PRODUÇÃO VEGETAL
Dynamized high dilutions for management of the leafcutter ant Acromyrmex laticeps Emery (Hymenoptera: Formicidae)
Altas diluições dinamizadas no manejo de formigas cortadeiras Acromyrmex laticeps Emery (Hymenoptera: Formicidae)
Dynamized high dilutions for management of the leafcutter ant Acromyrmex laticeps Emery (Hymenoptera: Formicidae)
Acta Scientiarum. Agronomy, vol. 39, no. 4, pp. 497-503, 2017
Editora da Universidade Estadual de Maringá - EDUEM
Received: 22 July 2016
Accepted: 01 November 2016
Funding
Funding source: FAPESC/CNPq
Contract number: 748762-2012
ABSTRACT. : High dilutions may have different biological effects due to the dynamization method and the dilution order used. The aim of this paper was to evaluate the foraging activity of the leafcutter ant Acromyrmex laticeps subjected to high dilution preparations originating from grinding worker ants and developing dilutions at the following dynamizations: 6, 12, and 30 CH (centesimal Hahnemannian dilution order), 5 LM (fifty millesimal Hahnemannian dilution order) and 35 K (Korsakovian dilution order). The preparations were applied daily for 10 days by spraying them on moving ants on tracks close to the anthill. The evaluations included counting the number of ants transporting vegetable fragments on the tracks before each application, after application, and 20 and 30 days after the first application. The high dilution preparations for the 6 and 30 CH and 35 K treatments reduced the foraging activity of the leafcutter ant A. laticeps after 10 applications. The 30 CH treatment showed a higher reduction in the foraging activity of A. laticeps anthills. Prolonged reduction of the foraging activity of A. laticeps anthills was observed 20 days after the first application with the 35 K and 30 CH treatments.
Keywords: foraging, non-residual therapies, high dilutions, nosodes.
RESUMO.: Altas diluições podem apresentar efeito biológico diferenciado em função do método de dinamização utilizado e sua ordem de diluição. O objetivo deste trabalho foi avaliar a atividade forrageira da formiga cortadeira Acromyrmex laticeps submetida aos preparados em alta diluição oriundos da trituração de formigas operárias e elaborada nas seguintes dinamizações: 6, 12 e 30 CH (ordem de diluição centesimal hahnemanniana), 5 LM (ordem de diluição cinquenta milesimal hahnemanniana) e 35 K (ordem de diluição korsakoviana). As aplicações dos preparados foram diárias durante 10 dias, na forma de pulverização sobre as formigas em movimento nos carreiros próximo ao formigueiro. As avaliações constaram da contagem realizada antes de cada aplicação de formigas transportando fragmentos vegetais nas trilhas e adicionalmente, aos 20 e 30 dias após a primeira aplicação. Os preparados em alta diluição na 6 e 30 CH e na 35 K reduziram a atividade forrageira da formiga cortadeira A. laticeps, após 10 aplicações. O tratamento 30 CH, apresentou maior redução da atividade forrageira de formigueiros de A. laticeps. Efeito prolongado foi observado 20 dias após a primeira aplicação, na redução da atividade forrageira de formigueiros de A. laticeps, com os tratamentos 35 K e 30 CH.
Palavras-chave: forrageamento, terapias não residuais, altas diluições, nosódios.
Introduction
Leafcutter ants from the Atta and Acromyrmex genera occur naturally are native species of the Americas and offer ecological benefits such as soil restructuring, dormancy interruption and the secondary dispersion of seeds from native species (Holldobler & Wilson, 1990; Della Lucia & Souza, 2011). However, changes in the natural landscape due to agricultural activities and deforestation have led to an uncontrolled increase in the leafcutter ant populations, which have become potential problems in several agroforestry cultures (Camargo, Forti, Matos, & Andrade, 2004). The use of toxic baits with long residual effects are the primary management approach to controlling leafcutter ant populations. This method appears to have quick and temporary results, although it increases the risk of environmental contamination (Giesel, Boff, & Boff, 2013). According to Peternelli, Della Lucia, Peternelli, and Moreira (2009), areas that had supposedly been eradicated from leafcutter ants with the use of synthetic pesticides, such as formicide baits, have quickly been repopulated, requiring new applications and increasing the potential for environmental risks and damage. In several cases, the control operations become unfeasible. The side effects of residual toxic baits include the restriction of useful insects that contribute to the functional dynamics of agroecosystems through the recycling of organic matter, multi-trophic interactions and the biological control of emerging plagues (Boff, Giesel, & Boff, 2016).
