GENÉTICA E MELHORAMENTO
History of northern corn leaf blight disease in the seventh cycle of recurrent selection of an UENF-14 popcorn population
Histórico da helmintosporiose em sete ciclos de seleção recorrente na população UENF-14 de milho-pipoca
History of northern corn leaf blight disease in the seventh cycle of recurrent selection of an UENF-14 popcorn population
Acta Scientiarum. Agronomy, vol. 38, no. 4, pp. 447-455, 2016
Editora da Universidade Estadual de Maringá - EDUEM
Received: 14 January 2016
Accepted: 06 May 2016
ABSTRACT .: To investigate the genetic resistance to northern corn leaf blight (Exserohilum turcicum) disease in the UENF-14 popcorn population and the inclusion of this trait in the analysis, two hundred ten popcorn half-sib families were evaluated using an incomplete block design with treatments arranged in replicates "Sets". Regarding the Families within "Set" (F/S) source of variation, enough genetic variability was found for northern corn leaf blight disease resistance to be explored in the next cycles of the UENF popcorn breeding program. The open-pollinated UENF-14 variety has a source of resistance to this disease in its genetic basis, given that it originated from crossing with an American cultivar with yellow grains that is resistant to disease. These results strengthen the possibility of selecting resistant families across the cycles, so it is concluded that the selection was effective at maintaining the balance in the occurrence of the disease in the study population and that the source of resistance is not lost with advancing cycles. The addition of the foliar disease variable in the analysis is of the utmost importance for the improvement of popcorn as it makes it possible to aggregate genes for resistance to this disease along with agronomic traits of interest.
Keywords: Exserohilum turcicum, half-sib families, Zea mays.
RESUMO.: Com o objetivo de investigar a resistência a Exserohilum turcicum na população de milho-pipoca UENF-14, bem como inclusão desta característica na análise, duzentas e dez famílias de meios-irmãos foram avaliados usando delineamento em blocos incompletos, com tratamentos dispostos em repetições dentro "Sets". Em relação à fonte de variação Famílias dentro "Set" (F / S), foi encontrada variabilidade genética suficiente para ser explorada nos próximos ciclos do programa de melhoramento de milho-pipoca da UENF em relação à doença helmintosporiose. A variedade de polinização aberta UENF-14 tem na sua base genética fonte de resistência à doença, devido ao fato que a mesma se originou a partir de cruzamento com a cultivar de grãos amarelos Americana, que é resistente à doença. Tais resultados vêm reforçar a possibilidade de seleção de famílias resistentes através dos ciclos. Portanto, concluiu-se que a seleção foi eficaz em manter o equilíbrio da doença na população em estudo e que a fonte de resistência não é perdida com o avanço dos ciclos de seleção. A adição da variável doença foliar na análise é de extrema importância para o melhoramento do milho-pipoca, pois torna possível agregar os genes para resistência a esta doença juntamente com as características agronômicas de interesse.
Palavras-chave: Exserohilum turcicum, famílias de meios-irmãos, Zea mays.
Introduction
Popcorn (Zea mays everta Sturt.) is a special type of maize and a popular snack food in Brazil, where its consumption has increased over the years, so it has become an economically attractive crop for farmers across the country (Mendes de Paula et al., 2010; Silva, Amaral Júnior, Gonçalves, Freitas Júnior, & Ribeiro, 2011; Moterle et al., 2012; Gonçalves et al., 2014). However, official data from Brazilian government institutions have revealed that popcorn production remains limited relative to the potential market for the crop, and the primary limiting constraint is obtaining cultivars with multiple favorable agronomic traits (Arnhold, Mora, Silva, Good-God, & Silva, 2009; Moterle et al., 2012; Ribeiro et al., 2012; Silva et al., 2013). There are 48 registered cultivars in Brazil (Ministério da Agricultura Pecuária e Abastecimento [MAPA], 2013), and most of them belong to the popcorn industry, which is represented by packing companies that make the seed stock available to only a few partner producers.
