CROP PRODUCTION
Visual and anatomical analysis of welding quality x scion survival in Araucaria angustifolia
Visual and anatomical analysis of welding quality x scion survival in Araucaria angustifolia
Acta Scientiarum. Agronomy, vol. 43, e45509, 2021
Editora da Universidade Estadual de Maringá - EDUEM
Received: 22 November 2018
Accepted: 30 July 2019
ABSTRACT: Grafting is an alternative method for the early production of Araucaria angustifolia seeds, and welding quality is essential for the success of the technique. The objective of this study was to create a classification of welding quality to estimate the percentage of scion survival. The patch and flute grafting techniques were used in a greenhouse and in the field. Survival was evaluated 270 days after grafting (DAG). At 60 DAG, observations of the graft connection region were made with the naked eye, classifying the connections into four welding classes. After 160 DAG, transverse cuts were performed on each class and visually and anatomically evaluated. Flute grafting presented higher initial survival (79%), but at 180 DAG, the survival rate of both techniques was similar (48% for flute and 41% for patch). There was greater scion survival for the class that had only two regions in contact with discontinuity in the bark. Stabilization of survival occurred after 180 DAG, regardless of the welding class. Visually, there were differences in welding quality; however, anatomically, all classes presented vascular connections. The visual welding quality assessment underestimated the percentage of scion survival. However, the vascular connection and development of parenchymatous tissue are promising for diagnosing grafting success.
Keywords: Paraná pine, patch grafting, flute grafting, anatomy, vascular connection.
Introduction
Araucaria angustifolia (Bertol.) Kuntze (Araucariaceae), popularly known as Araucaria, Brazilian pine, or Paraná pine, is native to Brazil and found in the mixed ombrophilous forest (Carvalho, 2003). Due to its timber potential, along with agricultural expansion, this species has been intensely exploited, which has drastically reduced its original distribution (Zanette, Oliveira, & Biasi, 2011) and has classified A. angustifolia as an endangered species (Brasil, 2008; International Union for Conservation of Nature [IUCN], 2013).
The seed of A. angustifolia (araucaria nut) is a nutritious and energy-rich food that is rich in starch and proteins, presents a low glycaemic index (Cordenunsi et al., 2004; Franco, 2008) and is widely consumed by the Brazilian population (Zanette et al., 2011; Wendling, 2011). The unsustainable exploitation of this species, caused by the ever-increasing demand for araucaria nuts, seriously threatens the regeneration of Araucaria forests (Wendling, 2015).
A. angustifolia is usually propagated by its seeds, which have low percentages of germination once they have been stored and are classified as recalcitrant. Plants of seminal origin take an average of 12 to 15 years to reach reproductive maturity (Carvalho, 2003). Faced with high demands for araucaria nuts, grafting techniques promote the propagation of successful genetic characteristics as well as early flowering and fruiting and the formation of seed production orchards (Hartmann, Kerster, Davies Jr, & Geneve, 2011).
Although grafting in A. angustifolia is viable (Gurgel & Gurgel-Filho, 1967; Kageyama & Ferreira, 1975; Wendling, 2011; Zanette et al., 2011), it is still necessary to assess the quality of scion and rootstock welding, survival and budding and the growth habit of scions. Furthermore, the verification of welding quality interferes directly in scion survival (Pina & Errea, 2005; Machado Bogo, Kreztschmar, & Simões, 2015). For this species, there have only been visual analyses of the welding points of graft and rootstock, with no classification quality (Wendling, 2011). A detailed description of the welding area between the A. angustifolia graft and rootstock is required, both externally and internally, to verify whether the welding is of good or poor quality and if it can determine scion survival.
