ABSTRACT. : The aim of the study was to determine the yield and quality parameters of organic cherry tomatoes cultivated by intercropping with green manure in two successive years. The experimental design was a randomized block with eight treatments and five replicates as follows: two controls with single cherry tomato crop, one with straw addition and the other without corn straw as a cover crop; cherry tomato intercropped with jack bean (Canavalia ensiformis DC); tomato intercropped with white lupine (Lupinus albus L.); tomato intercropped with sun hemp (Crotalaria juncea L.); tomato intercropped with velvet bean-dwarf [Mucuna deeringiana (Bort) Merrill]; tomato intercropped with mung bean [Vigna radiata (L.) Wilczek]; and tomato intercropped with cowpea [Vigna unguiculata (L.) Walp.]. All the treatments with green manure received corn straw as mulch. The treatment group with cowpea had a lower number and weight of commercial fruits compared to the velvet bean-dwarf and jack bean treatments. The number and weight of the commercial fruits were lower in the second year. The fruits in the first year exhibited a higher average weight, a lower nutrient content and a lower soluble solids total TSS/AT ratio than the second year fruits. Green manures did not negatively affect the quality or nutrient content of the tomato fruit.
Keywords: organic agricultureorganic agriculture,Solanum lycopersicumSolanum lycopersicum,productionproduction,intercroppingintercropping.
RESUMO. : O objetivo do trabalho foi determinar parâmetros produtivos e de qualidade do minitomate orgânico cultivado em consócio com os adubos verdes em dois anos sucessivos. O delineamento experimental utilizado foi de blocos casualizados com oito tratamentos e cinco repetições, sendo os tratamentos: duas testemunhas com minitomate solteiro, sendo uma com palha e outra sem palha de milho em cobertura, minitomate intercalar com feijão-de-porco (Canavalia ensiformis DC), minitomate intercalar com Crotalária-júncea (Crotalaria juncea L.), minitomate intercalar com mucuna-anã [Mucuna deeringiana (Bort) Merrill], minitomate intercalar com feijão-mungo [Vigna radiata (L.) Wilczek], minitomate intercalar com tremoço-branco (Lupinus albus L.), minitomate intercalar com feijão-caupi [Vigna unguiculata (L.) Walp.], sendo que todos os tratamentos com adubo verde intercalar receberam em cobertura a palha de milho. O tratamento com feijão-caupi teve menor número e peso de frutos comerciais comparados com os tratamentos mucuna-anã e feijão-de-porco, respectivamente. O número e peso dos frutos comerciais foram menores no segundo ano. Os frutos no primeiro ano apresentaram maior peso médio, menor teor de nutriente e menor relação solido solúveis totais SST/ATT acidez titulável total do que no segundo ano. Os adubos verdes não afetaram negativamente a qualidade nem os teores de nutrientes do fruto do minitomate.
Palavras-chave: agricultura orgânica, Solanum lycopersicum, produção, consórcio.
CROP PRODUCTION
Organic cherry tomato yield and quality as affect by intercropping green manure
Produtividade e qualidade do minitomate orgânico consorciado com adubos verdes
Received: 01 April 2017
Accepted: 11 August 2017
Concern about food insecurity and the environmental impact of the production of foods has led consumers to seek food grown via alternative systems over those grown conventionally (Rembiałkowska, 2007; Hidalgo-Baz, Martos-Partal, & González-Benito, 2017). Organic agriculture has grown by 75% in the last 15 years, reaching a planted area of 43.7 million hectares in 142 countries in 2014; of this total area, 0.5% is intended for the production of vegetables (legumes, hardwoods and fruit) (Lernoud & Willer, 2016).
Tomato is one of the most produced vegetables in Brazil, with the 2015 harvest reaching a production of 4.1 million tons (IBGE, 2016). For organic producers, the commercialization of tomatoes has a better economic return due to demand and the higher price compared to other vegetables, thus reducing the external input cost (Jouzi et al., 2017). The demand for healthy, nutritious products and the market for gourmet products have increased the value of organic foods (Willer & Lernoud, 2016). One study has shown that organic fruits have a higher content of vitamins, phenolics and antioxidants than conventionally produced fruits (Mditshwa, Magwaza, Tesfay, & Mbili, 2017).
