CROP PROTECTION
Effects of waterlogging stress on plant-pathogen interaction between Fusarium poae and wheat/ barley
Effects of waterlogging stress on plant-pathogen interaction between Fusarium poae and wheat/ barley
Acta Scientiarum. Agronomy, vol. 41, e42629, 2019
Editora da Universidade Estadual de Maringá - EDUEM
Received: 30 October 2017
Accepted: 22 March 2018
Funding
Funding source: This research was supported by FONCYT-SECYT
Contract number: PICT 3233/2015
ABSTRACT.: Waterlogging stress is one of the abiotic factors which causes damage to crops affecting yield components and grain quality of wheat and barley. On the other hand, Fusarium poae is one of the most common Fusarium species isolated from wheat and barley. The aim of this study was to evaluate the effects of waterlogging and F. poae on disease parameters, yield components and grain quality of durum and bread wheat and barley. The experiment was carried out using pots under greenhouse conditions. Four treatments were applied: control/control (W0F0), control/F. poae (W0F1), waterlogging/control (W1F0) and waterlogging/F. poae (W1F1). The results showed that incidence, severity and FHB index of F. poae were higher in W0F1 compared to W1F1 suggesting that waterlogging treatment would be generating no favorable conditions for fungal growth. Therefore, yield components and grain composition and quality were significantly affected by the Fusarium presence and waterlogging treatment which could induce changes in parameters mainly related to the industrial quality of wheat and barley. These results highlight the behavior of wheat and barley under the combination of abiotic and biotic stress.
Keywords: disease parameters, hordeins, hypoxia, glutenins, grain quality, severity.
Introduction
In their natural environment, plants are exposed to different types of stress, both abiotic and biotic, which affect their fitness and survival. As sessile organisms, plants have developed coordinated responses by complex signaling networks involving phytohormones in order to promote their health. Abiotic stress factors such as heat, salinity, cold, drought and nutrient stress have a negative impact on agriculture and this reduces average yields by 50% for most major crop plants worldwide. One of the most common abiotic stress factors that affects crops is waterlogging, which is responsible for losses representing 15-20% of the total area sown to wheat each year worldwide (Setter & Waters, 2003). This environmental event takes place when water excess saturates the soil by inadequate soil drainage or high rainfall resulting in anoxic and hypoxia within roots with consequences in the shoots (Arduini, Orlandi, Pampana, & Masoni, 2016; Herzog, Striker, Colmer, & Pedersen, 2016). Huang, Johnson, Nesmith, and Bridges (1994) evaluated several wheat genotypes under hypoxia and observed that the reduction of O2 enhances the aerenchyma formation in roots to improve the internal O2 diffusion in plants as a mechanism for hypoxia tolerance. Moreover, oxygen deficit is not the only effect of waterlogging, ethylene and carbon dioxide excess also increases metabolic toxins in soil or roots, reduces ions, respiration and root conductivity to water thus affecting plant growth and survival (Setter & Waters, 2003).
Regarding biotic stress, several outbreaks caused by fungi, viruses, bacteria and nematodes, among others, have produced several losses in yield production. As resistance strategies, plants possess physical and chemical barriers to avoid pathogen invasion. Fusarium Head Blight (FHB) is one of the most serious diseases reducing yield and grain quality of cereals.
Wheat grain proteins can be classified into soluble in aqueous solutions: albumins and globulins, and insoluble: gliadins and glutenins. The latter are those that form gluten during kneading and confer the viscoelastic characteristics to the dough. Glutenins form intra- and intermolecular disulphide bonds and are classified into high molecular weight (HMW-GS) and low molecular weight (LMW-GS) subunits. Gliadins form only intramolecular disulphide bonds and are divided into four structural types: α-,β-, γ-, and ω-gliadins. In bread wheat, the HMW-GS are encoded by Glu-A1, Glu-B1, and Glu-D1 loci and most of the LMW-GS are encoded by Glu-A3, Glu-B3, and Glu-D3 loci. In addition to the morphological and technological differences among grains of bread and durum wheat, there are important genetic differences, which determine variations in the protein subunits that form gluten, such as the absence of those subunits encoded by the D genome in the latter (Shewry, 2009). As to barley, hordeins represent the major fraction of the endosperm storage proteins in grains and they are classified into four groups, or families of polypeptides, called B, C, D, and γ-hordeins. The type of protein stored in grain influences malt extract regardless of grain protein concentration (Salgado-Albarran, Herrera-Díaz, & Dinkova, 2015).
