SOILS
Recepção: 05 Setembro 2017
Aprovação: 27 Dezembro 2017
DOI: https://doi.org/10.4025/actasciagron.v40i1.39320
RESUMO. : Alta disponibilidade de Al demanda maiores cuidados para tornar os solos aptos para a agricultura devido a toxidez para as plantas cultivadas. Contudo, as pesquisas sobre a relação entre a distribuição de Al em profundidade e o intemperismo do solo têm sido pouco priorizadas, principalmente aquelas conduzidas com um maior número de perfis de solos. O presente estudo analisou-se 38 solos ácidos selecionados dos levantamentos de solos da região Sul do Brasil, com o objetivo de identificar e isolar o efeito dos componentes orgânicos e minerais na distribuição em profundidade do Al trocável extraído com KCl (AlKCl). A seleção resultou na formação de três grupos de solos em relação aos teores de AlKCl em profundidade: Grupo I - diminuição; Grupo II - inexpressiva variação e; Grupo III - aumento. A matéria orgânica foi mais importante para determinar os altos teores de AlKCl na superfície dos solos mais intemperizados (grupo I) e a qualidade da fração mineral definiu os elevados teores de AlKCl nos horizontes subsuperficiais do grupo III. A distribuição de AlKCl em profundidade foi definida pelo grau de intemperismo do solo. O conhecimento desses agrupamentos de solo pode auxiliar no manejo da acidez do solo para otimizar a produtividade das culturas no sul do Brasil.
Palavras-chave: índice Ki, matéria orgânica, esmectita, caulinita, óxidos de Al, necessidade de calagem.
ABSTRACT. : Due to potential crop toxicity, high aluminum (Al) availability requires increased attention when preparing agricultural soils. However, research examining the relationship between depth distribution of Al and soil weathering has received little priority in Brazil, particularly regarding the number of soil profiles investigated. This study analyzed 38 acid soils selected from Soil Surveys in southern Brazil to identify and isolate the effects of organic and mineral components on depth distribution of exchangeable Al extracted with KCl (AlKCl). These soil profiles were divided into the following three groups based on AlKCl depth distribution: Group I - decrease with depth; Group II - little variation with depth; and Group III - increase with depth. High AlKCl found near the surface of well-developed soils (Group I) was influenced by organic matter content, while mineral fraction quality defined the occurrence of high AlKCl in subsurface horizons of Group III. The depth distribution of AlKCl was defined by the degree of weathering in these subtropical soils. Possessing a knowledge of these soil groupings may aid in soil acidity management to optimize crop productivity in southern Brazil.
Keywords: Ki index, organic matter, smectite, kaolinite, Al oxides, lime requirement.
Introduction
Acidic soils have a pH lower than 7; however, much of the pedosphere has higher acidity (pH < 5.5) that favors increased toxic forms of aluminum (particularly Al3+) in soil solution. Most agricultural plant species do not attain maximum production potential when grown in high acidity soils due to Al toxicity and nutritional deficiency (Kochian, Piñeros, Liu, & Magalhães, 2015; Goulding, 2016; Sade et al., 2016; Barbosa, Motta, Consalter, & Pauletti, 2017a). Acidic soils directly affect the health and nutrition of people living in rural and urban areas by constraining production of cultivated species.
Aluminum extraction with KCl (AlKCl) is a method that has been adopted worldwide to evaluate Al availability in mineral soils that can be affected by soil pH, organic matter content, and soil clay mineralogy (Marques, Teixeira, Schulze, & Curi, 2002; Zolotajkin, Ciba, Kluczka, Skwira, & Smoliński, 2011; Bernini et al., 2013; Eimil-Fraga, Álvarez-Rodriguez, Rodrígues-Soalleiro, & Fernández-Sanjurjo, 2015; Barbosa, Poggere, Dalpisol, Motta, Serrat, & Bittencourt et al., 2017b). Organic matter has the following two distinct actions influencing the amount of AlKCl in soil: i) reductions due to complexation reactions, ii) increases due to organic matter, which is the primary source of CEC in well-developed soils (Motta & Melo, 2009). Weathering of 2:1 minerals results in release and buffering of AlKCl in soil. However, soil evolution naturally tends to stabilize AlKCl in secondary minerals such as kaolinite and gibbsite (Lindsay, 2001; Vendrame et al., 2013).
