CROP PRODUCTION
Ammonia loss from protected urea in soil under different irrigation depths
Ammonia loss from protected urea in soil under different irrigation depths
Acta Scientiarum. Agronomy, vol. 43, e46764, 2021
Editora da Universidade Estadual de Maringá - EDUEM
Received: 25 February 2019
Accepted: 25 September 2019
ABSTRACT: This study presents an evaluation of the viability of using protected urea under different irrigation depths to reduce nitrogen losses caused by the volatilization of ammonia (NH3) under the conditions of the Southwestern Amazon. The study was carried out at the Experimental Station of Embrapa Rondônia, in the municipality of Porto Velho, Rondônia State, Brazil. The experiment was conducted in a Red-Yellow Latosol and arranged in a 5 x 6 factorial design consisting of a combination of five treatments (N sources) with six irrigation depths. The sources of N were as follows: 1) urea (45.5% N); 2) urea (44.3% N) + 0.15% copper and 0.4% boron; 3) urea (45% N) + NBPT; 4) urea (43% N) + sulfur (1%); and 5) control (without N). The irrigation depths were 0, 5, 10, 15, 20, and 25 mm. The results showed that, regardless of the use of urease inhibitors, an irrigation depth of 10 mm is suitable for incorporating urea into the soil and stabilizing N losses from NH3 volatilization. NBPT is the most efficient inhibitor under nonirrigated conditions. All N sources promote increases in the concentrations of nitric and ammonia nitrogen in the soil. In the first 15 days after fertilizer application, the highest concentrations of ammonium were in the 0 - 10 cm and 10 - 20 cm soil layers, and NBPT showed the highest ammonium content compared to that of the other sources in the 0 - 10 cm layer. The nitric nitrogen content in the soil was slightly influenced by the irrigation depth in the first 15 days after fertilizer application. However, the ammonia nitrogen content decreased exponentially with the increase in irrigation depth due to the movement of ammonia in the soil.
Keywords: nitrogen, CO(NH2)2, volatilization, urease inhibitors, South Western Amazon.
Introduction
Urea (CO(NH2)2) is the main source of nitrogen for crops because of its high N concentration and low cost per unit of N (Filho et al., 2010), which reduces costs, especially transportation costs. Despite its wide use as an N source in agriculture, urea application leads to high N losses, especially if it is applied to the soil surface, resulting in volatilization that leads to reduced recovery and nitrogen utilization (Rochette et al., 2007).
Nitrogen losses due to ammonia volatilization can be higher than 50% of the applied N (Artola et al., 2011). Studies in coffee plantations reported losses of 18.5% (Chagas et al., 2016) and 31.2% (Dominghetti et al., 2016). In a controlled greenhouse environment, N losses from granulated urea reached 46.6% (Stafanato et al., 2013), and under controlled laboratory conditions, 37% of the total applied N was lost through volatilization (Soares, Cantarella, & Menegale, 2012).
Reductions in nitrogen losses can be achieved by improving cultural practices such as the mechanical incorporation of fertilizer (Cunha et al., 2011) or the use of technological adaptations of commercial sources of nutrients such as slow-release fertilizers (Chien et al., 2016) and urease inhibitors (Marchesan, Grohs, Walter, Silva, & Formentini, 2013; Bernardi, Mota, Cardosa, Monte, & Oliveira, 2014).
In agriculture, the urease inhibitor N-(n-butyl) thiophosphate triamide, known as NBPT, has been used on a large scale in tropical regions. NBPT can reduce urea NH3 volatilization by 63% when compared with the volatilization from conventional urea application (Tian et al., 2015). In addition to reducing NH3 volatilization, the urease inhibitor reduces and delays ammonia volatilization peaks (Barberena et al., 2019). In a recent study with urea + NBPT applied in a field cultivated with pineapple, the peak volatilization was 83.18 kg ha-1 for a dose of 1,060 kg ha-1, which occurred 9.18 days after application, while for conventional urea at a lower dose (905 kg ha-1), the peak was 115.06 kg ha-1, occurring 5.79 days after application (Silva et al., 2017).