However, organic producers face challenges due to the scarcity of inputs such as fertilization. According to Seufert, Ramankutty, and Foley (2012), when organic agriculture received higher amount of N than conventional agriculture, its performance improved, showing that organic agriculture is limited by the N input. The sources of nitrogen used in organic agriculture are essentially composting, biofertilizer and green manure. The practice of green manuring has been shown to be important for different crops, whether they use intercropping or crop rotation systems. This is due to the innumerable benefits provided by this practice, such as the improvements in the physical, chemical and biological aspects of soil, increased productivity, and weed control (Ambrosano et al., 2011; Dantas et al., 2015; Tao et al., 2017). However, few studies have shown the influence of green manures on the yield and quality of organic foods such as tomatoes.
In this context, the aim of this study was to determine the yield and quality parameters of organic cherry tomatoes grown in concert with leguminous cover crops in two successive years.
The experiment was conducted in an agroecological area under protected cultivation (greenhouse) for two successive years (2012/2013 and 2013/2014) in the municipality of Piracicaba, São Paulo State, Brazil (latitude 22º43'S and longitude 47º38'W) with an altitude of 540 m, an average monthly temperature of over 22°C and a temperature of the coldest month of 16.9°C. The average temperature and mean relative humidity in the period corresponding to the cherry tomato crop are presented in Figure 1.
The soil in this area corresponds to kandiudox with the following physical and chemical characteristics: clay: 36%; silt: 23%; fine sand: 28%; coarse sand: 13%; pH: 5,8; OM: 20 g dm-3, 29 mg dm-3; K: 8.4 mmol dm-3; Ca: 35 mmol dm-3; Mg: 11 mmol dm-3; H + Al: 20 mmol dm-3; Al: 0 mmolc dm-3; S: 5 mg dm-3; B: 0.42 mg dm-3; Cu: 4.5 mg dm-3; Fe: 51 mg dm-3; Mn: 45 mg dm-3; Zn: 3,1 mg dm-3; SB: 54.4 mmol dm-3; CTC: 74.4 mmol dm-3; V: 69%; and m: 0%.

The greenhouse used was a metal structure of the arch type with a 75 μm-thick transparent low-density polyethylene (LDPE) plastic film and its open sides covered by only sombrite. The dimensions of the structure were 6.0 x 50.0 m, and ceiling height was 2.5 m, giving a total area of 300 m2.
The cherry tomato seeds (Solanum lycopersicum L.), Access 21 of the Instituto Agronômico (IAC) (Filho & Melo, 2001), were seeded in polystyrene trays with 128 cells and transplanted into pits (10-4 m3) at the density of 3.3 m2 in single lines (0.9 x 0.6 m). The green manure was seeded in the experimental area between the tomato lines. Tomato transplanting and sowing of the green manure occurred simultaneously in the month of August in the two years. The tomatoes were fertilized in the pit with 25 g of thermophosphate, equivalent to 75 kg ha-1 of P2O5, and 2.7 g of potassium sulphate, equivalent to 25 kg ha-1 of K2O. After transplanting, the soil was covered with corn straw in all plots, except for the control without corn straw.
The cherry tomatoes and green manure plants were irrigated according to their water requirement using drip irrigation. The tomatoes were tutored, where the apical pruning was performed 120 days after transplanting (DAT), which corresponds to the eighth racemic.
Tomatoes harvested in the mature stage were separated into commercial fruits and damaged fruits and were later counted and weighed to determine the number of commercial and damaged fruits per plant (NCF pl-1, NDF pl-1), commercial and damaged fruit weight per plant (CFW pl-1 and DFW pl-1) and average commercial and damaged fruit weight (ACFW, ADFW). A sample of the fruits was taken to determine the chemical parameters of the cherry tomato.
In the chemical analysis of cherry tomato quality, the following parameters were determined: pH using a potentiometer according to method No. 981.12 - AOAC (1997); soluble solids content (°Brix) using a refractometer according to method No. 932.12 - AOAC (1997); titratable total acidity (% citric acid) using potentiometric titration according to the second method No. 942.15- AOAC (1997); total sugars and reducing sugars (%) using the method of Eynon and Lane described by Carvalho, Mantovani, Carvalho, and Moraes (1990); and the ratio obtained by dividing the soluble solids content (°Brix) by the value of the total titratable acidity (%).
To analyse the macro- and micronutrients in the cherry tomato fruit, they were sampled, taken to the laboratory, dried at 65°C in a drying oven with forced air circulation for 72 hours, and passed through a Wiley type mill, and then their contents of N, P, K, Ca, Mg, Cu, Fe, Mn, and Zn were determined according to the methodology described in Malavolta, Vitti, and Oliveira (1997).
