CROP PRODUCTION
Air drying of macauba fruits: maintaining oil quality for biodiesel production
Air drying of macauba fruits: maintaining oil quality for biodiesel production
Acta Scientiarum. Agronomy, vol. 42, e43451, 2020
Editora da Universidade Estadual de Maringá - EDUEM
Received: 24 June 2018
Accepted: 26 September 2018
ABSTRACT. : Macauba fruits are oil-rich drupes with high moisture content at harvest. This feature can affect the chemical properties of the oil and increase the costs of biodiesel production. Therefore, it is necessary to adopt postharvest strategies to ensure oil quality. The aim of this work was to evaluate the effect of drying macauba fruit on the quality of the pulp oil. Husked and dehusked fruits were dried at 60°C and then stored. At 0, 15, 45, 100, and 180 days after storage, fruit samples were retrieved, and the oil from the pulp was evaluated for physicochemical parameters. The removal of the husk from the fruits considerably reduced the drying time compared to that of the husked fruits. Drying prevented deterioration of the fruit even after 180 days of storage, regardless of the presence of the husk. The drying process allowed for efficient storage of the macauba fruit while maintaining low levels of oil acidity. Furthermore, the oxidative stability of the pulp oil from the dehusked dried fruits lasted longer than that from the husked dried fruits. Therefore, drying is a viable alternative for the postharvest of macauba fruits to maintain the quality of the oil for biodiesel production.
Keywords: Acrocomia aculeata, postharvest, storage, bioenergy.
Introduction
Biodiesel is one of the most promising renewable energies of this century and can be derived from both animal and plant sources (Meher, Sagar, & Naik, 2006; Issariyakul & Dalai, 2014). Vegetable oils and fats have many advantages for the production of biodiesel, including renewability, low sulfur content (Rakopoulos, Rakopoulos, Giakoumis, Dimaratos, & Founti, 2011), and the ease of small-scale production (Talebian-Kiakalaieh, Amin, & Mazaheri, 2013). The world consumption of vegetable oils increased by approximately 12.77% from 2011 to 2015 (United States Department of Agriculture [USDA], 2015). Moreover, the International Energy Agency (IEA) has projected that by 2030, biofuels will provide 9% of the total fuel demand (International Energy Agency [IEA], 2009). Therefore, the discovery of new oleaginous species for biodiesel production is important for broadening the range of options.
Macauba, Acrocomia aculeata (Jacq.) Lodd. ex Martius, is a ubiquitous palm that is found in tropical regions of America (Abreu et al., 2012). The advantages of macauba over annual oleaginous crops for biodiesel production include its high oil ha-1 productivity - similar to Elaeis guineensis - that reaches up to 6.7 t ha-1 yr-1 (Evaristo et al., 2016a), its ability to adapt to a wide range of edaphoclimatic conditions (Lopes, Steidle Neto, Mendes, & Pereira, 2013) and the fact that it is not a staple food despite being edible (César, Almeida, Souza, Silva, & Atabani, 2015). Macauba fruits are yellowish-green drupes 2.5 to 5 cm in diameter (Iha et al., 2014) that consist of a fibrous husk (epicarp), oil-rich pulp (mesocarp) and a nut made up of a stony endocarp and an oil-rich kernel/seed. The pulp oil contains approximately 78% unsaturated fatty acids, especially oleic acid, while the kernel oil is composed of approximately 71% saturated fatty acids that primarily comprise lauric, myristic, oleic and palmitic acid (César et al., 2015).
The abscission of mature macauba fruit occurs primarily during the rainy season (Montoya, Motoike, Kuki, & Couto, 2016), which corresponds to harvesting between September and January in most of the Brazilian territory. This can be considered a problem for use in the biodiesel industry, as the processing of fruits would be limited to a short period of the year, resulting in prolonged industrial inactivity. A suitable solution could be the storage of surplus crop. However, macauba fruits have a high moisture content (approximately 40% wb) at harvest, which promotes the growth and development of microorganisms during storage (Ciconini et al., 2013) and hinders oil extraction, increasing production costs. Studies have indicated that the prolonged storage of oleaginous fruits, such as palm oil, can increase the acidity index of the oil (Tagoe, Dickinson, & Apetorgbor, 2012). Thus, the need to adopt storage strategies that ensure the quality of the stored macauba fruit and its oil is evident.
Air drying is the major conservation method used for agricultural products throughout the world (Kumar, Karim, & Joardder, 2014; Samadi, Ghobadian, Najafi, & Motevali, 2014). However, prolonged drying operations can adversely affect the quality of the final product (Marfil, Santos, & Telis, 2008) and are expensive. As macauba fruit has a rigid, semi-impermeable and cohesive husk (Montoya et al., 2016), the drying process can be less effective and rather time consuming.
Although the potential of macauba as a feedstock for biodiesel production is known (Lopes et al., 2013; César et al., 2015; Nunes, Favaro, Galvani, & Miranda, 2015; Evaristo et al., 2016b), there is no information in the literature regarding the effects of drying and the presence of the fruit husk during the drying process on the physico-chemical characteristics (oil content, free fatty acid content, oxidative stability, water content of the oil and fatty acid profile) of the pulp oil. Therefore, the aim of this study was to evaluate the influence of air drying on the quality of the pulp oil from husked and dehusked macauba fruits over increasing periods of storage.