In addition to NBPT, elemental sulfur has also been used as an additive to reduce urea nitrogen losses (Chien et al., 2016). This element delays the initial release of nutrients from the fertilizer in a process influenced by the thickness of the coating in relation to the size of the urea granule. The increase in the amount of time for which the fertilizer remains in the form of urea allows a longer time of nutrient absorption by the plants, reducing N losses through volatilization (Trenkel, 2010).
Micronutrients have also been used to reduce ammonia volatilization from urea (Krajewska, 2009). In a urea + Cu + B combination, the micronutrients act as urease inhibitors related to the enzymatic catalysis of urea. Boron has a direct action on the competition for the urease catalytic site and copper, an indirect action, as it competes with nickel, which is a specific component of urease (Moraes, Abreu Junior, & Lavres Junior, 2010).
In view of the problem of nitrogen loss, the objective of this study was to evaluate the feasibility of incorporating protected urea at different irrigation depths in the conditions of the South Western Amazon.
Material and methods
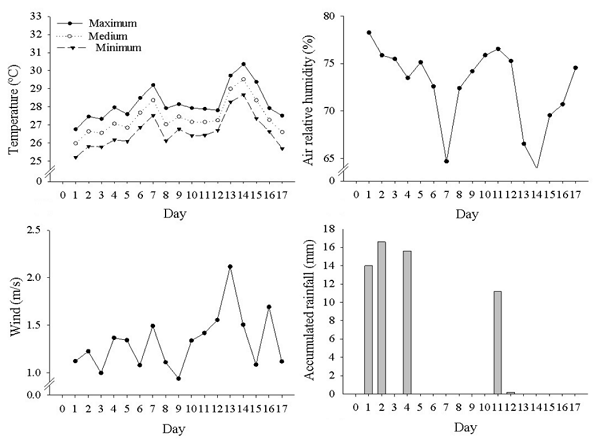
The experiment was conducted at Embrapa Rondônia Experimental Station, in the municipality of Porto Velho, Rondônia State, Brazil, from August 29 to September 14, 2014. The climate of the region, according to the Köppen classification, is Am (tropical rainy) with a rainy summer (October to May) and a dry winter (June to September) (Alvares, Stape, Sentelhas, Gonçalves, & Sparovek, 2013). The average monthly temperatures ranged from 26°C in summer to 24°C in winter, and the average annual rainfall was 2,200 mm. Daily data on maximum, average, and minimum temperatures, relative air humidity, wind speed, and rainfall (Figure 1) were obtained from the National Institute of Meteorology (Instituto Nacional de Meteorologia [INMET], 2014).

The soil of the experimental area was described as a clayey dystrophic Red-Yellow Latosol (Empresa Brasileira de Pesquisa Agropecuária [EMBRAPA, 2013). The soil chemical attributes were determined in the 0 - 10, 10 - 20, and 20 - 40 cm layers, and the physical attributes were determined in the 0 - 20 cm layer (Table 1). No traces of NH3, NO3-, or NO2- were detected in the water used for irrigation, and the pH was equal to 5.0.

To simulate cultivation conditions in which a crop influences volatilization a crop influences volatilization we used a field of Coffea canephora of the variety Conilon - BRS Ouro Preto in the production phase. The crop was planted in December 2008 in single rows, with plants spaced 3.0 m between rows and 2.0 m within rows, corresponding to 1,666 plants per hectare. The plants were pruned for production in July 2013, and five new shoots were maintained per plant.
The root density was evaluated in the 0 - 10, 10 - 20, and 20 - 40 cm layers at 50 cm from the stem of the coffee trees and was estimated as 1.99, 1.04, and 0.68 g kg-1, respectively. The crown projection measured on average 1.63 m (east-west direction) and 1.73 m (north-south direction).
The experiment was conducted in a 5 x 6 factorial design with a combination of five treatments (N sources) and six irrigation depths. The N sources were: 1) urea (45.5% N); 2) urea (44.3% N) + 0.15% copper and 0.4% boron; 3) urea (45% N) + NBPT; 4) urea (43% N) + sulfur (1%); and 5) control (without N). The irrigation depths were 0, 5, 10, 15, 20, and 25 mm. The experiment was arranged in a randomized block design with five replicates.
