CROP PRODUCTION
Maturation, processing and seed storage of Elephantopus mollis Kunth
Maturation, processing and seed storage of Elephantopus mollis Kunth
Acta Scientiarum. Agronomy, vol. 41, e42628, 2019
Editora da Universidade Estadual de Maringá - EDUEM
Received: 30 October 2017
Accepted: 23 March 2018
ABSTRACT.: Elephantopus mollis Kunth (Asteraceae) is an aromatic medicinal species native to South and Central America with hepatoprotective, anti-inflammatory, antitumor and leishmanicidal properties. We evaluated its maturation, ideal harvest moment, processing and seed storage, aiming to contribute to the production of this medicinal plant. We collected flower capitula between 7 and 56 days after anthesis for determination of seed moisture content, seed dry matter accumulation and germination, and correlated these factors with the morphological characters of the capitula. Capitulum processing was conducted with sieves and a seed blower to evaluate the purity, 1,000 seed weight, germination and cultural value of the seeds. The germination potential of seeds stored for 18 months refrigerated and at room temperature and the correlation of these results with those of an accelerated aging test were determined. The ideal harvest moment occurs at 49 days after anthesis and can be identified in the field by the brown coloration of the interfloral bracts. Seeds with cultural value above 80% can be obtained with the use of a 0.59 mm sieve and seed blower. The seeds can be stored cold for 12 months, and the accelerated aging test allows estimation of the viability of the seeds during storage for 18 months.
Keywords: cultivation, propagation, medicinal plants, essential oil.
Introduction
Elephantopus mollis Kunth (Asteraceae) is a perennial, aromatic herbaceous plant native to Central and South America, distributed from Argentina to Mexico, including the Caribbean (Siedle et al., 2003; Tabopda, Liu, Ngadjui, & Luu, 2007).
In Brazil, E. mollis is commonly called thick-fleshed, wild-ferocious, cow's tongue, elephant's foot and sussuaiá and used in folk medicine as an emollient and a sudorific and to treat urolithiasis, bronchitis, cough and influenza (Kabiru & Por, 2013; Lorenzi & Matos, 2002).
The medicinal properties of the species are attributed to its essential oils, flavonoids, triterpenoids, and sesquiterpene lactones (Li et al., 2016c; Shao et al., 2016; Sosa et al., 2016). Pharmacological studies of the species have revealed anticarcinogenic activity by the sesquiterpene lactones (Hasegawa et al., 2010; Kitson, Millemaggi, & Taylor, 2009; Li et al., 2016c; Ooi, Tengku Muhammad, Tan, & Sulaiman, 2011; Ooi, Tengku Muhammad, Lam, & Sulaiman, 2014; Shao et al., 2016; Siedle et al., 2003; Tabopda et al., 2008; Tabopda et al., 2007).
Seven patent applications are registered in the European Patent Office for the use of the plant as a medicine (Li, Ye, Wang, Li, & Wang, 2016a; Li, Ye, Wang, Li, & Wang, 2016b; Hou, Lin, Wu, Chen, & Siao, 2012; Medeiros, Senna-Vale, Andreata, & Fernandes, 2008, Umishio, Maeda, & Kobayashi, 2006; Kondo et al., 2000) due to its hepatoprotective (Ho, Yeap, Ho, Abdul Rahim, & Alitheen, 2012; Kabiru & Por 2013), antioxidant (Clemes, Beirith, & Zeni, 2015), anti-inflammatory (Wu et al., 2017), antimicrobial, antileishmaniasis, bone regeneration (Kabiru & Por, 2013; Ngueguim et al., 2012; Sosa et al., 2016), temperature-lowering, and antihypertensive properties, as well as its effects on intestinal transit (Poli et al., 1992).
Because of the high phytotherapeutic potential of this species, it is important to ensure the sustainability of the provision of this natural resource. Thus, cultivation is the appropriate alternative to avoid extractivism and a lack of quality raw material, but developing cultivation is dependent on technical and scientific information (Homma, 2008).
Aiming to contribute to the establishment of E. mollis commercial cropping systems to support phytotherapeutic resource provision, we present the results of our research into the maturation, ideal harvest moment, processing and storage of the seeds of this species.
Material and methods
Elephantopus mollis Kunth (Asteraceae)
Herbaceous perennial plant (30-60 cm), stem hirsute; basal leaf blades (7.5 - 15 x 4.5 - 5 cm) and apical (9.5 to 16.5 cm x 3 - 5.5), obovate, strigose adaxial abaxial pubescent, reticulate vein, concolor, acute apex, base attenuated, crenate margin, membranaceous. Purple flowers 4 - 5 assembled in flower capitulum, corolla 5 - 6 mm long, white, 1 - 1.8 mm loops; anthers 0.7 - 1 mm long, apex acute; stylet of 5 - 6 mm. Capitulescence with 4 - 32 glomeruli, 11 - 14 capitula per glomerulus. Housing 5-8 × 1.5 - 4 mm; foliaceous bracts of the glomerulus, 3 per glomerulus, oval, 7 - 10 × 5 - 11 mm; bracts involved in capitulum 2 - 3 - serialized, eximbricate, internal 5 - 7 × 1 - 2 mm, external 4 - 5 × 0.5 - 1 mm, both lanceolate, pubescent at apex. Cypsela fruit type 1.5 - 2 mm in length. Pappus, bristly, with 4.4 - 5 mm cylindrical bristles, spiny, deciduous (Moreira & Teles, 2014).
