CROP PROTECTION
Silicon slag increases melon growth and resistance to bacterial fruit blotch
Silicon slag increases melon growth and resistance to bacterial fruit blotch
Acta Scientiarum. Agronomy, vol. 43, e45075, 2021
Editora da Universidade Estadual de Maringá - EDUEM
Received: 23 October 2018
Accepted: 18 October 2019
ABSTRACT: Melon bacterial fruit blotch (BFB) is the major bacterial melon disease in Northeastern Brazil. We evaluated the effects of applying a silicon (Si) slag on BFB suppressiveness in two melons cultivars as well as in soil chemical attributes and plant growth and nutrition. Slag was incorporated into the soil at concentrations equivalent to 0.00, 0.12, 0.24, 0.47, 0.71, and 1.41 g kg-1 of silicon. Plants were inoculated with Acidovorax citrulli 20 days after emergence. Results showed that amending the soil with Si slag improved the resistance of two melon cultivars against bacterial fruit blotch. Such an effect is probably related not only to the Si uptake by plants but also to changes in soil characteristics and improvement in plant nutrition. Both hybrid cultivars (AF4945 and Medellín) increased biomass, nutrient and Si accumulation as a function of Si doses applied to soil. According to Si concentration and Si to Ca ratio in plant tissue, both cultivars are regarded as intermediary Si-accumulators. We also observed that an intermediate dose of Si (0.71 g kg-1) posed better results on controlling melon bacterial fruit blotch than the highest dose tested. Long-term, field experiments testing Si slag rates and effects on melon yields are warranted.
Keywords: plant pathology, soil chemistry, plant protection, calcium silicates.
Introduction
Brazil is the third largest fruit producer in the world, with yield of 38 million tons grown in roughly 2.5 million hectares. The production of melon (Cucumis melo L.), which is the main fresh fruit exported by the country increased 14.4% between 2015 and 2016, reaching over 23,000 ha and posing an estimated production of 596,000 tons. Melon is grown all around the country, but over 90% of the production lies in the Northeast region, especially in the states of Rio Grande do Norte and Ceará (IBGE, 2016).
Melon is susceptible to various diseases that can cause economic damage by reducing fruit quality and/or quantity. Bacterial fruit blotch (BFB) caused by Acidovorax citrulli (Schaad, Sowell Jr., Goth, Colwell, & Webb, 1978) is the main bacterial disease affecting melon fields in Northeastern Brazil. The disease occurs mainly in the rainy season, causing 40 to 50% in losses and even total yield losses in some growing areas. The primary method for controlling BFB is the use of copper-based defensives or antibiotics (Silva et al., 2016). However, according to Burdman and Walcott (2012) seed disinfestations treatments and chemical control show low efficiency in the field to reduce yield losses associated with BFB. Crop rotation, Biological Control using antagonistic, avoidance of planting in the rainy season as well as eradication of crop residues, wild cucurbit and volunteer hosts are also recommended as control methods (Souza Filho, Oliveira, Preston, Silva, & Carvalho, 2016; Horuz & Aysan, 2018). A practical alternative is to manage mineral nutrition in order to increase disease resistance in melons. For instance, silicon (Si) stands out among mineral elements for its ability to reduce the severity of a number of important plant diseases (Santos, Rodrigues, Bonifacio, Chagas Junior, & Tschoeke, 2014; Pozza, Pozza, & Botelho, 2015).
The effect of Si on plant disease control, its mode of action and its effect on various plant pathosystems are still poorly understood. There are several studies showing that Si applied to soil, in foliar application or in nutrient solution has significantly contributed to ameliorate the severity of various economically important crop diseases (Resende, Rodrigues, Soares, & Casela, 2009; Silva et al., 2010). Studies on the use of Si to disease control began with monocotyledons as they absorb large amounts of this element. For instance, rice diseases might be efficiently controlled by supplying Si via both soil or nutrition solution (Schurt et al., 2012).
Si-accumulators are plants that accumulate more than 1% Si and show a Si/Ca mole ratio higher than 1 in their aerial parts. Plants containing 0.5 - 1% Si in the dry matter but show less than 1 Si/Ca ratio are defined as intermediary; for their turn, plants that accumulate less than 0.5% Si are named non-accumulators (Ma & Yamaji, 2015). The interest in pathosystems involving dicotyledon plants has increased since the middle of the last century and has focused mainly on powdery mildew on cucumbers and bacterial wilt in tomatoes (Ayana, Fininsa, Ahmed, & Wydra, 2011; Andrade et al., 2013; Anjos, Tebaldi, Mota, & Coelho, 2014; Sakr, 2016; Suthaparan, Solhaug, Stensvand, & Gislerød, 2017).
