CROP PRODUCTION
Germination and biochemical components of Salvia hispanica L. seeds at different salinity levels and temperatures
Germinação e componentes bioquímicos de sementes de Salvia hispanica L. em diferentes salinidades e temperaturas
Germination and biochemical components of Salvia hispanica L. seeds at different salinity levels and temperatures
Acta Scientiarum. Agronomy, vol. 40, e39396, 2018
Editora da Universidade Estadual de Maringá - EDUEM
Received: 09 September 2017
Accepted: 13 December 2017
ABSTRACT. : Most plant species are susceptible to the effects of salinity, such as increases in osmotic potentials and deleterious ionic effects, which in turn affect water absorption in plants and, consequently, compromise germination and seedling growth. Hence, this study aimed to evaluate the effects of salinity on the germination, initial growth, and physiological and biochemical components of S. hispanica seedlings at different temperatures. The experimental design was completely randomized, with treatments distributed in a 5 x 4 factorial scheme with five saline concentrations (0.0 (control), 4.5, 9.0, 13.5, and 18.0 dS m-1) four temperature regimes (20, 25, 30, and 20-30°C), and four replicates of 50 seeds per treatment. The experiment evaluated the germination, growth, biochemical components (chlorophyll a, chlorophyll b, total carotenoids, amino acids, proline and sugars) and phytomass accumulation of S. hispanica seedlings. Saline levels higher than 4.5 dS m-1 together with treatment temperatures of 30 or 20-30°C negatively affected the germination, vigor, growth and biochemical components of the seedlings. The 25°C treatment temperature promoted the best conditions for the development of S. hispanica seedlings up to the saline level of 9.0 dS m-1.
Keywords: Lamiaceae, chia, salt stress, thermal stress.
RESUMO. : A maioria das espécies vegetais é susceptível aos efeitos da salinidade, causados pelo aumento do potencial osmótico e pelo efeito iônico, que por sua vez afetam a absorção de água e, consequentemente, prejudicando a germinação e o crescimento das plântulas. Diante disto, objetivou-se avaliar os efeitos da salinidade sobre a germinação, crescimento inicial, componentes fisiológicos e bioquímicos de plântulas de S. hispanica em diferentes temperaturas. O delineamento experimental foi o inteiramente casualizado, com os tratamentos distribuídos em esquema fatorial de cinco concentrações salinas: 0,0 (controle); 4,5; 9,0; 13,5 e 18,0 dS m-1 e quatro temperaturas: 20; 25; 30 e 20-30°C, em quatro repetições de 50 sementes. Durante a condução do experimento, avaliou-se a germinação, o crescimento, os componentes bioquímicos (clorofila a, b e carotenóides totais, aminoácidos, prolina e açúcares) e o acúmulo de fitomassa das plântulas de S. hispanica. Níveis de salinidade superiores a 4,5 dS m-1 associadas às temperaturas de 30 ou 20-30°C afetam negativamente a germinação, o vigor, o crescimento e os componentes bioquímicos de plântulas. A temperatura de 25°C proporciona as melhores condições para o desenvolvimento das plântulas de S. hispanica até níveis de salinidade de 9,0 dS m-1.
Palavras-chave: Lamiaceae, chia, estresse salino, estresse térmico.
Introduction
Salvia hispanica L. (Lamiaceae), known as chia, is an herbaceous plant that contains essential oils in its leaves, stems and seeds. The species is cultivated mainly in Mexico, Bolivia, Ecuador, and Guatemala (Capitani et al., 2015; Imram et al., 2016). In Brazil, S. hispanica cultivation has aroused the interest of producers because of an increasing demand for functional food products. Its seeds are recommended to reduce cholesterol levels, combat free radicals, control diabetes and help enable weight loss due to their high fiber content (approximately 30%) and low glycemic index; in addition, they are a source of omega-3 and omega-6 fatty acids (Ali et al., 2012).
From an agronomic point of view, studies on S. hispanica are very scarce, especially with respect to seed technology. Thus, it is necessary to know the factors that limit germination and seedling development to allow the formulation of management strategies for S. hispanica cultivation. Among these factors, salinity stands out because S. hispanica seeds are particularly vulnerable to its effects. Under high salinity conditions, there is an initial decrease in water absorption and, consequently, a reduction in germination (Falk & Munné-Bosch, 2010; Taiz & Zeiger, 2013). Therefore, the reduction in germination power in salt-stressed plants compared with control plants serves as an indication of the tolerance index of the species to salinity, elucidating the possible responses and tolerance of the plants to salt stress in different development stages (Flowers & Colmer, 2008; Munns & Tester, 2008; Zhang, Zhang, Lü, Zhou, & Han, 2014).
