CROP PRODUCTION
Glyphosate efficacy on sourgrass biotypes with suspected resistance collected in GR-crop fields
Eficácia do glyphosate em biótipos de capim-amargoso com indício de resistência coletadas em cultivos RR
Glyphosate efficacy on sourgrass biotypes with suspected resistance collected in GR-crop fields
Acta Scientiarum. Agronomy, vol. 40, e35120, 2018
Editora da Universidade Estadual de Maringá - EDUEM
Received: 31 January 2017
Accepted: 27 April 2017
ABSTRACT. : In Brazil, infestations of crop areas with glyphosate-resistant (GR) sourgrass (Digitaria insularis (L.) Fedde) biotypes has risen significantly, increasing crop production costs. Glyphosate efficacy on three biotypes (GO, BA and MT) of sourgrass with suspected resistance was evaluated. A susceptible biotype (MG) was used as the control. The results confirmed that the MG and GO biotypes were susceptible to glyphosate (control > 90%). The MG biotype exhibited growth reduction and mortality by 50% (GR50 and LD50, respectively) with mean glyphosate doses of 243.7 and 431.6 g ae ha-1. The resistance index of the biotypes with suspected resistance ranged from 2.8 to 6.1 in relation to GR50 and between 1.4 to 26.7 in relation to LD50. The glyphosate susceptibility ranking of the sourgrass biotypes was MG < GO < MT < BA. The MT and BA biotypes demonstrated high glyphosate resistance levels, and the GO biotype had a high potential to develop resistance. Farmers should avoid the application of glyphosate overdoses to minimize the selection pressure on weeds.
Keywords: chemical control, Digitaria insularis, dose response, resistance factor.
RESUMO. : No Brasil, as infestações de áreas agrícolas com biótipos de capim-amargoso resistentes ao glyphosate, resultam em aumento significativo nos custos de produção das culturas. Avaliou-se a eficácia do glyphosate em três biótipos de capim-amargoso com indício de resistência (GO, BA e MT) a este herbicida. Um biótipo suscetível (MG) foi utilizado como controle. Constatou-se que os biótipos MG e GO foram suscetíveis ao herbicida (controle > 90%). O biótipo MG apresentou redução do crescimento e mortalidade em 50% (GR50 e C50, respectivamente) nas doses de glyphosate de 243,7 e 431,6 g ha-1. Os fatores de resistência dos biótipos com indício de resistência oscilaram entre 2,8 a 6,1 em relação ao GR50; e entre 1,4 e ≥ 26,7 em relação ao C50. A ordem de susceptibilidade dos biótipos de capim-amargoso foi MG < GO < MT < BA. Estes últimos apresentaram elevado nível de resistência ao glyphosate, e o biótipo GO têm potencial para desenvolvê-la. Portanto, os agricultores devem evitar a aplicação de superdose de glyphosate a fim de reduzir a pressão de seleção das plantas daninhas.
Palavras-chave: controle químico, Digitaria insularis, dose-resposta, fator de resistência.
Introduction
Sourgrass (Digitaria insularis (L.) Fedde) is native to tropical and subtropical regions of America. It is often found in pastures, coffee plantations, fruit orchards and ruderal areas, such as roadsides and wastelands. It is a weed of slow initial growth, mainly in shading conditions or low temperatures (Machado et al., 2006; 2008). However, its rapid adaptation allows for its survival in different environmental conditions, limiting the growth of other species (Brighenti & Oliveira, 2011). In some agricultural areas of south central Brazil, high herbicide doses have failed to control adult sourgrass populations (Correia & Durigan, 2009). Glyphosate is the primary herbicide used in this region for weed control.
Glyphosate (N-phosphonomethyl glycine) is a systemic, broad-spectrum herbicide widely used in weed control since 1974 (Orcaray, Zulet, Zabalza, & Royuela, 2012; Heap & Duke, 2017). It acts by inhibiting 5-enolpyruvylshikimate-3-phosphate (EPSPS) synthase, leading to the accumulation of shikimic acid and to the interruption of aromatic amino acid (tryptophan, tyrosine and phenylalanine) biosynthesis in sensitive plants (Duke & Powles, 2008). Glyphosate rapidly reduces photosynthetic activity (Heap & Duke, 2017). It is translocated with photosynthates from leaves to the meristematic tissues to reach the target site, achieving maximum uptake by 96 hours after treatment (Cruz-Hipolito et al., 2011).