In contrast to common corn, popcorn plants generally have smaller, thinner and weaker stems; are very precocious in the maturation and drying of grains; produce tillers more often; have higher susceptibility to diseases and pests; are more prolific, i.e., have a greater number of ears per plant; and have fewer and narrower leaves and a small grain size (Li et al., 2008; Viegas Neto et al., 2012). Popcorn plants also have a less developed root system and suffer greater damage by attack from curcubit beetle worms (D. speciosa) and nematodes, which makes the plant more susceptible to lodging and desiccation (Li et al., 2008). This maize crop is further affected by several leaf diseases, which can cause significant damage to yield and grain quality. In particular, popcorn is susceptible to the northern corn leaf blight, which is caused by Exserohilum turcicum (Pass.) Leonard & Suggs (sin. Helminthosporium turcicum Pass.) and is characterized as one of the main foliar diseases (Carson, 2006; Harlapur et al., 2008; Scapin, Carnelossi, Vieira, Schwan-Estrada, & Cruz, 2010; Ishfaq et al., 2014).
According to Ishfaq et al. (2014), northern corn leaf blight disease is characterized by long elliptical, greyish green or tan leaf lesions that first appear on the lower leaves and increase in size and number until very little living tissue remains, and yield is reduced due to a lack of carbohydrates for grain filling. Northern corn leaf blight is a disease that occurs widely in all regions where susceptible corn, sweetcorn and popcorn are grown, and it has great potential to cause damage and has been studied for years (Rossi & Reis, 2014). Damage to the green leaf area during grain filling can cause up to a 40% reduction in grain yield in susceptible hybrids (Ferguson & Carson, 2007; Wang et al., 2010; 2012). The use of resistant cultivars has been the primary control measure of corn leaf diseases (Casela, Ferreira, & Pinto, 2006; Ferguson & Carson, 2007; Vieira et al., 2009; Ishfaq et al., 2014; Ayiga-Aluba, Edema, Tusiime, Asea, & Gibson, 2015), since it reduces production costs and minimizes management activities and environmental risks.
In this context, recurrent selection is an excellent breeding strategy for developing disease resistance since the goal of this method is to gradually increase the frequency of favorable alleles in a population with no loss in genetic variability. Recurrent selection consists of three steps: the development of progeny, their evaluation, and their recombination. These steps are carried out cyclically until the frequency of favorable alleles reaches satisfactory levels in the population (Hallauer, Carena, & Miranda Filho, 2010). Jenkins, Robert, and Findley Junior (1954) tested the efficiency of recurrent selection to concentrate polygenic resistance genes into nine groups of progenies. The results revealed that, in most groups, two cycles of recurrent selection were efficient for concentrating resistance genes that promoted good control of northern corn leaf blight disease, but in some cases, there was a reduction in the level of resistance.
As most of the gene action is additive and the level of resistance is related to the number of lesions, Hooker (1973) believes that a simple selection procedure can be effective in isolating maize lines with polygenic resistance to E. turcicum. According to the author, recurrent selection has been shown to be an effective means to concentrate resistance genes, and Miles, Dudley, Dudley, and Lambert (1981) found that it is possible to increase resistance to E. turcicum by any of several recurrent selection methods. Quantitative resistance to disease has been rapidly obtained through recurrent selection, and resistance to E. turcicum can be achieved with only two or three cycles of selection.
Thus, the Darcy Ribeiro North Fluminense State University (UENF) has developed a popcorn breeding program that employs a recurrent selection strategy, and it is currently in the seventh cycle of selection of an open-pollinated UENF-14 population. In its genetic base, the UENF-14 popcorn population has been crossed with the American popcorn variety, which is resistant to northern corn leaf blight (Resh et al., 2015), so the main purpose of this study was to evaluate the severity of the disease over seven recurrent selection cycles (C0 to C6) to verify that the alleles that confer resistance to E. turcicum have been maintained over the cycles.