Material and methods
The fruits were collected from plants growing in a natural population in Acaiaca County, Minas Gerais State, Brazil, (20° 45' 36" S, 44° 15' W). The climate in the region is subtropical humid with cold dry winters and hot rainy summers (Cwa-Köppen classification). Plants were identified, georeferenced and monitored. The bunches were harvested when the fruits exhibited maturity and began to fall off the trees.
Physicochemical analyses of the pulp oil (oil content of the mesocarp, free fatty acid content, water content of the oil and oxidative stability) were carried out at the Laboratory of Biotechnology and Post-Harvest of Macaúba, Department of Plant Science of the Federal University of Viçosa, Viçosa, State of Minas Gerais.
Freshly harvested intact fruits were stored in the laboratory for 20 days at approximately 25°C (resting period). This storage period was incorporated to allow oil accumulation in the pulp, according to the results obtained by Evaristo et al. (2016b). The moisture content was measured in the freshly harvested fruits at day 0 postharvest (PH0) and after resting for 20 days (PH20). On both occasions, moisture evaluations were performed on intact fruits and after the fruit husks had been manually removed.
Afterwards, (fruits of PH20) husked (HU) and dehusked (DH) fruits were submitted to air drying treatments at two different temperatures: i) a drying treatment at 60°C (D) in a laboratory scale dryer with circulating air or ii) a control treatment at 25°C (C) in an air-controlled room. The average speed of the air at 60°C was 5.6 m s-1. During the drying period, the moisture content of both the HU and DH fruits was monitored by weighing the fruits periodically on an analytical balance with a resolution of 0.01 g until the desired moisture of approximately 10% was achieved. The HU and DH fruits exposed to the control treatment were maintained at 25°C for the same amount of time required for the fruits exposed to the drying treatment at 60°C to reach 10% moisture. Then, the fruits from all treatments (C-HU, C-DH, D-HU, and D-DH) were stored for 0, 15, 45, 100, or 180 days (storage period) in plastic boxes at 25°C.
For all experimental groups, the moisture content of the fruits was determined by submitting them to 105 ± 3°C for 24 hours (Brasil, 2009). Fruit samples were taken for oil physicochemical analyses at the following three instances: i) upon harvesting (PH0), ii) after resting for 20 days at 25°C (PH20), and iii) after drying temperature treatments, i.e., control (25°C) or drying (60°C) for each of the established storage durations. For the first two instances, only HU fruits were sampled, while for the last instance, both HU and DH fruits were evaluated.
The pulp oil content (OC) was determined by nuclear magnetic resonance (NMR; MQC NMR Analyser, Oxford) and is expressed as percentages of the pulp on a dry basis according to the ISO 10565 method. This method was selected after determining its accuracy in comparison to the results of the OC obtained by using an oil extractor.
The oil extraction was performed by depulping the fruits with a disinfected stainless steel knife and pressing the pulp pieces in a hydraulic press with a 15 t capacity. After extraction, the oil underwent centrifugation. The pulp oil was collected in amber glass bottles and submitted to the following physical and chemical analyses:
A) Oxidative stability (OS) - evaluated according to the Cd 12b-92 (Association of Official Analytical Chemists [AOAC], 2005) method using Rancimat® equipment (model 873 Biodiesel Rancimat). The OS of the oil is given by the induction period, and the results are expressed in hours.
B) Free fatty acid content (FFA) - determined according to the Ca 5a-40 method (AOAC, 2005) and converted to the acidity percentage of oleic acid.
C) Water content (WCO) - measured according to the ASTM D 6304 method using an automatic titrator (model 870 KF Titrino Plus, Metrhom). Karl Fischer solution was used as the titrant solution. For the solubilization of the samples, a mixture containing methanol and chloroform in a 1:1 ratio was used.
D) Fatty acid profile - oil samples were injected into a GC 2010 Plus (Shimadzu) gas chromatograph equipped with a SPLIT injector, a Restek RT 2560 capillary column 100 m in length and a flame ionization detector. The characterization was performed by sampling fruits at three instances: i) upon harvesting (initial characterization-IC) and after drying temperature treatments at ii) day 0 and iii) day 180 of storage. For IC, only HU fruits were tested, while for the other two instances, both HU and DH fruits were tested.
The experiment was conducted using a split plot design with the plots containing a 2 x 2 factorial: fruit category (husked - HU and dehusked - DH) and drying temperatures of 25 and 60°C corresponding to the control and drying treatments, respectively. The subplots represent the storage periods (0, 15, 45, 100, and 180 days) of four replications in a completely randomized design. Each experimental unit consisted of 15 fruits. The data were subjected to analysis of variance (5% significance) and regression. For the qualitative factors, the means were compared using Tukey’s test at a 5% probability. For the quantitative factors, the models were chosen based on the significance of the regression coefficients using t tests, the coefficient of determination (R2) and the biological phenomenon. Regardless of whether the higher degree interaction was significant, we opted to split it due to the goal of the study.