To simulate commercial growing conditions, we divided the rate of 400 kg N ha-1 year-1 into five applications. Thus, 80 kg N ha-1 application-1 was distributed to 1,666 plants, resulting in 48 g N per plant per application. Considering that this quantity would be applied to 1 m2 of the coffee crown, we used 0.384 g of N per collector, i.e., 0.853 g of urea per collector. The irrigation was applied with a hand sprayer to avoid surface runoff and to ensure the uniform distribution of the water depth in the experimental plot.
The experimental plot consisted of an area of 0.25 m2 (0.5 x 0.5 m) fenced by a structure made of 2 mm galvanized wire installed 40 cm away from the coffee stem along the planting row.
In the middle of this structure, a SALE (semiopen free static chamber) ammonia collector was installed. The collectors were made from transparent polyethylene terephthalate (PET) bottles, 2 dm3 capacity and 0.008 m2 area (Araújo et al., 2009).
Inside the PET bottle, to absorb ammonia, a polyurethane foam sheet (0.44 g average weight) soaked with 10 cm3 of H2SO4 solution [1 mol dm-3 + glycerol (2% v/v)] was suspended vertically with galvanized wire.
The experiment was installed on August 29, 2014. The ammonia collectors were installed immediately after the application of the fertilizer and the irrigation for fertilizer incorporation, according to the irrigation depths. The foam sheets were changed every 120h (5 days) up to 360h (15 days), and three collections were performed.
Before fertilizer application and after 360 h, after removing the collectors, soil samples were collected using probes in 0 - 10, 10 - 20, and 20 - 40 cm layers. In these samples, the concentrations of ammonia (NH4+) and nitrate (NO3-) + nitrite (NO2-) were determined following the method of Tedesco, Gianello, Bissani, Bohnen, and Volkweiss (1995).
The data were analyzed by analysis of variance (p ≤ 0.05). When effects were detected, the Scott-Knott test (p ≤ 0.05) was applied to group the means of the different fertilizers, the Tukey test for the comparisons between mean soil depths, and regression analyses for the effects of irrigation depths.
Results and discussion
Ammonia volatilization
The loss of nitrogen by ammonia (NH3) volatilization was influenced by the interaction Irrigation Depth x N Source. Without irrigation, the highest N losses by volatilization occurred in the first period (0 to 120 h) and in the accumulated 360h. In the second (120 to 240h) and third (240 to 360h) periods, the urea NH3 losses were similar to the losses with urea + Cu + B and urea + sulfur (Table 2). Therefore, the volatilization peak of unprotected urea occurred within the first 120h, reducing the availability of the substrate for hydrolysis and, consequently, volatilization in subsequent periods. High rates of N losses from unprotected urea in the first 120h were also found in a Red-Yellow Latosol (Rodrigues et al., 2016) and a typic aluminum Brown Latosol (Haplohumox) (Rojas, Bayer, Fontoura, Weber, & Vieiro, 2012) when rainfall was not sufficient to incorporate the fertilizer into the soil.
With no irrigation, application of urea + NBPT resulted in the lowest losses of NH3 in the period from zero to 120h and in the accumulated 360h. However, during the second and third periods, urea + NBPT had the highest volatilization losses (Table 2). This is because of the ability of the urease inhibitor to delay the onset of urea hydrolysis, since the NBPT efficiency peaks in the first days after the application of nitrogen fertilizer to the soil surface (Watson, Akhonzada, Hamilton, & Matthews, 2008; Cantarella et al., 2008).

Application of urea + Cu + B and urea + S without irrigation resulted in moderate losses in the first 120h and showed losses similar to those for urea but lower than those for urea + NBPT in the periods from 120 to 240h and from 240 to 360h (Table 2). The reduction in ammonia losses promoted by the micronutrients in urea + Cu + B is associated with the inhibition of urease activity via competition for the enzyme binding site (Krajewska, 2009). These results corroborate those of Stafanato et al. (2013), who worked with a Haplic Planosol in a greenhouse and found a reduction of up to 54% in ammonia volatilization using Cu + B pellets compared with that from conventional granulated urea.