Material and methods
Population origin
The UNB-2U open-pollinated population, currently named UENF-14, originated from the UNB-2 variety after two cycles of mass selection at Campos dos Goytacazes, Rio de Janeiro State, Brazil. The UNB-2 was originated from the UNB-1 variety, which came from a 'Composto Indígena' (Indian compound) selection donated to UNB (University of Brasília, Brazil) by ESALQ/USP, Piracicaba, São Paulo State, Brazil. The UNB-1 was crossed with an American popcorn variety, and selected plants from that cross were crossed with yellow grain popcorn, with a high-yield and Exserohilum turcicum-resistant genotype. After the second crossing, mass selection was applied to form a population of resistant, high yielding plants with yellow grains. This population was then backcrossed three times with the American popcorn variety, eventually originating the UNB-2 open-pollinated variety (Pereira & Amaral Júnior, 2001; Daros, Amaral Júnior, & Pereira, 2002).
The summary of the population trajectory is shown in Table 1, which presents the strategies used during the seven cycles of recurrent selection in the UENF-14 popcorn population. The selection indices and the characteristics used for selection are also found in Table 1.
Plant material
To obtain the half-sib families, ten lines of each cycle (C0 to C6) interspersed with 10 lines of the tester cycle (C0) of the UENF-14 population were used so that the half-sib families were obtained from crossings of the recurrent selection cycles (C0, C1, C2, C3, C4, C5 and C6) with the tester cycle (C0). As they arose, the tassels were eliminated from the line used as a female parent (C0, C1, C2, C3, C4, C5 and C6) so that only the lines containing the tester (C0) were able to produce pollen and pollinate the experimental field without contamination. Plants were spaced 0.20 m; there were 0.90 m between rows, and the lines were 5.0 m long. Three seeds were planted per hole at a depth of 0.05 m, and at 21 days after emergence, thinning was carried out, leaving one plant per hole.
Thus, this procedure produced 210 half-sib families, i.e., 30 half-sib families for each cycle. In other words, 30 families were obtained from the crossings between C0 x C0, 30 additional families from the crossings between C0 x C1 and so on until the 30 families from the crossings between the C0 x C6 intersection. These 210 half-sib families were evaluated in trials in Campos (Latitude: 21 44 '47' 'S, Longitude: 41 18' 24 '' W and Altitude: 11 m), Rio de Janeiro, Brazil. The off-season planting was performed on April 18, 2013 (Environment 1) and repeated for the second crop, for which planting occurred on September 4, 2013 (Environment 2).
Experimental design
The experimental design was a randomized block that was repeated in "Sets". Three "Sets" with three replications were used, and each "Set" contained 73 treatments, i.e., 70 families of half-sib and three controls (Beija-Flor, RS-20 and Barão Viçosa). Each "Set" was composed of families from each cycle that were numbered from 1 to 30. Therefore, in "Set" 1, 1 to 10 randomly selected families were clustered with more controls; families 11 to 20 were grouped in the "Set" 2 with more controls; and families from 21 to 30 were placed in "Set" 3 along with the controls.
The lines were cultivated in rows that were 2.40 m long and spaced 0.90 m from each other with 13 plants spaced 0.20 m apart in each row. Three seeds were sown in each hole at a depth of 0.05 m, and at 21 days after emergence, thinning was carried out leaving one plant per hole for a combined population of 60,185 plants per hectare. Fertilization planting was carried out according to the soil analysis, and the topdressing was held for approximately 30 days after planting. The cultural treatments were performed according to the needs of the culture.

Evaluated characteristics
Given that the experimental area had been successively planted with corn for many years, there was no pathogen inoculation, so the disease occurred spontaneously in the course of crop development.
The reaction of the genotypes to the foliar disease was monitored by estimating the severity of symptoms. Two estimation modes were adopted: measuring the percentage of the entire plant showing symptoms and measuring the percentage of the leaf immediately below the first ear showing symptoms, which were termed the severity in the plant and the severity in the leaf, respectively.