Ideal harvest moment
The ideal E. mollis seed1 harvest moment was determined by indicators of physiological maturity: a) seed dry weight (DW) (Faria, Von Pinho, Von Pinho, Guimarães, & Freitas, 2010), b) greater germination potential (Grzybowski, Silva, Vieira, & Panobianco, 2016; Oliveira, 2012), c) higher germination speed (Marcos Filho, 2005; Rajjou et al., 2012), and d) homogeneity of germination (Nassif & Perez, 2000). These indicators were associated with the alteration of morphological aspects in the capitulum (anthesis, fruit development and development and coloring of the interfloral bracts and bracts of the capitulum).
Flower capitulum monitoring and seed harvest
Between October and December 2016, an annual period with abundant seed production in this species, capitulum development in 30 individuals was monitored. These individuals occupy a natural population of E. mollis located in the initial successional stage of environmental recovery in the Atlantic araucaria forest (25°24'44.8"S, 49°15'00.7"W, Curitiba, Paraná State, Brazil, 911 meters of altitude).
In this region, the climate is type Cfb in the Köppen classification, subtropical humid with mild summers and frequent frosts in the winter, without a defined dry season (Köppen, 1936) (Figure 1).

During the monitoring period, 60 capitula during anthesis (50% open flowers in the capitulum) were marked weekly in the measured plants. In the eighth week, 480 capitula were collected, with 60 in each of the following stages: 7, 14, 21, 28, 35, 42, 49, and 56 days after anthesis (DAA).
Each set of capitula was subjected to friction in sieves for extraction of the seeds (see Seed processing).
Dry mass and moisture content
Four replicates of 50 seeds were dried with forced air circulation at 105°C for 24 hours and weighed again in an analytical balance (0.0001 g). The final weight was considered the dry weight (DW), and the moisture content was calculated as the weight lost in the drying divided by the initial weight (Brasil, 2009).
Seed germination
The seeds obtained at 14 to 56 DAA were submitted to a germination test, with four replicates of 50 seeds in a germination chamber, with a temperature of 25°C and a photoperiod of 16 hours, on paper moistened with distilled water in the proportion of 3 times the paper mass, in a Petri dish. The seeds were not disinfected, because the high speed of germination did not allow the development of microorganisms. Germinated seeds were considered those with primary root emergence. Evaluations were performed every 24 hours.
The germination percentage (G), germination speed index (GSI), average germination time (AGT), and entropy (E) were calculated according to the statistical procedures adopted by Nassif and Perez (2000):
N - number of normal seedlings; A - number of seeds in the sample; ni - number of seeds germinating at time "i"; ti - time after test installation.
Data analysis
The Bartlett test confirmed the homogeneity of the data. Variance and regression analyses were performed, and a better trend fit for the curve was obtained.
Seed processing
The identification of the best method of E. mollis seed processing was based on a greater proportion of pure seeds to other seeds and inert material. Therefore, we used 500 capitula collected from a sample of 50 plants in the same natural population previously referenced.
Initially, the capitula were mixed and rubbed successively on a set of sieves of 4 mm (ABNT 5), 1 mm (ABNT 18), 0.59 mm (ABNT 30), and 0.053 mm (ABNT 270), and the remaining material was separated and weighed on an analytical balance (0.0001 g). The working sample corresponded to 40 g of the material retained in the ABNT 270 sieve.
The technique of a continuous-flow blower with a vertical air stream was used (De Leo, no. 059, type 01), as described by Brasil (2009) for Poa pratensis L., as no reference was available for E. mollis.
The experiment included 6 treatments with 4 replicates of 1 g seed samples each, constituting 5 equipment settings (1, 1.5, 2, 2.5, and 3 cm openings) for 60 seconds and a control without using the equipment. The seeds obtained in the treatments were submitted to tests of purity, 1,000 seed weight (TSW) and germination, as described by Brasil (2009) for Matricaria recutita L.
Purity and mass of 1,000 seeds
For the determination of purity, the material of each sample was classified as pure seeds, other seeds and inert material and weighed on an analytical balance. The seed purity of the samples was calculated by the mass of the pure seeds divided by the total mass of the sample.
The MTS of the samples was calculated by weighing eight replicates of 100 pure seeds, and the results were calculated by multiplying by 10 the average weight of the replicates. The coefficient of variation obtained was below 6%.
Germination and cultural value
The germination test of the samples was performed according to the methodology previously mentioned. The seeds contained in the inert material removed during ventilation were also submitted to the germination test to verify the possibility of viable seed loss in the procedure.
The cultural value was determined by multiplying the proportion of pure seeds by the proportion of germinated seeds.
Data analysis
The Bartlett test confirmed the homogeneity of the data. Analysis of variance was performed, and averages were compared by the Scott-Knott test at a 1% probability of error.