The connection between graft and rootstock is one of the main factors influencing the success of grafting, which depends on anatomical, physiological and genetic factors (Pina & Errea, 2005; Hartmann et al., 2011; Chen Zhao, Qin, & Hu, 2016). The formation of new meristematic tissue between graft and rootstock is fundamental for the successful development of plants after grafting (Hartmann et al., 2011), as it allows the two parts to form a single plant (Shimoya, Gomide, & Fontes, 1968). A successful graft begins with a response to the cut, adhesion of the grafted parts, callus formation on the graft interface and a new functional vascular system (Pina & Errea, 2005; Martínez-Ballesta, Alcaraz-López, Muries, Mota-Cadenas, & Carvajal, 2010; Pina, Errea, & Martens, 2012), with the latter being essential (Yin et al., 2012).
One tool used to describe the connection between graft and rootstock and identify compatibility is anatomical analysis, which can also help determine the welding quality (Pina & Errea, 2005; Martínez-Ballesta et al., 2010; Pereira, Fachinello, Antunes, Campos, & Pina, 2014). The increasing number of anatomical studies show that the processes involved in the connection between graft and rootstock are similar in different woody species (Dias et al., 2009; Pina, et al., 2012; Machado et al., 2015; Ajamgarda, Rahemia, & Vahdatiba, 2016; Chen et al., 2016). For A. angustifolia, there has only been one report of the anatomical description of micrografts, by Anselmini and Zanette (2008).
Thus, the aim of this study was to develop a visual and anatomical classification for welding quality to estimate the survival percentage of grafts produced using patch and flute grafting techniques in A. angustifolia.
Material and methods
Grafting process
The experiment was carried out in April 2014 at the Laboratory of Forest Species Propagation of Embrapa Florestas, Colombo - PR, Brazil. Grafting was carried out using the patch and flute grafting techniques from A. angustifolia rootstocks established in two locations. Rootstocks were located in the field, where they were planted with 3.0 x 0.5 m spacing, or kept in a greenhouse, where they were planted in 7 L plastic bags with a commercial substrate made of pine bark, receiving water three times a day for 15 minutes.
The grafts were collected from adult branches (30 - 45 cm long) with "orthotropic growth tendencies", next to the base, which were removed from the grafted mother trees in the field. These mother trees were grafted from an adult female plant (approximately 30 years old) through cleft grafting in 2007 (Wendling, 2011). During the experiment, branches were collected and packed in a Styrofoam box with water to prevent dehydration, and the needles were only removed at the time of grafting.
The patch buds were approximately 3 cm long and 1 cm wide, with 6 to 8 needles with axillary regions, while the flute buds were approximately 1.5 cm long and 3 cm wide, with 10 to 12 needles with axillary regions. For both bud types, the needles were removed with pruning shears. Grafting was carried out in the subapical region of the trunk branch of the rootstock. For patch grafting, the grafts were fitted into rootstock openings with identical surfaces (Figure 1). For flute grafting, two circular incisions and one vertical incision were carried out to remove a ring that fit the flute bud (Figure 1). After placement, buds were fixed with plastic ribbon, maintaining the aerial part of the rootstock.

For patch and flute bud preparation, the diameter of the rootstock was considered, and grafts were performed using the matching size of the rootstock opening. The flute bud was cut so that it fully covered the wood of the rootstock and fit into the opening, leaving the two vertical ends of the graft as close as possible.
Forty-five days after grafting (DAG), the ribbon was removed and the aerial parts of the rootstock were pruned just above the buds. The first assessment occurred at 60 DAG, when the survival percentage was assessed. Evaluations took place monthly until 270 DAG. Additionally, during this period, we controlled budding in rootstocks was controlled to avoid competition with the graft buds.
At 60 DAG, the graft connection region and rootstock were observed with the naked eye to verify welding formation between the two. At that time, the following grades were assigned for certain welding qualities: Class 1 - connection in only one contact region of the graft and rootstock with discontinuity in the bark; Class 2 - connection in only two contact regions of the graft and rootstock with discontinuity in the bark; and Class 3 - connection in three contact regions of graft and rootstock and Class 4 - connection of all areas of graft and rootstock, where the connection line is no longer visible.