Among Fusarium species causing FHB disease, Fusarium graminearum is the dominant species isolated worldwide but in the last years F. poae has been found by several researchers in diverse substrates such as barley and wheat. Covarelli et al. (2015) showed that F. poae increased its presence when the climatic conditions were not suitable for F. graminearum growth. Fusarium poae acquires special importance because it is the main Fusarium pathogen able to produce nivalenol, an important mycotoxin which inhibits cell proliferation and produces cytotoxic effects on cells. Furthermore, F. poae produces other trichothecenes such as HT-2, T-2, and diacetoxyscirpenol (DAS) and apart from this recognized group of mycotoxins known as ‘traditional’ mycotoxins, it is able to produce ´emerging’ mycotoxins such as beauvericins and enniatins.
Plant-pathogen interactions can be enhanced or reduced by an abiotic stress which depends on the pathosystem evaluated and the intensity of the stress (Bostock, Pye, & Roubtsova, 2014). However, few studies are focused on the combined effects of stress on crops of economic importance. Therefore, the aim of this study was to evaluate the effects of waterlogging and Fusarium poae presence on disease parameters, yield components and grain quality of wheat and barley.
Material and methods
Barley and wheat cultivars
Three winter crops (durum wheat, bread wheat and barley) were evaluated. ACA 1901F durum wheat (Triticum turgidum L. var. durum) presents excellent suitability for pasta with high protein content. Buck Pleno bread wheat (Triticum aestivum L.) was chosen because it belongs to intermediate breadmaking quality with intermediate protein content and it is moderately susceptible to Fusarium. Both wheat cultivars resemble in phenology stages, especially the time to anthesis. Scarlett (Hordeum vulgare L.) was the barley cultivar chosen because it represents 80% of the national production of barley in Argentina.
Fusarium poae isolates and inoculum preparation
A total of four isolates of Fusarium poae selected based on the capacity to produce nivalenol in vitro according to Dinolfo, Barros, and Stenglein (2012) were used as inoculum. The isolates were grown in Petri dishes containing potato dextrose agar for 5-7 days at 25°C and 12h light/dark conditions. The conidia were taken by flooding the plates with 5 mL of distilled water and dislodged with a bent glass rod. The resulting suspension was filtered through cheesecloth and the conidial suspension was adjusted to 1 x 105 conidia per ml using a haemacytometer (Neubauer) and a binocular microscope. Tween® 20 (0.05%) was added as surfactant.
Experimental design and treatments
The experiment using pots was carried out at the Facultad de Agronomía, Universidad Nacional del Centro de la Provincia de Buenos Aires (36o 41’ S, 59o 48’ O). The cultivars chosen were grown under greenhouse conditions and the sowing date was 6 July. Pots (20 L) were filled with clay loam soil and were irrigated and well drained to maintain soil humidity. The experiment design was completely randomized with four replicates. Twenty seeds of each species were sown per pot and after emergence were thinned to 10 plants per pot. Plants were fertilized twice with 1.4 g of PDA at sowing, 1.4 g of urea and 1 g of Ca2SO4 in split doses at emergence and tillering. Four treatments were applied: control/control (W0F0), control/Fusarium poae (W0F1), waterlogging/control (W1F0) and waterlogging/Fusarium poae (W1F1) treatments. Half of the pots of each cultivar were waterlogged from heading to 20 days post anthesis. Each pot was placed into a container with water covering 1 cm above the surface of the pots to apply the waterlogging treatment. Then, half of the waterlogged and control pots of each species were inoculated by spraying with F. poae and were covered with polythene bags for 48h to ensure high relative humidity. Wheat spikes were inoculated at mid-anthesis while barley was inoculated when 50% of the plants had reached anthesis until run off, using a gravity spray gun (Buerstmayr, Legzdina, Steiner, & Lemmens, 2004). Control heads were sprayed with distilled water plus Tween® 20% (0.05%).