The effects of lime, management system/land use practices, and organic residue addition on AlKCl levels have been widely evaluated (Brunetto et al., 2012; Barcellos, Motta, Pauletti, Silva, & Barbosa, 2015; Costa, Crusciol, Ferrari Neto, & Castro, 2016; Baquy, Li, Xu, Mehmood, & Xu, 2017; Barbosa et al., 2017b; Machado, Camara, Sampaio, Pereira, & Ferraz, 2017; Rocha et al., 2017). These data were obtained from the most superficial soil layers, excluding less weathered deep horizons with organic matter contents close to zero. In contrast, there are limited studies on AlKCl as a function of soil weathering, organic matter, and clay mineralogy. Quesada et al. (2010) studying surface layers (0 - 30 cm) of 71 tropical forest soils (i.e., Brazil, Venezuela, Bolivia, Colombia, Peru, and Ecuador) noted higher AlKCl values in Chernozems, Cambisols, and Plinthosols than those in Acrisols and Ferralsols. Cunha, Almeida, and Barboza (2014) reported high values of AlKCl due to 2:1 minerals in Brazilian soils. However, little attention has been given to explaining variations of AlKCl in both superficial and subsurface layers of such acid soils. Understanding factors that govern depth distribution of AlKCl in soil can contribute to the knowledge base concerning the nature and management of acidic soils.
The aim of this study was to identify and isolate the effects of organic and mineral components on the depth distribution of AlKCl in acid soils with different degrees of weathering. Our goal was not to correlate lithology or climate with AlKCl levels because consistent variations in AlKCl within soil profiles occurred independent of these factors.