The experimental design was a randomized complete block design with eight treatments and five replicates. The treatments were as follows: two controls with a single cherry tomato crop, one with added straw and the other without added straw in addition as a cover crop; cherry tomato intercropped with jack bean (Canavalia ensiformis DC); cherry tomato intercropped with lupine (Lupinus albus L.); cherry tomato intercropped with sun hemp (Crotalaria juncea L.); cherry tomato intercropped with velvet bean-dwarf [Mucuna deeringiana (Bort) Merrill]; cherry tomato intercropped with mung bean [Vigna radiata (L.) Wilczek]; and cherry tomato intercropped with cowpea beans [Vigna unguiculata (L.) Walp.]. All the treatments with green manure intercropped with cherry tomato received maize straw as mulch. Green fertilizers were sown at different densities according to recommendations (Table 1).

Statistical analysis was performed using the concept of time-repeated measures, and data were analysed using the MIXED procedure of SAS software (Statistical Analysis System, 9.3). The level of significance adopted for analysis of variance was p < 0.1.
There were differences (p < 0.1) in the number of commercial fruits (NCF) between the velvet bean-dwarf and bean cowpea treatments and in commercial fruit weight (CFW) between the jack bean and cowpea bean treatments; these differences were independent of the year (Table 2). The treatment of cherry tomatoes intercropped with velvet bean-dwarf (129.0 NFC plant-1) produced 27% more NCF than the treatments with cowpea (94.4 NCF plant-1). The CFW of treatments with jack bean (1,410.8 g plant-1) was 30% higher than that of the treatments with bean cowpea (985.3 g plant-1).

According to Ambrosano, Rossi, Dias, Tavares, and Ambrosano (2014), cowpea bean intercropped with cherry tomato in the field produced 1.6 Mg ha-1 dry mass, which was 63% higher than the dry mass produced when velvet bean-dwarf was used (0.6 Mg ha-1). In this way, it seems that there was an inter specific competition between the cherry tomato and the cowpea bean for resources such as space and light, which affected the yield of the cherry tomato. Liu, Cheng, Meng, Ahmad, and Zhao (2014) observed that tomato-garlic intercropping had a negative impact on tomato productivity because of the competition between plants for water, space and nutrition. According to Sakai et al. (2011) lettuce intercropped with green manure had lower yields compared to single lettuce cultivation. According to the same author, competition can be established for different factors (water, light, and nutrients) that occur simultaneously, in which one competition factor can lead to another.
On average, the cherry tomato plants in the first year had 15 and 26% more NCF (125.9 NCF plant-1) and WCF (1,436.3 g plant-1), respectively, compared to those in the second year (107.0 NCF plant-1; 1,067.37 g plant-1) (Table 2). The number of damaged fruits (NDF) and weight of damaged fruit (WDF) were also higher in the first year (46.7 NDF plant-1, 430.6 g plant-1) than in the second year (23.1 NDF plant-1; 179.8 g plant-1) (Table 3). These productivity values were similar to those found by Sari et al. (2017) for a cherry tomato hybrid.
There was no difference (p > 0.1) in the NDF and WDF between the treatments, indicating that the consortium with green manures did not interfere negatively in the cherry tomato productivity compared to single tomato cultivation (Table 3).

The intercropping treatments with jack beans had an average weight of commercial fruits (WACF) that was on average 8% higher than with that of the velvet-bean dwarf, white lupine and cowpea treatments (Table 4). For the same variable, there was also a difference (p <0.1) between the years (Table 4). The WACF found in year 1 (11.38 g fruit-1) was 14% higher than that found in year 2 (9.77 g fruit-1). Proportionally, the WADF was also higher in year 1 (9.25 g fruit-1) than in year 2 one (7.56 g fruit-1) (Table 4).

The successive cultivation of tomato in the same area may have favoured, possibly, the propagation of the late blight (Phytophthora infestans), which, due to the favourable conditions (lower temperatures and high relative humidity), contributed to a greater rate of infection of this disease in the leaves of the cherry tomato plants. This may be the cause of the lower productivity of the cherry tomato in the second year. According to Lima, Maffia, Barreto, and Mizubuti (2009), successive tomato cultivation threatens new crops because of the presence in that area of sporangia produced in crop residues and the presence of host plants in the region. The late blight is considered one of the major diseases affecting organic tomato agriculture. According to Bruggen and Finckh (2016), multiple cycle leaf diseases such as P. infestans can be a serious problem for organic farmers because they lack effective control measures. The late blight occurs mainly in environments with high relative humidity and low temperatures. However, there is a study that indicates that tomato plants can also be infected by this disease at higher temperatures (27°C) (Danies et al., 2013; Maziero, Maffia, & Mizubuti, 2009).