Results
Freshly harvested macauba fruits (PH0) had an average moisture content of 40% (wb) for both fruit categories (husked and dehusked). After the resting period at 25°C (PH20), the moisture content of the fruit decreased; however, this reduction was more evident after husk removal (DH fruits) (Table 1). The amount of time needed for the fruits to dry at 60°C to achieve the desired 10% moisture content (wb) varied according to the fruit category. Thus, the drying time of the DH fruits was 2.5-fold lower than that required by the HU fruits.
| Fruit category | Moisture content (%)* | M10% - Drying time (60°C) | |
| PH0 | PH20 | (hour) | |
| Husked | 43.3 ± 0.82** | 35.8 ± 2.73 | 60 |
| Dehusked | 38.7 ± 0.70 | 29.4 ± 0.78 | 22 |
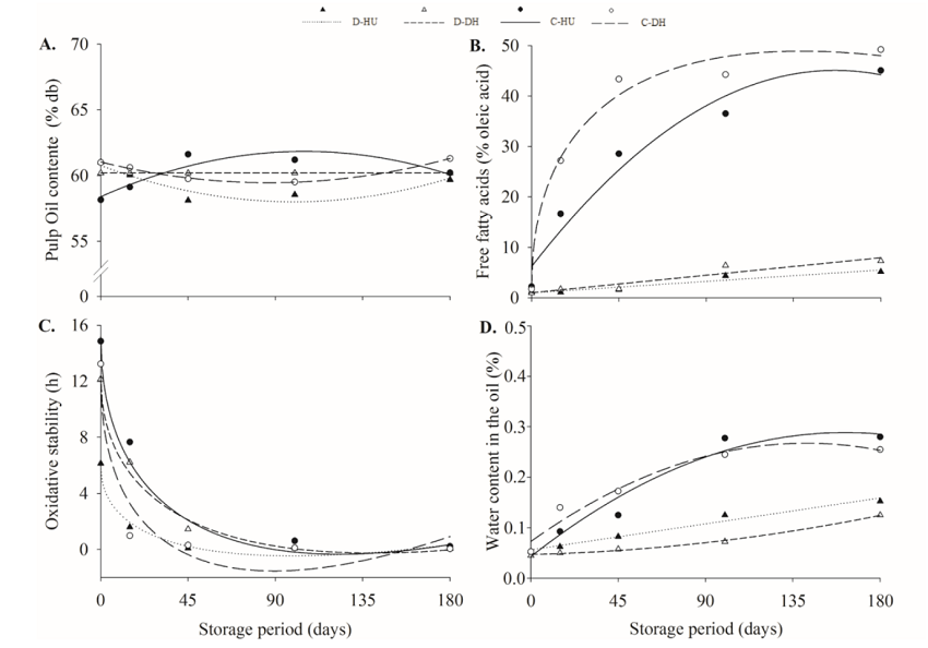
The average pulp OC of the fruits at PH0 was 47.12% (db), and at PH20, the content increased by approximately 11% (Table 2). Even after the treatments and throughout most of the storage sampling period, the OC values remained unaffected, ranging between 58.10% and 61.99% (db) (p > 0.05), regardless of the treatment (25 for control and 60°C for drying) and the fruit category (HU and DH) (Tables 3 and 4, Figure 2A).
The visual changes in the macauba fruit pulp for each of the treatments (C-HU and C-DH; D-HU and D-DH) and throughout the storage period are presented in Figure 1. The pulp color and visual symptoms of contamination by microorganisms differed among the treatments and throughout storage. For the C-DH fruit, pulp deterioration and microorganism infestation began earlier (15 days onward) than for the C-HU fruit (45 days onward). In contrast, fruits that underwent the drying treatment, regardless of the fruit category (D-HU and D-DH), maintained their visual qualities without exhibiting signs of deterioration or microorganism proliferation. However, the pulp from the D-HU fruits began to darken from 15 days onward.