Material and method
Study areas
This study was developed based on the following three soil surveys of the southern region of Brazil: 1) Soil Recognition Survey of the Paraná (Embrapa, 1984); 2) Soil Recognition Survey of the Santa Catarina (Embrapa, 1998); and 3) Soil Recognition Survey of the Rio Grande do Sul (Brasil, 1973). These surveys were conducted between the 1960s and 1990s and covered the territory of each southern Brazilian state. Soils were carefully chosen to adequately represent the taxonomic unit in terms of morphological, chemical, and physical attributes along the profile for classification. Regarding soil characterization, it is important to note that standard methodologies were used to evaluate soils in all surveys.
Data collection
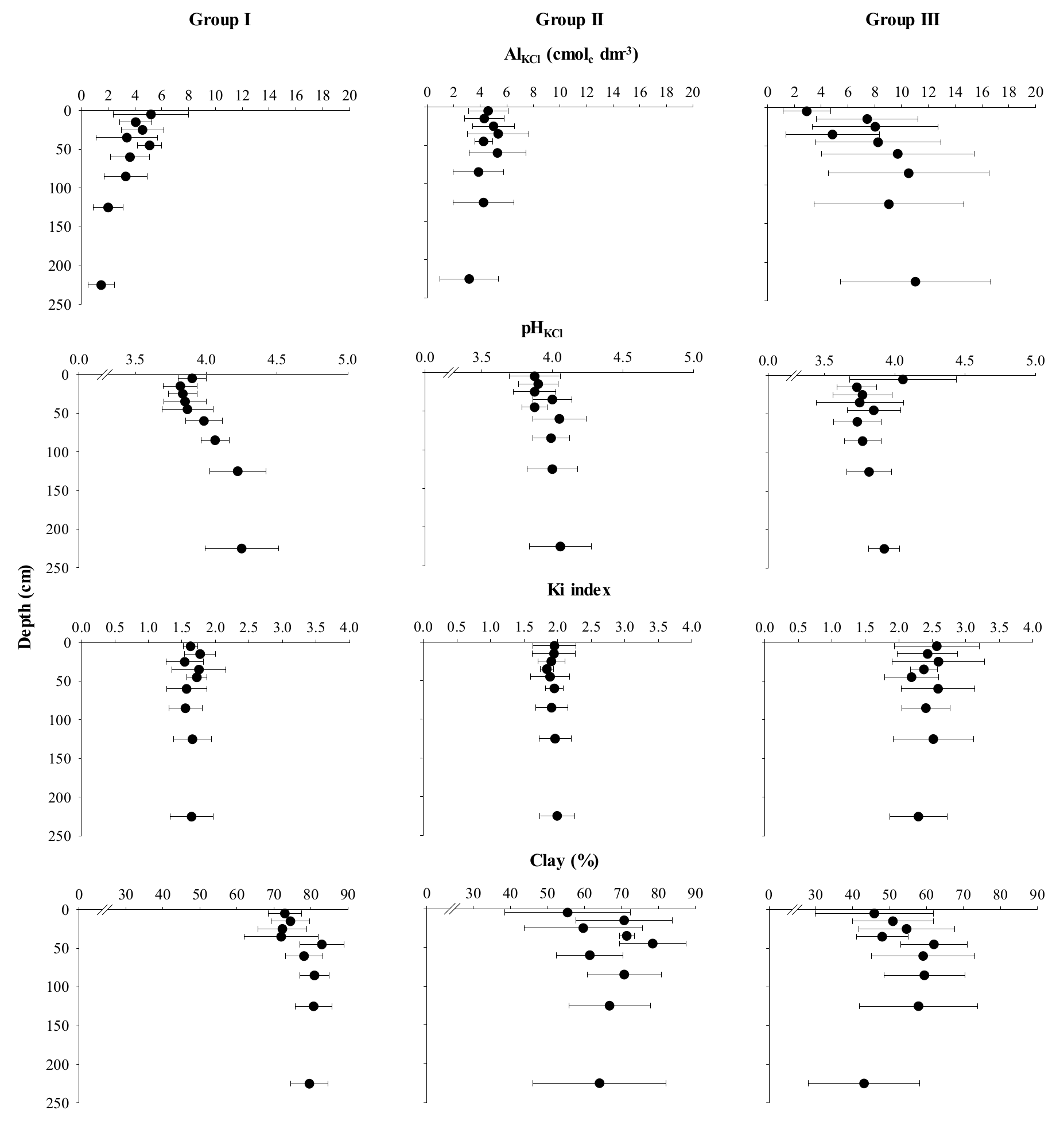
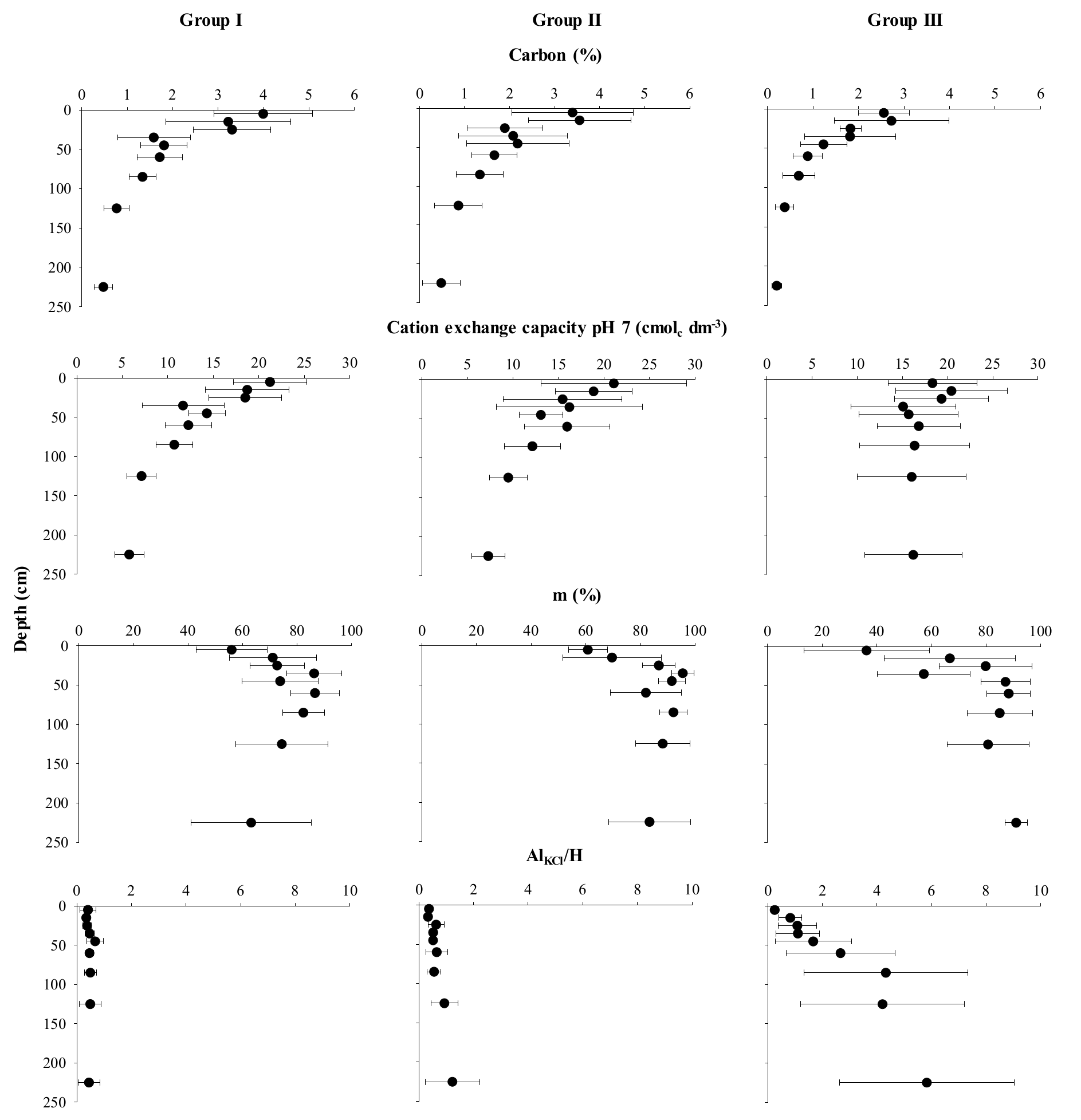
Mineral soil profiles were selected to evaluate the potential for creating acidity. Distribution profiles of AlKCl were the only selection criterion. In selecting acid soil profiles, one of the horizons typically had AlKCl higher than 4 cmolc kg-1, but all profiles had at least one horizon in which AlKCl was higher than 2 cmolc kg-1. The profiles were divided into the following three Groups: (I) decrease of AlKCl with depth (12 profiles), (II) insignificant variation of AlKCl with depth (9 profiles), and (III) increase of AlKCl with depth (17 profiles) (Figure 1; Tables 1, 2, and 3). The following soil profile variables were also considered: depth, clay content, organic carbon (C), Ki index, H (potential non-exchangeable acidity), cation exchange capacity (CEC) at pH 7.0, pH in KCl (pHKCl), and AlKCl saturation (m).