In studies conducted on Salvia aegyptiaca, Gorai, Gasmi, and Neffati (2011) observed that salt stress reduced the species germination speed and percentage. These same authors concluded that S. aegyptiaca has the capacity to tolerate moderately saline conditions, especially when temperature conditions are adequate. In addition, Dal’Maso et al. (2013), while analyzing the effect of salinity on the germination and initial development of S. hispanica seeds, observed that an increase in the concentration of potassium chloride reduced germination, the germination speed index and seedling growth, thus finding that S. hispanica seedlings are subject to limitations on growth, development and survival during salinity stress conditions.
Among environmental factors, temperature is the main factor responsible for determining seed germination rate, and an optimal temperature leads to the maximum percentage of fast seed germination, while maximum and minimum temperatures result in low germination percentages or embryo death (Meiado, Albuquerque, Rocha, Rojas-Aréchiga, & Leal, 2010). In addition to influencing germination, temperature affects the initial development of seedlings and directly affects their phenology because they have neither the ability of the seeds to tolerate adverse environmental conditions nor the physical robustness acquired with age (Miranda, Correia, Almeida-Cortez, & Pompelli, 2014; Sanchez et al., 2014). Thus, the germination period involves a series of transformations that depend on favorable environmental conditions, leading to high mortality rates when conditions are unfavorable in this development stage (Silva, Duarte, Lopes, Moraes, & Pereira, 2008; Oliveira, Souza, Carvalho, & Souza, 2015).
Given the above observations, this study aimed to evaluate the effects of salinity on the germination and initial growth of S. hispanica seedlings at different temperatures.
Material and method
The experiment was carried out at the Laboratory of Seed Analysis of the Plant Science Department of the Federal Rural University of the Semi-Arid Region (UFERSA), Mossoró, Rio Grande do Norte State, Brazil, using S. hispanica seeds from a commercial production field located in the municipality of Santana do Livramento, Rio Grande do Sul State (30° 53’ 27” S, 55° 31’ 58” W at 208 m altitude). The seeds were manually processed, placed in transparent plastic bags (0.15-mm thick) and stored in a cold and dry chamber (10 ± 2°C and 50% of the relative humidity of the environment) during the experimental period.
Salt stress was simulated using sodium chloride (NaCl) as a solute diluted in distilled water at the following concentrations: 0.0 (control), 4.5, 9.0, 13.5, and 18.0 dS m-1. The electrical conductivity of the solutions was measured using a conductivity meter. For the control, distilled water was used to moisten the substrate.
The experimental design was completely randomized, with treatments distributed in a factorial scheme of 5 x 4, with five saline concentrations, four temperatures, and four replicates of 50 seeds.
The germination test was conducted in Biochemical Oxygen Demand (B.O.D.) germination chambers regulated at temperatures of 25, 30, 35, and 20-30°C with a photoperiod of eight hours. The seeds were sown on paper towels (Germitest®) previously moistened for each saline concentration at the proportion of 2.5 times its dry weight.
After sowing, the germination test was monitored for eight days, which is considered the normal period for seedlings to produce their primary root and shoots (Brasil, 2009); germination results are expressed as percentages. Concurrent to the germination test, the germination speed index was determined, the seedlings were evaluated daily from the beginning of germination until the eighth day after sowing, and the germination index was calculated according to the equation proposed by Maguire (1962).
At the end of the germination test, the normal seedlings of S. hispanica were evaluated for growth by determining the shoot length (from the base to the apex using a ruler graduated in mm) and primary root length (from the base to the root tip). After the measurements, the seedlings were divided into roots and shoots, dried in a forced-air oven (65°C) until they reached a constant weight and weighed on a precision analytical scale (0.001 g). Total dry matter was determined by the sum of the values of root and shoot dry matter.
The contents of chlorophyll a and b and carotenoids were determined through the extraction of chlorophyll in acetone (80%) and quantification with spectrophotometry. The absorbances of the samples were recorded with a spectrophotometer at 470, 646.8, and 663.2 nm, and the contents of chlorophylls and carotenoids (g pigment kg-1 DM) were obtained according to Lichthenthaler (1987) using the following equations: 1) chlorophyll a = 12.25 ABS663.2 - 2.79 ABS646.8; 2) chlorophyll b = 21.50 ABS646.8 − 5.10 ABS663.2; 3) total carotenoids = (1000 ABS470 − 1.82 chlorophyll a - 85.02 chlorophyll b)/198.