Measurements
Minimum and maximum temperatures were taken daily (Figure 1). Visual disease assessment was conducted at 20 days post inoculation by counting the number of symptomatic grains (lesions or bleaching of grains or glumes with a dark margin) from ten inoculated and control spikes. FHB index was calculated as incidence*severity/100 according to McMullen et al. (2012). Regarding yield components, grain yield per shoot (GY), grains per spike (GS), weight per grain (GW), above ground biomass per shoot (AB), and harvest index (HI=GY/AB) were determined after physiological maturity. Protein content was calculated by microKjeldahl (5.75 factor, 13.5% humid basis). SDS sedimentation test (SDSS) was used to predict the gluten strength (Dick & Quick, 1983). Only for barley, the germinated embryos were observed and counted daily for twelve days and the germination index (GI) was calculated according to Walker-Simmons (1987). The grains were sieved and the percentage of grains retained on a 2.5-mm sieve (screening percentage) and the grains under 2.2-mm sieve were recorded.

Glutenin and gliadin proteins were extracted by sequential extraction method according to Gupta and MacRitchie (1991) and hordein proteins were extracted by the method described by Salgado-Albarran et al. (2015). All proteins were separated by SDS-PAGE (T = 13.5%). The gel was stained with 0.05% Coomassie Brilliant Blue R250 for 24h, distained in TCA 12% for 48h and finally washed in distilled water for 24h. The resulting gels were scanned and analyzed by using TotalLab (v1.10 demo) software to measure the intensity of the pixel as an abundance indicator. Background subtraction was applied to avoid the variability due to the staining process. The GLI, GLU, HMW-GS, LMW-GS, ω-gli, and α-β-γ-gli contents and total and D, C, and B hordein fractions were determined. Also, the GLI/GLU ratio, the HMW-GS/LMW-GS ratio, and the ω-gli/α-β-γ-gli ratio were calculated.
Statistical analysis
An analysis of variance (ANOVA) was performed using INFOSTAT software version 2012 (Di Rienzo et al., 2012) and the levels of significance were established by using Tukey tests at p < 0.05.
Results
Disease parameters
The incidence of F. poae was higher in W0F1 compared to W0F0 increasing by 50, 84, and 40% in durum wheat, bread wheat and barley, respectively (Table 1). In W1F1 treatment the incidence increased by 27, 98, and 34% in durum wheat, bread wheat and barley, respectively compared to W1F0. Moreover, bread wheat showed the highest incidence of F. poae in W0F1 and W1F1.
| Waterlogging | Fusarium poae | Durum wheat | Bread wheat | Barley | |
| Control (W0) | Control (F0) | 38±18 | 15±13 | 32±15 | |
| F. poae (F1) | 88±5 | 99±3 | 72±21 | ||
| Waterlogging (W1) | Control (F0) | 18±13 | 0±0 | 15±18 | |
| F. poae(F1) | 45±13 | 98±5 | 49±26 |
In terms of the severity of F. poae, S, W, F, S*W, S*F, and W*F were statistically significant. W1 treatment reduced by 3, 2, and 1% the severity of F. poae in durum wheat, bread wheat and barley, respectively. Also, F1 treatment increased the severity by 4, 18, and 1% in durum wheat, bread wheat and barley, respectively. In W0F1, the severity of F. poae increased by 9% compared to W0F0 while in W1F1 this parameter increased by 6% (Figure 2). The FHB index was statistically significant for S and W*F. Barley showed low FHB index compared to wheat, while durum wheat showed lower FHB index than bread wheat. W1F1 decreased FHB index by 35% compared to W0F1.

Yield components
GY was affected by S, W, F, and S*F interaction (Table 2). Thus, W reduced GY by 32% compared to control while F. poae reduced this parameter by 72% only in bread wheat. As expected, S, F, and S*F interaction were statistically significant showing that F. poae presence reduced GS by 71% only in bread wheat (Table 2).