Survey analyses were conducted on fine air dry soil (FADS) using the following methodologies (Embrapa, 1984; Brasil, 1973; Embrapa, 1998): clay content, dispersion with NaOH 5% (m/v) [in special cases, (NaPO3)6 or Calgon] and determination by the Bouyoucos hydrometer method; pHKCl, equilibrium with 1 mol KCl L-1 (soil/solution ratio of 1:2.5); exchangeable Al (AlKCl), extraction with 1 mol KCl L-1 and determination by titulometry (blue bromothymol indicator); C, oxidation of organic material with 0.2 mol L-1 potassium dichromate; SiO2 and Al2O3, sulfuric attack with concentrated H2SO4 and Na2CO3 (5% m/v), with Si determined by colorimetry (blue molybdenum indicator) and Al by Titriplex IV; and H (potential non-exchangeable acidity), extraction with calcium acetate (0.5 mol L-1, pH 7.0) and determination by titulometry (phenolphthalein indicator).
The Ki index was obtained by the following equation:
where: SiO2 and Al2O3were obtained by sulfuric attack (g kg-1).
The relationship between potential exchangeable acidity (AlKCl) and non-exchangeable potential acidity (H) was determined as AlKCl/H.
The CEC at pH 7.0 was obtained by the following equation:
where: Ca2+, Mg2+, K+, Na+, and Al3+represent the contents (cmolc dm-3) of these elements extracted using KCl solution; H represents the content (cmolc dm-3) of this element extracted using calcium acetate.
Saturation by AlKCl (m) was obtained by the following equation:
where: m in percentage; Al3+, Ca2+, Mg2+, K+, and Na+ represent the contents (cmolc dm-3) of these elements extracted using KCl solution.




Data processing and analysis
Selected data were entered into Microsoft® Excel spreadsheets and organized according to each soil group. Because of wide depth variability between soil profiles and soil horizons, the following average ranges (cm) were used: 0 - 10; 10 - 20; 20 - 30; 30 - 40; 40 - 50; 50 - 70; 70 - 100; 100 - 150; and > 150 (average depth of 225 cm). The soil profile was evaluated based on horizon analysis, and the reported depth was considered to be half the depth of each horizon. Mean values and standard deviations for each attribute per depth range were calculated. All data were subjected to Pearson's simple correlation analysis using Sisvar statistical software (Ferreira, 2014).
Result and discussion
Climate (Alvares, Stape, Sentelhas, Gonçalves, & Sparovek, 2013) and lithology (Figure 1) were variable within each soil group and were similar across groups. For this reason, climate and lithology were not considered in the discussion data. In Group I, the average AlKCl content was close to 5 cmolcdm-3 in the 0 - 10 cm layer and was reduced to ~1.5 cmolcdm-3 at the greatest depth. For Group II, a lower AlKCl variation (4.6 to 3.2 cmolcdm-3) was observed from the most superficial soil layer to the deepest layer. In Group III, a clear increase occurred in average AlKCl with depth, which varied from 3 to 11 cmolcdm-3 (Figure 2).
Comparing the two groups of highest contrast, Group I was predominantly Ferralsols (Table 1), while Group III (Table 3) included soils with moderate weathering and diagnosed as having incipient developed B horizons or B horizons with clay accumulation (Brasil, 1973; Embrapa, 1984; Embrapa, 1998). Additionally, when comparing contrasting Ki index values (Group I: from 1.2 to 2; Group III: from 2 to 3.3), well-developed soils have Ki indices < 2.0 (IBGE, 2015). Dalović et al. (2012) also found a clear increase in average AlKCl content in low-developed soils (102 profiles) from a basin in Serbia. Similar results are reported for tropical and subtropical Brazilian soils (Marques et al., 2002; Motta & Melo, 2009; Cunha et al., 2014). The increased level and buffering of AlKCl with depth are even more significant for low-developed soils that have high levels of amorphous minerals of allophane and imogolite types, high Al/Si molar ratios, and low environmental stability. This is observed under conditions of extremely low soil weathering, such on the Peninsula Keller (Antarctica) where soil profiles were developed from sulfide-bearing andesites (rich in amorphous minerals) having high AlKCl contents of 18.2 cmolc kg-1 in the A horizon and 27.8 cmolc kg-1 in the B horizon (Poggere, Melo, Francelino, Schaefer, & Simas, 2016).