The expansion of agricultural areas in south central Brazil with glyphosate-resistant (GR) crops (also referred to as Roundup Ready (RR) crops), mainly soybean and corn, has contributed to the strong selection of resistant weed biotypes. High selection pressure exerted by glyphosate, use during post-emergence in GR crops, promotes the growth of resistant weeds (Yanniccari, Vila-Aiub, Istilart, Acciaresi, & Castro, 2016). Herbicide resistance occurs when the weeds survive, complete their life cycles and reproduce by seed after herbicide application, at doses normally lethal to wild weed biotypes (Vencill et al., 2012). Biologically, herbicide-resistant populations of weeds are naturally present but occur at low densities (Alcántara-de la Cruz et al., 2016). The emergence of resistant biotypes is due to different mechanisms of resistance, which may be related to the target site of the herbicide (Powles & Yu, 2010; Heap & Duke, 2017). The most important factors influencing the selection of herbicide-resistant biotypes are the intensity of its use, the efficacy of resistance mechanisms, herbicide specificity with respect to mechanism of action, weed emergency patterns and efficiency of alternative control methods (Rubim, 1991).
Glyphosate resistance (GR) is an important example of herbicide resistance in weeds because the product has been widely used in agriculture (Sammons & Gaines, 2014). For over 20 years there were no reports of glyphosate resistance in weeds (Duke, 2017). However, the first glyphosate resistant species, Lolium rigidum, was found in an Australian field in 1996 (Heap, 2017). In the same year, GR crops were introduced by Monsanto (Powles, 2008). To date, there are 38 species resistance to glyphosate. In 2005, the first case of glyphosate resistance of sourgrass was found in Paraguay. Later, in 2008, sourgrass was identified as being glyphosate-resistant in GR-corn and -soybean fields in Paraná, Brazil (Heap, 2017). Since then, the number of resistant sourgrass cases has increased considerably in the country (Cerdeira, Gazziero, Duke & Matallo, 2011). The rapid adoption of GR crops and the loss of the glyphosate patent by Monsanto in 2000 were decisive factors for its widespread adoption as the main tool to control weed sin GR crops (Duke & Powles, 2008; Duke, 2017).
Given the importance of glyphosate use in GR crops and others cropping systems, the aim of this study was to evaluate glyphosate efficacy on three sourgrass biotypes with suspected resistance. The biotypes were collected in plots of GR crops from different Brazilian states and compared with a sensitive biotype using dose-response assays.
Material and methods
Origin of biological sourgrass biotypes
Seeds of the three biotypes with suspected resistance to glyphosate (R) were collected from GR-soybean and -corn fields in Correntina, Bahia State, Brazil (13º20'36"S, 44º38'12"W), Bom Jesus, Goiás State, Brazil (18°12′11″S, 49°44′3″W), and Confresa, Mato Grosso State, Brazil (10º38'38"S, 51º34'08"W), named BA, GO and MT. The seeds were collected from plants that survived a glyphosate application of 1,440 g acid equivalent (ae) ha-1. Control seeds (MG) of the susceptible biotype (S) were collected in Viçosa, Minas Gerais State, Brazil (20º45'14"S, 42º52'55"W), in an area without previous history of glyphosate use.
Dose-response assays
Sourgrass seeds of each biotype were sown in polystyrene trays filled with substrate. After germination, the seedlings were transferred to individual pots containing 300 cm3 of substrate. Plants of each sourgrass biotype were treated at the stage of three to four leaves with the following doses of glyphosate (Roundup Original, 360 g ae L-1; Monsanto, Brazil): 0; 180; 360; 540; 720; 1,440; 2,880; 5,760; 8,640; and 11,520 g ae ha-1. Glyphosate applications were made using a CO2-backpack sprayer equipped with a nozzle 110-015, calibrated to delivery 150 L of herbicide mix ha-1.