Storage of seeds
The same batch of seeds collected for the processing tests was used. The germination responses of the post-storage seeds were evaluated after 0, 1, 2, 4, 8, 12, and 18 months of cold storage in plastic boxes with lids (Gerbox) in a refrigerator (5 ± 3°C) and at room temperature, with four replicates of 50 seeds.
In addition, an accelerated aging test was performed according to Carvalho and Carvalho (2009), Carneiro et al. (2000) and Marcos Filho (1999) to establish a correlation between the period in which seeds remain viable under storage and under this test, which is influenced by seed vigor.
The seeds were exposed to 43°C with 100% relative humidity in an incubator (De Leo, n° 597, type 02) for 0, 24, 48, 72, and 96 hours and evaluated in the germination test with four replicates of 50 seeds.
Data analysis
The Bartlett test confirmed the homogeneity of the data. Variance and regression analyses were performed, and a better trend fit for the curve was obtained.
Results
Maturation of seeds
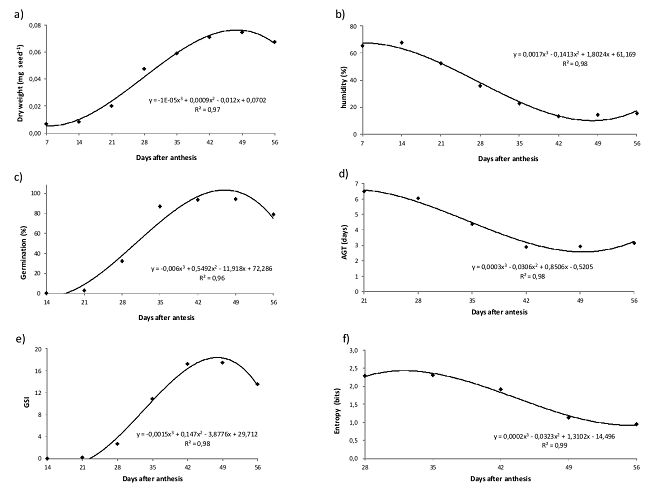
E. mollis seeds had higher DW, germination and germination speed and lower moisture and entropy at 49 DAA (Figure 2).

Visual identification of the ideal harvest moment
Floral anthesis occurred from the center to the edge of the capitulum, determining the formation and temporally differentiated maturity of the seeds in a centrifugal sequence.
There was a gradual change in the color and dryness of the interfloral bracts, culminating in a totally brownish and dry appearance at 49 DAA, except for the interfloral bracts at the edge of the capitulum, which remained greenish. The bracts of the capitulum were also still green at this stage (Figure 3).
Seed processing
The capitulum could be separated into straw and seeds using sieves (Figure 4). The 0.59 mm sieve (ABNT 30) allowed the passage of only seeds and some impurities, restricting the passage of straw.
The sample obtained with the 0.59 mm sieve presented a purity of 31.9%, without the presence of other seeds and a 1,000 seed weight (TSW) of 0.187 g. On average, E. mollis showed a yield of 502 ± 63 pure seeds per gram of capitulum.

A continuous-flow blower with a vertical air stream allowed the isolation of seeds with higher purity, TSW, germination and cultural value, eliminating impurities (light fraction), which constituted 68% of the mass of the seed samples (Table 1). The seeds contained in the light fraction presented low germination, indicating that this material was composed mainly of impurities and empty seeds.

| Opening (cm) | Light fraction (%) | Seed germination (%) |
| Control | 0 | - |
| 1 | 18,9 | 0,0 ns |
| 1,5 | 33,0 | 0,0 ns |
| 2 | 44,8 | 3,0 ns |
| 2,5 | 62,4 | 4,0 ns |
| 3 | 68,0 | 4,0 ns |
| CV (%) | - | 48,23 |
The purity, TSW, germination and cultural value of the seeds presented a cubic behavior, increasing with increasing seed blower opening size, with a tendency to stabilize (Figure 5). Openings above 3 cm resulted in the loss of most of the pure seeds, so their use is not feasible.

Storage
Seed storage of E. mollis was more efficient when refrigerated, with germination falling only after 12 months of storage (Figure 6).

High humidity and a temperature of 43°C reduced the physiological quality of the seeds and decreased the percentage of germination, exhibiting quadratic behavior according to the time of exposure to the treatment (Figure 7).

The germination potential of E. mollis seeds stored for 18 months showed a correlation of 0.93 with the germination potential of seeds exposed to accelerated aging conditions for 24h.
Discussion
Seed maturation comprises a series of physical and physiological modifications, mainly in moisture content, DW, germination power and speed of germination (Bentsink & Koornneef, 2008; Oliveira, 2012).
The study of this topic was performed with the objective of determining the ideal harvest moment, when there is a higher seed quality, that is, higher germination potential, DW and germination speed, as well as a lower moisture content that allows the reduction of cellular respiration, increased storage time and control of insects and microorganisms (Rajjou et al., 2012; Toledo & Marcos Filho, 1977).