The beneficial effect of increased Si-induced or mediated resistance has been primarily reported for resistance against fungal pathogens in plants that accumulate Si, such as summer squash, rice and wheat (Júnior, Fontes, & Ávila, 2009; Silva et al., 2010; Ramos et al., 2013). Non-accumulators and intermediary-accumulating plants have deserved less attention in pathosystems involving bacteria. So, effects of Si in such plant species need to be more explored.
The slag from steelmaking industries originates from the production of steel and pig iron and are constituted basically for calcium and magnesium silicates. As long as they do not present heavy metal concentrations high enough to contaminate the soil, they can safely be used as a Si fertilizer/conditioner. The main characteristics of a proper Si amendment to soils are high content of soluble Si; easy mechanical application; adequately ratio of calcium (Ca) and magnesium (Mg); low cost; and low potential of soil contamination (Sobral et al., 2011). Given the hypotheses that Si applied in the soil is capable of reducing the intensity of bacterial fruit blotch in melon, the objective of this study was to assess the changes induced by Si in the resistance of two melon cultivars supplied with a Si slag as well as in chemical soil attributes, growth and nutrition of plants grown in greenhouse conditions.
Material and methods
The soil type used in the experiments was a Typic Quartzipisamment collected from Fazenda Agrícola Famosa in the city of Icapuí, Ceará State, Brazil. The soil chemical and physical characteristics were as follows: pH = 5.65; (H+Al) = 2.934 cmolc dm-3; Al3+ = 0.10 cmolc dm-3; Na+ = 0.76 cmolc dm-3; K+ = 0.22 cmolc dm-3; Ca2+ = 2.10 cmolc dm-3; Mg2+ = 1.5 cmolc dm-3; P = 136 mg dm- 3; N = 0.04 g kg-1; V% = 61; MO = 6.86 g kg-1; Cu = 2.5 mg kg-1;Fe = 23.95 mg kg-1; Mn = 27.7 mg kg-1; Zn = 12,7 mg kg-1; Cd = 1,68 mg kg-1; Pb = 1,80 mg kg-1; Clay = 8,5 g kg-1; Silt = 0,5 g kg-1; Sand = 91 g kg-1; Density = 1,56 g cm-3. The concentration of available Si extracted in acetic acid (HC2H3O2) 0.5 mol L-1 was 17.8 mg kg-1. The source of Si utilized was a slag from a steelmaking industry. This material was chemically characterized (EMBRAPA, 2009) and had its Si content determined (Korndörfer, Pereira, & Nolla, 2004). The slag was digested by the method EPA 3052 (USEPA, 1996) for the determination of heavy metals (Table 1).

The slag was incorporated into soil pots in doses equivalent to 0.00, 0.12, 0.24, 0.47, 0.71, and 1.41 g of Si kg-1of soil based on the concentration of available Si. Mineral supplementation with macronutrients and micronutrients was carried out according to the nutritional requirements of the crop. Calcium and Magnesium in all applied concentrations were normalized with calcium and magnesium carbonate (Sigma-Aldrich, USA) so that the only source of variation was the Si amendment. For each pot, 5 dm3 of soil was incubated for 25 days at field capacity.
Seeds of melon varieties yellow (hybrid AF 4945) and Pele de Sapo (hybrid Medellín), were sown in plastic trays containing Plantmax® potting medium. Seedlings at 5 days after emergence were transplanted to the pots after soil incubation (two seedlings per pot).
The A. citrulli (isolate Aac1) used in this study was obtained from Phytobacteria Culture Collection of the Biological Institute in the city of Baraúna (Rio Grande do Norte State) and identified using the primers WFB1 and WFB2. The isolate Aac1 also was characterized in relation to other isolates obtained from cucurbit hosts by Walcott, Fessehaie, and Castro (2004) (=AAC201-21) and belongs to the haplotype F, group I of Walcott. This strain was previously preserved in cryogenic vials containing sterilized tap water at room temperature 25±2ºC. The pathogen was grown in Petri dishes containing nutrient-yeast extract-dextrose agar (NYDA) (dextrose 10 g, meat extract 3 g, yeast extract 5 g, agar 18 g L-1) at 30ºC for 48 hours. Then, a suspension was prepared in distilled water and adjusted using a spectrophotometer (Metronic M3) to an A580 = 0.25 that corresponds to a concentration of 3.4 x 107 colony forming units (CFU) mL-1. The bacterial suspension was treated with Tween 20 (0.05%). Plants at 20 days after the emergence were inoculated with 20 mL of this suspension by spraying the leaves until runoff. Plants sprayed with only sterile distilled water served as a control.