There was a reduction in N losses promoted by urea protected with sulfur, which suggests the effectiveness of this element in reducing ammonia volatilization. This effectiveness was also reported in a Red-Yellow Latosol with insufficient rainfall for fertilizer incorporation (Rodrigues et al., 2016) and in a sandy Haplic Planosol in a greenhouse (Oliveira et al., 2014). However, the lower efficiency of sulfur in relation to urea + Cu + B and urea + NBPT found in this study indicates the limited effectiveness of this additive. This finding confirms the results of Nascimento et al. (2013), who reported that the application of a readily acidified substance (boric acid) associated with urea was more efficient in reducing volatilization losses than a substance with the capacity for gradual acidification (elemental sulfur).
The results from the second and third periods (240 and 360h) without irrigation showed that NBPT had the highest N losses. This occurred because NBPT delays the start of hydrolysis, delaying the peak of volatilization (Tasca, Ernani, Rogeri, Gatibori, & Cassol, 2011), but does not completely inhibit the process. The low NBPT efficiency in these periods may be related to the increase in temperature compared with the temperature of the first period, the total lack of rainfall, and the low humidity. Oliveira et al. (2014) reported that NBPT tends to exhibit lower efficiency under these conditions, as higher urease activity occurs due to greater dissolution of the granules and, consequently, greater evaporation of the soil solution.
All sources had NH3 losses similar to those of the control starting at the 10 mm irrigation depth (Table 2). These results suggest that in a Red Yellow Latosol, under the climatic conditions of the Western South Amazon, irrigation of 10 mm may be sufficient to incorporate the urea into the soil and prevent losses from volatilization.
In the accumulated 360 h, the combination of urea and no irrigation presented an N volatilization loss of 29.44 kg ha-1, equivalent to 36.8% of the N applied, given that the fertilization corresponded to 80 kg ha-1 of N. With the irrigation depth at 10 mm, there was a reduction in losses of 4.73% of the N applied in the form of urea, which confirms the finding that urea incorporation with 10 mm of water, under the conditions studied, was sufficient to reduce nitrogen losses.
The volatilization rates decreased exponentially with the increase in the irrigation depths; that is, with the increase in the volume of water applied at the 10 mm depth, there was a rapid decrease in the ammonia volatilization rate until it was near zero. From this depth onwards, there was no further variation in NH3 losses. This behavior was observed for all N sources in all the periods evaluated (zero to 120, 120 to 240, 240 to 360h, and all the periods together), except in the control, whose volatilization was close to zero at all depths (Figure 2a, b, c, and d).

Nitrogen in nitric (NO3-+ NO2-) and ammonia (NH4+) form
The NO3- + NO2- contents in the soil were influenced by the interaction of Source x Irrigation x Depth. However, the NH4+ content was influenced only by the interactions Source x Irrigation and Source x Depth. Therefore, further analysis was performed for the three-way interaction of the NO3- + NO2- attribute, whereas for NH4+, only the two two-way interactions were analyzed further.
Nitric Nitrogen
In the 0 - 10 and 10 - 20 cm soil layers, nitrogen sources provided higher concentrations of NO3- + NO2- than those in the control at all irrigation depths, except at the zero depth. Moreover, in the 10 - 20 cm layer, at a 25 mm irrigation depth, the sources urea and urea + Cu + B promoted lower concentrations of NO3- + NO2- than those in urea + NBPT or urea + sulfur (Table 3).

In the 20 - 40 cm layer, we also found no differences between the sources at zero depth. However, at a 5.0 mm depth, NBPT provided a higher NO3- + NO2- concentration than those of urea + Cu + B and urea + sulfur, and these two sources provided higher nitric N contents compared with those of the urea and control treatments. In addition, at a 25 mm depth, urea and urea + Cu + B provided lower nitric N concentrations than those of urea + NBPT and urea + sulfur, similar to what occurred in the 10-20 cm layer (Table 3).