Motta and Melo (2009) established the following relationships for the evolution of AlKCl in subsurface horizons with weathering of tropical and subtropical soils: i) Low weathering soils with 2:1 dioctahedral (smectite) minerals: incipient weathering is not sufficient to release Al from octahedral sheets, and all negative charges of minerals are occupied by bases (V = 100%), ii) Moderate to intense weathering: partial or total dissolution of 2:1 minerals in the B horizon promotes Al release and acidifies soil, iii) Intense weathering: neoformation of kaolinite from Al and Si released by 2:1 minerals reduces acidity of the B horizon, iv) Very intense weathering: transition to an oxidic system that stabilizes Al in gibbsite structure. Considering chemical equilibrium reactions and equilibrium constants for 2:1 (Mg-montmorillonite) and 1:1 minerals (kaolinite) presented by Lindsay (2001), it is possible to exemplify more solubility and Al release from 2:1 minerals. As an example (using ionic forms of elements), given a pH of 6.0, H4SiO4 in soil solution is in equilibrium with quartz (10-4 mol L-1) for Mg-montmorillonite and kaolinite, and Fe3+ is in equilibrium with goethite with Mg2+ equal to 10-3 mol L-1 (Lindsay, 2001) for montmorillonite, the following concentrations of Al3+ are present in soil solution under equilibrium conditions: Mg-montmorillonite, Al3+ = 10-10.0 mol L-1; kaolinite, Al3+ = 10-11.3 mol L-1. At lower pH values, the instability of minerals increases, and the difference in Al3+ content in equilibrium solution favoring montmorillonite is even more significant.
According to these premises, the degree of soil weathering was classified intense to very intense for Group I and moderate to intense for Group III, which corroborated Ki index results (Figure 2). The expressed variation in average Ki levels among groups allowed for the establishment of positive correlations with AlKCl content considering all samples (0.53, p < 0.01) or excluding those in the 0-50 cm depth range (0.70, p < 0.01; Table 4). Analysis of only subsurface diagnostic horizons increased the correlation coefficient between Ki index and AlKCl content, since the effect of surface horizon organic matter on AlKCl dynamics in soil was isolated. When soil groups were considered separately, correlation coefficients were less than 0.4, since Ki values were similar along the soil profiles within each group (Figure 2).
The presence of 2:1 soil minerals promotes low CEC variation in subsurface soil, such as that observed in Group III (Figure 3). In Group III, the correlation coefficient for AlKCl and CEC at pH 7.0 was 0.70 (p < 0.01). However, unlike other groups, the low correlation between CEC and C (0.33, p < 0.01) indicated that maintenance of high AlKCl levels in Group III soils was primarily controlled by negative charges of minerals in the clay fraction. As a consequence, more intense adsorption kept Al in the soil and prevented leaching. High AlKCl levels in soils with 2:1 minerals are also associated with the capacity of the extractor (KCl) to solubilize Al amorphous compounds and Al-hydroxy islands between layers of secondary 2:1 minerals (Marques et al., 2002; Cunha et al., 2014).
The correlation coefficient between C and AlKCl was 0.61 (p < 0.01) for Group I (Table 4). For Group III, the correlation coefficient between these same parameters was low (-0.16, p < 0.01). The correlation coefficient between AlKCl and CEC was also high in Group I (0.74, p < 0.01), and soil negative charges were due to humic compounds (correlation coefficient between CEC and C = 0.97, p < 0.01). The average C levels decreased markedly along the profiles within the three groups (Figure 3). However, the CEC at pH 7.0 was reduced with the same intensity only in Groups I and II; ranging from averages close to 20 cmolc dm-3 near the surface to 6 cmolc dm-3 in the deepest soil layers. By contrast, Group III initial mean values were approximately 20 cmolc dm-3 but remained close to 15 cmolc dm-3 as depth increased. These results indicated that the variation of Al in Group I was most associated with the organic fraction, whereas in Group III, this variation occurred with the mineral fraction of the soil.
In Group I, organic matter contributed more to higher AlKCl content near the surface, and the decrease in exchangeable potential acidity with depth could be attributed to Al stabilization primarily in the structure of gibbsite (Vendrame et al., 2013). Ghidin, Melo, Lima, and Lima (2006) worked with a toposequence of Ferralsols (similar to profiles 30 and 32 in Group I; Table 1) from Guarapuava (Paraná State) that originated from basalt. They observed a predominance of oxides in the clay fraction of the B horizon (i.e., 322 g kg-1 gibbsite, 309 g kg-1 hematite, and 294 g kg-1 kaolinite). Thus, with much of Al stabilized in the structure of gibbsite and kaolinite, organic matter becomes the source of this element. Despite the strong interaction between Al and organic matter, a KCl solution can extract the most labile fraction (Campos, Silva, Silva, & Vidal-Torrado, 2014; Cunha et al., 2014). However, some authors found Al-hydroxy islands between layers of secondary 2:1 minerals in Ferralsol clay fractions of several Brazilian regions, although these minerals are only residual in well-developed soils (Silva, Motta, Melo, & Lima, 2008; Schaefer, Fabris, & Ker, 2008).