The experiment was conducted using a random block design, with 2 x 2 factorial (2 grafting techniques x 2 establishment sites of the rootstocks) and four blocks containing eight plants per experimental unit, totalling 128 grafts that were evaluated for eight months. The treatments (i.e., techniques and location of rootstock establishment) were applied to the plots, and the evaluations were considered sub-plots. The variances of the treatments were tested for homogeneity using Bartlett’s test. The data were submitted to variance analysis (ANOVA) (p < 0.05 and p < 0.01), and the averages were compared with Tukey’s test (p < 0.05).
Anatomical evaluation
Anatomical analyses of the grafts were carried out in the Laboratory of Structural Botany at the Federal University of Paraná (UFPR). Scion and rootstock samples were collected on the day of grafting, and a sample of a graft region from each welding class (1, 2, 3, and 4) was taken from the two grafting types at 160 DAG. The samples were fixed in FAA 70 (Johansen, 1940) and stored in 70% ethanol until infiltration time.
Visual evaluation and photographic recordings were carried out using a table scanner. The scion, rootstock, and internal part of the graft connection were evaluated by means of transverse fragments of the median region of each sample, with approximately 0.5 inches. For anatomical analysis, the same samples analysed with the table scanner were included in PEG (polyethylene glycol 1500) (PEG x alcohol 70% in proportion of 1 x 1, 12h in a greenhouse at 60°C in an open flask; 12h in pure PEG in a greenhouse at 60°C; inclusion in pure PEG) and sectioned transversely (15 μm thickness) into microtome rotation (Olympus CUT 4055). The cuts were flushed with toluidine blue (aqueous solution at 0.05%) (Sakai, 1973), and the semi-permanent blades were assembled in gelatin-glycerine and sealed with colourless enamel. Anatomical observations and photographic records were performed in Photomicroscope (Olympus, BX41 model).
Results and discussion
The results of the variance analysis for the percentage of scion survival revealed significant interactions between grafting techniques and evaluation times, as well as between rootstock establishment locations and evaluation times.
For percentages of survival for A. angustifolia grafts, we found significant differences between grafting techniques in the first evaluation (60 DAG) only, with 79.6% survival of the flute grafting (Table 1). When we compared the evaluation times of each grafting technique used, we found that the greatest survival occurred at 60 DAG for flute grafting and that after this period, there was a decline in survival. For patch grafting, there were no significant differences between scion survival at the evaluation times until 150 DAG, with the highest averages in the first four evaluations. For both techniques, we observed a stabilization in the percentage of survival after 150 DAG, with fewer losses of grafted plants after that period. Therefore, the critical period for graft connection establishment is up to 150 DAG.

For the rootstock establishment sites, no significant differences were verified between the sites of rootstock establishment (greenhouse and field) at the different evaluation times (Table 1). When compared to the evaluation times of each establishment location, there was a reduction in scion survival during the evaluation period, which presented higher percentages of survival at 60 and 90 DAG in both places.
At 120 DAG, flute grafting survival was similar to the results found by Wendling, Stuepp, and Zuffellato-Ribas (2016), while the patch grafting survival was higher than the results from Wendling et al. (2016) and Zanette et al. (2011). Most of the time, grafting can induce the reinvigoration of adult tissues (Alfenas, Zauza, Mafia, & De Assis, 2004), which means the plant returns to a state of high physiological vigour (Wendling & Xavier, 2001). Therefore, a hypothesis about the different survival results of the grafts observed herein compared with the results of Zanette et al. (2011) can be attributed to the different origins of the grafting material used. In the work of Zanette et al. (2011), they used stem shoots and branches of adult trees, while in the present study, we used grafted plants as a source of propagating material, characterized by successive grafting. It is assumed that the branches used for scions herein were more vigorous and, therefore, had greater survival potential since they were collected from a grafted plant.
Due to the mortality throughout the evaluation time, especially for the flute grafting, it is assumed that the area of connection between scion and rootstock did not present complete callus growth at the beginning of the evaluations, making it susceptible to oxidation and moisture infiltration (Yin et al., 2012). The vascular reconnection of the scion where the new cambial cells produce new vascular tissue, is a prerequisite for the survival of the graft and for the success of the technique (Pina & Errea, 2005; Hartmann et al., 2011). It may be necessary to use the plastic ribbon for a longer time (more than 45 DAG) for better formation of scar tissue.