| Variables | Sampling time | |
| PH0 | PH20 | |
| Oil content (% db)* | 47.12 ± 0.66** | 58.15 ± 0.41 |
| Free fatty acids in the oil (% oleic acid) | 0.8 ± 0.02 | 2.22 ± 0.59 |
| Oxidative stability of the oil (h) | 18.8 ± 0.30 | 14.85 ± 1.19 |
| Water content in the oil (%) | 0.16 ± 0.01 | 0.05 ± 0.01 |
| Variable | Treatment* | Adjusted equations | R2** | p*** |
| OC (% db) | D-HU |
| 0.83 | 0.05 |
| D-DH |
| - | - | |
| C-HU |
| 0.83 | 0.05 | |
| C-DH |
| 0.99 | 0.05 | |
| FFA (% oleic acid) | D-HU |
| 0.91 | 0.01 |
| D-DH |
| 0.89 | 0.01 | |
| C-HU |
| 0.95 | 0.05 | |
| C-DH |
| 0.98 | 0.05 | |
| OS (h) | D-HU |
| 0.98 | 0.01 |
| D-DH |
| 0.99 | 0.01 | |
| C-HU |
| 0.96 | 0.05 | |
| C-DH |
| 0.92 | 0.05 | |
| WCO (%) | D-HU |
| 0.97 | 0.01 |
| D-DH |
| 0.99 | 0.05 | |
| C-HU |
| 0.95 | 0.05 | |
| C-DH |
| 0.95 | 0.05 |
| Variable | Storage period | 0 | 15 | 45 | 100 | 180 | |||||
| Treatment* | HU | DH | HU | DH | HU | DH | HU | DH | HU | DH | |
| OC (% db) | Drying | 61.01Aa** | 60.37Aa | 60.05Aa | 61.99Aa | 58.10Ab | 59.13Aa | 59.56Aa | 59.56Aa | 59.68Aa | 59.92Aa |
| Control | 58.15Aa | 60.99Aa | 59.13Aa | 60.60Aa | 61.61Aa | 59.75Aa | 61.19Aa | 59.51Aa | 60.21Aa | 61.29Aa | |
| FFA (% oleic acid) | Drying | 1.21Aa | 0.93Aa | 1.11Ab | 1.72Ab | 1.59Ab | 1.76Ab | 4.36Ab | 6.41Ab | 5.17Ab | 7.31Ab |
| Control | 2.22Aa | 1.73Aa | 16.64Ba | 27.20Aa | 28.55Ba | 43.34Aa | 36.52Ba | 44.25Aa | 45.04Aa | 49.20Aa | |
| OS (hour) | Drying | 6.13Bb | 12.15Aa | 1.59Bb | 6.22Aa | 0.08Ba | 1.44Aa | 0.08Aa | 0.08Aa | 0.09Aa | 0.04Aa |
| Control | 14.85Aa | 13.23Ba | 7.66Aa | 0.98Bb | 0.30Aa | 0.30Ab | 0.61Aa | 0.11Aa | 0.22Aa | 0.04Aa | |
| WCO (%) | Drying | 0.05Aa | 0.05Aa | 0.06Aa | 0.05Ab | 0.08Aa | 0.05Ab | 0.12Ab | 0.07Ab | 0.15Ab | 0.12Ab |
| Control | 0.05Aa | 0.05Aa | 0.09Ba | 0.14Aa | 0.12Ba | 0.17Aa | 0.27Aa | 0.24Aa | 0.28Aa | 0.25Aa | |


The content of FFA in the pulp oil at PH0 was on average approximately 0.8 but increased to 2.22% at PH20 (Table 2). The FFA was not affected (p > 0.05) by the fruit category (HU, DH) in the drying treatment for the different storage periods (Table 3). However, in the control treatment, there were differences in the FFA between the HU and DH fruits for all storage periods (p < 0.05), except for at 0 and 180 days of storage. The D-HU and D-DH fruits exhibited lower mean FFA values (p < 0.05) than the C-HU and C-DH fruits for the different storage periods, except at 0 days of storage. For 0, 15, and 45 days of storage, the average FFA values remained below 1.88% for the drying treatment.
With increasing storage time, the FFA increased in the pulp oil from the fruits of all treatments (C-HU, C-DH and D-HU, D-DH) (Table 4, Figure 2B). However, this increase was more pronounced for the control treatment compared to the drying treatment, regardless of the fruit category.
The average OS of the pulp oil of the freshly harvested fruits was 18.8 hours, and by the end of the 20-day resting period, it decreased to 14.4 hours (Table 2). The OS of the macauba pulp oil from both the control and drying treatments was affected (p < 0.05) by the fruit category (HU and DH) during the storage period, except for 100 and 180 days of storage (Table 3). For the HU fruits, the average OS values differed (p < 0.05) between the drying and control treatments in the storage periods of 0 and 15 days, while for the DH fruits, this difference in OS (p < 0.05) appeared at 15 and 45 days of storage.
With increasing storage time, the oil OS decreased in the fruits from all treatments (C-HU, C-DH and D-HU, D-DH). After 15 days of storage, only fruits from the C-HU and D-DH treatments showed average OS values greater than six hours. From 45 days onward, all treatments showed average OS values near zero (Table 4, Figure 2C).
The WCO was not affected (p > 0.05) by the drying temperature treatments regardless of the fruit category (HU and DH) and storage period (Table 3). In the control treatment, there was a difference in the mean WCO values (p < 0.05) regarding the fruit category at 15 and 45 days of storage. For the HU fruits, the WCO was affected (p > 0.05) by the drying temperature treatments only at 100 and 180 days of storage; for the DH fruits, significant differences (p < 0.05) were observed between the drying and control treatments for most of the storage times, except 0 days.
In all treatments (C-HU, C-DH, and D-HU, D-DH), the WCO increased with increasing storage time, with the highest average values observed for the fruits from the control treatment and after 180 days of storage (Table 4, Figure 2D). For all storage periods, fruits from the D-DH treatment had lower average WCO values in relation to fruits from the other treatments, although it was the only treatment that showed average WCO values ≤ 0.05% for up to 45 days of storage.