The lowest values for AlKCl/H were observed in deeper layers of Group I profiles (Figure 3). Since C contents in the subsurface were similar between Groups I and III, the low AlKCl/H ratio in Group I was indicative of greater hydroxylated surface groups (pH dependent charge) in soil colloids, higher levels of 1:1 silicate minerals, and Fe and Al oxides in the clay fraction. The aluminol (-AlOH) and ferrol (-FeOH) groups common in these minerals cause low acidity (predominance of CEA over CEC at pH below 7 to 9; Schwertmann & Taylor, 1989), and elevation of natural soil pH to 7.0 during extraction with 0.5 mol L-1 Ca acetate results in a high release of H. The reduction of this ratio in Group I was favored by lower AlKCl content.
For the most active clay system (Group III), less H release most likely occurs due to reduced occurrence of aluminol and ferrol; approximately 95% of 2:1 secondary mineral charges are structural or independent of pH changes (Brady & Weil, 1996). In 2:1 clays, a proportion of silanol groups (-SiOH) occur that act as strong acid radicals deprotonating at pH 2 (Tarì, Bobos, Gomes, & Ferreira, 1999). Since each analyzed soil had a pH above 2, H had been previously released. Thus, these H groups were not computed in the determination of potential acidity since they were not exchangeable using Ca acetate (0.5 mol L-1, pH 7.0). Therefore, in subsurface horizons of Group III soils, the primary component of acidity was the exchangeable potential (high AlKCl/H ratio). The effect of organic matter favoring non-exchangeable potential acidity was evident in the reduction of the AlKCl/H ratio for surface horizons of Group III soils.
The pHKCl also exhibited variation among groups (Figure 2), with a negative correlation coefficient for pH (KCl) and C significant at p < 0.01 only for Group I (Table 4). Significant increases in this parameter with depth for Group I reflected reduction of the positive effect of organic matter in forming negative charges near the surface, and the more oxidic mineralogy of Ferralsols favors positive charge formation in subsurface layers (Silva et al., 2008; Serafim, Lima, Lima, Zeviani, & Pessoni, 2012). Increase in the proportion of positive charges with depth of Group I profiles favors the adsorption of OH- and an increased pHKCl after the exchange of these anions by the Cl- in solutions of KCl (1 mol L-1).


Regardless of group, saturation by AlKCl (m) increased as a function of soil depth (Figure 3). However, the highest m values occurred through different routes, particularly for more contrasting groups (I and III). For Group I, reduced variation in AlKCl (below 60 cm) indicated increased mean m values up to this layer and was a reflection of reduced CEC with depth. For Group III, the increase in m values with depth followed significant increases in AlKCl along soil profiles.
In practical terms, the differences in AlKCl content and depth distribution patterns in the studied soils require necessary variations in acidity management. When cultivating plants in acid soils with Ki index > 2.2 (usually soils with cambic B or argic B horizons), managing soil acidity in depth will be more intense due to higher AlKCl.
Conclusion
The distribution of AlKCl with depth was defined by the degree of soil weathering in subtropical Brazil. For soils with intense to very intense weathering, the organic fraction increased CEC and AlKCl in superficial horizons, with AlKCl reduction in subsurface layers due to reduced organic matter and probable predominance of minor minerals with lower Ki (1:1 + Al oxides) that reflected higher Al stability in structural forms. By contrast, soils with moderate weathering had higher AlKCl and increased average AlKCl content with depth that indicated greater influence of soil mineral fractions. These soil groupings may aid in soil acidity management.
References
Alvares, C. A., Stape, J. L., Sentelhas, P. C., Gonçalves, J. L. M., & Sparovek, G. (2013). Köppen’s climate classification map for Brazil. Meteorologische Zeitschrift, 22(6), 711-728. doi: 10.1127/0941-2948/2013/0507
Barcellos, M., Motta, A. C. V., Pauletti, V., Silva, J. C. P. M., & Barbosa, J. Z. (2015). Atributos químicos de Latossolo sob plantio direto adubado com esterco de bovinos e fertilizantes minerais. Comunicata Scientiae, 6(3), 263-273. doi: 10.14295/CS.v6i3.527
Baquy, M. A., Li, J. Y., Xu, C. Y., Mehmood, K., & Xu, R. K. (2017). Determination of critical pH and Al concentration of acidic Ultisols for wheat and canola crops. Solid Earth, 8(1), 149. doi: 10.5194/se-8-149-2017
Barbosa, J. Z., Motta, A. C. V., Consalter, R., & Pauletti, V. (2017a). Wheat (Triticum aestivum L.) response to boron in contrasting soil acidity conditions. Agrária - Revista Brasileira de Ciências Agrárias, 12(2), 148-157. doi: 10.5039/agraria.v12i2a5432
Barbosa, J. Z., Poggere, G. C., Dalpisol, M., Motta, A. C. V., Serrat, B. M., & Bittencourt, S. (2017b). Alkalinized sewage sludge application improves fertility of acid soils. Ciência e Agrotecnologia, 41(5), 483-493. doi: 10.1590/1413-70542017415006717
Bernini, T. A., Pereira, M. G., Anjos, L. H. C. D., Perez, D. V., Fontana, A., Calderano, S. B., & Wadt, P. G. S. (2013). Quantification of aluminium in soil of the Solimões Formation, Acre State, Brazil. Revista Brasileira de Ciência do Solo, 37(6), 1587-1598. doi: 10.1590/S0100-06832013000600015
Brady, N. C., & Weil, R. R. (1996). The nature and properties of soils. (11th ed.). New Jersey, US: Prentice-Hall, Inc.