The severity of the disease based on the plant was estimated by modifying the scale notes adopted by Agroceres (1996), where the scale ranged from 1 to 9, and note 1: 0.5% severity; note 2: 1% severity; note 3: 10% severity; note 4: 30% severity; note 5: 50% severity; note 6: 70% severity; note 7: 80% severity; note 8: 90% severity; and note 9: 100% severity. The evaluation was performed by an appraiser once each season using six competitive plants per plot after the plants flowered.
The assessment of northern corn leaf blight severity on the leaf was performed once in both the 1st and 2nd seasons using six competitive plants per plot after flowering. The diagrammatic scale proposed by Lazaroto, Santos, Konflanz, Malagi, and Camochena (2012) was used, which included severity ranges according to the following estimated percentages of the leaf area affected by the disease: 0.5, 1.0, 2.5, 6.5, 15.5, 30.0, and 54.0%. These percentages were attributed to notes from 1 to 7, according to the observed severity.
Genetic x Statistical analysis
The variance analysis of the data was performed according to the statistical model Yijkl = ( + Ai + Sj + ASij + R/ASijk + F/Sjl + AF/Sijl + eijkl, where µ is the average; Ai is the fixed effect of the ith environment; Sj is the effect of the jth "Set"; ASij is the effect of the interaction between the environments and the "Sets"; R/ASijk is the effect of the kth repetition within the interaction between the ith environment and jth "Set"; F/Sjl is the random effect of the ith family within the jth "Set" (NID, 0, σ2F/S); AF/Sijl is the effect of the interaction between the environments and families within the jth "Set"; and eijkl is the experimental error (NID, 0, σ2). Based on the proposed model, the variance analysis was performed using SAS(r) (SAS 9.1, SAS Institute, 2002, Cary, NC, USA).
The genetic, phenotypic and environment components were obtained, where

is the estimator of the genotypic variance among families;

is the estimator of the phenotypic variance between families;

is the estimator of the residual average variance;

is the estimator of the variance in the genotype-versus-environment interaction;

x 100 is the percentage heritability based on the family averages;

is the estimator of the variation index, where CVg is the genetic variation coefficient, and CVe is the coefficient of experimental variation.
Results and discussion
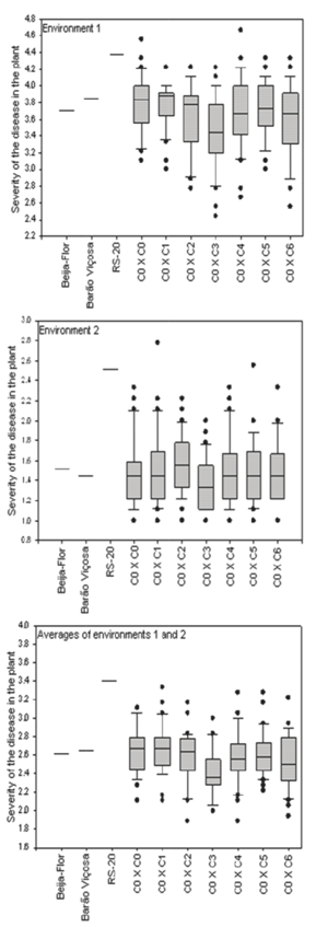
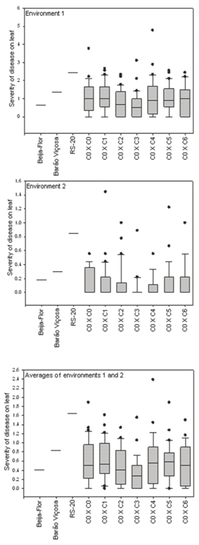
Through analysis of variance, significant differences were found in the Environment (E) source of variation between the two traits (Table 2), and the significance of this source of variation shows that the environments were distinct enough to promote differences in the evaluated characteristics. This result was expected since the pathogen has good survivability in crop residues, and its dissemination occurs by transport conidia over long distances by wind. Furthermore, moderate to high temperatures and high humidity favor the proliferation of the disease (Palaversic et al., 2012); the infection caused by Exserohilum turcicum is favored by mild temperatures ranging from 20 to 25°C and relative humidity above 90%, conditions that are ideal for the development of epidemics (Cota, Silva, & Costa, 2013). From Table 2, it can be seen that the mean observed for the first environment was higher for the disease severities on both the plant and the leaf. This result corroborates the prediction, considering that average temperatures were lower at the time of the experiment. In contrast, during the period corresponding to Environment 2, higher temperatures were prevalent, which are not considered optimal for the development of the disease, so the disease severity was lower.