S, W, and S*W*F affected significantly GW. In durum and bread wheat, only the combined stress affected negatively GW by 44 and 45%, respectively (Table 2). In barley, no significant difference was observed although W treatment tended to reduce GW by 19%. Regarding AB, S was only statistically significant being durum wheat higher than the other cultivars (Table 2). As for GY, HI was affected by S, W, F, and S*F interaction. W treatment reduced HI by 26% on average and F reduced HI by 71% only in bread wheat (Table 2).
Grain composition and quality
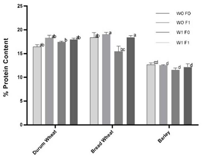
Regarding protein content, S, W and F were statistically significant. W treatment reduced by 4% the protein content, while F treatment increased by 7% this parameter (Figure 3). In wheat, the results of SDS test showed that gluten strength decreased by 25% in bread wheat under F treatment, while durum wheat decreased by 39% under W treatment. The HMW-GS allelic composition of durum wheat was: null for Glu-A1 and 7+8 for Glu-B1. The W treatment increased by 37% the GLU content decreasing GLI/GLU ratio by 31%. Thus, the HMW-GS increased by 48%. The remaining gluten composition parameters analyzed were not statistically significant. The HMW-GS allelic composition of bread wheat was: 2* for Glu-A1, 7+8 for Glu-B1 and 5+10 for Glu-D1. The F treatment decreased by 19, 19, and 20% the GLI, ω-gli, and α-β-γ-gli content, respectively. On the other hand, the W treatment increased by 11% the HMW-GS/LMW-GS ratio.
| a) | GY (g) | GS | GW (g) | AB (g) | HI | |||||||||||||||||||
| Durum wheat | ||||||||||||||||||||||||
| W0/F0 | 1.43 | A | 36 | A | B | 0.0397 | A | B | 3.60 | A | 0.40 | A | B | |||||||||||
| W0/F1 | 1.02 | A | B | C | 36 | A | B | 0.0286 | B | C | 3.15 | A | B | 0.33 | A | B | ||||||||
| W1/F0 | 0.77 | B | C | 38.25 | A | 0.0199 | C | D | 3.05 | A | B | C | 0.25 | B | C | |||||||||
| W1/F1 | 0.84 | B | C | 38.50 | A | 0.0221 | C | D | 3.07 | A | B | C | 0.27 | B | ||||||||||
| Bread wheat | ||||||||||||||||||||||||
| W0/F0 | 0.91 | A | B | C | 31.50 | A | B | 0.0289 | B | C | 2.65 | B | C | D | 0.34 | A | B | |||||||
| W0/F1 | 0.23 | D | 7.75 | D | 0.0293 | B | C | 2.36 | B | C | D | 0.09 | C | |||||||||||
| W1/F0 | 0.73 | B | C | D | 39.25 | A | 0.0211 | C | D | 2.61 | B | C | D | 0.28 | B | |||||||||
| W1/F1 | 0.22 | D | 12.75 | C | D | 0.0160 | D | 2.54 | B | C | D | 0.09 | C | |||||||||||
| Barley | ||||||||||||||||||||||||
| W0/F0 | 1.15 | A | B | 28 | A | B | 0.0429 | A | 2.36 | B | C | D | 0.49 | A | ||||||||||
| W0/F1 | 0.96 | A | B | C | 25.75 | B | 0.0449 | A | 2.55 | B | C | D | 0.38 | A | B | |||||||||
| W1/F0 | 0.71 | B | C | D | 25.50 | B | 0.0357 | A | B | 2.29 | C | D | 0.31 | A | B | |||||||||
| W1/F1 | 0.61 | C | D | 23.75 | B | C | 0.0352 | A | B | 2.17 | D | 0.28 | B | |||||||||||
| b) Source | GY | GS | GW | AB | HI | |||||||||||||||||||
| p-value | %SS | p-value | %SS | p-value | %SS | p-value | %SS | p-value | %SS | |||||||||||||||
| Species (S) | <0.0001 | 38.2 | <0.0001 | 40.1 | <0.0001 | 56.4 | <0.0001 | 83.8 | <0.0001 | 38.6 | ||||||||||||||
| Waterlogging (W) | <0.0001 | 21.1 | 0.1437 | 1.2 | <0.0001 | 35.9 | 0.1019 | 3.7 | 0.0001 | 17.5 | ||||||||||||||
| F. poae (F) | <0.0001 | 20.9 | <0.0001 | 21.1 | 0.1788 | 1.2 | 0.2213 | 2.0 | <0.0001 | 22.8 | ||||||||||||||
| S*W | 0.0681 | 5.1 | 0.0648 | 3.2 | 0.4198 | 1.2 | 0.2278 | 4.1 | 0.1272 | 3.5 | ||||||||||||||
| S*F | 0.0083 | 9.7 | <0.0001 | 34.1 | 0.3659 | 1.4 | 0.4986 | 1.9 | 0.0014 | 14.0 | ||||||||||||||
| W*F | 0.056 | 3.4 | 0.8194 | 0.0 | 0.5502 | 0.2 | 0.4968 | 0.6 | 0.0661 | 3.5 | ||||||||||||||
| S*W*F | 0.4064 | 1.7 | 0.8787 | 0.1 | 0.0287 | 5.1 | 0.2434 | 3.8 | 0.9251 | 0.1 | ||||||||||||||