At 7, 14, and 21 days after application (DAA), visual evaluations of weed control were conducted on plants treated with 720 and 1,440 g ae ha-1 glyphosate using a percentage rating scale, where zero corresponds to no damage and 100% corresponds to plant death. The mortality of biotypes plants was recorded at 21 DAA. The plants were then harvested at the ground level and wrapped individually in paper envelopes. The samples were dried in a stove with forced air flow for 72h and were then weighed to determine their dry weight. The experiment was arranged in a completely random design with six replications per dose. The assays were repeated twice.
Statistical analysis
The dry weight and mortality data were converted to percentages in comparison with the untreated control plants. Non-linear regression analysis was used to determine the mean dose that caused growth reduction and mortality by 50% (GR50 and LD50, respectively). A log-logistic model of four parameters was conducted using the drc statistical package (Ritz, Baty, Streibig, & Gerhard, 2015) in the program R, version 3.2.5. The statistical model is:
where: c and d are the coefficients corresponding to the upper and lower asymptotic limits, b is the slope of the line, g is the glyphosate dose (GR50 or LD50) at the mean point of inflexion between the upper and lower asymptote and x (independent variable) corresponds to the glyphosate dose. The data were plotted using the software SigmaPlot 11.0 (2017).
Results
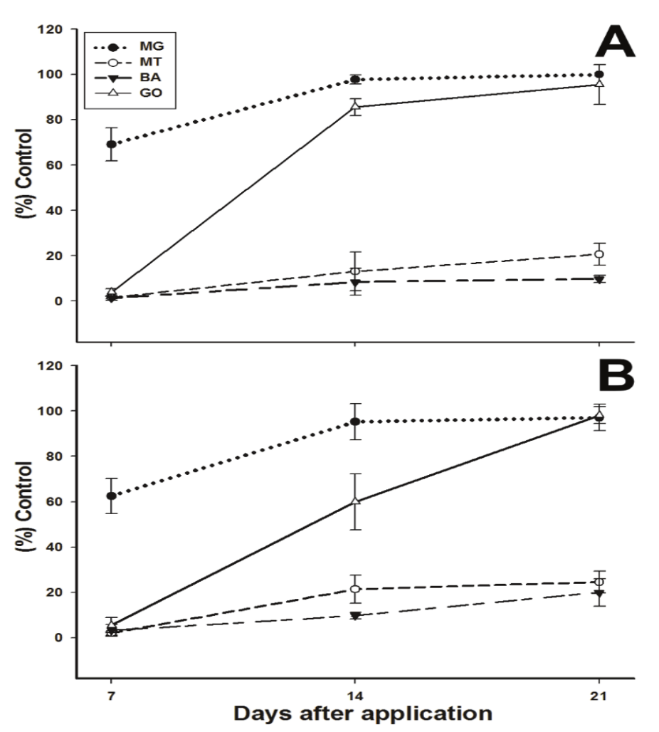
In the visual evaluations at 7 DAA, the glyphosate dose of 720 g ae ha-1 exhibited greater than 70% weed control for the susceptible MG biotype, while MT, BA and GO exhibited less than 5% weed control. For the same dose at 14 and 21 DAA, weed control at 97 and 100%, respectively, was observed for the MG biotype. The GO biotype with suspected resistance presented a weed control level higher than 85% from the 14 DAA, suggesting that this biotype was not resistant to glyphosate. Plant survival of the MT and BA biotypes did not exceed 20% at 1,4 and 21 DAA (Figure 1A).
Similar results were observed at the 1.440 g ae ha-1. The MG biotype had greater than 60% weed control at 7 DAA, whereas it did not exceed 10% control for the MT, BA and GO biotypes. At 21 DAA, 95% higher weed control was observed for the MG and GO biotypes, whereas control was less than 24% for the MT and BA biotypes (Figure 1B).