In all selected cases that were analyzed, i.e., IC and at 0 and 180 days of storage, unsaturated fatty acids were predominant in the pulp oil composition (Table 5). The content of unsaturated fatty acids ranged from 70 to 76% of the total fatty acids present in the oil. Oleic (C18:1), palmitic (C16:0) and linoleic (C18:2) acids were the predominant fatty acids in all samples. However, oleic acid accounted for more than 58% of the total unsaturated fatty acids present. Regardless of the treatment used, the percentage of oleic acid varied between 58.26 and 65.51%.
Discussion
The freshly harvested macauba fruits had high moisture content (~40%). High water content in oily fruits is a major concern, as it is associated with high oil extraction costs (Ciconini et al., 2013) and creates favorable conditions for microorganisms to develop. The lower moisture content was observed in the DH macauba fruits, even before they were submitted to the drying treatment, because the husk retains a certain amount of water. Thus, the removal of this fraction of the fruit possibly affected the moisture readings in relation to the HU fruits. As the outer layer, the husk is the fruit’s natural barrier to water loss during artificial drying processes (Bennamoun, Khama, & Léonard, 2015). Hence, the HU fruits required a longer drying time to reach the desired moisture content of 10% than the DH fruits at the same temperature of 60°C Likewise, Tippayawong, Tantakitti, Thavornun, and Peerawanitkul (2009) reported that Dimocarpus longan intact fruits required longer drying times than fruits without the husk. The fruit of D. longan, similar to the macauba fruit, is spherical (??1.5 - 2.5 cm) with a fleshy pulp and a coriaceous husk.
The high degree of infestation and spoilage observed in the macauba fruit in the control treatment (25°C), regardless of the fruit category (husked and dehusked), is possibly the result of the fruits’ high moisture content (~40%) by the time the storage began. As mentioned before, microorganisms thrive under such conditions, and fruit damage is unavoidable. Similar results were observed when oil palm fruits with high water contents were stored (Ali, Shamsudin, & Yunus, 2014). Evaristo et al. (2016b), studying the conditions of harvest and postharvest of macauba fruits, observed a varied microbiota in the fruit mesocarp. According to these same authors, the proportions of the microorganisms in the mesocarp were 45.2 yeast, 32.6 bacteria and 22.2% fungi. Drying is intended to maintain product quality and minimize loss during storage (Kumar & Kalita, 2017). Therefore, the drying treatment of macauba fruit at 60°C, regardless of the presence of the husk, was effective in lowering the moisture content during storage, prolonging the qualities of the fruits for industrial use (up to 180 days).
The extra oil accumulation observed in the pulp of the untreated macauba fruits after 20 days of resting at 25°C is in agreement with Evaristo et al. (2016b), who described an increase in OC followed by a trend for stabilization when the mature macauba fruits were stored at ambient temperature. This increase in OC during the postharvest period is probably due to the interconversion of reserves during storage, a typical phenomenon of climacteric fruits (Chitarra & Chitarra, 2005). However, over the storage period, no OC increase was observed in any of the treatments (C-HU, C-DH, and D-HU, D-DH). The average pulp OC values of the macauba fruit for all treatments were within the range reported for palm oil fruit, i.e., approximately 56-70% oil (db) (Mba, Dumont, & Ngadi, 2015). Our results demonstrate the high oil yield of macauba and confirm the suitability of the species as a feedstock for biodiesel production.
The pulp oil FFA of the freshly harvested (PH0) macauba fruits was very low. A similar result (FFA ~1.1% oleic acid) was observed for the crude oil content of freshly harvested macauba fruit (Nunes et al., 2015). The considerable increase in the FFA over the storage period observed in the macauba fruits submitted to the C-HU and C-DH treatments could be linked to the high moisture content of the fruits (and also in the pulp oil). Under such circumstances, fruit infestation by microorganisms is unstoppable, as clearly shown in Figure 1. According to Ali et al. (2014), microbial outbreaks favor oil hydrolysis and thus increase the free fatty acid content of the oil palm. Evaristo et al. (2016b) also found a high FFA in the macauba pulp oil of fruits stored without any previous treatment. The authors postulated that this result was due to the synergism of lipase activity from both the fruit pulp and the microorganisms. Therefore, in the present study, the high FFA observed in the pulp oil from the macauba fruits of the control treatment can be explained by the intense outbreak of microorganisms during storage.
The FFA (~1.5%) in the macauba fruits submitted to the drying treatment, regardless of the presence of the husk and stored up to 45 days, was similar to the values found in the pulp oil of oil palm fruit previously submitted to air drying (Tan, Ghazali, Kuntom, Tan, & Ariffin, 2009). According to these authors, the lipase activity is enhanced in the presence of water, leading to an increase in FFA in the oil. Upon dehydration by artificial drying, lipase activity is reduced, and hence, low levels of FFA are observed. This argument may explain the low FFA values found in the pulp oil of macauba fruits submitted to 60°C, which, through the removal of excess water from the pulp, may have diminished the lipase activity.