Plants were placed in moist chambers consisting of previously humidified transparent plastic bags 24 hours before and after inoculation. During trial, pots were kept at 80% water retention capacity through daily weighing and irrigation to make up for water lost by evapotranspiration. The experimental design was completely randomized in a factorial arrangement (6 x 2) representing six Si doses and with (+Ac) and without (-Ac) inoculation. Each treatment consisted of five replications made up of a pot with two plants.
After inoculation, five leaves from each plant were evaluated daily for disease incidence and for 20 days at 4-day intervals for disease severity. The following components of melon resistance to BFB were observed: a) incubation period, scored by the number of days between inoculation and the appearance of disease symptoms; b) disease severity, estimated based on a scale of 0 to 6 and adapted from the diagrammatic scale used to determine severity of cucumber net spot caused by Leandria momordicae (Azevedo, 1997), where 0 = no symptoms, 1 = 1 to 5% of leaf area infected, 2 = 6 to 12% of leaf area infected, 3 = 13 to 37% of leaf area infected, 4 = 38 to 62% of leaf area infected, 5 = 63 to 87% of leaf area infected, and 6 = 88 to 100% of leaf area infected; c) disease index 20 days after inoculation, calculated according to McKinney (1923); d) area under disease progress curve, calculated based on five evaluations of disease severity according to Shaner and Finney (1977); and e) disease incidence, calculated by the percentage of leaves with symptoms per treatment 20 days after inoculation.
After soil incubation and before the melon seedlings were transplanted, soil samples were taken from each treatment and chemical analyses were carried out. The following parameters were measured: pH in water (1:2.5), N, P, K+, Na+, Ca2+, Mg2+, Al3+, (H+Al) (EMBRAPA, 2009), and Si (Korndörfer et al., 2004). Available Cu, Zn, Mn, Fe, Cd, and Pb were extracted by Mehlich-1extractant composed of two dilute acids: 0.05M HCl and 0.0125M H2SO4. Si and P were determined by colorimetry, Cu, Zn, Mn, Fe, Cd, and Pb by atomic absorption spectrophotometry, Na and K by flame photometry, and Ca, Mg, N, Al, and (H+Al) by titration.
At 45 days after planting, the height of the plants inoculated with A. citrulli was measured. The plants were then harvested, separated into leaves and roots to determine the fresh biomass. Subsequently, leaves and roots were washed in distilled water to eliminate soil, then packed in paper bags and placed in an incubator for 72h at 65°C for drying for dry biomass determination.
Melon leaves and roots were dried for 72h at 65°C and ground in a Willey-type mill (Tecnal TE-648). Afterwards the plant material was digested by the EPA 3051A method (USEPA, 2007), and the concentration of N, P, K, Ca, Mg, Cu, Zn, Mn, Fe, Cd, and Pb was determined. Si accumulation in the roots and shoots was also determined as previously described.
The experimental design was completely randomized with six Si doses and five replicates in Petri dishes with four filter paper disks. Evaluations were performed after 24, 36, and 48h of incubation by observing the presence of halos indicating bacterial growth inhibition. The experiment was repeated once. Cochran’s test for homogeneity of variance indicated that the data from the two experiments could be pooled for data analysis. Data were analyzed by analysis of variance (ANOVA) and polynomial regression procedures where appropriate using the software SAEG 5.0.