Brasil. (1973). Levantamento de reconhecimento dos solos do estado do Rio Grande do Sul. Porto Alegre, RS: Ministério da Agricultura.
Brunetto, G., Comin, J. J., Schmitt, D. E., Guardini, R., Mezzari, C. P., Oliveira, B. S., & Ceretta, C. A. (2012). Changes in soil acidity and organic carbon in a sandy Typic Hapludalf after medium-term pig slurry and deep-litter application. Revista Brasileira de Ciência do Solo, 36(5), 1620-1628. doi: 10.1590/S0100-06832012000500026
Campos, J. R. R., Silva, A. C., Silva, E. B, & Vidal-Torrado, P. (2014). Extração e quantificação de alumínio trocável em Organossolos. Pesquisa Agropecuária Brasileira, 49(3), 207-214. doi: 10.1590/S0100-204X2014000300007
Costa, C. H. M. D., Crusciol, C. A. C., Ferrari Neto, J., & Castro, G. S. A. (2016). Residual effects of superficial liming on tropical soil under no-tillage system. Pesquisa Agropecuária Brasileira, 51(9), 1633-1642. doi: 10.1590/s0100-204x2016000900063
Cunha, G. O. M., Almeida, J. A., & Barboza, B. B. (2014). Relação entre o alumínio extraível com KCl e oxalato de amônio e a mineralogia da fração argila, em solos ácidos brasileiros. Revista Brasileira de Ciência do Solo, 38(5), 1387-1401. doi: 10.1590/S0100-06832014000500004
Dalović, I. G., Jocković, D. S., Dugalić, G. S., Bekavac, G. F., Purar, B., Šeremešić, S. I., & Jocković, M. (2012). Soil acidity and mobile aluminum status in pseudogley soils in the Čačak-Kraljevo Basin. Journal of Serbian Chemical Society, 77(1), 833-843. doi: 10.2298/JSC110629201D
Empresa Brasileira de Pesquisa Agropecuária. [Embrapa]. (1984). Levantamento de reconhecimento dos solos do estado do Paraná. Londrina, PR: Embrapa/Sudesul/Iapar.
Empresa Brasileira de Pesquisa Agropecuária. [Embrapa]. (1998). Levantamento de reconhecimento dos solos do estado de Santa Catarina. Rio de Janeiro, RJ: Embrapa.
Empresa Brasileira de Pesquisa Agropecuária. [Embrapa]. (2013). Sistema brasileiro de classificação de solos (3a ed.). Brasília, DF: Embrapa.
Eimil-Fraga, C., Álvarez-Rodriguez, E., Rodrígues-Soalleiro, R., & Fernández-Sanjurjo, M. J. (2015). Influence of parent material on the aluminium fractions in acidic soils under Pinus pinaster in Galicia (NW Spain). Geoderma, 255-256(1), 50-57. doi: 10.1016/j.geoderma.2015.04.026
Ferreira, D. F. (2014). Sisvar: a guide for its bootstrap procedures in multiple comparisons. Ciência e Agrotecnologia, 38(2), 109-112. doi: 10.1590/S1413-70542014000200001
Goulding, K. W. T. (2016). Soil acidification and the importance of liming agricultural soils with particular reference to the United Kingdom. Soil Use and Management, 32(3), 390-399. doi: 10.1111/sum.12270
Ghidin, A. A., Melo, V. F., Lima, V. C., & Lima, J. M. J. C. (2006). Topos seqüências de Latossolos originados de rochas basálticas no Paraná: I- Mineralogia da fração argila. Revista Brasileira de Ciência do Solo, 30(2), 293-306. doi: 10.1590/S0100-06832006000200010
Kochian, L. V., Piñeros, M. A., Liu, J., & Magalhães, J. V. (2015). Plant adaptation to acid soils: the molecular basis for crop aluminum resistance. Annual Review of Plant Biology, 66(1), 571-598. doi: 10.1146/annurev-arplant-043014-114822
Instituto Brasileiro de Geografia e Estatística [IBGE] (2015). Manual técnico de pedologia (3a ed.). Rio de Janeiro, RJ: IBGE.