Furthermore, the FFA observed in the oil of the fruits from the D-HU and D-DH treatments stored up to 45 days were within the range of values established for the production of biodiesel through alkaline transesterification (≤ 3% FAA) (Meher et al., 2006). In Brazil, according to the standard of the National Petroleum Agency (ANP), the acidity limit for biodiesel is 0.5 mg KOH g-1 (1.88%) (Agência Nacional do Petróleo, Gás Natural e Biocombustíveis[ANP], 2008). Therefore, the storage of macauba fruit for up to 45 days after the drying process at 60°C is effective in maintaining the FFA for biodiesel production purposes.
| Fatty acid profile (%) | Sampling occasion | ||||||||
| IC | 0 day of storage | 180 day of storage | |||||||
| D-HU | C-HU | D-DH | C-DH | D-HU | C-HU | D-DH | C-DH | ||
| Palmitic acid (16:0) | 17.12 ± 1.27* | 20.29 ± 0.44 | 22.58 ± 1.31 | 19.37 ± 0.16 | 21.57 ± 0.93 | 21.24 ± 1.59 | 19.43 ± 0.14 | 21.35 ± 1.31 | 19.66 ± 0.88 |
| Palmitoleic acid (16:1) | 1.42 ± 0.38 | 1.98 ± 0.16 | 2.58 ± 0.25 | 1.95 ± 0.06 | 2.39 ± 0.16 | 1.65 ± 0.07 | 1.56 ± 0.05 | 1.95 ± 0.02 | 1.61 ± 0.12 |
| Stearic acid (18:0) | 6.74 ± 0.50 | 6.25 ± 0.39 | 5.09 ± 0.34 | 6.04 ± 0.13 | 6.22 ± 0.27 | 7.79 ± 0.31 | 6.61 ± 0.02 | 6.58 ± 0.27 | 6.32 ± 0.43 |
| Oleic acid (18:1) | 61.53 ± 2.00 | 58.56 ± 1.27 | 60.90 ± 2.17 | 58.76 ± 0.23 | 58.26 ± 0.99 | 62.51 ± 0.99 | 64.86 ± 0.29 | 61.57 ± 0.64 | 65.51 ± 0.88 |
| Linoleic acid (18:2) | 10.70 ± 1.67 | 9.72 ± 0.55 | 6.86 ± 1.02 | 10.66 ± 0.19 | 8.11 ± 0.27 | 5.67 ± 1.00 | 6.66 ± 0.09 | 7.21 ± 1.02 | 6.11 ± 0.50 |
| Linoleic acid (18:3) | 1.32 ± 0.19 | 1.03 ± 0.19 | 0.90 ± 0.09 | 1.14 ± 0.03 | 0.96 ± 0.02 | 0.69 ± 0.11 | 0.69 ± 0.01 | 0.70 ± 0.13 | 0.65 ± 0.01 |
| Docosadienoic acid (22:2) | 1.14 ± 0.49 | 2.13 ± 0.64 | 1.06 ± 0.30 | 2.05 ± 0.24 | 2.45 ± 0.12 | 0.42 ± 0.09 | 0.17 ± 0.03 | 0.60 ± 0.06 | 0.10 ± 0.01 |
The reduction in OS in the pulp oil of the macauba fruits from the D-HU and D-DH treatments likely occurred because the drying process increases the rate of oxidation and hydrolysis reactions, thus affecting the OS (Moretto & Fett, 1998). The OS values of the macauba fruits submitted to D-DH at 0 days of storage were close to those reported for oil palm (14.2 - 19.1 hour) (Hadi, Han, May, & Ngan, 2012). For the fruits submitted to the drying treatment, the higher OS values in the DH fruits compared to those in the HU fruits were likely observed because the DH fruits required less time to reach 10% moisture (Table 1).
The Brazilian and European standards for OS (Comité Europeu de Normalização[CEN], 2003; ANP, 2008) have established an induction period of at least 6 hours for biodiesel. Our results indicate that it is possible to maintain macauba pulp oil quality at acceptable OS levels for up to 35 days (20 days resting at 25°C + 15 days after D-DH treatment). According to Bouaid, Martinez, and Aracil (2007), the resistance of oil to oxidative degradation during storage is an important issue for the successful development and viability of alternative fuels. Our findings show that macauba palm can be a reliable oil source for biodiesel production and that husk removal followed by air drying the fruits ensures oil quality.
The high water content in the pulp oil (WCO) of the macauba fruit from the C-HU and C-DH treatments, which was observed throughout the storage period, can be attributed to the intrinsic fruit characteristics in those treatments, i.e., high fruit moisture content and intense microbial infestation. Under such unfavorable conditions, oil degradation is inevitable because there is often an increase in the production of hydrophilic compounds, such as acids, alcohols, ketones, and short chain aldehydes, which allows for greater water absorption by the oil. The European and Brazilian standards (CEN, 2003; ANP, 2008) stipulate that the WCO should not be higher than 0.05%. The D-DH treatment had average WCO values near 0.05% for up to 45 days of storage. Thus, our results are within the acceptable range for biodiesel production.