In barley, germination index was not statistically significant. The W treatment decreased the by 96 to 54% the screening percentage (grains >2.5-mm sieve) and increased by 0.8 to 18% the percentage of grains under 2.2-mm sieve. Regarding hordein fractions, the W1F0 tend to decrease the B hordein by 33% compared to W0F0, while the F treatment tend to decrease the same parameter by 35%. In terms of the total hordein contents, the W1F0 and W0F1 decreased by 19 and 24%, respectively.
Discussion
Several authors have evaluated the effect of biotic or abiotic stress on crops but few are focused on analyzing the interaction of both stresses in crops. In this work the interaction of waterlogging and Fusarium poae on durum wheat, bread wheat and barley was evaluated. The experiment was carried out under greenhouse conditions with controlled minimum temperatures around 14°C and irrigated. There is evidence that abiotic stress has different impacts on disease susceptibility. Our results showed that the incidence and severity of Fusarium poae increased in W0F1 compared to W0F0 (Table 1). Interestingly, W1F1 treatment showed lower FHB index than W0F1 suggesting that waterlogging treatment would be generating no favorable conditions for fungal growth. However, waterlogging and other abiotic stress factors in soil can increase root and crown disease severity of soilborne pathogens (Bostock et al., 2014). Drought, salinity, heat, chilling and ozone have a potential negative interaction with pathogen development (Suzuki, Rivero, Shulaev, Blimwald, & Mittler, 2014). Unlike, Wiese, Kranz, and Schubert (2004) showed that osmotic and proton stress enhanced resistance against powdery mildew in barley. Therefore, the impact of abiotic stress on disease severity depends on the timing, spread and intensity of the stress.
In terms of yield, several researchers have evaluated the effect of waterlogging on wheat at different developmental stages showing significant reduction in this parameter (de San Celedonio, Abeledo, & Miralles, 2014; Shao et al., 2013). Recently, Argüello et al. (2016) evaluated waterlogging tolerance in 28 varieties of soft red winter wheat in the United States under field conditions and observed a grain yield reduction of 34% among the tested lines. In our study, waterlogging treatments reduced GY by 32%. GS was not affected by W treatments while GW showed differences due to W treatment depending on F and S factors. Thus, the effect of waterlogging on barley was lower than on wheat. However, the screening percentage was affected significantly by W treatment which would indicate a reduction in the amount of potential maltable grains decreasing the malt extract. In durum wheat, similar GW reduction was observed due to W and combined stress while the Fusarium presence enhanced the W effect on bread wheat. Miedaner and Longin (2014) compared 105 lines of winter durum wheat inoculated with F. culmorum and observed that high FHB resistance was rare in durum wheat. Moreover, Stenglein et al. (2014) observed that durum wheat was more susceptible to F. poae than bread wheat. Conversely, in our results bread wheat was more affected by F. poae than durum wheat. ACA 1901F has not been evaluated for Fusarium resistance which could explain the different results compared to bread wheat which has previously demonstrated moderately susceptibility to Fusarium. GW, an important determinant of milling quality, was reduced by W treatments depending on S and Fusarium presence. Unlike, Arduini et al. (2016) showed that the mean kernel weight in two wheat cultivars evaluated was not affected by waterlogging.