Results
There was a significant effect (p ≤ 0.05) of Si rates on the components of melon resistance to BFB (Figure 1). The application of 0.71 g kg-1 of Si significantly delayed the appearance of the first BFB symptoms in two and one day in the hybrid plants AF 4945 e Medellín, respectively (Figure 1A). There was no difference between treatments regarding disease incidence. The first symptoms of BFP were small water-soaked lesions that became necrotic and often surrounded by a chlorotic halo. The lesions frequently became confluent and covered 100% of the foliar area in the control plants. Although all doses promoted significant reductions in the area under disease progress curve and disease index (p ≤ 0.05), the intermediary dose 0.71 g kg-1 of Si promoted the maximum reductions (38%; 39%) and (38%; 37%) in these parameters in both hybrids, AF4945 and Medellín, respectively (Figure 1B and C). Re-isolations were made from BFB lesions, and the identity of A. citrulli was confirmed by PCR with the primers WFB1 and WFB2.

The higher the dose of Si the higher the pH (p ≤ 0.05). The intermediary dose (0.71 g kg-1 of Si) promoted a significant increment of pH from 5.18 to 5.88 (Figure 2A). The higher availability of Ca + Mg (6.10 cmolc dm-3) was observed at the dose 0.71 g kg-1 of Si; this means an 131% increase in the level of Ca + Mg in the soil (Figure 2B). In addition, the concentration of Si was significantly elevated from 8.95 mg kg-1 to 70.71 and 189.01 mg kg-1 with the application of the doses 0.71 and 1.41 g kg-1 of Si (Figure 2C). The potential acidity (H+Al) was reduced in 15 and 36% when the doses 0.71 an 1.41 g of Si were applied in the soil. (H+Al) was reduced from 2.89 cmolc dm-3 to 2.46 and 1.85 cmolc dm-3 while the Al3+ was completely neutralized with the higher dose (1.41 g kg-1 of Si) (Figure 2D and E).

The levels of the micronutrients Cu, Fe, Mn, and Zn were significantly elevated by the doses 0.71 and 1.41 g kg-1 of Si (p ≤ 0.05). However, the maximum increment of these elements were obtained with the application of that lowest Si rate, which was 24, 781, 147, and 122%, comparing to the control (Figure 3A, B, C, and D, respectively). Cadmium and Pb were also significantly elevated (p ≤ 0.05) by slag addition to soils; increasing from 1.66 and 1.76 to 1.72 and 5.49 mg kg-1, respectively (Figure 4A and B). It is important to point out that such Cd and Pb concentrations in soils are much lower than these metals permissible levels to agricultural soils (Conama, 2009).


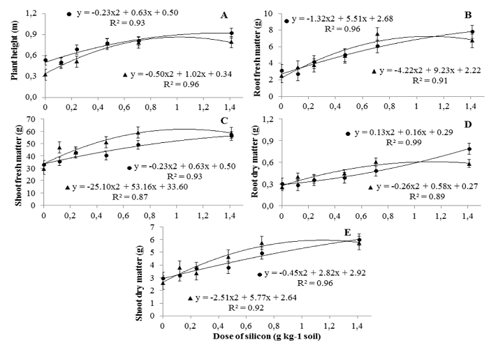
The application of slag in the soil increased the growth parameters and biomass of both melon hybrids studied. Significant (p ≤ 0.05) increment in height, roots fresh matter (RFM), shoot fresh matter (SFM), roots dry matter (RDM), and shoot dry mass (SDM) were observed. The intermediary doses 0.71 and 1.41g kg-1 of Si driven the best responses in plants development (Figure 5). The plants’ height, RFM, SFM, RDM, and SDM of the hybrid AF4945 were elevated in 53 and 73%, 96 and 154%, 49 and 71%, 58 and 155%, and 67 and 102% when the doses 0.71 and 1.41g kg-1 of Si where applied (Figure 5A, B, C, D, and E, respectively). The dose 0.71g kg-1 of Si promoted the highest significant (p ≤ 0.05) increments to the Medellín plants, which the height, RFM, SFM, RDM, and SDM were elevated in 144, 204, 101, 135, and 121%, respectively (Figure 5A, B, C, D, and E).
Regarding nutrient and Si accumulation, the melon cultivars behaved differently. The AF4945 hybrid preferentially accumulated N, K, Ca, and Cu (p ≤ 0.05) (Figure 6A, B, C, and E) while plants of the hybrid Medellín accumulated higher amounts of K, Ca, Cu, and Fe (Figure 6B, C, E, and F) when the intermediary dose of 0.71 g kg-1 Si was applied.