The Families within "Set" (F/S) source of variation was found to be significant for both of the evaluated characteristics (p < 0.01), demonstrating sufficient genetic variability to be explored in the next cycle of the UENF popcorn breeding program in regard to northern corn leaf blight disease. The UENF-14 open-pollinated variety has a source of resistance to this disease in its genetic basis, given that it originated from the crossing of an American cultivar with yellow grains that is resistant to disease (Resh et al., 2015). In this context, the population appears to have been stable for this variable throughout the recurrent selection process, which was confirmed by means of boxplots (Figures 1 and 2).
Further, intuitive selection for greater disease resistance was conducted once the highly affected plants were not selected for recombination. Moreover, there is no denying that the families that were greatly affected by the disease had lower productivity, so this variable was selected for indirect selection. Because it is a characteristic of great importance for the improvement of this population, it would be interesting to include productivity in the model/selection index for new cycles to select families that add favorable alleles for this trait. Another possibility is the selection of families that add favorable alleles for grain yield and expansion capacity, which are achieved over the recurrent selection cycles, and exhibit a considerable level of resistance to northern corn leaf blight.
For the Environment versus Families within "Set" (ExF)/S source of variation, there were significant differences in the evaluated characteristic at the 5% level of probability. The significance of the (ExF)/S interaction indicates that the evaluated families behaved distinctly in both of the environments, but the significance is a question of probability. With greater degrees of freedom, there is also greater sensitivity, allowing for the detection of significant differences. As the cycles unfold, the set of treatments in each cycle is much smaller, which reduces the statistical power because higher interaction values are required to determine significance. Thus, greater attention should be paid to the unfolding as it can determine if the significance of the main effects and interactions occurred within each level. Significance was not observed for most characteristics in the unfolding, except for C4, so it is possible to select for superior families independent of the environment because the interactions over the cycles were not significant.



Table 3 shows that there is heritability for disease severity on the leaf ranging from 19.86 to 49.33%, and the severity of the disease on theplant ranges from 0 to 44.95%. The zero heritability value obtained in this experiment was due to the lack of genotypic variance between individuals in the C3 cycle. It is highly probable that this event is due to the use of inbred S1 families in the previous cycle (C2), which may have led to the narrowing of the genetic basis of the selected individuals. In the same table, it can be seen that the values of the variation index are greater than one unit. These results strengthen the possibility of selecting resistant families across the cycles so that the inclusion of this variable in the analysis would add additional information and result in the release of the variety with the highest level of resistance to northern corn leaf blight.
Ayiga-Aluba et al. (2015) assessed the response to two cycles of S1 recurrent selection for northern corn leaf blight in a population of an open-pollinated maize variety. They found that moderate heritabilities, desirable selection differentials and significant improvements in northern corn leaf blight disease resistance indicate that recurrent S1 selection was effective in improving that study population. This result confirms the importance of assessing the severity of this disease in breeding programs through recurrent selection.
Furthermore, in Table 3, we see that the heritability values fluctuate greatly, which reveals that the target characteristic suffers from significant environmental effects, so more robust methods to improve selection of superior families are necessary. According to the boxplot graphics, the same consideration should be made as noted above; there is variation due to disparate individuals (outliers) with both higher and lower levels of disease.