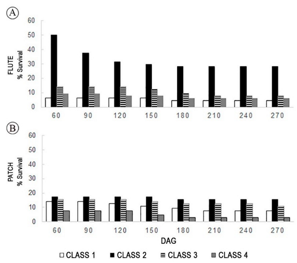
When observing the survival percentage by welding quality classes, the surviving flute grafts were concentrated in Class 2 (50%) at 60 DAG (Figure 2A). Class 2 presented the greatest survival reduction throughout the evaluation period (28% at 180 DAG), consistent with the reduction in the overall survival of the flute grafting.
Class 2 also stood out for the patch grafting, with 17% survival at 60 DAG (Figure 2B). However, Class 2 did not exhibit the same survival reduction behaviour throughout the evaluated period for this technique. All classes presented a small decrease in survival percentage. This decrease was more pronounced for class 4, which was visually considered the best welding quality. Thus, the classification of welding quality through visual analysis is not a determining factor for scion survival. For patch grafting, scion survival was stable, regardless of the graft welding class.

Through the anatomical analysis, it was verified that, in the preparation of the flute bud's rootstock opening (Figure 3A and B), the secondary xylem was maintained, and in part of the circumference, the cambium and part of the secondary phloem were maintained (Figure 3C). At some points, the xylem was exposed, without the presence of the cambium (Figure 3B). The scion (Figure 3D and E) was formed by the cortex, with several leaf traces, buds and resiniferous channels, and more internally, by remnants of phloem and peripheral fibres of the phloem (Figure 3F). For patch grafting, in the preparation of the rootstock opening, only one part of the cortex and secondary phloem (Figure 3G, H, and I) was removed for graft fitting. This graft had a small portion of the cortex and secondary phloem (Figure 3J, K, and L) which formed the patch. Leaf traces and buds are visible in the graft region (Figure 3L). In both techniques, the graft and rootstock had complementary structures that coincided at the time of grafting, according to the indications of Hartmann et al. (2011) and Ajamgarda et al. (2016).
In the longitudinal direction of the patch grafting, there was more contact between the living tissue present in the cortical region (cortical parenchyma and phloem) of the rootstock (Figure 3H) and the scion (Figure 3K), which is a region with living cells that are potentially meristematic. In the flute graft, the connection occurred near the cambium of the rootstock, and the longitudinal ends of the scion did not touch (Figure 4A and H), unlike in the patch graft (Figure 4I and P). Therefore, the connection and survival of grafts of both grafting types are directly related to the contact area with living tissue between rootstock and scion, with no connection where the xylem is exposed (Figures 3B, 5A and B), but forming seemingly empty spaces inside the graft (Figures 4D and F, 5A and B).

The visual observations of transverse cuts of the graft region fragments and their respective anatomical analysis showed that there were differences in the connections of each graft welding class for the two techniques used (Figure 4). The connection region was not always visible, but where there were no connections, there were air spaces surrounded by cells with dark content (Figures 5A and G, 6A, B, and C) (due to oxidation of phenolic compounds) forming a dead and suberized layer. These regions can show where exactly the graft and rootstock are located. There was a greater difference in Class 1 for patch grafting and Classes 1 and 2 for flute grafting, with an incomplete connection between scion and rootstock for both techniques (Figure 4B, D, and J), which left the edges disconnected. In the case of flute grafting, there was no connection between the two vertical ends of the graft that surrounded the rootstock (Figure 4B, D, F, and H). However, it was difficult to visually evaluate the connection of the flute grafting in the region between the cortex and vascular tissues since the connection was mainly internal.



The anatomical analysis of the grafting region showed few differences in the graft connection for each welding class. In Class 1, there was a discontinuation of scar tissue at the vertical extremities, where no connection between the two ends of the flute grafting (Figure 4B) and no complete connection between scion and rootstock for the patch grafting were clearly observed, mainly in the xylem region of the rootstock opening (Figure 4J), which had no connections. The connection did not occur in the xylem cells, which were mostly composed of dead cells (tracheids), as shown in Figure 4P (class 4).