On the eighth day of the experiment, samples of shoot and root dry matter from plants grown at the different levels of saline and thermal stress were collected to determine total soluble sugars, free amino acids and proline. The content of total soluble sugars was determined by the anthrone method (Yemm & Willis, 1954), and the results are expressed as μmol GLU g-1 of fresh matter. To quantify the contents of amino acids, absorbance at 570 nm was measured by the acid ninhydrin method (Yemm & Cocking, 1955) using glycine as the standard substance, and the results are expressed as μmol TFAA g-1 of matter. Proline was quantified according to the methodology described by Bates, Waldren, and Teare (1973), and the results are expressed as PRO g-1 of fresh matter.
The data were subjected to analysis of variance by F test at the 0.05 probability level. Depending on the significance, the data were subjected to polynomial regression analysis (p ≤ 0.05) using the statistical program SISVAR® (Ferreira, 2011).
Result and discussion
The interactions between the saline levels and the imposed temperatures significantly influenced the germination, growth, physiology and biochemical component variables of the S. hispanica seedlings. Seed germination decreased linearly with the increase in salinity at 20, 20-30, and 25°C, on the order of 0.53, 0.54, and 0.44% per dS m-1, respectively. For 30°C, there was a slight reduction in germination up to the salinity level of 13.5 dS m-1. However, increases in salinity above this level drastically reduced the germination of S. hispanica seeds, reaching 0% at the saline level of 18 dS m-1 (Figure 1A).

For the germination speed index, the results were similar to those of the germination percentage, with linear decreases in the vigor of S. hispanica seeds at temperatures of 20, 20-30, and 25°C corresponding to reductions of 0.97, 0.72, and 0.65 in the germination speed index per dS m-1, respectively. At 30°C, there was a quadratic response, with a maximum germination speed index at the estimated salinity of 3.4 dS m-1; however, above this saline level, the index decreased and reached zero at the salinity level of 18 dS m-1 (Figure 1B). Seed germination at 30°C was low and consequently resulted in lower vigor at the highest saline levels. Under high temperature conditions, there is an increase in seed metabolism, leading to greater soaking during the germination process. Thus, due to the high concentrations of salts present in the water and in the substrate, the absorption of the saline solution caused the seedlings to have inadequate supplies of nutrients because of the ionic imbalance resulting from excess Na+ and Cl- ions (Munns & Tester, 2008; Taiz & Zaiger, 2013; Lopes, Nascimento, Barbosa, & Costa, 2014).
Evaluating the germination of S. hispanica seeds in a saline medium, Dal’Maso et al. (2013) found reductions in germination from at osmotic potential of -0.9 MPa and higher, with germination percentages of 39% at -0.9 MPa and 10% at -1.2 MPa. Stefanello, Neves, Abbad, and Viana (2015), also researching S. hispanica seeds, observed that germination and vigor were compromised by an increase in the concentration of salts. Similar results were found in broccoli seeds by Lopes et al. (2014); in tomato seeds by Silva Júnior et al. (2014); in beet seeds by Bernardes, Mengarda, Lopes, Nogueira, and Rodrigues (2015); and in cabbage by Oliveira et al. (2015).
The shoot and root lengths of S. hispanica seedlings were drastically reduced by the increase in salinity in the substrate (Figure 2A and B). For seedling shoots, there were linear reductions of 0.11, 0.15, 0.16, and 0.14 cm per dS m-1 at temperatures of 20, 20-30, 25, and 30°C, respectively (Figure 2A).

For root length, there were reductions of 0.17, 0.22, 0.21, and 0.23 cm dS-1 m-1 at temperatures of 20, 20-30, 25, and 30°C, respectively (Figure 2B). The greatest reductions in seedling growth occurred at 30 and 20-30°C. In addition, at the highest temperature (30°C) associated with the highest salinity stress (18 dS m-1), the growth of S. hispanica seedlings decreased, indicating that the association of salt stress with thermal stress causes deleterious effects on the seeds. Germination and seedling growth are processes that require energy from the reserves of the seeds (Zhang et al., 2014).