Technologies with low environmental impact are wanted by society, which has gained an awareness of the methods used by farming systems to produce food, fibres or bioenergy (Boff, 2008). Preparations at highly dynamized dilutions have been studied with a promising effect for the management of diseases and plagues on vegetable cultures (Betti, Borghini, & Nani, 2003). Modolon, Pietrowski, Alves, and Guimarães (2016) found that the application of the homeopathic preparation of Nux vomica at 36 and 38 DH (decimal dilution) on irrigated soil repelled the green belly stink bug (Dichelops melacanthus), preventing it from feeding on corn plants. Almeida, Galvão, Casali, Lima, and Miranda (2003), reduced the attacks of the fall armyworm (Spodoptera frugiperda) on corn plants with an application of nosode homeopathic preparations of Euchlaena 6 CH and Spodoptera 30 CH. A study conducted by Mapeli (2015) showed that homeopathic solutions deterred feeding by antibiosis via interfering with the biological cycle of Ascia monuste orseis on cabbage (Brassica oleracea). According to Lisboa, Costa, Castro, and Marques (2007), due to their non-residual nature, high dilution preparations assure the lack of side effects, and studies focus mainly on the efficiency of such technologies as a contribution to redesigning ecologically sustainable agricultural systems. The preparation methods for high dynamized dilutions are established in the Homeopathic Pharmacopoeia, allowing a variety of dilution scales (Cesar, 2003). The same author reported that the decimal, centesimal or fifty millesimal Hahnemannian dilution orders show different biological effects; however, they are not directly correlated due to their magnitude. The possibility of combining methods and scales allows for homeopathic adjustment once the nature of the disease/disturbance is determined, making it possible to create the best solution for the studied case (Bonato & Silva, 2003). The aim of this study was to evaluate the effect of highly dynamized dilution preparations on the foraging activity of the leafcutter ant Acromyrmex laticeps Emery (Hymenoptera: Formicidae).
Material and methods
General conditions of the experiments
The experimental study was conducted in the micro-region of Campos de Lages, Santa Catarina State, Brazil, located at 27.43 “W” and 50.42 “S”, with a mean altitude of 910 m. Before initiating the experiment, the anthills were located between March 2012 and March 2013 by locating the transportation of vegetable materials in tracks on the soil and confirming the identity of the species. Anthills were identified as belonging to the Acromyrmex genus by having a single aggregation and a superficial appearance covered with a mixture of straw and soil, and whose ants showed four pair of thorns on their backs when observed with a field magnifier. Samples of 50 individuals from several breeds per anthill were collected and stored in a closed container with 70% alcohol. These samples were taken to the Laboratory of Homeopathy and Vegetable Health of the Experimental Station of the Company for Farming Research and Rural Extension of Santa Catarina (EPAGRI-E E Lages) for the identification of the species. To identify the species, a taxonomic guide based on the systematic keys by Della Lucia and Araújo (1993) and Loeck and Grutzmacher (2001) was used. Sub-samples were sent for species confirmation by a specialist at the Federal University of Santa Maria (UFSM). For this study, only the anthills with Acromyrmex laticeps Emery were considered. The treatments were constituted using high dilution preparations with the following dynamizations: 6, 12, and 30 CH (centesimal Hahnemannian dilution order), 35 K (centesimal Korsakovian dilution order), and 5 LM (fifty millesimal Hahnemannian dilution order). A distilled water treatment and anthills with no intervention were used for comparison. The treatments were grouped into blocks with four replications in 4 independent experiments in different locations separated by time and place in the micro-region of the Lages fields. Each anthill represented one experimental unit. The anthills were identified with a unique sequential number, and the active tracks were marked with flags with letters in alphabetic order to identify where the evaluations and the application of the treatments were conducted. The anthills were measured according to their largest and smallest diameters with the help of a topographic measuring tape.