In the present study, the seeds of E. mollis reached higher DW, germination and GSI between 42 and 49 DAA. However, the entropy reduction between 35 and 49 DAA suggests that there were still seeds in the maturation process, and the seeds harvested at 49 DAA, with higher germination synchrony and homogeneity (Nassif & Perez, 2000), had reached physiological maturity. Thus, the ideal harvest moment of E. mollis seeds was at 49 DAA, when they had higher DW and germination speed and lower entropy, which could be easily detected visually by the color of the interfloral bracts.
The time after anthesis at which seeds reach maturation can vary with edaphoclimatic conditions, such as insolation, temperature, precipitation and availability of nutrients in the soil, as well as among different populations of the species, as commonly occurs among varieties of cultivated species (Toledo & Marcos Filho, 1977). However, the visual morphological aspects associated with maturation tend to be a precise way to determine the ideal harvest point (Hay & Probert, 2013; Nambara et al., 2010; Rajjou et al., 2012).
Seed harvest before physiological maturity caused low germination, low MS and high water content, which made the use and storage of the seeds impractical.
After maturation, there was an increase in seed moisture, probably due to environmental conditions, which may lead to increased respiration and reduced seed viability (Bezerra, Medeiros Filho, & Freitas, 2003; Marcos Filho, 2005). Additionally, after the ideal harvest moment, when the bracts of the floral capitulum were brown and dry, seed dispersal had begun.
Several species of the Asteraceae show similar behavior to that found in this study for E. mollis, with seed maturation close to 45 DAA (Bezerra et al., 2003; Duarte, Santos, Souza Peixoto, & Santos, 2012; Grzybowski et al., 2016; Guimarães, Oliveira, Mantovani-Alvarenga, & Grossi, 1998; Silveira, Villela, & Tillmann, 2002), with some species showing earlier maturation, such as Adenostemma brasilianum (Pers.) Cass. at 20 DAA (Godinho, Mantovani-Alvarenga, & Vieira, 2011).
The DW, germination and GSI presented similar behaviors, forming cubic curves, with large increases starting at 21 DAA. This behavior was due to the slow onset of seed development; after the fertilization of the ovule, the cell division is more intense than their development, and then, the embryo forms and begins an intense period of translocation and accumulation of DW (Bewley & Black, 2012; Rajjou et al., 2012).
The minimum values of AGT in the present study were below those described in the literature for other species of the Asteraceae, such as Eupatorium vauthierianum DC. (19.3 days) (Maluf & Wizentier, 1998), Emilia sonchifolia (L.) DC. ex Wight (20.6 days) (Yamashita, Guimarães, Silva, Carvalho, & Camargo, 2009) and S. luzulifolia (29.5 days) (Lattuada, Pezzi, Calil, Leonhardt, & Fior, 2012).
The low AGT found in E. mollis is important for the rapid establishment of agricultural crops, reduction of weeds and facilitation of germination potential tests (Hay & Probert, 2013; Rajjou et al., 2012). This low AGT also allows the establishment of agricultural planting without the need for production of seedlings, which could make the production system more expensive.
The maturation of E. mollis seeds occurred concomitantly with their minimum water content, which facilitates harvesting under ideal physiological conditions. This behavior does not correspond to that of the majority of seeds studied, for which maturation occurs with no total reduction of seed moisture, as in the case of Zea mays L. and Glycine max (L.) Merr., for which the harvest is carried out several days after maturation, when the seeds are low water enough to avoid damage during mechanical harvesting, to ensure low respiration and high durability (Faria et al., 2010; Junior et al., 2014).
The moisture content of the seeds at 49 DAA was below 14%, a value quoted by Marcos Filho (2005) to enable storage of seeds for long periods, thus characterizing them as orthodox seeds.
Reduced moisture content can also be achieved by drying at room temperature or in a dryer before storage (Marcos Filho, 2005). Tognon et al. (2014a), for example, obtained 7.9% moisture by drying at room temperature for five days in seeds of Senecio brasiliensis (Spreng.) Less., a species of the family Asteraceae.
The minimum values of moisture found in this work were similar to those obtained by some authors for other species of Asteraceae, such as 10.3% in Vernonanthura discolor (Spreng.) H. Rob. (Grzybowski et al., 2016), 14% in Bidens segetum Mart. ex Colla Colla (Tognon et al., 2014b) and 14.1% in Schlechtendalia luzulifolia Less. (Lattuada et al., 2012).
The use of the seed blower with openings of 2.5 and 3 cm allowed the isolation of purer seeds, with higher TSW, germination and cultural value. This high purity standard is important for facilitating seed storage and establishment of the crop (Hay & Probert, 2013; Rajjou et al., 2012), while obtaining seeds with higher TSW entails a batch of seeds with higher nutritional reserves, which can make storage possible for longer periods and provide more vigorous germination (Oliveira, 2012).
These values of germination, which were above 80% for the treatments of 2.5 and 3 cm, are considered high for native species of the family Asteraceae (Gomes & Fernandes, 2002; Maluf & Wizentier, 1998; Pereira, Zanon, & Scheffer, 1995; Velten & Garcia, 2005).
The cultural value, value of germination and purity presented in these treatments a value of 600% above the control, which shows the efficiency of this technique for E. mollis.
