-529.
Machado, A. A., & Conceição, A. R. (2005). WinStat: sistema de análise estatística para Windows [Software]. Pelotas, RS: Universidade Federal de Pelotas.
Mellendorf, T. G., Young, J. M., Matthews, J. L., & Young, B. G. (2013). Influence of plant height and glyphosate on saflufenacil efficacy on glyphosate-resistant horseweed (Conyza canadensis). Weed Technology, 27(3), 463-467.
Monquero, P. A., Sabbag, R., Orzari, I., Hijano, N., Galvani Filho, M., Dallacosta, V., ... Silva Hirata , A. C.(2012). Lixiviação de saflufenacil e residual após períodos de seca. Planta Daninha, 30(2), 415-423.
Mueller, T., Boswell, B. W., Mueller, S. S., & Stecke, L. E. (2014). Dissipation of fomesafen, saflufenacil, sulfentrazone, and flumioxazin from a Tennessee Soil under field conditions. Weed Science, 62(4), 664-671.
Oliveira Jr., R. S., & Inoue, M. (2011). Seletividade de herbicidas para culturas e plantas daninhas. In R. S. Oliveira Jr., J. Constantin, M. H. Inoue (Ed.), Biologia e manejo de plantas daninhas. (p. 348). Curitiba, PR: Omnipax.
Salgado, F. H. M., Silva, J., Oliveira, T. C., Tonello, L. P., Passos, N. G., & Fidelis, R. R. (2012). Efeito do nitrogênio em feijão cultivado em terras altas no sul do estado de Tocantins. Ambiência, 8(1), 125-136.
SIGMA PLOT. (2002). Scientific Graphing Software - Version 10 [Software]. San Rafael, CA: Jandel Corporation.
Sistema de Agrotóxicos Fitossanitários [AGROFIT]. (2015). Ministério da Agricultura, Pecuária e Desenvolvimento, Brasil. Monografia herbicida saflufenacil. Retrieved on Mar 12, 2015 from http://www.extranet.agricultura.gov.br/agrofit_cons/principal_agrofit_cons.
Soltani, N., Shropshire, C., & Sikkema, H. P. (2010). Sensitivity of leguminous crops to saflufenacil. Weed Technology, 24(2), 143-146.
Vidal, R. A. (2002). Metabolização e seletividade. In R. A. Vidal (Ed.), Ação dos herbicidas (Vol. 1, p. 51-59). Porto Alegre, RS: Evangraf.
Waggoner, B. S., Mueller, T. C., Bond, J. A., & Steckel, L. E. (2013). Control of glyphosate-resistant horseweed (Conyza canadensis) with saflufenacil tank mixtures in no-till cotton. Weed Technology, 25(3), 310-315.
Author notes
*Author for correspondence. E-mail: francielli_diesel@hotmail.com