Obtaining the homeopathic preparations
The high dilution preparations were prepared according to the methodology described in the Brazilian Homeopathic Pharmacopeia (Brasil, 1997) as biotherapeutic preparations/nosodes using the samples of individuals from the 28 anthills from each experiment. The samples were stored in 100 mL flasks with holes, allowing air to enter to prevent sample death up to the beginning of processing at the Laboratory of Homeopathy and Vegetable Health of Epagri/Lages. To prepare the raw material, the samples were homogenized using a pre-grinding process for one minute. Next, one sub-sample from the pre-grinding process at a proportion of 1 (one) per 99 parts of lactose, as indicated by the grinding method, was placed in a mortar, and the grinding process proceeded up to the 3 CH trit dynamization using a lactose medium. After obtaining the 3 CH trit, deconcentration proceeded in a liquid medium with succussion up to the desired potency for the different studied methods: the centesimal Hahnemannian (CH), the fifty millesimal Hahnemannian (LM) and the Korsakovian (K) method. For the LM preparation method, the deconcentration proportion was 1/50,000 from the 3 CH trit.
The preparation method consisted of two phases, one solid and one liquid, where lactose was used for the solid phase, and 96% ethanol was used for the liquid phase. Dilution was followed by succussions as described in the Brazilian Homeopathic Pharmacopeia (Brasil, 1997). The homeopathic dispersion medium in the LM treatment was micro-globules obtained from lactose according to the methodology described by Fontes (2012). The high dilution preparations that were generated using the Korsakovian method were first obtained from the high dilution preparation at the 30 CH potency. Next, this flask was capsized, allowing the liquid to run freely for 5 seconds, as established in the Brazilian Homeopathic Pharmacopeia (Brasil, 1997). After this period, the inert (70%) ethanol raw material was added to the flask, occupying 2/3 of the capacity of the flask, and 100 succussions were conducted, obtaining 31 K and then continuing until reaching 35 K.
Applying the high dynamization preparations on the anthills
The high dilution preparations were applied daily with a manual sprayer, Brudden®, which had a 500 mL capacity, on the ants moving on the tracks at a pre-determined point 50 cm from the entry point of the tracks on the respective pre-selected anthills. Ten spray applications were used at each time, totalling 30 mL of the respective preparation per application on each track. The dispensing/use of the LM was 6 micro-globules from the LM matrix, dissolved in 120 mL of water, and then applied on the tracks of the anthills. The high dynamization preparations were applied daily for 10 days, alternating the application time from a morning period for five days to an afternoon period for the other five days.
Data evaluation and analysis
Before each application of the respective high dilution preparation, the number of moving ants with loads was counted for one minute at the application point of the respective signalized tracks. The activity of the anthill was then estimated from the mean activity of the evaluated tracks. On the twentieth and thirtieth days after the first application, evaluations of the activity were conducted in order to verify the prolonged effect of the treatments. On the ninth day after the first application, foraging values were calculated based on the average of foraging (%) for each treatment, and the averages were compared using Tukey’s test at a p-value = 0.05. The statistical analysis was conducted using SAEG® software.
Results
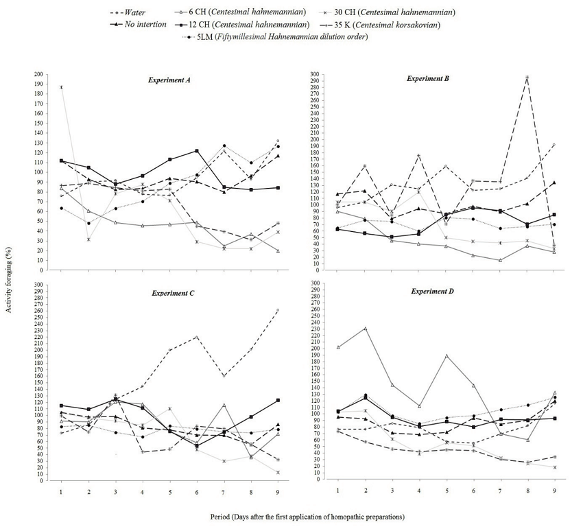
The A. laticeps anthills occupied an area of 0.59 ± 0.21 m2. There was no significant interaction between the treatments and the application frequency on the foraging activity of the anthills (n = 28, r = 0.98 and p > 0.05). The high dilution preparations of 6 CH, 30 CH and 35 K reduced the foraging activity of A. laticeps anthills progressively, with foraging activity decreasing from the first application up to the tenth application in all experiments (Figure 1). The 30 CH and 35 K high dilution preparations stood out, consistently reducing the foraging activity of A. laticeps anthills in the 4 evaluated experiments (Figure 1). The daily reduction in the rate of foraging activity of A. laticeps anthills indicates that the 6 CH, 30 CH and 35 K treatments show a positive effect on the reduction in the foraging activity of A. laticeps anthills (Figure 1).