The concentration of Si accumulated in roots of the AF4945 hybrid increased linearly (Figure 7A) whereas Si concentrations in the Medellín hybrid were only slightly increased by Si rates applied to soil (Figure 7B); actually, doses higher than 0.71 g kg-1 Si did not promote any increase of Si in the roots of the Medellín plants. On the other hand, the accumulation of Si in the shoots of both cultivars was adjusted to a quadratic model, indicating a tendency to stabilization in highest doses (Figure 7B and A).

Discussion
Although the application of the dose 0.71 g kg-1 Si slightly influenced the incubation period and delayed the appearing of disease symptoms, disease incidence was not affected. However, Si slag reduced the area under disease progress curve (38 and 39%) and the disease index (38 and 37%) on plants of the hybrids AF4945 and Medellín, respectively (Figure 1). Ferreira et al. (2015), studying the effect of different doses of calcium silicate applied in the soil for the same pathosystem, observed that the 1.41 g kg-1 Si dose reduced in 88.54% the disease index, in 85.34%, the area under disease progress curve and in 50% the disease incidence; they also found a change in the incubation period from 5.6 to 15.8 days. It is likely the differences in chemical composition and hence effects on soil characteristics and plant nutrition of the Si amendments (calcium silicate and Si slag) are responsible for the differences observed in the works.
Monocotyledons are known for uptaking high amounts of Si; that is the reason rice diseases, for instance can be efficiently controlled by supplying Si to rice plants. Melon, on the other hand, is a dicolyledon plant belonging to the Cucurbitaceae family and can accumulate only moderate concentrations of Si. Species such as soybean and cucumber, which present 0.5 to 1.0% of Si in the dry matter and a Si/Ca ratio lower than 1 are considered intermediary Si-accumulator plants (Tubana, Babu, & Datnoff, 2016). In the present study, the AF 4945 cultivar plants presented 0.7% of Si in dry matter and a Si/Ca ratio of 0.4%; Medellín plants presented very similar data, with 0.8% of Si in dry matter and a Si/Ca ratio of 0.5%. Therefore, our results allow for the classification of melon plants into the intermediary Si-accumulators group.
Silicon plays a role in signalizing biochemical chain reactions in roots related to plant defense mechanisms and can induce systemic resistance in other plant organs (Silva et al., 2010; Queiroz et al., 2018). The role of Si in inducing plant resistance has been related to the strengthening of plant cell walls, increasing of lignification, activation of specific mechanisms, phytoalexins production and synthesis of pathogenicity-related proteins (PR)-proteins (Silva et al., 2010; Gomes, Marchetti, Novelino, Mauad, & Alovisi, 2011; Schurt, Rodrigues, Colodette, & Carré-Missio, 2013; Ferraz et al., 2015).
Silicon slags as the one used in this experiment are composed of calcium silicates that are able to correct soil acidity and to neutralize exchangeable aluminum; they are also associated with increases of Si and nutrient availability in soil (Castro & Crusciol, 2013). As a result, the addition of the Si slag to soil resulted in decreased soil acidity and increased availability of Si and nutrients, especially N, K, Ca, Mg, Cu, and Fe (Figures 7B, 6A, B, C, D, E, and F). Indeed, such nutritional improvement should be taken in account as a contributing factor to the performance of Si-treated melon plants regarding development and tolerance to diseases (Ferreira et al., 2015).
It is well known that silicon fertilizers can influence plant development and growth and hence ameliorate biotic and abiotic stresses (Pilon-Smits, Quinn, Tapken, Malagoli, & Schiavon, 2009). For instance, Soltani, Kafi, Nezami, and Taghiyari (2018) reported increases of 18, 17, and 54% in leaf dry matter, stem diameter and root area (54%) of potato plants, which resulted in increased yield of tubers. Increasing doses of Si reduced the severity brown spot in rice plants from 20 to 2.4% while the mean incidence of panicle blast was reduced from 37 to 3.0%; such disease suppression resulted in a 25% yield increase compared to silicon unamended plants (Santos et al., 2011). Moreover, susceptible tomato plants treated with Si and inoculated with Ralstonia solanacearum nearly doubled the shoot dry matter in comparison with susceptible tomato plants non-treated with Si (Wang, Cai, Chen, & Wang, 2013).
We observed that melon plants of the hybrid AF 4945 amended with 0.71 g kg-1 Si posed increases in height (53%), RFM (96%), SFM (49%), RDM (58%), and SDM (67%) (Figure 5). However, at the same dose, plants of the hybrid Medellín presented higher increases for height (144%), RFM (204%), SFM (101%), RDM (135%), and SDM (121%). Consequently, Medellín plants are more responsive to Si amendments than the hybrid AF 4945. Field experiments should be carried out to assess how such a difference in response to Si slag between the cultivars can affect melon yields and diseases tolerance.