The glyphosate dose-response experiments showed significant differences between the sourgrass biotypes (based on confidence intervals), confirming the resistance of the BA and MT biotypes. The GR50 (the dose needed to reduce 50% of dry matter) estimated for the susceptible MG biotype was 243.7 g ae ha-1. The resistance factors (RF) for R biotypes ranged from 3.1-to 6.1 (Figure 2A, Table 1).

With respect to mortality, the dose required to control 50% of plants (LD50) was 431.6 g ae ha-1 for the susceptible MG biotype. At the maximum evaluated dose (11,520 g ae ha-1), the MT biotype showed greater mortality than the BA biotype; however, both biotypes presented a greater than 50% survival rate. Therefore, it was not possible to estimate the LD50 value for these biotypes. The LD50 estimate for the GO biotype was 605.9 g ae ha-1, 1.4 times greater than the LD50 of the MG biotype (Figure 2B, Table 1). However, the GO biotype demonstrated weed control failures at doses even higher than 720 g ae ha-1 (Figure 3).
| Biotype | C | d | b | R2aj | Mean dosea (CI95%) b | RF c |
| Parameters of GR50 value | ||||||
| MG (S) | 18.74 | 100.05 | 0.930 | 0.95 | 243.7 (169.7; 317.7) | |
| MT (R) | 18.86 | 101.05 | 0.709 | 0.91 | 756.8 (140.0; 1373.6) | 3.1 |
| BA (R) | 25.79 | 101.27 | 1.067 | 0.94 | 1492.2 (793.1; 2191.2) | 6.1 |
| GO (R) | 16.91 | 103.35 | 1.539 | 0.93 | 679.8 (553.6; 806.1) | 2.8 |
| Parameters of LD50 value | ||||||
| MG (S) | 0.85 | 89.75 | 5.17 | 0.96 | 431.6 (408.4; 454.8) | |
| MT (R) | - | - | - | - | > 11520 | > 26.7 |
| BA (R) | - | - | - | - | > 11520 | > 26.7 |
| GO (R) | 5.88 | 101.28 | 1.93 | 0.92 | 605.9 (540.7; 671.1) | 1.40 |


Discussion
Sourgrass is the weed species with the most cases of glyphosate resistance in Brazil (Gazola, Belapart, Castro, Cipola Filho, & Dias, 2016). Doses of 720 and 1,440 g ae ha-1 evaluated on treated sourgrass plants at 7, 14, and 21 DAA did not provide acceptable control of the MT and BA biotypes. Evaluations were conducted at these time periods because sourgrass may present annual and perennial growth habits (Brighenti & Oliveira, 2011); and depending on glyphosate dose and environmental conditions, symptoms are visible within 2 to 4 DAA on most annual weeds and after 7 days in perennial weeds (Franz, Mao, & Sikorski, 1997). The MT and BA biotypes survived at such glyphosate overdoses an extended period, demonstrating the high glyphosate resistance level of these biotypes. Eleusine indica and Paspalum distichum populations from olive groves in Spain with suspected resistance and a five-year application history exhibited control levels greater than 68 and 78%, respectively, with 720 g ae ha-1 glyphosate at 60 DAA. At 1,440 g ae ha-1, E. indica and P. distichum exhibited 78 and 83% weed control, respectively (Alcántara, Fernandez, Smeda, Alves, & Prado, 2016). This suggests that these glyphosate doses (the same ones used in our evaluations of sourgrass) are sufficient for weed control when resistance has not developed. In addition, some researchers have shown the high susceptibility of sourgrass to this herbicide, documenting GR50 values lower than 100 g ae ha-1 for susceptible biotypes (Carvalho et al., 2011; Reinert, Prado, & Christoffoleti, 2013). However, farmers widely apply greater than the recommended field dose, such as 1,440 g ae ha-1 (Carvalho et al., 2012; Melo, Rosa, Brunharo, Nicolai, & Christoffoleti, 2012; Gomes, Santos, Gasparino, & Correia, 2017), causing higher selection pressure on sourgrass and other weeds.