The storage of seeds is essential for the establishment of production systems, as it allows the storage, commercialization and availability of seeds with high cultural value to start new crops in the spring (Angelovici, Galili, Fernie, & Fait, 2010; Marcos Filho, 2005).
The higher efficiency of cold storage found in this study was possibly due to the reduction of respiratory activity, which maintained seed viability (Rajjou et al., 2012).
Thus, the seeds of E. mollis can be stored for at least 12 months in the cold without reducing their viability, which allows annual use of the harvested seeds. After 18 months, there is a drop in germination potential; however, it remains above 60%.
The accelerated aging test, with high humidity and temperature, probably increased the respiratory rate of the seeds and the consumption of their nutritional reserves, and only the seeds with greater vigor germinated after the test (Bhering, Dias, Barros, Dias, & Tokuhisa, 2003; Marcos Filho, 1999; Rodo, Panobianco, & Marcos Filho, 2000). Thus, the low germination presented by E. mollis seeds after this test may be related to low seed vigor, a result of a small nutritional reserve, which is common in seeds of the Asteraceae family.
Results similar to those of the present study were found for M. chamomilla (Rollwagen & Carvalho, 2011) and Triticum aestivum L. (Maia, Lopes, & Teixeira, 2007).
The low resistance to the accelerated aging treatment may also be due to the fragility of the physical mechanisms of protection and the absence of dormancy (Binotti et al., 2008). The rapid reduction of the germination potential may be related to changes in the seed metabolism that lead to the destruction of the cellular membrane system (Bertolin, Sá, & Moreira, 2011).
There is a high correlation between the germination potential of seeds subjected to 24 hours of accelerated aging and seeds stored for 18 months at room temperature, and thus, the accelerated aging test for 24 hours can be used to estimate seed vigor and viability during storage.
Conclusion
The ideal harvest moment occurs at 49 days after anthesis and can be identified by the brown coloration of the interfloral bracts, except those at the edge of the capitulum, which remain greenish.
Seeds with a cultural value above 80% can be obtained with the use of a 0.59 mm sieve and a seed blower.
The seeds can be stored for 12 months in the cold without reducing their germination potential. The accelerated aging test allows a rapid estimate of the seed storage viability for 18 months.
References
Angelovici, R., Galili, G., Fernie, A. R., & Fait, A. (2010). Seed desiccation: a bridge between maturation and germination. Trends in Plant Science, 15(4), 211-218. DOI: 10.1016/j.tplants.2010.01.003
Bentsink, L., & Koornneef, M. (2008). Seed Dormancy and Germination. In The Arabidopsis book 6 (p. 1-19). Monona, WI: American Society of Plant Biologists. DOI: 10.1199/tab.0119
Bertolin, D. C., Sá, M. E., & Moreira, E. R. (2011). Parâmetros do teste de envelhecimento acelerado para determinação do vigor de sementes de feijão. Revista Brasileira de Sementes, 33(1), 104-112. DOI: 10.1590/S0101-31222011000100012
Bewley, J. D., & Black, M. (2012). Physiology and biochemistry of seeds in relation to germination: Volume 2: Viability, dormancy, and environmental control. Berlin, DE: Springer Science & Business Media. DOI: 10.1007/978-3-642-68643-6
Bezerra, A. M. E., Medeiros Filho, S., & Freitas, J. B. S. (2003). Maturidade fisiológica e germinação de sementes de macela (Egletes viscosa (L.) Less.) submetidas a secagem. Horticultura Brasileira, 21(3), 549-452. DOI: 10.1590/S0102-05362003000300026
Bhering, M. C., Dias, D., Barros, D. I., Dias, L. A. S., & Tokuhisa, D. (2003). Avaliação do vigor de sementes de melancia (Citrullus lunatus Schrad.) pelo teste de envelhecimento acelerado. Revista Brasileira de Sementes, 25(2), 1-6. DOI: 10.1590/S0101-31222003000400001
Binotti, F., Iwamoto Haga, K., Duarte Cardoso, E., Zaratin Alves, C., Sá, M. E., & Arf, O. (2008). Efeito do período de envelhecimento acelerado no teste de condutividade elétrica e na qualidade fisiológica de sementes de feijão. Acta Scientiarum. Agronomy, 30(2). DOI: 10.1590/S1807-86212008000200014
Brasil. (2009). Regras para análise de sementes. Brasília, DF: Secretaria Nacional de Defesa Agropecuária/MAPA/ACS Brasília.
Carneiro, J. W. P., Guedes, T. A., Amaral, D., & Braccini, A. L. (2000). Análise exploratória de percentuais germinativos obtidos com sementes de Stevia rebaudiana (Bert.) Bertoni, cenoura e canola envelhecidas artificialmente. Revista Brasileira de Sementes, 22(2), 215-222. DOI: 10.17801/0101-3122/rbs.v22n2p215-222
Carvalho, D. B., & Carvalho, R. I. N. (2009). Qualidade fisiológica de sementes de guanxuma sob influência do envelhecimento acelerado e da luz. Acta Scientiarum. Agronomy, 31(3), 489-494. DOI: 10.4025/actasciagron.v31i3.585
Clemes, S. D. M., Beirith, A., & Zeni, A. L. B. (2015). Avaliação de polifenóis e capacidade antioxidante de seis espécies da Mata Atlântica. Scientia Plena, 11(5), 1-8.