Regarding variations in yield due to waterlogging, other researchers suggested that this can be mainly explained by a reduction in grain number when this stress takes place in earlier developmental stages than our study (Arduini et al., 2016; Argüello et al., 2016; de San Celedonio et al., 2014). Aboveground biomass was only affected by S (Table 2). However, HI showed significant reductions due to W treatments. Other researchers reported significant effects on both AB and HI which can be related to the moment when stress was applied (Arduini et al., 2016; Argüello et al., 2016).
In terms of grain quality, different results have been found about the relationship between protein content and Fusarium presence. Boyacioglu and Hettiarachchy (1995) showed that the protein content in moderately infected wheat increased by 6%, but decreased in lightly infected wheat. Moreover, the SDSS decreased in both infected wheat. In our study, the disease produced by F. poae results in a lightly infection decreasing the protein content by 7%. In the same way, SDSS decreased by 25% due to F treatment in bread wheat which could indicate a possible degradation of protein quality resulting from fungal impact. Likewise, low SDSS value would indicate low gluten strength thus decreasing the baking quality of wheat. By W treatment, the protein content decreased by 4%. Similarly, Fan, Jiang, Dai, Jing, and Cao (2004) and Zheng et al. (2009) reported that waterlogging caused a reduction in protein content in wheat. The Fusarium presence decreased GLI, ω-gli, and α-β-γ-gli content by 19, 19, and 20%, respectively. Boyacioglu and Hettiarachchy (1995) found that GLI content decreased by F treatment but the differences were not significant. Eggert, Hashadrai, and Pawelzik (2011) found that not only Fusarium presence digested glutenin but also gliadin degradation takes place in infected wheat grains. Brzozowski, Dawidziuk, and Bednarski (2008) demostrated that only F. poae proteases were capable of degrading gliadins. Therefore, the W treatment increased GLU by 37% thus decreasing the GLI/GLU ratio by 31%. Similar to our results, Zheng et al. (2009) showed that waterlogging caused an increase in glutenin in Huamai 17 wheat cultivar. As for HMW-GS, the W treatment increased by 48% this parameter. Unlike, Jiang et al. (2009) showed that HMW-GS accumulation decreases significantly with water stress. These changes in gluten composition could affect the viscoelastic characteristics of the dough and its industrial quality (Shewry, 2009). In barley, the B hordeins tend to decrease by W and F treatment by 33 and 35%, respectively while the remaining hordein fractions showed no differences. B hordeins represent the main factor affecting grain protein content showing a negative correlation between the B hordein content and malt extract (Qi et al., 2005). Eggert, Wieser, and Pawelzik (2010) showed that Fusarium presence decreases slightly the total content of hordeins. However, no information is available about the effect of W treatment on the hordein content.
Conclusion
This is the first study to evaluate the interaction between waterlogging (abiotic stress) and Fusarium poae presence (biotic stress) in wheat and barley. Thus, abiotic stresses occurring prior to infection decreased susceptibility of wheat and barley to Fusarium disease. In general, waterlogging and Fusarium presence affect protein content and composition which could alter the industrial quality of wheat and barley. These findings increase our understanding of the behavior of durum wheat, bread wheat and barley against the combination of abiotic and biotic stress.
Acknowledgements
We are grateful to Professor Mariana Oyarzabal for English assistance. This research was supported by FONCYT-SECYT PICT 3233/2015.