The low weed control level of the MT and BA biotypes, and the control failures exhibited by the GO biotype are of concern, since sourgrass can recover from severe damages caused by glyphosate. For example, applications of 2,880 g ae ha-1 were not effective in controlling sourgrass, and despite the high initial control rate, 70% of the plants re-emerged, demonstrating a large capacity for recovery (Correia & Durigan, 2009). Glyphosate can control both seedlings and young sourgrass plants, but when the plants develop and form rhizomes, their control is ineffective (Machado et al., 2006). The starch reserves accumulated in the rhizomes may be responsible for the glyphosate tolerance of sourgrass, limiting translocation and allowing for rapid shoot regrowth after herbicide treatment (Machado et al., 2008; Carvalho et al., 2012). Therefore, the best period for control of this species would be up to 35 days after emergence, when the rhizomes have not yet formed (Machado et al., 2006).
When sourgrass presents resistance to glyphosate, it has high RF values. Reinert et al. (2013) reported RF values > 16 for the R sourgrass biotype, with GR50 and LD50 values of 108.7 and 85.5 g ae ha-1, respectively, for the S biotype. In addition, the latter exhibited a dry matter reduction greater than 90% at 900 g ae ha-1, while the R biotype demonstrated a dry matter reduction of only 20% at the same dose (Reinert et al., 2013). Similar results were observed by Carvalho et al. (2011), emphasizing the need of higher doses to reduce 50% of the dry matter of the R sourgrass biotypes with respect to the S biotypes. Different glyphosate resistance levels observed in the BA and MT biotypes suggested that their resistance mechanisms could differ. According to Carvalho et al. (2012), sourgrass may present mechanisms that contribute to glyphosate resistance, including reduced glyphosate absorption and translocation, metabolism into nontoxic substances, or target-site mutations in the EPSPS gene. Others grass weed species, such as Echinochloa colona (Alarcón-Reverte et al., 2015), E. indica (Yu et al., 2015) and Lolium perenne ssp. multiflorum (Salas, Scott, Dayan, & Burgos, 2015), exhibited an RF ranging from 1.4 to 31.1 based on GR50 and from 4 to 15 based on LD50, except for E. indica, which showed an FR that was > 182 (Yu et al., 2015). The glyphosate responses of these species were due to the different resistance mechanisms of each. Glyphosate resistance in Echinochloa colona was due to mutations at the Pro-106 position of the EPSPS gene and an enhanced basal activity (Alarcón-Reverte et al., 2015). The most resistant E. indica genotype evolved a double mutation, known as TIPS, at the Thr-102-Ile and Pro-106-Ser positions (Yu et al., 2015), and L. perenne ssp. multiflorum presented multiple copy numbers and an over expression of the EPSPS gene (Salas et al., 2015).
Conclusion
Glyphosate resistance was confirmed in MT and BA sourgrass biotypes collected in fields cultivated with GR crops, and they presented a high resistance level to this herbicide. Although the GO biotype was characterized as being susceptible, it has a high potential to develop resistance, since it presented control failures at doses greater than 720 g ae ha-1. Farmers must respect manufacturer dose recommendations to minimize the selection pressure exerted by glyphosate.
Acknowledgements
This work was founded by Conselho Nacional de Desenvolvimento Científico e Tecnológico (CNPq).
References
Alarcón-Reverte, R., García, A., Watson, S. B., Abdallah, I., Sabaté, S., Hernández, M. J., … Fischer, A. J. (2015). Concerted action of target-site mutations and high EPSPS activity in glyphosate-resistant jungle rice (Echinochloa colona) from California. Pest Management Science, 71(7), 996-1007. doi:10.1002/ps.3878
Alcántara, R., Fernandez, P., Smeda, R. J., Alves, P. L., & Prado, R. (2016). Response of Eleusine indica and Paspalum distichum to glyphosate following repeated use in citrus groves. Crop Protection, 79(1), 1-7. doi:10.1016/j.cropro.2015.09.027
Alcántara-de la Cruz, R., Fernández-Moreno, P. T., Ozuna, C. V., Rojano-Delgado, A. M., Cruz-Hipolito, H. E., Domínguez-Valenzuela, J. A., ... De Prado, R. (2016). Target and non-target site mechanisms developed by glyphosate-resistant hairy beggarticks (Bidens pilosa L.) populations from Mexico. Frontiers in Plant Science, 7, 1492. doi:10.3389/fpls.2016.01492
Brighenti, A. M., & Oliveira, M. (2011). F. Biologia de plantas daninhas. In R. S. Oliveira Jr, J. Constantin, & M. H. Inoue (Eds.), Biologia e manejo de plantas daninhas (p. 1-36). Curitiba, PR: Omnipax.