Duarte, E. F., Santos, J. A., Souza Peixoto, J., & Santos, C. H. B. (2012). Maturação e dormência em diásporos de carrapicho de carneiro (Acanthospermum hispidum DC. Asteraceae). Journal of Seed Science, 34(3), 441-449. DOI: 10.1590/S0101-31222012000300011
Faria, M. A. V. D. R.,Von Pinho, R. G., Von Pinho, É. V. D. R., Guimarães, R. M., & Freitas, F. E. D. O. (2010). Qualidade fisiológica de sementes de milho colhidas em diferentes estádios de “linha de leite”. Revista Brasileira de Milho e Sorgo, 1(1), 93-104. DOI: 10.18512/1980-6477/rbms.v1n1p93-104
Godinho, M. A. S., Mantovani-Alvarenga, E., & Vieira, M. F. (2011). Germination and quality of Adenostemma brasilianum (pers.) cass. seeds, a native understore Asteraceae of the Atlantic Forest. Revista Árvore, 35(6), 1197-1205. DOI: 10.1590/S0100-67622011000700006
Gomes, V., & Fernandes, G. W. (2002). Germination of Baccharis dracunculifolia D.C. (Asteraceae) achene. Acta Botanica Brasilica, 16(4), 421-427. DOI: 10.1590/S0102-33062002000400005
Grzybowski, C. R. S., Silva, R. C., Vieira, E. S. N., & Panobianco, M. (2016). Maturation and germination of Vernonanthura discolor seeds. Ciência e Agrotecnologia, 40(2), 164-172. DOI: 10.1590/1413-7054201640202215
Guimarães, T. G., Oliveira, D. A., Mantovani-Alvarenga, E., & Grossi, J. A. S. (1998). Maturação fisiológica de sementes de zínia (Zinnia elegans Jacq.). Revista Brasileira de Sementes, 20(1), 7-11. DOI: 10.17801/0101-3122/rbs.v20n1p7-11
Hasegawa, K., Furuya, R., Mizuno, H., Umishio, K., Suetsugu, M., & Sato, K. (2010). Inhibitory effect of Elephantopus mollis H.B. and K. extract on melanogenesis in B16 murine melanoma cells by downregulating microphthalmia-associated transcription factor expression. Bioscience, Biotechnology, and Biochemistry, 74(9), 1908-1912. DOI: 10.1271/bbb.100318
Hay, F. R., & Probert, R. J. (2013). Advances in seed conservation of wild plant species: a review of recent research. Conservation Physiology, 1(1),1-11. DOI: 10.1093/conphys/cot030
Ho, W. Y., Yeap, S. K., Ho, C. L., Abdul Rahim, R., & Alitheen, N. B. (2012). Hepatoprotective activity of Elephantopus scaber on alcohol-induced liver damage in mice. Evidence-Based Complementary and Alternative Medicine, 9(1). DOI: 10.1155/2012/417953
Homma, A. K. O. (2008). Extrativismo, biodiversidade e biopirataria na Amazônia. Brasília, DF: Embrapa Informação Tecnológica.
Hou, C. W., Lin, C. C., Wu, S. P., Chen, Y. L., & Siao, C. (2012). Application of Elephantopus mollis H.B.K. in anti-inflammation and bacteriostasis [European Patent Office - TW201225987 (A)]. Retrieved on February 27, 2019 from Retrieved on February 27, 2019 from https://worldwide.espacenet.com on
Junior, J., Abrahão, E., Mertz, L. M., Henning, F. A., Peske, S. T., Villela, F. A., & Labbé, L. M. B. (2014). Ideal seeds harvest moment of different maize hybrids. Ciência Rural, 44(2), 253-260. DOI: 10.1590/S0103-84782014000200010
Kabiru, A. & Por, L. Y. (2013). Elephantopus species: traditional uses, pharmacological actions and chemical composition. Advances in Life Science and Technology, 15(1), 6-13.
Kitson, R. R. A., Millemaggi, A., & Taylor, R. J. K. (2009). The renaissance of α methylene γ butyrolactones: New synthetic approaches. Angewandte Chemie International Edition, 48(50), 9426-9451. DOI: 10.1002/anie.200903108
Kondo, C., Senoo, M., Takayama, A., Niimura, T., Hayashi, A., & Kondo, T. (2000). Agent for external use containing plant extract [European Patent Office - JP2000095663 (A)]. Retrieved on February 27, 2019 from Retrieved on February 27, 2019 from https://worldwide.espacenet.com on
Köppen, W. (1936). Das geographische System der Klimate (1a ed., v. 1). Berlin, GE: Verlag von Gebruder Borntraeger.
Lattuada, D. S., Pezzi, A., Calil, A. C., Leonhardt, C., & Fior, C. S. (2012). Conservação de diásporos de Schlechtendalia luzulifolia Less.(Asteraceae). Pesquisa Agropecuária Gaúcha, 18(2), 97-112.