References
Arduini, I., Orlandi, C., Pampana, S., & Masoni, A. (2016). Waterlogging at tillering affects spike and spikelet formation in wheat. Crop and Pasture Science, 67(7), 703-711. DOI: 10.1071/CP15417
Argüello, M. N., Mason, R. E., Roberts, T. L., Subramanian, N., Acuña, A., Addison, C. K., ... Gbur, E. (2016). Performance of soft red winter wheat subjected to field soil waterlogging: grain yield and yield components. Field Crops Research, 194(1), 57-64. DOI: 10.1016/j.fcr.2016.04.040
Bostock, R. M., Pye, M. F., & Roubtsova, T. V. (2014). Predisposition in plant disease: exploiting the nexus in abiotic and biotic stress perception and response. Annual Review of Phytopathology, 52(1), 23-33. DOI: 10.1146/annurev-phyto-081211-172902
Boyacioglu, D., & Hettiarachchy, N. S. (1995). Changes in some biochemical components of wheat grain that was infected with Fusarium graminearum. Journal of Cereal Science, 21(1), 57-62. DOI: 10.1016/S0733-5210(95)80008-5
Brzozoski, B., Dawidziuk, K., & Bednarski, W. (2008). Gliadin degradation by proteases of Fusarium genus fungi in different in vivo and in vitro conditions. Polish Journal of Natural Sciences, 23(1), 188-206. DOI: 10.2478/v10020-008-0014-2
Buerstmayr, H., Legzdina, L., Steiner, B., & Lemmens, M. (2004). Variation for resistance to Fusarium head blight in spring barley. Euphytica, 137(3), 279-290. DOI: 10.1023/B:EUPH.0000040440.99352.b9
Covarelli, L., Beccari, G., Prodi, A., Generotti, S., Etruschi, F., Juan, C., ... Manes, J. (2015). Fusarium species, chemotype characterization and trichothecene contamination of durum and soft wheat in an area of Central Italy. Journal of the Science of Food and Agriculture, 95(3), 540-551. DOI: 10.1002/jsfa.6772
de San Celedonio, R. P., Abeledo, L. G., & Miralles, D. J. (2014). Identifying the critical period for waterlogging on yield and its components in wheat and barley. Plant and Soil, 378(1-2), 265-277. DOI: 10.1007/S11104-014-2028-6
Dick, J. W., & Quick, J. S. (1983). A modified screening test for rapid estimation of gluten strength in early-generation durum wheat breeding lines. Cereal Chemistry, 60(4), 315-318.
Dinolfo, M. I., Barros, G. G., & Stenglein, S. A. (2012). Development of a PCR assay to detect Fusarium poae isolates with the potential to produce nivalenol. FEMS Microbiology Letters, 332(2), 99-104. DOI: 10.1111/j.1574-6968.2012.02581.x
Di Rienzo, J. A., Casanoves, F., Balzarini, M. G., Gonzalez, L., Tablada, M., & Robledo, C. W. (2012). InfoStat versión 2012. Córdoba, AR: Grupo InfoStat, FCA, Universidad Nacional de Córdoba. Retrieved on Sep. 30, 2017 from 30, 2017 from http://www.infostat.com.ar
Eggert, K., Wieser, H., & Pawelzik, E. (2010). The influence of Fusarium infection and growing location on the quantitative protein composition of (Part II) naked barley (Hordeum vulgare nudum). European Food Research and Technology, 230(6), 893-902. DOI: 10.1007/s00217-010-1229-3
Eggert, K., Hashadrai, M. R., & Pawelzik, E. (2011). In vitro degradation of wheat gluten fractions by Fusarium graminearum proteases. European Food Research and Technology, 233(4), 697-705. DOI: 10.1007/s00217-011-1566-x
Fan, X. M., Jiang, D., Dai, T. B., Jing, Q., & Cao, W. X. (2004). Effects of post-anthesis drought and waterlogging on the quality of grain formation in different wheat varieties. Chinese Journal of Plant Ecology, 28(1), 680-685.
Gupta, R. B., & MacRitchie, F. (1991). A rapid one-step one dimensional SDS-procedure for analysis of subunit composition of glutenin in wheat. Journal of Cereal Science, 14(2), 105-109.