The similarity between the N sources and the control without irrigation may be related to low soil moisture. The nitrification process, which is responsible for the transformation of ammonium into nitric nitrogen, is performed by aerobic microorganisms and is related to soil water content (Signor & Cerri, 2013).
The similarity among the nitrogen sources at the depths of 5, 10, 15 and 20 mm in the three soil layers may be related to the short period between the fertilizer application and the evaluation of the nitric nitrogen content. This similarity occurs because the rate of nitrification in unplowed soils is low, varying from zero to slightly more than 1 kg ha-1 day-1 (Cardoso et al., 2006), and because the temporary microbial immobilization of ammonia nitrogen can also retard the nitrification process (Aita et al., 2013).
Considering that the N sources had different amounts of loss through volatilization, it was expected that the levels of nitric nitrogen in the soil would also be different. However, the sources with the least N loss through volatilization experienced the retardation of urea hydrolysis in soils and consequently a delay in NH4+ formation, which is the substrate required for nitrification.
In relation to the movement of nitric nitrogen in the soil profile, no differences were found in the concentrations of NO3- + NO2- among the soil layers and the studied sources under no irrigation at zero depth (Table 3). This result may be due to the lack of soil moisture, which is a determinant of the nitrification process (Signor & Cerri, 2013).
At the 5 mm depth, all the sources had higher NO3- + NO2- contents in the 0 - 10 and 10 - 20 cm layers than in the other layers, except Urea + NBPT and the control, which showed no differences among soil layers (Table 3). These higher concentrations are related to the low volume of water applied, which did not reach the 20 - 40 cm layer. The lack of difference observed in the Urea + NBPT treatment may be related to the retardation of urea hydrolysis and, consequently, to the delay in the availability of ammonium as a substrate for nitrification, since NBPT can delay hydrolysis by seven to fourteen days (Cantarella et al., 2008).
As shown in Table 3, similar NO3- + NO2- contents were found between the soil layers under the different N sources for the 10, 15, 20, and 25 mm irrigation depths. This result is related to the dilution effects from the volume of water applied. However, the differences found at 10 and 15 mm depths under urea + NBPT and urea + sulfur may be related to low fertilizer movement in the soil profile because of its persistence in its original, nonhydrolyzed form. On the other hand, the differences at depths of 20 and 25 mm under urea and urea + Cu + B may be associated with fertilizer percolation to deeper soil layers.
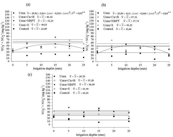
In the comparison of the effect of irrigation depths, it was not possible to identify response curves that explained the behavior of the treatments, with the exception of the layers 0 - 10 and 10 - 20 cm under unprotected urea, which had quadratic responses for NO3- + NO2- concentration (Figure 3). The quadratic effects (increase followed by decrease) are presumably associated with increased urea hydrolysis, with increased irrigation depths followed by the dilution of nitric nitrogen in the soil profile at the deepest depths.

Ammonia Nitrogen
When studying each N source at each irrigation depth, it was found that all the nitrogen sources at all irrigation depths provided a higher concentration of ammonia nitrogen (NH4+) in the soil than that under the control. However, the N source treatments were not different at the studied depths, except at 25 mm, in which urea + NBPT and urea + sulfur had higher ammonium contents than urea and urea + Cu + B (Table 4).

For the effects of soil profile depth for each source, urea, urea + Cu + B, and the control provided similar ammonium concentrations between the layers 0 - 10 and 10 - 20 cm layers; however, the ammonium contents in these layers were higher than that in the 20 to 40 cm layer. In contrast, for urea + NBPT and urea + sulfur, the NH4+ concentration decreased with increasing soil depth; that is, the highest concentration was found in the upper layer, followed by the intermediate layer and the deepest layer (Table 5). These results are similar to those reported for a fully sandy quartzarenic Neosol (Cardoso Neto, Guerra, & Chaves, 2006) and have been attributed to the electrostatic bonding of NH4+ to the negative soil charges, which keeps NH4+ around the site of fertilizer application (Wang & Alva, 1996; Cardoso Neto et al., 2006)
The study of the effect of sources at each depth showed that all nitrogen sources provided higher levels of ammonium than those in the control, regardless of the depth. However, a difference between the sources was found only in the zero to 10 cm layer, in which urea + NBPT provided the highest NH4+ concentration in relation to the other sources (Table 5). This result can be explained by the delay in the beginning of hydrolysis, the lower volatilization provided by urea + NBPT, and the longer duration of the fertilizer in its original form (urea) in the soil.