The water, 12 CH and 5 LM treatments did not reduce the daily foraging rate on the A. laticeps anthills in relation to the first day, in any of the experiments conducted (Figure 1). The reduction in the foraging rate on the anthills, which cumulatively increased each day, shows that the high dilution preparations of 6 and 30 CH (centesimal Hahnemannian) and 35 (centesimal Korsakovian) considerably reduced the foraging activity of A. laticeps anthills in the evaluated experiments (Table 1). The treatment effects were observed in the high dilutions at 30 CH from the third day of application in experiment “A” (Table 1). In general, the high dilution preparations reduced the foraging activity on the A. laticeps anthills beginning at the fifth application day (Table 1). The high dilution preparation with ground ants at 30 CH stood out, showing the highest reduction in the foraging activity on the A. laticeps anthills in the respective experiments (Table 1).
The 35 K high dilution preparation had a different effect on the reduction of the foraging activity of A. laticeps anthills compared with the other treatments, with an increasing reduction in the foraging activity rate of A. laticeps mainly seen in experiments A and B (Table 1). This reduction in the foraging activity was prolonged up to the last day of application using the ground ant high dilution preparation at 35 K.
No continuous effect was observed regarding the foraging activity of A. laticeps anthills with applications of the ground ant high dilution preparations at 5 LM and 12 CH (Table 1). At the end of the applications, 9 days after the first application, the 6 CH, 30 CH, and 35 K high dilution preparations significantly reduced the foraging activity of A. laticeps anthills in comparison to the other treatment and in comparison to the anthills without intervention (Table 1). The prolonged effect of the application of the high dilution preparations on the mean reduction in the rate of the foraging activity of A. laticeps anthills is shown in Table 2.

The prolonged effects on the reduction in the foraging activity of A. laticeps anthills in comparison with the first day of application were observed at ten days after the last application of ground ant high dilution preparation at 30 CH. A significant reduction in the mean of the foraging activity (65.2%) was observed in the 4 evaluated experiments for the 30 CH treatment (Table 2). This treatment was followed by the 6 CH treatment, which showeda prolonged reduction in the mean activity rate of A. laticeps anthills across the evaluated experiments (34.8%) (Table 2). The 5 LM and 35 K treatments showed reductions (2.6 and 2.4%, respectively) in the mean rate of the foraging activity of A. laticeps anthills compared to the first day (Table 2). The 12 CH treatment did not show a prolonged reduction in the mean foraging activity of A. laticeps anthills (Table 2). In evaluating the prolonged effect of the treatments twenty days after the last application, the 30 CH treatment was the treatment that showed the highest prolonged effect on the reduction in the mean rate of the foraging activity of A. laticeps anthills across the evaluated experiments (36.2%) (Table 2). The 6 and 12 CH, 5 LM and 35K treatments did not show prolonged reduction the mean foraging activity of A. laticeps anthills at twenty days following the last application (Table 2). Therefore, the best treatment for reducing the foraging activity of A. laticeps anthills was the ground ant high dilution preparation at 30 CH, since it maintained its effects 20 days after the last application in all evaluated experiments compared to the other treatments and to the anthills without intervention (Table 2).