Li, H., Li, M., Wang, G., Shao, F., Chen, W., Xia, C., … Liu, Z. (2016c). EM23, A natural sesquiterpene lactone from Elephantopus mollis, induces apoptosis in human myeloid leukemia cells through thioredoxin- and reactive oxygen species-mediated signaling pathways. Frontiers in Pharmacology, 7(77), 1-15. DOI: 10.3389/fphar.2016.00077
Li, Y., Ye, W., Wang, G., Li, M., & Wang, Y. (2016a). Application of Elephantopus plant extract in preparation of veterinary drugs or feed additives [European Patent Office - CN105395585 (A)]. Retrieved on February 27, 2019 from Retrieved on February 27, 2019 from https://worldwide.espacenet.com on
Li, Y., Ye, W., Wang, G., Li, M., & Wang, Y. (2016b). Application of Elephantopus plant extract in preparation of fishery drugs having antibacterial effect [European Patent Office - CN105395586 (A)]. Retrieved on February 27, 2019 from Retrieved on February 27, 2019 from https://worldwide.espacenet.com
Lorenzi, H., & Matos, F. J. (2002). Plantas medicinais no Brasil: nativas e exóticas (2a ed., v. 1). Nova Odessa, SP: Instituto Plantarum de Estudos da Flora.
Maia, A. R., Lopes, J. C., & Teixeira, C. O. (2007). Efeito do envelhecimento acelerado na avaliação da qualidade fisiológica de sementes de trigo. Ciência e Agrotecnologia, 31(3), 678-684. DOI: 0.1590/S1413-70542007000300012
Maluf, A. M., & Wizentier, B. (1998). Aspectos fenológicos e germinação de sementes de quatro populações de Eupatorium vauthierianum DC. (Asteraceae). Brazilian Journal of Botany, 21(3), 247-257. DOI: 0.1590/S0100-84041998000300002
Marcos Filho, J. (1999). Teste de envelhecimento acelerado. In F. C. Krzyzanowski, R. D. Vieira, & J. B. França Neto (Ed.), Vigor de sementes: conceitos e testes (p. 3 - 1-3 - 24). Londrina, PR: Abrates.
Marcos Filho, J. M. F. (2005). Fisiologia de sementes de plantas cultivadas. Piracicaba, SP: Fealq.
Medeiros, M. F. T., Senna-Vale, L., Andreata, R. H. P., & Fernandes, L. R. R. M. V. (2008). Informações estratégicas geradas através do estudo de patentes de plantas medicinais citadas pelos sitiantes da reserva Rio das Pedras, Mangaratiba, Rio de Janeiro. Revista de Biologia Neotropical, 4(2), 139-147. DOI: 10.5216/rbn.v4i2.5214
Moreira, G. L., & Teles, A. M. (2014). A tribo Vernonieae Cass. (Asteraceae) na Serra Dourada, Goiás, Brasil. Iheringia. Série Botânica, 69(2), 357-385.
Nambara, E., Okamoto, M., Tatematsu, K., Yano, R., Seo, M., & Kamiya, Y. (2010). Abscisic acid and the control of seed dormancy and germination. Seed Science Research, 20(2), 55-67. DOI: 10.1017/S0960258510000012
Nassif, S., & Perez, S. C. J. G. A. (2000). Efeitos da temperatura na germinação de sementes de amendoim-do-campo (Pterogyne nitens Tul.). Revista Brasileira de Sementes, 22(1), 1-6. DOI: 10.17801/0101-3122/rbs.v22n1p1-6
Ngueguim, F. T., Khan, M. P., Donfack, J. H., Siddiqui, J. A., Tewari, D., Nagar, G. K., … Chattopadhyay, N. (2012). Evaluation of Cameroonian plants towards experimental bone regeneration. Journal of Ethnopharmacology, 141(1), 331-337. DOI: 10.1016/j.jep.2012.02.041
Oliveira, O. S. (2012). Tecnologia de sementes florestais: espécies nativas. Curitiba, PR: Ed. da UFPR.
Ooi, K. L., Tengku Muhammad, T. S., Tan, M. L., & Sulaiman, S. F. (2011). Cytotoxic, apoptotic and anti-α-glucosidase activities of 3,4-di-O-caffeoyl quinic acid, an antioxidant isolated from the polyphenolic-rich extract of Elephantopus mollis Kunth. Journal of Ethnopharmacology, 135(3), 685-695. DOI: 10.1016/j.jep.2011.04.001
Ooi, K. L., Tengku Muhammad, T. S., Lam, L. Y., & Sulaiman, S. F. (2014). Cytotoxic and apoptotic effects of ethyl acetate extract of Elephantopus mollis Kunth. in human liver carcinoma HepG2 cells through caspase-3 activation. Integrative Cancer Therapies, 13(3), 1-9. DOI: 10.1177/1534735411433203
Pereira, M. L., Zanon, A., & Scheffer, M. C. (1995). Germinação de sementes de guaco-Mikania glomerata Spreng.(Asteraceae). Horticultura Brasileira, 13(1), 104-105.