Conclusion
The data we obtained in the present work clearly demonstrate that amending the soil with Si slag improved the resistance of two melon cultivars against bacterial fruit blotch. Such an effect is probably related not only to the Si uptake by plants but also to changes in soil characteristics and improvement in plant nutrition. Both hybrid cultivars (AF4945 and Medellín) increased biomass, nutrient and Si accumulation as a function of Si doses applied to soil. According to Si concentration and Si to Ca ratio in plant tissue, both cultivars are regarded as intermediary Si-accumulators. We also observed that an intermediate dose of Si (0.71 g kg-1) posed better results on controlling melon bacterial fruit blotch than the highest dose tested. Long-term, field experiments testing Si slag rates and effects on melon yields are warranted.
Acknowledgements
The authors are thankful for the financial support from Coordination for the Improvement of Higher Education Personnel (CAPES) and The Brazilian National Council for Scientific and Technological Development (CNPq)
References
Andrade, C. C. L., Resende, R. S., Rodrigues, F. A., Ferraz, H. G. M., Moreira, W. R., Oliveira, J. R., & Mariano, R. L. R. (2013). Silicon reduces bacterial speck development on tomato leaves. Tropical Plant Pathology, 38(5), 436-442. DOI: 10.1590/S1982-56762013005000021
Anjos, T. V., Tebaldi, N. D., Mota, L. C. B. M., & Coelho, L. (2014). Silicate sources for the control of tomato bacterial spot (Xanthomonas spp.). Summa Phytopathologica, 40(4), 365-367. DOI: 10.1590/0100-5405/2007
Ayana, G., Fininsa, C., Ahmed, S., & Wydra, K. (2011). Effects of soil amendment on bacterial wilt caused by Ralstonia solanacerum and tomato yields in Ethiopia. Journal of Plant Protection Research, 51(1), 72-73. DOI: 10.2478/v10045-011-0013-0
Azevedo, L. A. S. (1997). Manual de quantificação de doenças de plantas. São Paulo, SP: Novartis.
Burdman, S., & Walcott, R. (2012). Acidovorax citrulli: generating basic and applied knowledge to tackle a global threat to the cucurbit industry. Molecular Plant Pathology, 13(8), 805-815. DOI: 10.1111/j.1364-3703.2012.00810.x
Castro, G. S. A., & Crusciol, C. A. C. (2013). Effects of superficial liming and silicate application on soil fertility and crop yield under rotation. Geoderma, 195/196, 234-242. DOI: 10.1016/j.geoderma.2012.12.006
Conselho Nacional do Meio Ambiente [CONAMA]. (2009). Resolution 420. Retrived on Aug. 25, 2018 from http://www2.mma.gov.br/port/conama/legiabre.cfm?codlegi=620
Empresa Brasileira de Pesquisa Agropecuária [EMBRAPA]. (2009). Manual de análises químicas de solos, plantas e fertilizantes (2a. ed.). Brasília, DF: Embrapa Informação Tecnológica.
Ferraz, R. L. S., Magalhães, I. D., Beltrão, N. E. M., Melo, A. S., Brito Neto, J. F., & Rocha, M. S. (2015). Photosynthetic pigments, cell extrusion and relative leaf water content of the castor bean under silicon and salinity. Revista Brasileira de Engenharia Agrícola e Ambiental, 19(9), 841-848. DOI: 10.1590/1807-1929/agriambi.v19n9p841-848
Ferreira, H. A., Nascimento, C. W. A., Datnoff, L. E., Nunes, G. H. S., Preston, W., Souza, E. B., & Mariano, R. L. R. (2015). Effects of silicon on resistance to bacterial fruit blotch and growth of melon. Crop Protection, 78, 277-283. DOI: 10.1016/j.cropro.2015.09.025
Gomes, C. F., Marchetti, M. E., Novelino, J. O., Mauad, M., & Alovisi, A. M. T. (2011). Disponibilidade de silício para a cultura do arroz, em função de fontes, tempo de incubação e classes de solo. Pesquisa Agropecuária Tropical, 41(4), 531-538. DOI: 10.5216/pat.v41i4.10906
Horuz, S., & Aysan, Y. (2018). Biological control of watermelon seedling blight caused by Acidovorax citrulli using antagonistic bacteria from the genera Curtobacterium, Microbacterium and Pseudomonas. Plant Protection Science, 54(3), 138-146. DOI: 10.17221/168/2016-PPS
Instituto Brasileiro de Geografia e Estatística [IBGE]. (2016). Produção agrícola municipal: culturas temporárias e permanentes (Vol. 43). Rio de Janeiro, RJ: IBGE.