Herzog, M., Striker, G. G., Colmer, T. D., & Pedersen, O. (2016). Mechanisms of waterlogging tolerance in wheat- a review of root and shoot physiology. Plant, Cell and Environment, 39(5), 1068-1086. DOI: 10.1111/pce.12676
Huang, B. R., Johnson, J. W., Nesmith, D. S., & Bridges, D. C. (1994). Root and shoot growth of wheat genotypes in response to hypoxia and subsequent resumption of aeration. Crop Science, 34(6), 1538-1544. DOI: 10.2135/cropsci1994.0011183X003400060023x
Jiang, D., Yue, H., Wollenweber, B., Tan, W., Mu, H., Bo, Y., ... Cao, W. (2009). Effects of post-anthesis drought and waterlogging on accumulation of high-molecular-weight glutenin subunits and glutenin macropolymers content in wheat grain. Journal of Agronomy and Crop Science, 195(2), 89-97. DOI: 10.1111/j.1439-037x.2008.00353.x
McMullen, M., Bergstrom, G., De Wolf, E., Dill-Macky, R., Hershman, D., Shaner, G., & Van Sanford, D. (2012). A unified effort to fight an enemy of wheat and barley: Fusarium Head Blight. Plant Disease, 96(12), 1712-1728. DOI: 10.1094/PDIS-03-12-0291-FE
Miedaner, T., & Longin, C. F. H. (2014). Genetic variation for resistance to Fusarium head blight in winter durum material. Crop and Pasture Science, 65(1), 46-51. DOI: 10.1071/CP13170
Qi, J. C., Chen, J. X., Wang, J. M., Wu, F. B., Cao, L. P., & Zhang, G. P. (2005). Protein and hordein fraction content in barley seeds as affected by sowing date and their relation to malting quality. Journal of Zhejiang University Science B, 6(11), 1069-1075. DOI: 10.1631/jzus.2005.B1069
Salgado-Albarrán, M., Herrera-Díaz, J., & Dinkova, T. D. (2015). Caracterización de patrones de hordeínas en variedades mexicanas de cebada maltera. Revista Especializada en Ciencias Químicas-Biológicas, 18(1), 43-51.
Shao, G. C., Lan, J. J., Yu, S. E., Liu, N., Guo, R. Q., & She, D. L. (2013). Photosynthesis and growth winter wheat in response to waterlogging at different growth stages. Photosynthetica, 51(3), 429-437. DOI: 10.1007/s11099-013-0039-9
Setter, T. L., & Waters, I. (2003). Review of prospects for germplasm improvement for waterlogging tolerance in wheat, barley and oats. Plant and Soil, 253(1), 1-34.
Shewry, P. R. (2009). Wheat. Journal of Experimental Botany, 60(6), 1537-1553. DOI: 10.1093/jxb/erp058
Stenglein, S. A., Dinolfo, M. I., Barros, G., Bongiorno, F., Chulze, S. F., & Moreno, M. V. (2014). Fusarium poae pathogenicity and mycotoxin accumulation on selected wheat and barley genotypes at a single location in Argentina. Plant Disease, 98(12), 1733-1738. DOI: 10.1094/PDIS-02-14-0182-RE
Suzuki, N., Rivero, R.M., Shulaev, V., Blimwald, E., & Mittler, R. (2014). Abiotic and biotic stress combinations. New Phytologist, 203(1), 32-43. DOI: 10.1111/nph.12797
Walker-Simmons, M. (1987). ABA levels and sensitivity in developing wheat embryos of sprouting resistant and susceptible cultivars. Plant Physiology, 84(1), 61-66. DOI: 10.1104/pp.84.1.61
Wiese, J., Kranz, T., & Schubert, S. (2004). Induction of pathogen resistance in barley by abiotic stress. Plant Biology, 6(5), 529-536. DOI: 10.1055/s-2004-821176.
Zheng, Y., Xu, X., Li, Z., Yang, X., Zhang, C., Li, F., & Jiang, G. (2009). Effects of salt and waterlogging stress at post-anthesis stage on wheat grain yield and quality. Journal of Applied Ecology, 20(10), 2391-2398.
Author notes
* Author for correspondence. E-mail: maurom@faa.unicen.edu.ar