Under normal conditions, a large portion of the energy is extracted from the reserves and consumed during the transport of ions and the synthesis of compatible solutes for development (Flowers & Colmer, 2008). However, when seeds are subjected to salt stress conditions, part of the energy from the reserves is consumed during the transport of the Na+ ions, leading to serious damage to seedling development and eventually preventing their development, a fact observed in the present study. Dal’Maso et al. (2013) also observed reductions in shoot and root development in S. hispanica seedlings as saline levels increased.
As to the chloroplast pigments, S. hispanica seeds that germinated at temperatures of 20 and 25°C obtained satisfactory levels of chlorophyll a and b under saline conditions up to 13.5 dS m-1; from this point on, the chlorophyll values started to decrease (Figure 3A). It should be noted that at these temperatures, the response was quadratic, with increases in the contents of chlorophyll a and b that were much greater in the saline treatments than in the control treatment. Most likely due to the limitations caused by the degradation and absorption of reserves resulting from the increase in the osmotic potential, S. hispanica seedlings were stimulated to produce more photosynthesizing pigments to escape the deleterious effects of the salt stress.
For chlorophyll a, there were reductions of 35 and 4% at the highest saline level (18.0 dS m-1) compared to the control saline level (0 dS m-1) at 20 and 25°C, respectively. However, at 20 and 25°C, there were 5 and 32% increases in chlorophyll b, respectively, between the highest saline level (18.0 dS m-1) and the control (0 dS m-1) (Figure 3A). The increase in the content of chlorophyll b, but not of chlorophyll a, with the increase in temperature may be related to greater potentiation of photosynthetic activity since chlorophyll b is an accessory pigment that captures wavelengths of light energy that are not captured by chlorophyll a (Silveira, Silva, Silva, & Viégas, 2010). Nevertheless, at the highest temperature (30°C) and the alternated temperature treatment of 20-30°C, the contents of chlorophyll a and b showed quadratic behaviors, with an increasing trend up to 4.5 dS m-1. Considering that the increase in temperature potentiated the effect of salinity on S. hispanica seedlings, under these temperature conditions, the increase in salinity probably stimulated the synthesis of the enzyme chlorophyllase, which is responsible for the degradation of chlorophyll (Taiz & Zaiger, 2013).

The content of carotenoids in the S. hispanica seeds that germinated at 20°C linearly decreased as a function of the increase in salinity, with a reduction of 0.18 mg g-1 per dS m-1. At the other temperatures, there was a quadratic response, with maximum peaks in the content of carotenoids at the saline levels of 7.21, 5.62, and 7.75 dS m-1 at 25, 20-30, and 30°C, respectively, and subsequent decreases in carotenoid content with salinity (Figure 3C). The quadratic behavior of the content of carotenoids observed at 25, 20-30, and 30°C agreed with the results found for chlorophyll a and b, considering that the carotenoids act as protecting pigments working against antioxidant activity activities and protecting the lipid membranes from oxidative stress caused in the plants exposed to saline conditions (Falk & Munné-Bosch, 2010). Thus, the increase in the content of carotenoids may be related to the protection of chlorophyll molecules by the reduction of the activities of enzymes such as chlorophyllase.
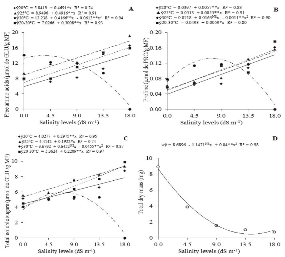
The contents of the organic compounds, free amino acids, proline and sugars that were evaluated in the S. hispanica seedlings were significantly altered by the salt stress and changing temperatures (Figure 4A, B and C). The contents of free amino acids, proline and sugars in the seedlings in seeds germinated at temperatures of 20, 25, and 20-30°C increased linearly with the increase in salinity, and the highest increases occurred at 25°C. The organic compounds of the seedlings germinated at 30°C showed a quadratic response with the increase in salinity, with the highest contents of free amino acids, proline and sugars occurring at saline levels of 3.40, 7.41, and 7.19 dS m-1, respectively. An increase in the synthesis of organic substances, such as nitrogen compounds and sugars, frequently occurs in plants under salt stress because these substances protect structures and support the osmotic balance of the plant (Esteves & Suzuki, 2008). Based on the results of this study, S. hispanica seedlings demonstrated osmotic adjustments to salt stress conditions by the synthesis of organic compounds at temperatures up to 30°C.