Júnior, L. A. Z., Fontes, R. L. F., & Ávila, V. T. (2009). Aplicação do silício para aumentar a resistência do arroz à mancha-parda. Pesquisa Agropecuária Brasileira, 44(2), 203-206. DOI: 10.1590/S0100-204X2009000200013
Korndörfer, G. H., Pereira, H. S., & Nolla, A. (2004). Análise de silício: solo, planta e fertilizante (2nd ed.). Uberlândia, MG: Instituto de Ciências Agrárias, Universidade Federal de Uberlândia.
Ma, J. F., & Yamaji, N. (2015). A cooperative system of silicon transport in plants. Trends in Plant Science, 20(7), 435-42. DOI: 10.1016/j.tplants.2015.04.007
McKinney, H. H. (1923). Influence of soil, temperature and moisture on infection of wheat seedlings by Helminthosporium sativum. Journal of Agricultural Research, 26, 195-217.
Pilon-Smits, E. A. H., Quinn, C. F., Tapken, W., Malagoli, M., & Schiavon, M. (2009). Physiological functions of beneficial elements. Current Opinion in Plant Biology, 12(3), 267-274. DOI: 10.1016/j.pbi.2009.04.009
Pozza, E. A., Pozza, A. A. A., & Botelho, D. M. S. (2015). Silicon in plant disease control. Ceres, 62(3), 323-331. DOI: 10.1590/0034-737X201562030013
Queiroz, D. L., Camargo, J. M. M., Dedecek, R. A., Oliveira, E. B., Zanol, K. M. R., & Melido, R. C. N. (2018). Absorção e translocação de silício em mudas de Eucalyptus camaldulensis. Ciência Florestal, 28(2), 632-640. DOI: 10.5902/1980509832053
Ramos, A. R. P., Santos, R. L., Amaro, A. C. E., Fumes, L. A. A., Boaro, C. S. F., & Cardoso, A. I. I. (2013). Eficiência do silicato de potássio no controle do oídio e no desenvolvimento de abobrinha de moita. Horticultura Brasileira, 31(3), 432-438. DOI: 10.1590/S0102-05362013000300014
Resende, R. R., Rodrigues, F. A., Soares, J. M., & Casela, C. R. (2009). Influence of silicon on components of resistance to anthracnose in susceptible and resistant sorghum lines. European Journal of Phytopathology, 124, 533-541. DOI: 10.1007/s10658-009-9430-6
Sakr, N. (2016). Silicon control of bacterial and viral diseases in plants. Journal of Plant Protection Research, 56(4), 331-336. DOI: 10.1515/jppr-2016-0052
Santos, G. R., Castro Netto, M. D., Ramos, L. N., Sarmento, R. A., Korndörfer, G. H., & Ignácio, M. (2011). Effect of silicon sources on rice diseases and yield in the State of Tocantins, Brazil. Acta Scientiarum. Agronomy, 33(3), 451-456. DOI: 10.4025/actasciagron.v33i3.6573
Santos, G. R., Rodrigues, A. C., Bonifacio, A., Chagas Junior, A. F., & Tschoeke, P. H. (2014). Severidade de antracnose em folhas de sorgo submetido a doses crescentes de silício. Ciência Agronômica, 45(2), 403-408. DOI: 10.1590/S1806-66902014000200023
Schaad, N. W., Sowell Jr., G., Goth, R. W., Colwell, R. R., & Webb, R. E. (1978). Pseudomonas pseudoalcaligenes subsp. citrulli subsp. International Journal of Systematic and Evolutionary Microbiology, 28(1) 117-125. DOI: 10.1099/00207713-28-1-117
Schurt, D. A., Rodrigues, F. A., Reis, R. D., Moreira, W. R., Souza, N. F. A., & Silva, W. A. (2012). Resistência física de bainhas de plantas de arroz supridas com silício e infectadas por Rhizoctonia solani. Tropical Plant Pathology, 37(4), 281-285. DOI: 10.1590/S1982-56762012000400008
Schurt, D. A., Rodrigues, F. A., Colodette, J. L., & Carré-Missio, V. (2013). Efeito do silício nas concentrações de lignina e de açúcares em bainhas de folhas de arroz infectadas por Rhizoctonia solani. Bragantia, 72(4), 360-366. DOI: 10.1590/brag.2013.043