IUSS Working Group WRB. (2015). World Reference Base for Soil Resources 2014, update 2015. International soil classification system for naming soils and creating legends for soil maps (World Soil Resources Reports no. 106). Rome, IT: FAO.
Lindsay, W. L. (2001). Chemical equilibria in soils. Caldwell: NJ: Blackburn.
Machado, M. R., Camara, R., Sampaio, P. T. B., Pereira, M. G., & Ferraz, J. B. S. (2017). Land cover changes affect soil chemical attributes in the Brazilian Amazon. Acta Scientarum. Agronomy, 39(3), 385-391. doi: 10.4025/actasciagron.v39i3.32689
Marques, J. J., Teixeira, W. G., Schulze, D. G., & Curi, N. (2002). Mineralogy of soils with unusually high exchangeable Al from the western Amazon Region. Clay Minerals, 37(4), 651-661. doi: 10.1180/0009855023740067
Motta, A. C. V., & Melo, V. F. (2009). Química dos solos ácidos. In L. R. F. Alleoni, & V. F. Melo , (Ed.), Química e mineralogia do solo (Parte 2, p. 249-342). Viçosa, MG: Sociedade Brasileira de Ciência do Solo.
Poggere, G. C., Melo, V. F., Francelino, M. R., Schaefer, C. E., & Simas, F. N. (2016). Characterization of products of the early stages of pedogenesis in ornithogenic soil from Maritime Antarctica. European Journal of Soil Science, 67(1), 70-78. doi: 10.1111/ejss.12307
Quesada, C. A, Lloyd, J., Schwarz, M., Pati, S., Baker, T. R., Czimczik, C., & Paiva, R. (2010). Variations in chemical and physical properties of Amazon forest soils in relation to their genesis. Biogeosciences, 7(5), 1515-1541. doi: 10.5194/bg-7-1515-2010
Rocha, I. T. O. M., Bezerra, N. S., Freire, F. J. E., Souza, E. R., Santos Freire, M. B. G., Oliveira, E. I. C. I. A., & Neto, D. E. E. S. (2017). Aluminum buffering in acid soil under mineral gypsum application. African Journal of Agricultural Research, 12(8), 597-605. doi: 10.5897/AJAR2016.12079
Sade, H., Meriga, B., Surapu, V., Gadi, J., Sunita, M. S. L., Suravajhala, P., & Kishor, P. K. (2016). Toxicity and tolerance of aluminum in plants: tailoring plants to suit to acid soils. Biometals, 29(2), 187-210. doi: 10.1007/s10534-016-9910-z
Schaefer, C. E. G. R., Fabris, J. D., & Ker, J. C. (2008). Minerals in the clay fraction of Brazilian Latosols (Oxisols): a review. Clay Minerals, 43(1), 137-154. doi: 10.1180/claymin.2008.043.1.11
Schwertmann, U., & Taylor, R. M. (1989). Iron oxides. In J. B. Dixon, & S. B. Weed (Ed.), Minerals in soil environments (2nd ed., p. 379-438). Madison, WI: Soil Science Society of America.
Serafim, M. E., Lima, J. M., Lima, V. M. P., Zeviani, W. M, & Pessoni, P. T. (2012). Alterações físico-químicas e movimentação de íons em Latossolo gibbsítico sob doses de gesso. Bragantia, 71(1), 75-81. doi: 10.1590/S0006-87052012005000006
Silva, V., Motta, A. C. V., Melo, V. F., & Lima, V. C. (2008). Variáveis de acidez em função da mineralogia da fração argila do solo. Revista Brasileira de Ciência do Solo, 32(2), 551-559. doi: 10.1590/S0100-06832008000200010
Tarì, G., Bobos, I., Gomes, C. S. F., & Ferreira, J. M. F. (1999). Modification of surface charge properties during kaolinite to halloysite-7Å transformation. Journal of Colloid and Interface Science, 210(2), 360-366. doi: 10.1006/jcis.1998.5917
Vendrame, P. R. S., Brito, O. R., Martins, E. S., Quantin, C., Guimarães, M. F., & Becquer, T. (2013). Acidity control in Latosols under long-term pastures in the Cerrado region, Brazil. Soil Research, 51(4), 253-261. doi: 10.1071/sr12214
Zołotajkin, M., Ciba, J., Kluczka, J., Skwira, M., & Smoliński, A. (2011). Exchangeable and bioavailable aluminum in the mountain forest soil of Barania Góra Range (Silesian Beskids, Poland). Water, Air, & Soil Pollution, 216(1-4), 571-580. doi: 10.1007/s11270-010-0554-2
Autor notes
*Author for correspondence. E-mail: mottaufpr@gmail.com