For the flute grafting in classes 2, 3, and 4, there was no fusion between the two vertical ends of the graft (Figure 4D, F, and H), which moved away and developed secondary tissue from the cambium that remained in the rootstock (Figure 5A and G). The connection in this type of grafting occurs in the median part of the graft, with the welding occurring in the living cells of the phloem (Figure 5D, F, and G). This merger takes place in a more homogeneous way, with fewer empty spaces between scion and rootstock (Figure 4F and H) compared to patch grafting (Figure 4N and P).
The visual analysis gave the false impression that there were welding classes within each used technique. However, the use of anatomical analysis as a complementary tool showed few differences between the classes or between the techniques used. That is, according to anatomical analysis, grafting success only varied between the two techniques used. Through this analysis, we observed the complete connection of the graft to the rootstock in both techniques, especially in classes 2, 3, and 4. For flute grafting, the success of the technique was related to the choice of graft material that fits perfectly into the rootstock. However, patch grafting was related to the depth of the cut in the rootstock, which did not reach the secondary xylem. Perhaps superficial cuts could show better results for patch grafting of Araucaria angustifolia, which would make it easier to use such a technique.
We observed welding between parts in the region of the parenchymatous and phloem tissues and reconstitution of the vascular system of the rootstock both in flute (Figures 4D, F, and H, 5D, F, and G) and in patch grafting (Figures 4L, N, and P, 6B, F, and G). For these grafting techniques in A. angustifolia, contact between adjacent tissues of the graft and rootstock can be minimal if it is in a region of living tissue, such as the parenchyma and phloem, that facilitates cellular connection and subsequent vascular connection, thus permitting successful grafting. Therefore, the grafted plants in classes 1 and 2 (considered low-quality welding) remained alive throughout the evaluations due to the reestablishment of vascular tissue, which allowed for the transportation of water and nutrients and caused the graft to grow and develop.
In general, through anatomical analysis, graft welding was usually observed in the cambial and phloem region between the secondary phloem of the scion and the cambium or phloem of the rootstock (Figures 5D and G, 6B and G). In this region, disorganized parenchymatous tissue was observed, along with the accumulation of phenolic compounds.
The vascular tissue in both techniques appeared to be mainly formed by rootstock cells, as there was continuity of the xylem rays of the rootstock close to the connection region (Figures 5D and G, 6F). At the time of grafting, a change in the growth of the vascular tissue occurred, which presented more irregular cells and cells with phenolic compounds, characteristic of the stress caused by the grafting techniques (Figures 5D and G, 6G). We note that, even for the patch grafting, the growth changed throughout the entire vascular system, not just in the grafting region (Figure 6A, D, and E). Furthermore, in the patch grafting technique, a new vascular tissue formed in the shape of a concentric bundle without cambial connection to the rootstock (Figure 6C).
For both techniques and in all classes, small empty spaces which were visually undetectable were observed in the most internal region of welding between scion and rootstock. Dias et al. (2009) cited the presence of these spaces when they grafted different coffee cultivars (Coffea arabica L.), which filled in after a longer period of grafting. Due to the slow growth rate of A. angustifolia, the hope is that these empty spaces will be filled in over time, forming a complete connection between graft and rootstock.
The absence of tissue connection at the horizontal ends of the graft and rootstock may have been the main cause for the mortality of the flute grafts in class 2, since the continuous flow of phloematic and xylematic sap influences growth through translocation of nutrients and photo-assimilation between scion and rootstock (Zarrouk, Gogorcena, & Moreno, 2006). Machado et al. (2015) noted that the lack of longitudinal connection between the tissues damaged the grafting of the European pear (Pyrus communis L.) to the quince (Cydonia oblong Mill.) 'Abbè Fetel'/'Adams' and was considered a factor of incompatibility.
Another reason for the absence of differences in the scion-rootstock connection, when anatomically analysed, was the delay interval between the collection of the material, which only occurred at 160 DAG. This period between visual analysis and anatomical analysis could have made welding differences less noticeable. For this reason, anatomical analysis is recommended at approximately 60 DAG to check for the beginning of scar tissue formation.