Discussion
The results of this study confirm that each high dilution preparation, according to their respective dynamization and obtainment methodology, had different dynamic effects on the activity of A. laticeps leafcutter ants. The preparation methodology of the centesimal Hahnemannian high dilution, 30 CH, among the evaluated preparations, was the most efficient in suppressing the foraging activity of A. laticeps anthills. This finding corroborates the work by Giesel et al. (2012; 2013), who reported that dynamized high dilution preparations, when used to reductione foraging by A. sexdens piriventris and Acromyrmex spp. leafcutter ants, has a greater effect when the preparation method utilizes the grinding of the raw material to produce biotherapeutic preparations at high dilutions. According to the same authors, the homeopathic preparation that best reduced the foraging activity of leafcutter ants from both studied species was the ant grinding preparation at 30 CH. According to Almeida et al. (2003), the high dilution preparation made with fall armyworm (Spodoptera frugiperda) at the 30 CH dynamization and applied on corn plants significantly reduced the attack preference of the fall armyworm on the treated plants. Pulido, Boff, Duarte, and Boff (2014), observed an increase in the dry matter of cabbage (Brassica oleracea), due to the application of a Silicea terra high dilution preparation at 30 CH. Therefore, the potency of 30 CH represents the best choice in relation to the other preparations, when there is a need to rebalance an environment that shows any biological disturbances. The Korsakovian method at the 35 K potency was efficient in suppressing the foraging activity of A. laticeps anthills. Its suppressive action on the foraging activity of A. laticeps anthills occurred at the 5th day of application and remained consistent up to the last day of application; it also showed prolonged activity twenty days after the last application. Also known as the single-flask method, the Korsakovian method, while not common, would be adopted easier by technicians and farmers due to the simplicity of the methodology used for the preparation and use of a single flask, while regarding the use of high dilution preparations in possible disturbances that may affect several cultures (Fontes, 2012; Brasil, 1997). The dynamization used for the LM (5) methodology was inefficient for the suppression of the foraging activity of A. laticeps anthills. According to Adler et al. (2010), the most common dynamization of the LM homeopathic preparations in humans occurs at the 8th LM dilution order. According to the same authors, the preparation must be administered within 15 days for more acute cases, with daily or greater spaced doses up to 8 weeks. Therefore, we believe that this methodology must be further examined in future studies for the management of leafcutter ants, in the search to increase the number of application days and the variation in the use of potencies since the evaluation and application time of the ground ant high dilution preparation at 5 LM was possibly not enough to observe its effects on the foraging activity of A. laticeps. The results of our study provide evidence that the use of homeopathic preparations is a viable method that may reduce the damage caused by leafcutter ants in agriculture. The prolonged action on the reduction of the foraging activity of leafcutter ants through the application of high dilution preparations would allow the development of a certain culture without the risk of losses due to an attack by leafcutter ants. Suppression of the foraging activity would allow the coexistence of leafcutter ants and agricultural systems, thus respecting the agro-ecological principles of sustainability. According to Rossi, Melo, Ambrosano, Guirado, and Schammass (2006), homeopathic preparations have a broad potential to promote the return of environmental balance, allowing the production of food in a more balanced manner. It is important to note that the reduction in the foraging activity did not cause the elimination of the individuals nor of the studied anthills, thus allowing the reestablishment of the biological balance of the agro-ecosystem. Therefore, high dilution preparations should be integrated into the current ecological management practices due to the minimal amounts of raw material necessary to produce these preparations and the generation of less environmental residues (Carvalho et al., 2005).
Conclusion
From this study, the following can be concluded:
The centesimal Hahnemannian (CH) and Korsakovian (K) methods are effective in reducing the foraging activity of A. laticeps anthills.
The homeopathic potency 30 CH has high suppression effects on the foraging activity of A. laticeps anthills. The high dilution preparations at 30 CH show a prolonged effect on reducing the foraging activity of A. laticeps anthills at 20 days.
The high dilution preparations at 12 CH and 5 LM are not effective in reducing the foraging activity of A. laticeps anthills in the short term.
Acknowledgements
The authors are grateful for the support from CAPES through a grant offered to the first author and to the Center for Agroecology and Environmental Health agreement FAPESC/CNPq number 748762-2012 for financial support. They are also grateful to the farmers and technicians from EPAGRI for their valuable help during the study. The second author received a grant from PQ-CNPq.
References
Adler, U. C., Amarilys, T. C., Adler, M. S., Padula, A. E., Garozzo, E. N., & Galhardi, W. M. P. (2010). Da padronização farmacêutica à pesquisa clínica: 20 anos de experiência com diluições cinquenta-milesimais. Revista de Homeopatia, 73(1/2), 57-67.
Almeida, A. A., Galvão, J. C. C., Casali, V. W. D., Lima, E. R. L., & Miranda, G. (2003). Tratamentos homeopáticos e densidade populacional de Spodoptera frugiperda em milho. Revista Brasileira de Milho e Sorgo, 2(2), 1-8.
Betti, L., Borghini, F., & Nani, D. (2003). Plant models for fundamental research in homeopathy. Homeopathy, 92(2), 129-130.
Boff, P., Giesel, A., & Boff, M. I. C. (2016). No-residual baits and farmer perception to manage leaf-cutting ants. Agroecology and Sustainable Food System, 30(4), 455-465.
Boff, P. (2008). Agricultura saudável: da prevenção de doenças. pragas e parasitas a teraupeutica não residual, Lages, SC: Epagri/Udesc.