Oleic acid was the major fatty acid found in the pulp oil from the macauba fruit submitted to both the drying and control treatments, revealing that the drying temperature of 60°C did not affect the fatty acid profile even after 180 days of fruit storage. Similar results for macauba pulp oil were reported by Michelin et al. (2015), who found higher proportions of oleic acid (58%), palmitic acid (22.2%) and linoleic acid (9.7%). According to César et al. (2015), the high-oleic profile of macauba pulp oil is a desirable trait for the production of biodiesel.
Conclusion
The process of air drying mature macauba fruits at 60°C was efficient to maintain low levels of pulp oil acidity during storage (180 days). Furthermore, the removal of the husk considerably reduced the required drying time when compared to that required by the husked fruits. Dehusking the macauba fruits before drying preserved the oxidative stability of the oil for up to 15 days of storage for biodiesel production purposes. Therefore, the drying technique with concomitant husk removal can be a viable postharvest alternative for maintaining the quality of macauba fruit oil.
Acknowledgements
This work was supported by the Brazilian agencies the National Council for Scientific and Technological Development (CNPq) and the Higher Level Personnel Improvement Coordination (Capes) and by the Department of Plant Science at the Federal University of Viçosa (UFV)
References
Abreu, A. G., Priolli, R. H. G., Azevedo-Filho, J. A., Nucci, S. M., Zucchi, M. I., Coelho, R. M., & Colombo, C. A. (2012). The genetic structure and mating system of Acrocomia aculeata (Arecaceae). Genetics and Molecular Biology, 35(1), 116-121. DOI: 10.1590/S1415-47572012005000002
Agência Nacional do Petróleo, Gás Natural e Biocombustíveis [ANP]. (2008). ANP number 7 biodiesel standard. Retrieved from http://legislacao.anp.gov.br/?path=legislacao-anp/resol-anp/2008/marco&item=ranp-7--2008
Ali, F. S., Shamsudin, R., & Yunus, R. (2014). The effect of storage time of chopped oil palm fruit bunches on the palm oil quality. Agriculture and Agricultural Science Procedia, 2, 165-172. DOI: 10.1016/j.aaspro.2014.11.024
Association of Official Analytical Chemists [AOAC]. (2005). Official Methods of Analysis of the Association of Official Analytical Chemists. Gaithersburg, ML: AOAC.
Bennamoun, L., Khama, R., & Léonard, A. (2015). Convective drying of a single cherry tomato: Modeling and experimental study. Food and Bioproducts Processing, 94, 114-123. DOI: 10.1016/j.fbp.2015.02.006
Bouaid, A., Martinez, M., & Aracil, J. (2007). Long storage stability of biodiesel from vegetable and used frying oils. Fuel, 86(16), 2596-2602. DOI: 10.1016/j.fuel.2007.02.014
Brasil. (2009). Regras para análise de sementes. Brasília, DF: APA.
César, A. S., Almeida, F. A., Souza, R. P., Silva, G. C., & Atabani, A. E. (2015). The prospects of using Acrocomia aculeata (macaúba) a non-edible biodiesel feedstock in Brazil. Renewable and Sustainable Energy Reviews, 49, 1213-1220. DOI: 10.1016/j.rser.2015.04.125
Chitarra, M. I., & Chitarra, A. B. (2005).Pós-colheita de frutos e Hortaliças: fisiologia e manuseio (2a ed.). Lavras, MG: UFLA.
Ciconini, G., Favaro, P. A., Roscoe, R., Miranda, C. H. B., Tapet, C. F., Miyahira, M., ... Naka, M. K. (2013). Biometry and oil contents of Acrocomia aculeata fruits from the Cerrados and Pantanal biomes in Mato Grosso do Sul, Brazil. Industrial Crops and Products, 45, 208-214. DOI: 10.1016/j.indcrop.2012.12.008
Comité Europeu de Normalização [CEN]. (2003). EN 14214 - biodiesel standard. Brussels, BE: CEN.
Evaristo, A. B., Grossi, A. S., Pimentel, L. D., Goulart, S. M., Martins, D. A., Santos, V. L., & Motoike, S. (2016b). Harvest and post-harvest conditions influencing macauba (Acrocomia aculeata) oil quality atributes. Industrial Crops and Products , 85, 63-73. DOI: 10.1016/j.indcrop.2016.02.052
Evaristo, A. B., Grossi, J. A. S., Carneiro, A. D. C. O., Pimentel, D. L., Motoike, S. Y., & Kuki, K. N. (2016a). Actual and putative potentials of macauba palm as feedstock for solid biofuel production from residues. Biomass and Bioenergy, 85, 18-24. DOI: 10.1016/j.biombioe.2015.11.024
Hadi, N. A., Han, N. M., May, C. Y., & Ngan, M. A. H. (2012). Dry heating of palm fruits: effect on selected parameters. American Journal of Engineering and Applied Sciences, 5(2), 128-131. DOI: 10.3844/ajeassp.2012.128.131
Iha, O. K., Alves, F. C., Suarez, P. A., Oliveira, M. B. F., Meneghetti, S. M. P., Santos, B. P. T., & Soletti, J. L. (2014). Physicochemical properties of Syagrus coronata and Acrocomia aculeata oils for biofuel production. Industrial Crops and Products , 62, 318-322. DOI: 10.1016/j.indcrop.2014.09.003
International Energy Agency [IEA]. (2009). World energy outlook. Paris, FR: OECD/IEA.