There was an exponential decrease in the ammonium concentration in the soil with the increase in applied water for all N treatments and a linear decrease for the control (Figure 4). At the shallower irrigation depths, there may not have been sufficient moisture to initiate nitrification, whereas at deeper depths, nitrification could have occurred, followed by percolation of the nitric N through the soil profile, since nitric N is mobile. Moreover, ammonium under these conditions may have been temporarily immobilized by the soil microbiota; therefore, no increase in nitric N concentration was observed (Da Ros, Silva, Basso, & Silva, 2015).
The linear decrease observed in the control treatment may have occurred as a function of the water increment, favoring the nitrification of the ammonia nitrogen in the soil from the organic matter (Table 1) present at the beginning of the evaluation.

Conclusion
A 10 mm irrigation depth is sufficient to incorporate urea into the soil and to stabilize N losses from NH3 volatilization, regardless of the use of urease inhibitors. NBPT is the most efficient inhibitor with no irrigation. All N sources increase the concentrations of nitric and ammonia nitrogen in the soil. In the first 15 days after fertilizer application, the highest concentrations of ammonium occur in the 0 - 10 cm and 10 - 20 cm soil layers, and NBPT provides the highest ammonium content compared to that of the other sources in the 0 - 10 cm soil layer.
Acknowledgements
The authors want to thank the Brazilian Consortium for Coffee Research and Development (Consórcio Pesquisa Café) for the financial support and the Coordination for the Improvement of Higher Education Personnel (CAPES) for the scholarships granted
References
Aita, C., Balem, A., Pujo, S. B., Schirmann, J., Gonzatto, R., Giacomini, D. A., & Giacomini, S. J. (2013). Redução na velocidade da nitrificação no solo após aplicação de cama de aviário com dicianodiamida. Ciência Rural, 43(8), 1387-1392. DOI: 10.1590/S0103-84782013005000102
Alvares, C. A., Stape, J. L., Sentelhas, P. C., Gonçalves, J. L. M., & Sparovek, G. (2013). Koppen’s climate classification map for Brazil. Meteorologische Zeitschrift, 22(6), 711-728. DOI: 10.1127/0941-2948/2013/0507
Araújo, E. S., Marsola, T., Miyazawa, M., Soares, L. H. B., Urquiaga, S., Boddey, R. M., & Alves, B. J. R. (2009). Calibração de câmara semiaberta estática para quantificação de amônia volatilizada do solo. Pesquisa Agropecuária Brasileira, 44(7), 769-776. DOI: 10.1590/S0100-204X2009000700018
Artola, E., Cruchaga, S., Ariz, I., Moran, J. F., Garnica, M., & Houdusse, F. (2011). Effect of N-(n-butyl) thiophosphoric triamide on urea metabolism and the assimilation of ammonium by Triticum aestivum L. Journal of Plant Growth Regulation, 63(1), 73-79. DOI: 10.1007/s10725-010-9513-6
Barberena, I. M., Espindula, M. C., Araújo, L. F. B., & Marcolan, A. L. (2019). Use of urease inhibitors to reduce ammonia volatilization in Amazonian soils. Pesquisa Agropecuária Brasileira , 54(1), 1-9. DOI: 10.1590/s1678-3921. pab2019.v54.00253
Bernardi, A. C. C., Mota, E. P., Cardosa, R. D., Monte, M. B. M., & Oliveira, P. P. A. (2014). Ammonia volatilization from soil, dry- matter yield, and nitrogen levels of italian ryegrass. Communications in Soil Science and Plant Analysis, 45(1), 153-162. DOI: 10.1080/00103624.2013.854804
Cantarella, H., Trivelin, P. C. O., Contin, T. L. M., Dias, F. L. F., Rossetto, R., Marcelino, R., ... Quaggio, J. A. (2008). Ammonia volatilization from urease inhibitor-treated urea applied to sugarcane trash blankets. Scientia Agricola, 65(4), 397-401. DOI: 10.1590/S0103-90162008000400011
Cardoso Neto, F., Guerra, H. O. C., & Chaves, L. H. G. (2006). Nitrogênio residual em solo adubado com diferentes fontes e intervalos de aplicação de nitrogênio. Revista Caatinga, 19(2), 161-168.