Poli, A., Nicolau, M., Oliveira Simões, C. M., Ribeiro-do-Valle Nicolau, R. M., & Zanin, M. (1992). Preliminary pharmacologic evaluation of crude whole plant extracts of Elephantopus scaber. Part I: in vivo studies. Journal of Ethnopharmacology, 37(1), 71-76. DOI: 10.1016/0378-8741(92)90005-C
Rajjou, L., Duval, M., Gallardo, K., Catusse, J., Bally, J., Job, C., & Job, D. (2012). Seed germination and vigor. Annual Review of Plant Biology, 63(1), 507-533. DOI: 10.1146/annurev-arplant-042811-105550
Rodo, A. B., Panobianco, M., & Marcos Filho, J. (2000). Metodologia alternativa do teste de envelhecimento acelerado para sementes de cenoura. Scientia Agricola, 57(2), 289-292. DOI: 10.1590/S0103-90162000000200015
Rollwagen, D. G., & Carvalho, R. (2011). Qualidade fisiológica de sementes de camomila [Chamomilla recutita (L.) Rauschert] após envelhecimento acelerado e estresse salino. Revista Brasileira de Plantas Medicinais, 13(2), 139-145. DOI: 10.1590/S1516-05722011000200003
Shao, F. Y., Wang, S., Li, H.-Y., Chen, W.-B., Wang, G.-C., Ma, D.-L., … Liu, Z. (2016). EM23, a natural sesquiterpene lactone, targets thioredoxin reductase to activate JNK and cell death pathways in human cervical cancer cells. Oncotarget, 7(6), 6790-6808. DOI: 10.18632/oncotarget.6828
Siedle, B., Gustavsson, L., Johansson, S., Murillo, R., Castro, V., Bohlin, L., & Merfort, I. (2003). The effect of sesquiterpene lactones on the release of human neutrophil elastase. Biochemical Pharmacology, 65(5), 897-903. DOI: 10.1016/S0006-2952(02)01652-0
Silveira, M. A. M., Villela, F. A., & Tillmann, M. A. A. (2002). Maturação fisiológica de sementes de calêndula (Calendula officinalis L.). Revista Brasileira de Sementes, 24(2), 31-37. DOI: 10.1590/S0101-31222002000100006
Sosa, A. M., Amaya, S., Capusiri, E. S., Gilabert, M., Bardón, A., Giménez, A., … Borkosky, S. A. (2016). Active sesquiterpene lactones against Leishmania amazonensis and Leishmania braziliensis. Natural Product Research, 30(22), 2611-2615. DOI: 10.1080/14786419.2015.1126260
Tabopda, T. K., Ngoupayo, J., Liu, J., Ali, M. S., Khan, S. N., Ngadjui, B. T., & Luu, B. (2008). Further cytotoxic sesquiterpene lactones from Elephantopus mollis. Chemical and Pharmaceutical Bulletin, 56(2), 231-233. DOI: 10.1248/cpb.56.231
Tabopda, T., Liu, J., Ngadjui, B., & Luu, B. (2007). Cytotoxic triterpene and sesquiterpene lactones from Elephantopus mollis and induction of apoptosis in neuroblastoma cells. Planta Medica, 73(4), 376-380. DOI: 10.1055/s-2007-967132
Tognon, G. B., Panobianco, M., Cuquel, F. L. (2014a). Viabilidade e conservação de diásporos de espécies nativas com potencial ornamental. Iheringia. Série Botânica, 69(2), 347-355.
Tognon, G. B., Pimenta, A. C., Panobianco, M., Cuquel, F. L., & Zuffellato-Ribas, K. C. (2014b). Germinação e morfologia de diásporos e plântulas de Bidens segetum Mart. ex Colla. Revista Agro@ mbiente On-line, 8(2), 238-243.
Toledo, F., & Marcos Filho, J. (1977). Manual das sementes: tecnologia da produção. São Paulo, SP: Editora Agronômica Ceres.
Umishio, K., Maeda, K., & Kobayashi, K. (2006). TW200626182 (A). Retrieved on February 27, 2019 from Retrieved on February 27, 2019 from https://worldwide.espacenet.com
Velten, S. B., & Garcia, Q. S. (2005). Efeitos da luz e da temperatura na germinação de sementes de Eremanthus (Asteraceae), ocorrentes na Serra do Cipó, MG, Brasil. Acta Botanica Brasilica, 19(4), 753-761. DOI: 10.1590/S0102-33062005000400010
Wu, Z.-N., Zhang, Y.-B., Chen, N.-H., Li, M.-J., Li, M.-M., Tang, W., … Wang, G.-C. (2017). Sesquiterpene lactones from Elephantopus mollis and their anti-inflammatory activities. Phytochemistry, 137(1), 81-86. DOI: 10.1016/j.phytochem.2017.01.020
Yamashita, O. M., Guimarães, S. C., Silva, J. L., Carvalho, M. A. C., & Camargo, M. F. (2009). Fatores ambientais sobre a germinação de Emilia sonchifolia. Planta daninha, 27(4), 673-681. DOI: 10.1590/S0100-83582009000400005
Notes
Author notes
* Author for correspondence. E-mail: felipefrancisco@agronomo.eng.br