Therefore, it is concluded that the selection was effective at maintaining the balance in the occurrence of the disease in the study population and that the source of resistance is not lost with advancing cycles. The addition of a foliar disease variable in the analysis is of the utmost importance for the improvement of popcorn as it would be possible to aggregate genes for resistance to this disease along with agronomic traits of interest, allowing the selection of resistant and productive families in advanced cycles. Thus, the development of a new variety of popcorn will be possible so that farmers will be able to find high productivity and resistance to one of the major diseases that affect the culture in the same cultivar.
), genotypic variance (
), residual variance (
), variance in the genotype-versus-environment interaction (
), heritability based on the family averages (
), genetic variation coefficient (
), variation index (
) and additive variance (
) in the severity of the disease on the plant and on the leaf. Evaluated in 210 families in the UENF-14 popcorn population at Campos dos Goytacazes, Rio de Janeiro State 2013/2014.

Conclusion
The results obtained in this study strengthens the possibility of selecting resistant families across the cycles, so it is concluded that the selection was effective at maintaining the balance in the occurrence of the disease in the study population and that the source of resistance is not lost with advancing cycles. Thus, the addition of the foliar disease variable in the analysis is of the utmost importance for the improvement of popcorn as it makes it possible to aggregate genes for resistance to this disease along with agronomic traits of interest.
Acknowledgements
The authors are grateful to the Graduate Program in Genetics and Plant Breeding and the Foundation for Research Support of the State of Rio de Janeiro (FAPERJ) for the scholarship provided to the first author and to the Universidade Estadual do Norte Fluminense Darcy Ribeiro (UENF) for their financial support of this research
References
Agroceres. (1996). Guia agroceres de sanidade (p. 72). São Paulo, SP: Sementes Agroceres.
Arnhold, E., Mora, F., Silva, R. G., Good-God, P. I. V., & Silva, R. G. (2009). Evaluation of top-cross popcorn hybrids using mixed linear model methodology. Chilean Journal of Agricultural Research69(1), 46-53.
Ayiga-Aluba, J., Edema, R., Tusiime, G., Asea, G., & Gibson, P. (2015). Response to two cycles of S1 recurrent selection for turcicum leave blight in an open pollinated maize variety population (Longe 5). Advances in Applied Science Research, 6(12), 4-12.
Carson, M. L. (2006). Response of a maize synthetic to selection for components of partial resistance to Exserohilum turcicum. Plant Disease, 907), 910-914.
Casela, C. R., Ferreira, A. S., & Pinto, N. F. J. (2006). Doenças na cultura do milho(Circular Técnica 83, p. 14). Sete Lagoas, MG: Embrapa Milho e Sorgo.
Cota, L. V., Silva, D. D., & Costa, R. V. (2013). Helmintosporiose Causada por Exserohilum turcicum na Cultura do Milho (Circular Técnica 195, p. 8). Sete Lagoas, MG: Embrapa Milho e Sorgo .
Daros, M., Amaral Júnior, A. T., & Pereira, M. G. (2002). Genetic gain for grain yield and popping expansion in full-sib recurrent selection in popcorn. Crop Breeding and Applied Biotechnology, 2(3), 339-344.
Daros, M., Amaral Júnior, A. T., Pereira, M. G., Santos, F. S., Grabiel, A. P. C., Scapim, C. A., Freitas Júnior, S. P., & Silvério, L. (2004). Recurrent selection in inbred popcorn families. Scientia Agricola, 61(6), 609-614.
Ferguson, L. M., & Carson, M. L. (2007). Temporal variation in Setosphaeria turcica between 1974 and 1994 and origin of races 1, 23, and 23N in the United States. Phytopathology97(11), 1501-1511.