Chagas, W. F. T., Guelfi, D. R., Caputo, A. L. C., Souza, T. L., Andrade, A. B., & Faquin, V. (2016). Ammonia volatilization from blends with stabilized and controlled-released urea in the coffee system. Ciência e Agrotecnologia, 40(5), 497-509. DOI: 10.1590/1413-70542016405008916
Chien, S. H., Teixeira, L. A., Cantarella, H., Rehm, G. W., Grant, C. A., & Gearhart, M. M. (2016). Agronomic Effectiveness of granular nitrogen/phosphorus fertilizers containing elemental sulfur with and without ammonium sulfate: A review. Agronomy Journal, 108(3), 1203-1213. DOI: 10.2134/agronj2015.0276
Cunha, P. C. R., Silveira, P. M., Ximenes, P. A., Souza, R. F., Alves Júnior, J., & Nascimento, J. L. (2011). Fontes, formas de aplicação e doses de nitrogênio em feijoeiro irrigado sob plantio direto. Pesquisa Agropecuária Tropical, 41(1), 80-86. DOI: 10.5216/pat.v41i1.7515
Da Ros, C. O., Silva, R. F., Basso, C. J., & Silva, V. R. (2015). Nitrogênio disponível no solo e acumulado na cultura do milho associado a fontes nitrogenadas de eficiência aumentada. Enciclopédia Biosfera, 11(21), 1374-1385.
Dominghetti, A. W., Guelfi, D. R., Guimarães, R. J., Caputo, A. L. C., Spehar, C. R., & Faquin, V. (2016). Nitrogen loss by volatilization of nitrogen fertilizers applied to coffee orchard. Ciência e Agrotecnologia , 40(2), 173-183. DOI: 10.1590/1413-70542016402029615
Empresa Brasileira de Pesquisa Agropecuária [EMPRAPA]. (2013). Sistema Brasileiro de Classificação de Solos (3a. ed.). Brasília, DF: Embrapa.
Filho, M. C. M. T., Tarsitano, M. A. A., Buzetti, S., Bertolin, D. C., Colombo, A. S., & Nascimento, V. (2010). Análise econômica da adubação nitrogenada em trigo irrigado sob plantio direto no cerrado. Revista Ceres, 57(4), 446-443. DOI: 10.1590/S0034-737X2010000400002
Instituto Nacional de Meteorologia [INMET]. (2014). Dados meteorológicos. Retrieved on Aug. 20, 2018 from http://www.inmet.gov.br/portal/index.php?r=estacoes/mapaEstacoes.
Krajewska, B. (2009). Ureases I. Functional, catalyctic and kinetic properties. Journal of Molecular Catalysis B: Enzimatic, 59(1-3), 9-21. DOI: 10.1016/j.molcatb.2009.01.003
Marchesan, E., Grohs, M., Walter, M., Silva, L. S., & Formentini, C. F. (2013). Agronomic performance of rice to the use of urease inhibitor in two cropping systems. Revista Ciência Agronômica, 44(3), 594-603. DOI: 10.1590/S1806-66902013000300023
Moraes, M. F., Abreu Junior, C. H., & Lavres Junior, J. (2010). Micronutrientes. In L. I. Prochnow, V. Casarin, & S. R. Stipp (Ed.), Boas práticas para uso eficiente de fertilizantes (p. 207-278). Piracicaba, SP: IPNI.