The dry matter accumulation in S. hispanica seedlings was drastically reduced by the increase in salinity, regardless of the temperature, and seeds germinated mainly at saline levels higher than 9.0 dS m-1 (Figure 4D). The inhibition of growth and phytomass accumulation in the presence of salinity is related to the ionic toxicity caused by the salts in the metabolic processes of the cells, which prevents or reduces plant growth (Panuccio, Jacobsen, Akhtar, & Muscolo, 2014; Bernardes et al., 2015). Silva et al. (2008) observed that in wheat seeds, there were alterations in the cell constituents when the seeds were subjected to salt stress with NaCl. According to the results of this study, it is evident that high NaCl concentrations are phytotoxic to S. hispanica and cause cell alterations that damage the physiological processes of germination and seedling development and that are potentiated under high temperature conditions.

Conclusion
Salinity levels above 4.5 dS m-1 together with temperatures of 30 or 20-30°C negatively affect the germination, vigor, growth and biochemical components of S. hispanica seedlings.
The treatment temperature of 25°C promotes the best conditions for the development of S. hispanica seedlings up to the saline level of 9.0 dS m-1.
References
Ali, N. M., Yeap, S. K., Ho, W. Y., Beh, B. K., Tan, S. W., & Tan, S. G. (2012). The promising future of chia, Salvia hispanica L. Journal of Biomedicine and Biotechnology, 12(1), 1-9. doi: 10.1155/2012/171956
Bates, L. S., Waldren, R. P., & Teare, I. D. (1973). Rapid determination of free proline for water-stress studies. Plant and Soil, 39(1), 205-207.
Bernardes, P. M., Mengarda, L. H. G., Lopes, J. C., Nogueira, M. U., & Rodrigues, L. L. (2015). Qualidade fisiológica de sementes de repolho de alta e baixa viabilidade sob estresse salino. Nucleus, 12(1), 77-86. doi: 10.3738/1982.2278.1105
Brasil. Ministério da Agricultura, Pecuária e Abastecimento. (2009). Secretaria de Defesa Agropecuária. Coordenação Geral de Apoio Laboratorial. Regras para análise de sementes. Brasília, DF: MAPA/ACS.
Capitani, M. I., Corzo-Rios, L. J., Chel-Guerrero, L. A., Betancur-Ancona, D. A., Nolasco, S. M., & Tomás, M. C. (2015). Rheological properties of aqueous dispersions of chia (Salvia hispanica L.) mucilage. Journal of Food Engineering, 149, 70-77. doi: 10.1016/j.jfoodeng.2014.09.043
Dal’Maso, E. G., Casarin, J., Costa, P. F., Cavalheiro, D. B., Santos, B. S., & Guimarães, V. F. (2013). Salinidade na germinação e desenvolvimento inicial de sementes de chia. Cultivando o Saber, 6(3), 26-39.
Esteves, B. S., & Suzuki, M. S. (2008) Efeito da salinidade sobre as plantas. Oecologia Brasiliensis, 12(4), 662-679.
Falk, J., & Munné-Bosch, S. (2010). Tocochromanol functíons in plants: antioxidation and beyond. Journal Experimental Botany, 61(4), 1549-1566. doi: 10.1093/jxb/erq030
Ferreira, D. F. (2011). Sisvar: A computer statistical analysis system. Ciência e Agrotecnologia, 35(6), 1039-1042. doi: 10.1590/S1413-70542011000600001
Flowers, T. J., & Colmer, T. D. (2008). Salinity tolerance in halophytes. New Phytologist, 179(4), 945-963. doi: 10.1111/j.1469-8137.2008.02531.x
Gorai, M., Gasmi, H., & Neffati, M. (2011). Factors influencing seed germination of medicinal plant Salvia aegyptiaca L. (Lamiaceae). Saudi Journal of Biological Sciences, 18(3), 255-260. doi: 10.1016/j.sjbs.2011.01.004
Imran, M., Nadeem, M., Manzoor, M. F., Javed, A., Ali, Z., Akhtar, M. N., & Hussain, Y. (2016). Fatty acids characterization, oxidative perspectives and consumer acceptability of oil extracted from pre-treated chia (Salvia hispanica L.) seeds. BioMed Central, 15(162), 1-13. doi: 10.1186/s12944-016-0329-x
Lichthenthaler, H. K. (1987). Chlorophylls and carotenoids: pigments of photosynthetic biomembranes. In I. Packer, & R. Douce (Ed.), Methods in enzimology (p. 350-382). London, UK: Academic Press.