Freitas Júnior, S. P., Amaral Júnior, A. T., Rangel, R. M., & Viana, A. P. (2009). Predição de ganhos genéticos na população de milho pipoca UNB- 2U sob seleção recorrente utilizando-se diferentes índices de seleção Genetic gain prediction on UNB-2U popcorn population under recurrent selection by using different selection indexes. Semina: Ciências Agrárias, 30(4), 803-814.
Gonçalves, L. S. A., Freitas Jr, S. D. P., Teixeira do Amaral-Jr, A., Scapim, C. A., Rodrigues, R., Dornelles Marinho, C., & Stefani Pagliosa, E. (2014). Estimating combining ability in popcorn lines using multivariate analysis. Chilean Journal of Agricultural Research, 74(1), 10-15.
Hallauer, A. R., Carena, M. J., & Miranda Filho, J. B. (2010). Quantitative genetics in maize breeding (3a ed., p. 500). New York, USA: Springer.
Harlapur, S. I., Kulkarni, M. S., Wali, M. C., Srikant, K., Yashoda, H., & Patil, B. C. (2008). Status of turcicum leaf blight of maize in Karnataka. Journal of Agricultural Science, 21(1), p. 55-60.
Hooker, A. L. (1973). Maize. In R. R. Nelson (Ed.), Breeding plants for disease resistance (p. 132-154). Pennsylvania, PA: Pennsylvania State University Press, University Park.
Ishfaq, A., Dar, Z. A., Lone, A. A., Ali, G., Gazal, A., Hamid, B., & Mohiddin, F. A. (2014). Disease reaction studies of maize (Zea mays L.) against turcicum leaf blight involving indigenously identified cytosterile source. African Journal of Microbiology Research, 8(27), 2592-2597.
Jenkins, M. T., Robert, A. L., & Findley Junior, W. R. (1954). Recurrent selection as a method for concentrating genes for resistance to Helminthosporium turcicum leaf blight in corn. Agronomy Journal, 46(2), 89-94.
Lazaroto, A., Santos, I., Konflanz, V. A., Malagi, G., & Camochena, R. C. (2012). Escala diagramática para avaliação de severidade da helmintosporiose comum em milho. Ciência Rural42(12) 2131-2137.
Li, Y., Dong, Y., Niu, S., Cui, D., Wang, Y., Liu, Y., Wei, M., & Li, X. (2008). Identification of agronomically favorable quantitative trait loci alleles from a dent corn inbred Dan232 using advanced backcross QTL analysis and comparison with the F 2:3 population in popcorn. Molecular Breeding, 21, 1-14.
Ministério da Agricultura Pecuária e Abastecimento [MAPA]. (2013). Retrieved from http://www.agricultura.gov.br
Mendes de Paula, T. O. P., Gonçalves, L. S. A., Amaral Júnior, A. T., Oliveira, E. C., Silva, V. Q. R., & Scapim, C. A. (2010). Magnitude of the genetic base of commercial popcorn and recommendation in Brazil. Crop Breeding and Applied Biotechnology, 10, 289-297.
Miles, J. W., Dudley, J. W., Dudley, D. G., & Lambert, R. J. (1981). Response to selection for resistence to four disease in two corn populations. Crop Science, 21(6), 980-983.
Moterle, L. M., Braccini, A. L., Scapim, C. A., Pinto, R. J. B., Gonçalves, L. S. A., Rodrigues, R., & Amaral Júnior, A. T. (2012). Combining ability of popcorn lines for seed quality and agronomic traits. Euphytica, 185(3), 337-347.
Palaversic, B., Jukic, M., Jukic, K., Zivkovic, I., Buhinicek, I., Jozinovic, T., Vragolovic, A., Kozic, Z., & Jemenarstvo, S. (2012). Breeding maize for resistance to Northern leaf blight (Exserohilumturcicum Pass.) [Croatian]. Sjemenarstvo, 29(3/4), 111-120.
Pereira, M. G., & Amaral Júnior, A. T. (2001). Estimation of genetic componentes in popcorn based on the nested design. Crop Breeding and Applied Biotechnology, 1(1), 3-10.