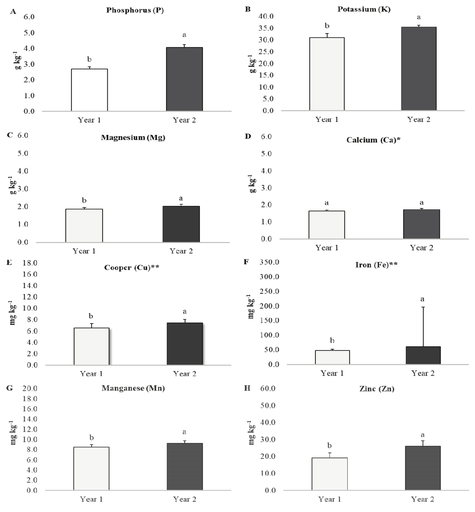
Regarding the macro- and micronutrients in the fruit, there was no difference (p > 0.1) in the phosphorus (P), potassium (K), magnesium (Mg), calcium (Ca), copper (Cu), iron (Fe), manganese (Mn) and zinc (Zn) content between treatments, independent of the year (Figure 2). The results showed that the access cherry tomato fruits exhibited 22.15 g kg-1 of nitrogen (N), 3.39 g kg-1 of P, 33.28 g kg-1 of K, 1.95 g kg-1 of Mg, 1.38 g kg-1 of Ca, 7.0 mg kg-1 of Cu, 54.36 mg kg-1 of Fe, 8.90 mg kg-1of Mn, and 27.71 mg kg-1 of Zn. These values are close to the levels of N, P, K, Ca, and Mg found by Kumar, Rouphael, Cardarelli, and Colla (2015). By contrast, the levels of Cu, Fe, and Zn found in this study are larger than those found by Kumar et al. (2015) and Schmautz et al. (2016).

However, for all the nutrient contents presented in this study, except for Ca, there were differences in the macro- and micronutrient contents in the fruit between the cultivated years (p < 0.1) (Figure 2). The content of P, K, Mg, Cu, Fe, Mn, and Zn in the fruit from the second year was 34, 13, 8, 13, 20, 8, and 26% higher, respectively, than that in the fruit from the first one. In the second year, the productivity and WACF were lower; however, the macro- and micronutrient contents of the fruit were higher. Most likely, the lower WACF in the second year led to a higher concentration of nutrients in the fruit.
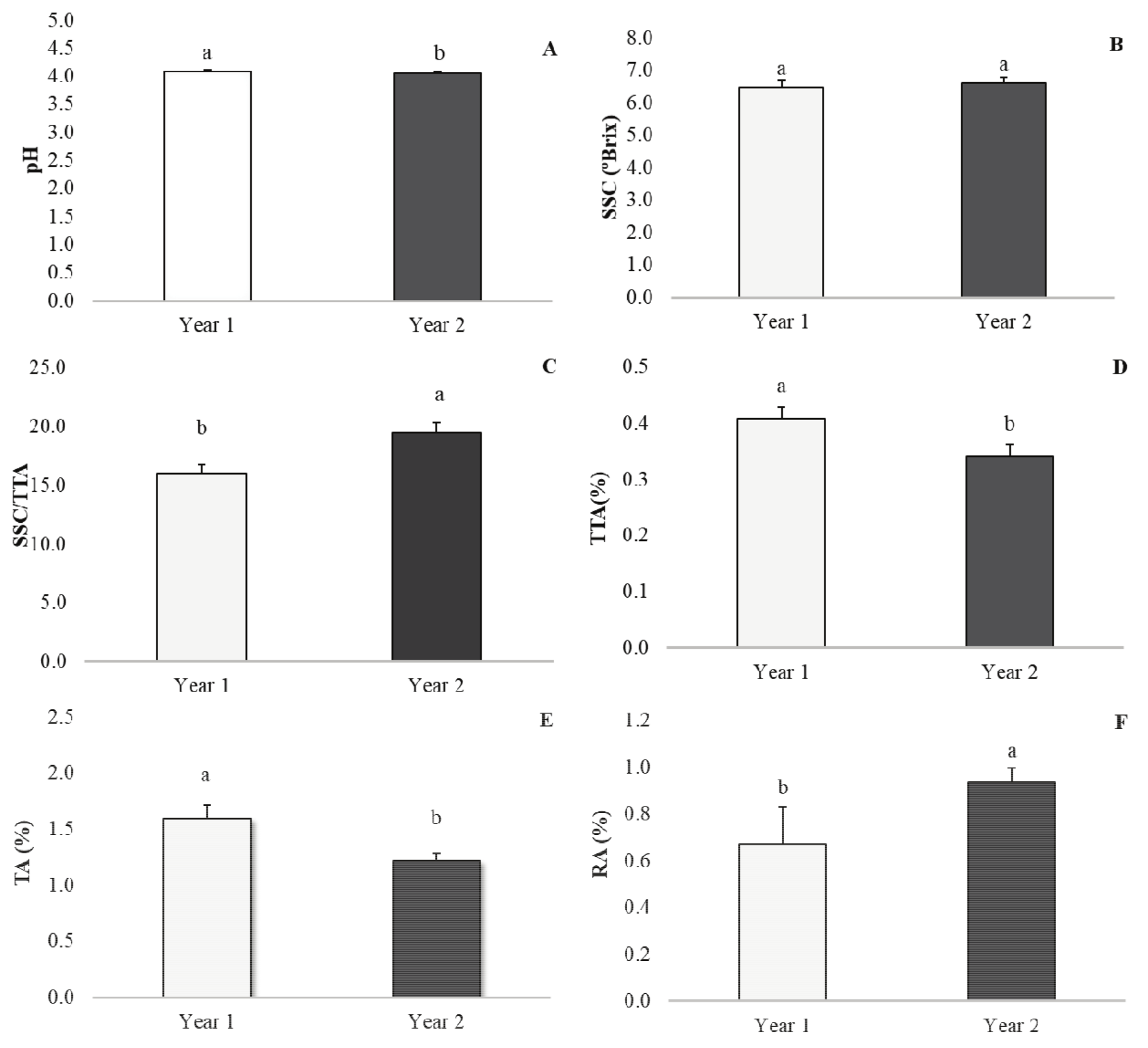
Among the quality parameters, the cherry tomato did not exhibit a difference (p > 0.1) between the treatments with green manure. However, there was a difference (p < 0.1) between the years for all variables, except for the soluble solids content (Figure 3). The average values of the chemical characteristics of this study on cherry tomato SST 6.5 Brix, pH 4.35, were similar to the values found by Jorge, Nascimento, Junior, Silva, and Barbosa (2017) (Figure 3).