Our results also show that the difference in welding quality was not a limiting factor for scion survival since throughout the study period, the survival percentages stabilized, except for those of Class 2 of the flute grafts, which showed higher mortality throughout the evaluation period (Figure 1). The establishment of a vascular connection between scion and rootstock was decisive for survival, as it occurred in all classes. For A. angustifolia, other factors may be correlated with graft mortality, such as the grafting technique used and the grafter's experience.
Therefore, at the time of grafting, it is important to carefully prepare the bud and the opening in the rootstock so that there is size compatibility, the two parts fit perfectly, and the internal tissues coincide. The coexistence of living tissues close to the cambium form a continuous connection and cause mitosis to occur and new cells to form, which is paramount to the success of grafting (Hartmann et al., 2011).
Conclusion
Patch and flute grafting techniques present visual differences, but those differences cannot determine scion survival.
Assessments of welding quality underestimated the percentage of scion survival. Visually, there was a difference in welding quality, but anatomically, all classes presented vascular connections, which seemed to be a determining factor for grafting success. In both the patch and flute grafting, there were connections between scion and rootstock tissues in the different welding classes. The most successful connections seemed to occur between parenchyma, phloem and cambium.
References
Ajamgarda, F.; Rahemia, M., & Vahdatiba, K. (2016). Development of improved techniques for grafting of pecan. Scientia Horticulturae, 204, 65-69. DOI: 10.1016/j.scienta.2016.03.030
Alfenas, A. C., Zauza, E. A., Mafia, R. G., & De Assis, T. F. (2004). Clonagem e doenças do eucalipto. Viçosa, MG: UFV.
Anselmini, J., & Zanette, F. (2008). Microenxertia e sua caracterização morfológica em Araucaria angustifolia. Ciência Rural, 38(4), 967-973.
Brasil. (2008). Instrução normativa nº 6, de 23 de setembro de 2008. Lista oficial das espécies da flora brasileira ameaçadas de extinção. Diário Oficial [da] República Federativa do Brasil, Brasilia, DF.
Carvalho, P. E. R. (2003). Espécies arbóreas brasileiras. Brasília, DF: Embrapa Informação Tecnológica; Colombo, PR: Embrapa Florestas.
Chen, Z., Zhao, J., Qin, Y., & Hu, G. (2016). Study on the graft compatibility between ‘Jingganghongnuo’ and other litchi cultivars. Scientia Horticulturae , 199, 56-62. DOI: 10.1016/j.scienta.2015.12.020
Cordenunsi, B. R., Menezes, W. E., Genovese, M. I., Colli, C., Gonçalves, A. S., & Lajolo, F. M. (2004). Chemical composition and glycemic index of Brazilian pine (Araucaria angustifolia) seeds. Journal of Agricultural and Food Chemistry, 52(11), 3412-3416. DOI: 10.1021/jf034814l
Dias, F. P., Castro, D. M. d., Mendes, A. N. G., Vallone, H. S., Carvalho, A. M., & Carvalho, G. R. (2009). Estudo anatômico de cafeeiros enxertados. Ciência e Agrotecnologia, 33(3), 735-742.
Franco, G. (2008). Tabela de composição química dos alimentos (9a. ed.). São Paulo, SP: Atheneu.
Gurgel, J. T. A., & Gurgel-Filho, C. A. (1967) Métodos de enxertia para o pinheiro brasileiro Araucaria angustifolia (Bertol.) O. Ktze., visando à formação de pomares de sementes. Sivilcultura em São Paulo, 6, 153-155.
Hartmann, H. T., Kerster, D. E., Davies Jr, F. T., & Geneve, R. L. (2011) Plant propagation: Principles and practices (8th ed.). Boston, US: Prentice Hall.
International Union for Conservation of Nature [IUCN]. (2013). IUCN red list of threatened species. Version 2013.2. Retrieved on June 28, 2016 from http://www.iucnredlist.org/details/32975/0
Johansen, D. A. (1940) Plant microtechnique. New York, US: McGraw-Hill.