Rangel, R. M., Amaral Júnior, A. T., Gonçalves, L. S. A., Freitas Júnior, S. P., & Candido, L. S. (2011). Análise biométrica de ganhos por seleção em população de milho pipoca de quinto ciclo de seleção recorrente. Revista Ciência Agronômica42(2), 473-481.
Resh, F. S., Scapim, C. A., Machado, M. F. P. S., Mangolin, C. A., Amaral Junior, A. T., Ramos, H. C. C., & Vivas, M. (2015). Genetic diversity of popcorn genotypes using molecular analysis. Genetics and Molecular Research, 14(3), 9829-9840.
Ribeiro, R. M., Amaral Júnior, A. T., Gonçalves, L. S. A., Candido, L. S., Silva, T. R. C., & Pena, G. F. (2012). Genetic progress in the UNB-2U population of popcorn under recurrent selection in Rio de Janeiro, Brazil. Genetic Molecular Research, 11(2), 1417-1423.
Rossi, R. L., & Reis, E. M. (2014). Semi-selective culture medium for Exserohilum turcicum isolation from corn seeds. Summa Phytopathol, 40(2), 163-167.
Santos, F. S., Amaral Júnior, A. T., Freitas Júnior, S. P., Rangel, R. M., & Pereira, M. G. (2007). Predição de ganhos genéticos por índices de seleção na população de milho-pipoca UNB-2U sob seleção recorrente. Bragantia, 66(3), 389-396.
SAS Institute. (2002). Getting started with the SAS learning edition (p. 200). Cary, NC: SAS Institute Inc.
Scapin, C. R., Carnelossi, P. R., Vieira, R. A., Schwan-Estrada, K. R. F., & Cruz, M. E. S. (2010). Fungitoxidade in vitro de extratos vegetais sobre Exserohilum turcicum (Pass.) Leonard & Suggs. Revista Brasileira de Plantas Medicinais, 12(1), 57-61.
Silva, T. C. R., Amaral Júnior, A. T., Gonçalves, L. S. A., Candido, L. S., Vittorazzi, C., & Scapim, C. A. (2013). Agronomic performance of popcorn genotypes in Northern and Northwestern Rio de Janeiro State. Acta Scientiarum. Agronony, 35(1), 57-63.
Silva, V. Q. R., Amaral Júnior, A. T., Gonçalves, L. S. A., Freitas Júnior, S. P., & Ribeiro, R. M. (2011). Heterotic parameterizations of crosses between tropical and temperate lines of popcorn. Acta Scientiarum. Agronony, 33(2), 243-249.
Vieira, R. A., Scapim, C. A., Moterle, L. M., Tessmann, D. J., Conrado, T. V., & Amaral Júnior, A. T. (2009). Diallel analysis of leaf disease resistance in inbred Brazilian popcorn cultivars. Genetics and Molecular Research, 8(4), 1427-1436.
Viegas Neto, A. L., Heinz, R., Gonçalves, M. C., Correia, A. M. P., Mota, L. H. S., & Araújo, W. D. (2012). Milho pipoca consorciado com feijão em diferentes arranjos de plantas. Pesquisa Agropecuária Tropical, 42(1), 28-33.
Wang, P., Souma, K., Kobayashi, Y., Iwabuchi, K., Sato, C., & Masuko, T. (2010). Influences of Northern Leaf Blight on corn silage fermentation quality, nutritive value and feed intake by sheep. Animal Science Journal, 81(4), 487-493.
Wang, H., Xiao, Z. X., Wang, F. G., Xiao, Y. N., Zhao, JR R., Zheng, Y. L., Qiu, F. Z. (2012). Mapping of HtNB, a gene conferring nonlesion resistance before heading to Exserohilum turcicum (Pass.), in a maize inbred line derived from the Indonesian variety Bramadi. Genetics and Molecular Research, 11(3), 2523-2533.
Author notes
*Author for correspondence. E-mail: rodrigo.moreira85@yahoo.com.br