The SSC/TTA ratio found in the cherry tomatoes in year 2 (19.5) is above the range reported in the work of (Rossi et al., 2013) (Figure 3C). In year 2, the increase in the SSC/TTA ratio was due to the 17% decrease in TTA; thus, the cherry tomato was less acidic and consequently sweeter in the second year (Figure 3D). Despite the decrease in TTA in year 2, the pH was only 1% higher in year 1 compared to year 2 on average (Figure 3A). In year 2, the total sugar was 24% lower than that in year 1, and the reducing sugar was 25% higher than that in year 1 (Figure 3E and F). The present variety of cherry tomato had a lower SSC/TTA than cultivars of commercial cherry tomato; therefore, this variety of cherry tomatoes is less sweet than the commercial cultivars (Bhandari, Chae, & Lee, 2016).

Pre-harvest factors such as soil properties, nutrition, temperature, irrigation, genetics and fruit maturity may influence fruit quality (Dorais, Ehret, & Papadopoulos, 2008; Luna, Selma, Tudela, & Gil, 2013). These factors were similar in the two years of the cherry tomato cultivation experiment, except for the incidence of late blight in the leaves of the cherry tomato plants in the second year.
Biotic or abiotic stress can cause changes in the sugar composition in the phloem sap (Gil, Ben-ari, Turgeon, & Wolf, 2012). In addition, some pathogens can alter the physiology of the host plant and acquire sugar from it for their nutrition (Chen et al., 2010). Thus, the reduction in total sugar in the second year may be related to the defence system of the tomato plant.
The cherry tomatoes intercropped with green manures did not have reduced NCF, WCF, or WACF compared to the controls. In addition, green manure did not negatively interfere with the chemical parameters of the quality of the cherry tomatoes.
We would like to acknowledge the technical support of the research of APTA, the CNPq productivity scholarship to the first author, the Professor Glaucia Maria Bovi Ambrosano in support of statistical analysis, FAPESP and Piraí Seeds.
*Author for correspondence. E-mail: salgado.gc@gmail.com