Lopes, K. P., Nascimento, M. G. R., Barbosa, R. C. A., & Costa, C. C. (2014). Salinidade na qualidade fisiológica em sementes de Brassicas oleracea L. var. Itálica. Semina: Ciências Agrárias, 35(5), 2251-2260. doi: 10.5433/1679-0359.2014v35n5p2251
Maguire, J. D. (1962). Speed of germination-aid in selection and evaluation for seedling emergence and vigor. Crop Science, 2(1), 176-177.
Meiado, M. V., Albuquerque, L. S. C., Rocha, E. A., Rojas-Aréchiga, M., & Leal, I. R. (2010). Seed germination responses of Cereus jamacaru DC. ssp. jamacaru (Cactaceae) to environmental factors. Plant Species Biology, 25(2), 120-128. doi: 10.1111/j.1442-1984.2010.00274.x
Miranda, R. Q., Correia, R. M., Almeida-Cortez, J. S., & Pompelli, M. F. (2014). Germination of Prosopis juliflora (Sw.) D.C. seeds at different osmotic potentials and temperatures. Plant Species Biology, 29(3), 9-20. doi: 10.1111/1442-1984.12025
Munns, R., & Tester, M. (2008). Mechanisms of salinity tolerance. Annual Review of Plant Biology, 59(4), 651-681. doi: 10.1146/annurev.arplant.59.032607.092911
Oliveira, A. K. M., Souza, J. S., Carvalho, J. M. B., & Souza, S. A. (2015). Germinação de sementes de pau-de-espeto (Casearia gossypiosperma) em diferentes temperaturas. Floresta, 45(1), 97-106. doi: 10.5380/rf.v45i1.27599
Panuccio, M. R., Jacobsen, S. E., Akhtar, S. S., & Muscolo, A. (2014). Effect of saline water on seed germination and early seedling growth of the halophyte quinoa. Journal for Plant Science, 6(1), 1-18. doi: 10.1093/aobpla/plu047
Sanchez, P. L., Chen, M., Pessarakli, M., Hill, H. J., Gore, M. A., & Jenks, M. A. (2014). Effects of temperature and salinity on germination of non-pelleted and pelleted guayule (Parthenium argentatum A. Gray) seeds. Industrial Crops and Products, 55(2), 90-96. doi: 10.1016/j.indcrop.2014.01.050
Silva Júnior, J. F., Klar, A. E., Tanaka, A. A., Freitas-Silva, I. P., Cardoso, A. E. I., & Putti, F. F. (2014). Tomato seeds vigor under water or salt stress. Brazilian Journal of Biosystems Engineering, 8(1), 65-72. doi: 10.18011/bioeng2014v8n1p65-72
Silva, R. N., Duarte, G. L., Lopes, N. F., Moraes, D. M., & Pereira, A. L. A. (2008). Composição química de sementes de trigo (Triticum aestivum L.) submetidas a estresse salino na germinação. Revista Brasileira de Sementes, 30(1), 215-220. doi: 10.1590/S0101-31222008000100027
Silveira, J. A. G., Silva, S. L. F., Silva, E. N., & Viégas, R. A. (2010). Mecanismos biomoleculares envolvidos com a resistência ao estresse salino em plantas. In H. R. Gheyi, N. S. Dias, & C. F. Lacerda (Ed.), Manejo da salinidade na agricultura irrigada: estudos básicos e aplicados (p. 171-180). Fortaleza, CE: INCTSal.
Stefanello, R., Neves, L. A. S., Abbad, M. A. B., & Viana, B. B. (2015). Resposta fisiológica de sementes de chia (Salvia hispanica - Lamiales: Lamiaceae) ao estresse salino. Biotemas, 28(4), 35-39. doi: 10.5007/2175-7925.2015v28n4p35
Taiz, L., & Zeiger, E. (2013). Fisiologia vegetal (6a ed.). Porto Alegre, RS: ARTMED.
Yemm, E. W., & Coccking, E. C. (1955). The determination of amino-acids with ninhydrin. Analyst, 80(2), 209-213.
Yemm, E. W., & Willis, A. J. (1954). The estimation of carbohydrates in plant extracts by anthrone. Biochemical Journal, 57(3), 508-514.
Zhang, H., Zhang, G., Lü, X., Zhou, D., & Han, X. (2014). Salt tolerance during seed germination and early seedling stages of 12 halophytes. Plant and Soil, 388(2), 229-241. doi: 10.1007/s11104-014-2322-3
Author notes
*Author for correspondence. E-mail: sbtorres@ufersa.edu.br