Kageyama, P. Y., & Ferreira, M. (1975) Propagação vegetativa por enxertia em Araucaria angustifolia. IPEF, 11, 95-102.
Machado, B. D., Bogo, L. R. A., Kreztschmar, A. A., & Simões, F. (2015). Compatibilidade fenotípica entre cultivares de pereiras europeias e porta-enxertos de marmeleiro. Ciência Rural , 45(9), 1551-1556. DOI: 10.1590/0103-8478cr20141128
Martínez-Ballesta, M. C., Alcaraz-López, C., Muries, B., Mota-Cadenas, C., & Carvajal, M. (2010). Physiological aspects of rootstock-scion interactions. Scientia Horticulturae , 127(2), 112-118. DOI: 10.1016/j.scienta.2010.08.002
Pereira, I. S., Fachinello, J. C., Antunes, L. E. C., Campos, A. D., & Pina, A. (2014). Incompatibilidade de enxertia em Prunus. Ciência Rural , 44(9), 1519-1526. DOI: 10.1590/0103-8478cr20131074
Pina, A., & Errea, P. (2005). A review of new advances in mechanism of graft compatibility - incompatibility. Scientia Horticulturae , 106(1), 1-11. DOI: 10.1016/j.scienta.2005.04.003
Pina, A., Errea, P., & Martens, H. J. (2012). Graft union formation and cell-to-cell communication via plasmodesmata in compatible and incompatible stem unions of Prunus spp. Scientia Horticulturae , 143, 144-150. DOI: 10.1016/j.scienta.2012.06.017
Sakai, W. S. (1973). A simple method for differential staining of paraffin embedded plant material using toluidine blue O. Stain Technology, 48(5), 247-249.
Shimoya, C., Gomide, C. J., & Fontes, J. M. (1968). Estudo anatômico da enxertia em Citrus spp. Revista Ceres, 15(84), 95-105.
Wendling, I. (2011). Enxertia e florescimento precoce em Araucaria angustifolia (Comunicado Técnico, 272). Colombo, PR: Embrapa Florestas . Retrieved on August 5, 2016 from http://ainfo.cnptia.embrapa.br/digital/bitstream/item/41903/1/CT272.pdf
Wendling, I. (2015). Tecnologia de enxertia de Araucaria angustifolia para produção precoce de pinhões (Comunicado Técnico, 351). Colombo, PR: Embrapa Florestas . Retrieved on June 1, 2016 from http://ainfo.cnptia.embrapa.br/digital/bitstream/item/125311/1/CT-351-Ivar.pdf
Wendling, I., Stuepp, C. A., & Zuffellato-Ribas, K. C. (2016). Araucaria angustifolia grafting: techniques, environments and origin of propagation material. Bosque, 37(2), 285-293. DOI: 10.4067/S0717-92002016000200007
Wendling, I., & Xavier, A. (2001). Gradiente de maturação e rejuvenescimento aplicado em espécies florestais. Floresta e Ambiente, 8(1), 187-194.
Yin, H., Yan, B., Sun, J., Jia, P., Zhang, Z., Yan, X., … Liu, H. (2012). Graft-union development: A delicate process that involves cell-cell communication between scion and stock for local auxin accumulation. Journal of Experimental Botany, 63(11), 4219-4232. DOI: 10.1093/jxb/ers109
Zarrouk, O., Gogorcena, Y., & Moreno, M. A. (2006). Graft compatibility for new peach rootstocks in nursery. Acta Horticulturae, 713, 327-330. DOI: 10.17660/ActaHortic.2006.713.47
Zanette, F., Oliveira, L. da S., & Biasi, L. A. (2011). Grafting of Araucaria angustifolia (Bertol.) Kuntze through the four seasons of the year. Revista Brasileira de Fruticultura, 33(4), 1364-1370. DOI: 10.1590/S0100-29452011000400040
Author notes
* Author for correspondence. E-mail: helenarickli@gmail.com