Carvalho, L. B., Cruz-Hipólito, H., González-Torralva, F., Alves, P. L. C. A., Christoffoleti, P. J., & Prado, R. (2011). Detection of sourgrass (Digitaria insularis) biotypes resistant to glyphosate in Brazil. Weed Science, 59(2), 171-176. doi:10.1614/WS-D-10-00113.1
Carvalho, L. B., Alves, P., González-Torralva, F., Cruz-Hipólito, H. E., Rojano-Delgado, A. M.; De Prado, R.; ... Luque de Castro, M. D. (2012). Pool of resistance mechanisms to glyphosate in Digitaria insularis. Journal Agricultural and Food Chemistry, 60(2), 615-622. doi:10.1021/jf204089d
Cerdeira, A. L., Gazziero, D. L. P., Duke, S. O., & Matallo, M. B. (2011). Agricultural impacts of glyphosate-resistant soybean cultivation in South America. Journal of Agricultural and Food Chemistry, 59(11), 5799-5807. doi:10.1021/jf102652y
Correia, N. M., & Durigan, J. C. (2009). Manejo químico de plantas adultas de Digitaria insularis com glyphosate isolado e em mistura com chlorimuron-ethyl ou quizalofop-p-tefuril em área de plantio direto. Bragantia, 68(3), 689-697. doi:10.1590/S0006-87052009000300016
Cruz-Hipolito, H. E., Rojano-Delgado, A., Domínguez-Valenzuela, J. A., Heredia, A., Luque De Castro, M. D., & De Prado, R. (2011). Glyphosate tolerance by Clitoria ternatea and Neonotonia wightiiplants involves differential absorption and translocation of the herbicide. Plant & Soil, 347(1-2), 221-230. doi:10.1007/s11104-011-0840-9
Duke, S. O. (2017). The history and current status of glyphosate. Pest Management Science , doi:10.1002/ps.4652
Duke, S. O., & Powles, S. B. (2008). Glyphosate: A once-in-a-century herbicide. Pest Management Science , 64(4), 319-325. doi:10.1002/ps.1518
Franz, J. E., Mao, M. K., & Sikorski, J. A. (1997). Glyphosate: A unique global herbicide. ACS Monograph 189. Washington, D.C.: American Chemical Society.
Gazola, T., Belapart, D., Castro, E. B., Cipola Filho, M. L., & Dias, M. F. (2016). Características biológicas de Digitaria insularis que conferem sua resistência à herbicidas e opções de manejo. Científica, 44(4), 557-567. doi:10.15361/1984-5529.2016v44n4p557-567
Gomes, L. J. P., Santos, J. I., Gasparino, E. C., & Correia, N. M. (2017). Chemical control and morphoanatomical analysis of leaves of different populations of sourgrass. Planta Daninha, 35, e017158021. doi:10.1590/S0100-83582017350100008
Heap, I., & Duke, S. O. (2017) Overview of glyphosate-resistant weeds worldwide. Pest Management Science , doi: 10.1002/ps.4760
Heap, I. The international survey of herbicide resistant weeds. Retrieved on Apr. 4, 2017 from http://www.weedscience.org
Machado, A. F. L., Ferreira, L. R., Ferreira, F. A., Fialho, C. M. T., Tuffi Santos, L. D., & Machado, M. S. (2006). Análise do crescimento de Digitaria insularis. Planta Daninha , 24(4), 641-647. doi:10.1590/S0100-83582006000400004
Machado, A. F. L., Meira, R. M. S., Ferreira, L. R., Ferreira, F. A., Tuffi Santos, L. D., Fialho, C. M. T., & Machado, M. S. (2008). Caracterização anatômica de folha, colmo e rizoma de Digitaria insularis. Planta Daninha , 26(1), 1-8. doi:10.1590/S0100-83582008000100001