Issariyakul, I., & Dalai, A. K. (2014). Biodiesel from vegetable oils. Renewable and Sustainable Energy Reviews , 31, 446-471. DOI: 10.1016/j.rser.2013.11.001
Kumar, C., Karim, M. A., & Joardder, M. U. H. (2014). Intermittent drying of food products: A critical review. Journal of Food Engineering, 121, 48-57. DOI: 10.1016/j.jfoodeng.2013.08.014
Kumar, D., & Kalita, P. (2017). Reducing postharvest losses during storage of grain crops to strengthen food security in developing countries. Foods, 6(1), 1-22. DOI: 10.3390/foods6010008
Lopes, D. C., Steidle Neto, A. J. S., Mendes, A. A., & Pereira, D. T. V. (2013). Economic feasibility of biodiesel production from Macauba in Brazil. Energy Economics, 40, 819-824. DOI: 10.1016/j.eneco.2013.10.003
Marfil, P. H. M., Santos, E. M., & Telis, V. R. N. (2008). Ascorbic acid degradation kinetics in tomatoes at different drying conditions. LWT - Food Science and Technology, 41(9), 1642-1647. DOI: 10.1016/j.lwt.2007.11.003
Mba, O. I., Dumont, M. J., & Ngadi, M. (2015). Palm oil: processing, characterization and utilization in the food industry-a review. Food Bioscience, 10, 26-41. DOI: 10.1016/j.fbio.2015.01.003
Meher, L. C., Sagar, D. V., & Naik, S. N. (2006). Technical aspects of biodiesel production by transesrification - a review. Renewable and Sustainable Energy Reviews , 10(3), 248-268. DOI: 10.1016/j.rser.2004.09.002
Michelin, S., Penha, F. M., Sychoski, M. M., Scherer, R. P., Treichel, H., Valério, A., ... Oliveira, J. V. (2015). Kinetics of ultrasound-assisted enzymatic biodiesel production from Macauba coconut oil. Renewable Energy, 76, 388-393. DOI: 10.1016/j.renene.2014.11.067
Montoya, S. G., Motoike, S. Y., Kuki, K. N., & Couto, A. D. (2016). Fruit development, growth, and stored reserves in macauba palm (Acrocomia aculeata), an alternative bioenergy crop. Planta, 244(4), 927-938. DOI: 10.1007/s00425-016-2558-7
Moretto, E., & Fett, R. (1998). Tecnologia de óleos e gorduras vegetais na indústria de alimentos. São Paulo, SP: Varela.
Nunes, A. A., Favaro, S. P., Galvani, F., & Miranda, C. H. (2015). Good practices of harvest and processing provide high quality Macauba pulp oil. European Journal of Lipid Science and Technology, 117(12), 2036-2043. DOI: 10.1002/ejlt.201400577
Rakopoulos, D. C., Rakopoulos, C. D., Giakoumis, E. G., Dimaratos, A. M., & Founti, M. A. (2011). Comparative environmental behavior of bus engine operating on blends of diesel fuel with four straight vegetable oils of Greek origin: Sunflower, cottonseed, corn and olive. Fuel , 90(11), 3439-3446. DOI: 10.1016/j.fuel.2011.06.009
Samadi, S. H., Ghobadian, B., Najafi, G., & Motevali, A. (2014). Potential saving in energy using combined heat and power technology for drying agricultural products (banana slices). Journal of the Saudi Society of Agricultural Sciences, 13(2), 174-182. DOI: 10.1016/j.jssas.2013.09.001
Tagoe, S. M. A., Dickinson, M. J., & Apetorgbor, M. M. (2012). Factors influencing quality of palm oil produced at the cottage industry level in Ghana. International Food Research Journal, 19(1), 271-278.
Talebian-Kiakalaieh, A., Amin, N. A. S., & Mazaheri, H. (2013). Review on novel processes of biodiesel production from waste cooking oil. Applied Energy, 104, 683-710. DOI: 10.1016/j.apenergy.2012.11.061
Tan, C. H., Ghazali, H. M., Kuntom, A., Tan, C. P., & Ariffin, A. A. (2009). Extraction and physicochemical properties of low free fatty acid crude palm oil. Food Chemistry, 113(2), 645-650. DOI: 10.1016/j.foodchem.2008.07.052
Tippayawong, N., Tantakitti, C., Thavornun, S., & Peerawanitkul, V. (2009). Energy conservation in drying of peeled longan by forced convection and hot air recirculation. Biosystems Engineering, 104(2), 199-204. DOI: 10.1016/j.biosystemseng.2009.06.018
United States Department of Agriculture [USDA]. (2015). Oilseeds: world markets and trade. Washington, DC: USDA.
Author notes
*Author for correspondence. E-mail: gutierres.silva@ifma.edu.br