Shaner, G., & Finney, R. E. (1977). The effect of nitrogen fertilization on the expression of slow-mildewing resistance in knox wheat. Phytopathology, 67, 1051-1056. DOI: 10.1094/Phyto-67-1051
Silva, I. T., Rodrigues, F. A., Oliveira, J. R., Pereira, S. C., Andrade, C. C. L., Silveira, P. R., & Conceição, M. M. (2010). Wheat resistance to bacterial leaf streak mediated by silicon. Journal of Phytopathology, 158(4), 253-262. DOI: 10.1111/j.1439-0434.2009.01610.x
Silva, K. M. M., Xavier, A. S., Gama, M. A. S., Lima, N. B., Lyra, M. C. C. P., Mariano, R. L. R., & Souza, E. B. (2016). Polyphasic analysis of Acidovorax citrulli strains from northeastern Brazil. Scientia Agricola, 73(3), 252-259. DOI: 10.1590/0103-9016-2015-0088
Sobral, M. F., Nascimento, C. W. A., Cunha, K. P. V., Ferreira, H. A., Silva, A. J., & Silva, F. B. V. (2011). Escória de siderurgia e seus efeitos nos teores de nutrientes e metais pesados em cana-de-açúcar. Revista Brasileira de Engenharia Agrícola e Ambiental, 15(8), 867-872. DOI: 10.1590/S1415-43662011000800015
Soltani, M., Kafi, M., Nezami, A., & Taghiyari, H. R. (2018). Effects of silicon application at nano and micro scales on the growth and nutrient uptake of potato minitubers (Solanum tuberosum var. Agria) in greenhouse conditions. BioNanoScience, 8, 218-228. DOI: 10.1007/s12668-017-0467-2
Souza Filho, A. L., Oliveira, F. H. T., Preston, W., Silva, G. F., & Carvalho, S. L. (2016). Nitrogen and phosphate fertilizer on green corn grown in succession to the melon crop. Horticultura Brasileira, 34(3), 392-397. DOI: 10.1590/S0102-05362016003014
Suthaparan, A., Solhaug, K. A., Stensvand, A., & Gislerød, H. R. (2017). Daily light integral and day light quality: Potentials and pitfalls of nighttime UV treatments on cucumber powdery mildew. Journal of Photochemistry & Photobiology, B: Biology, 175(1), 141-148. DOI: 10.1016/j.jphotobiol.2017.08.041
Tubana, B. S., Babu, T., & Datnoff, L. E. (2016). A Review of silicon in soils and plants and its role in US agriculture: History and future perspectives. Soil Science, 181(9/10), 393-411. DOI: 10.1097/SS.0000000000000179
United States Environmental Protection Agency [USEPA]. (1996). Microwave assisted acid digestion of siliceous and organically based matrices. Method 3052. Retrived on Aug. 22, 2018 from 22, 2018 from https://19january2017snapshot.epa.gov/sites/production/files/2015-12/documents/3052.pdf
United States Environmental Protection Agency [USEPA]. (2007). Microwave assisted acid digestion of sedments, sludges, soils, and oils. Method 3051A. Retrived on Aug. 22, 2018 from 22, 2018 from https://www.epa.gov/sites/production/files/2015-12/documents/3051a.pdf
Walcott, R. R., Fessehaie, A., & Castro, A. C. (2004). Differences in pathogenicity between two genetically distinct groups of Acidovorax avenae subsp. citrulli on cucurbit hosts. Journal of Phytopathology, 152(5), 277-285. DOI: 10.1111/j.1439-0434.2004.00841.x
Wang, L., Cai, K., Chen, Y., & Wang, G. (2013). Silicon-mediated tomato resistance against Ralstonia solanacearum is associated with modification of soil microbial community structure and activity. Biological Trace Element Research, 152(2), 275-283. DOI: 10.1007/s12011-013-9611-1
Author notes
* Author for correspondence. E-mail: welkapreston@hotmail.com