Melo, M. S. C., Rosa, L. E., Brunharo, C. A. C. G., Nicolai, M., & Christoffoleti, P. J. (2012). Alternativas para o controle químico de capim-amargoso (Digitaria insularis) resistente ao glyphosate. Revista Brasileira de Herbicidas, 11(2), 195-203. doi:10.7824/rbh.v11i2.145
Orcaray, L., Zulet, A., Zabalza, A., & Royuela, M. (2012). Impairment of carbon metabolism induced by the herbicide glyphosate. Journal of Plant Physiology, 169(1), 27-33. doi:10.1016/j.jplph.2011.08.009
Powles, S. B. (2008). Evolved glyphosate-resistant weeds around the world: Lessons to be learnt. Pest Management Science , 64(4), 360-365. doi:10.1002/ps.1525
Powles, S. B., & Yu, Q. (2010). Evolution in action: plant resistance to herbicides. Annual Review of Plant Biology, 61(1), 317-347. doi:10.1146/annurev-arplant-042809-112119
Reinert, C. S., Prado, A. B. C. A., & Christoffoleti, P. J. (2013). Curva de dose-resposta comparativas entre os biótipos resistente e suscetível de capim-amargoso (Digitaria insularis) ao herbicida glyphosate. Revista Brasileira de Herbicidas , 12(3), 260-267. doi:10.7824/rbh.v12i3.223
Ritz, C., Baty, F., Streibig, J. C., & Gerhard, D. (2015). Dose-response analysis using R. PLoS ONE, 10(12), e01460211. doi:10.1371/journal.pone.0146021
Rubim, B. (1991). Herbicide resistance in weeds and crops, progress and prospects. In J. C. Caseley, G. W. Cussans, & R. K. Atkin (Eds.), Herbicide resistance in weeds and crops (p. 387-414). Chap. 2. Oxford, UK: Butterworth-Heinemann.
Salas, R. A., Scott, R. C., Dayan, F. E., & Burgos, N. R. (2015). EPSPS Gene amplification in glyphosate-resistant Italian ryegrass (Lolium perenne ssp. multiflorum) populations from Arkansas (United States). Journal Agricultural and Food Chemistry , 63(25), 5885-5893. doi:10.1021/acs.jafc.5b00018
Sammons, R. D., & Gaines, T. A. (2014). Glyphosate resistance: State of knowledge. Pest Management Science , 70(9), 1367-1377. doi:10.1002/ps.3743
SigmaPlot. (2017). Version 11.0. San Jose, CA: Systat Software, Inc. Retrieved from http://www.systatsoftware.com
Vencill, W. K., Nichols, R. L., Webster, T. M., Soteres, J. K., Mallory-Smith, C., Burgos, N. R., Johnson, W. G., & McClelland, M. R. (2012). Herbicide resistance: Toward an understanding of resistance development and the impact of herbicide-resistant crops. Weed Science, 60(sp), 2-30. doi:10.1614/WS-D-11-00206.1
Yanniccari, M., Vila-Aiub, M., Istilart, C., Acciaresi, H., & Castro, A. M. (2016). Glyphosate resistance in perennial ryegrass (Lolium perenne L.) is associated with a fitness penalty. Weed Science , 64(1), 71-79. doi:10.1614/WS-D-15-00065.1
Yu, Q., Jalaludin, A., Han, H., Chen, M., Sammons, R. D., & Powles, S. B. (2015). Evolution of a double amino acid substitution in the 5-enolpyruvylshikimate-3-phosphate synthase in Eleusine indica conferring high-level glyphosate resistance. Plant Physiology, 167(4), 1440-1447. doi:10.1104/pp.15.00146
Author notes
*Author for correspondence. E-mail: hellenufv@hotmail.com