Bonato, C. M., & Silva, E. P. (2003). Effect of the homeophatic solution Sulfur on the growth and produtivity of radish. Acta Scientiarum. Agronomy, 25(2), 259-263.
Brasil. (1997). Farmacopéia homeopática brasileira (Parte II). São Paulo, SP: Atheneu.
Camargo, R. S., Forti, L. C., Matos, C. A. O., & Andrade, A. P. P. (2004). Physical resistance as a criterion in the selection of foraging material by Acromyrmex subterraneus brunneus Forel, 1911 (Hym., Formicidae). Journal of Entomology and Nematology, 128(5), 329-331.
Carvalho, L. M., Casali, V. W. D., Lisboa, S. P., Souza, M. A., Souza, M. A., & Cecon, P. R. (2005). Efeito de potências decimais da homeopatia Arnica montana sobre plantas de Artemísia. Revista Brasileira de Plantas Medicinais, 7(3), 33-36.
Cesar, A. T. (2003). Dinamização. Cultura Homeopática, 5(5), 15-41.
Della Lucia, T. M. C., & Souza, D. J. (2011). Importância e histórias de vida das formigas cortadeiras. In T. M. C. Della Lucia (Ed.), Formigas cortadeiras da bioecologia ao manejo (p. 13-26). Viçosa, MG: Folha Nova de Viçosa.
Della Lucia, T. M. C., & Araújo, M. S. (1993). Fundação e estabelecimento de formigueiros. In T. M. C. Della Lucia (Ed.), As formigas cortadeiras (p. 60-83). Viçosa, MG: Folha Nova de Viçosa .
Fontes, O. L. (2012). Farmácia homeopática: teoria e prática. São Paulo, SP: Manole.
Giesel, A., Boff, M. I. C., & Boff, P. (2012). The effect of homeopathic preparations on the activity level of Acromyrmex leaf cutting ants. Acta Scientiarum. Agronomy, 34(4), 445-451.
Giesel, A., Boff, M. I. C., & Boff, P. (2013). Activity of leaf-cutting ant Atta sexdens piriventris submited to high dilution homeopathic preparations. Tropical and Subtropical Agroecosystems, 16(1), 25-33.
Holldobler, B., & Wilson, E. O. (1990). The Ants. Cambridge, EN: Belknap Press of Harvard University.
Lisboa, C. C., Costa, S. E. V. G. A., Castro, D. M., & Marques, J. J. (2007). Efeito da homeopatia Ammonium carbonicum na minimização da lixiviação de nitrato. Ciência e Agrotecnologia, 31(2), 317-325.
Loeck, A. E., & Grutzmacher, D. D. (2001). Ocorrência de formigas cortadeiras nas principais regiões agropecuárias do estado do Rio Grande do Sul. Pelotas, RS: Ed. Universitária da Universidade Federal de Pelotas.
Mapeli, N. C. (2015). Deterrência alimentar em Ascia monuste orseis Godart (Lepidoptera: Pieridae) induzida por soluções homeopáticas. Revista Ceres, 62(2), 184-190.
Modolon, T. A., Pietrowski, V., Alves, L. F. A., & Guimarães, A. T. B. (2016). Desenvolvimento inicial do milho tratado com o preparodo homeopático Nux vomica e submetido ao percevejo barriga-verde Dichelops melacanthus Dallas (Heteroptera: Pentatomidae). Revista Brasileira de Agroecologia, 11(2), 85-93.
Peternelli, E. F., Della Lucia, T. M., Peternelli, L. A., & Moreira, N. C. (2009). Seed transport and removal of the elaiosome of Mabea fistulifera by workers of Atta sexdens rubropilosa (Hymenoptera: Formicidae). Sociobiology, 53(1), 275-290.
Pulido, E. E., Boff, P., Duarte, T. S., & Boff, M. I. (2014). Preparados homeopáticos en el crecimiento y en la producción de repollo cultivado en sistema orgánico. Horticultura Brasileira, 32(3), 267-272.
Rossi, F., Melo, P. T., Ambrosano, E. J., Guirado, N. , & Schammass, E. (2006). Aplicação do medicamento homeopático Carbo vegetabilis e desenvolvimento das mudas de alface. Cultura Homeopática, 17(2), 14-17.
Author notes
*Author for correspondence. E-mail: alexandregiesel@gmail.com