Nascimento, C. A. C., Vitti, G. C., Faria, L. A., Luz, P. H. C., & Mendes, F. L. (2013). Ammonia volatilization from coated urea forms. Revista Brasileira de Ciência do Solo, 37(4), 1057-1063. DOI: 10.1590/S0100-06832013000400022
Oliveira, J. A., Stafanato, J. B., Goulart, R. S., Zanta, E., Lima, E., Manzur, N., Costa, F. G. M. (2014). Volatilização de amônia proveniente de ureia compactada com enxofre e bentonita, em ambiente controlado. Revista Brasileira de Ciência do Solo , 38(5), 1558-1564. DOI: 10.1590/S0100-06832014000500021
Rochette, P., Angersa, D. A., Chantignya, M. H., Gasserb, M., Macdonaldc, J. D., Pelstera, D. E., & Bertranda, N. (2013). Ammonia volatilization and nitrogen retention: how deep to incorporate urea? Journal of Environmental Quality, 42(6), 1635-1642. DOI: 10.2134/jeq2013.05.0192
Rodrigues, J. O., Partelli, F. L., Pires, F. R., Oliosi, G., Espindula, M. C., & Monte, J. A. (2016). Volatilização de amônia de ureias protegidas na cultura do cafeeiro conilon. Coffee Sciece, 11(4), 530-537.
Rojas, C. A. L., Bayer, C., Fontoura, S. M. V., Weber, M. A., & Vieiro, F. (2012). Volatilização de amônia da ureia alterada por sistemas de preparo de solo e plantas de cobertura invernais no Centro - Sul do Paraná. Revista Brasileira de Ciência do Solo , 36(1), 261-270. DOI: 10.1590/S0100-06832012000100027
Signor, D., & Cerri, C. E. P. (2013). Nitrous oxide emissions in agricultural soils: A review. Pesquisa Agropecuária Tropical , 43(3), 322-338. DOI: 10.1590/S1983-40632013000300014
Silva, D. F., Pegoraro, R. F., Maia, V. M., Kondo, M. K., Souza, G. L. O. D., & Mota, M. F. C. (2017). Volatilização de amônia do solo após doses de ureia com inibidores de urease e de nitrificação na cultura do abacaxi. Revista Ceres , 64(3), 327-337. DOI: 10.1590/0034-737x201764030014
Soares, J. R., Cantarella, H., & Menegale, M. L. C. (2012). Amonia volatilization losses from surface-applied urea with urease and nitrification inhibitors. Soil Biology & Biochemistry, 52, 82-89. DOI: 10.1016/j.soilbio.2012.04.019
Stafanato, J. B., Goulart, R. S., Zonta, E., Lima, E., Manzur, N., Pereira, C. G., & Souza, H. N. (2013). Volatilização de amônia oriunda de ureia pastilhada com micronutrientes em ambiente controlado. Revista Brasileira de Ciência do Solo , 37(3), 726-732. DOI: 10.1590/S0100-06832013000300019
Tasca, F. A., Ernani, P. R., Rogeri, D. A., Gatibori, L. C., & Cassol, P. C. (2011). Volatilização de amônia do solo após aplicação de ureia convencional ou com inibidor de urease. Revista Brasileira de Ciência do Solo , 35(2), 493-502. DOI: 10.1590/S0100-06832011000200018
Tedesco, M. J., Gianello, C., Bissani, C. A., Bohnen, H., & Volkweiss, S. J. (1995). Análise de solo, plantas e outros materiais. Porto Alegre, RS: UFRGS.
Tian, Z., Wang, J. J., Liu, S., Zhang, Z., Dodla, S. K., & Myers, G. (2015). Application effects of coated urea and urease and nitrification inhibitors on ammonia and greenhouse gas emissions from a subtropical cotton field of the Mississippi delta region. Science of the Total Environment, 533, 329-338. DOI: 10.1016/j.scitotenv.2015.06.147
Trenkel, M. E. (2010). Slow- and controlled-release and stabilized fertilizers: An option for enhancing nutrient efficiency in agriculture (2nd ed.). Paris, FR: IFA.
Wang, F. L., & Alva, A. K. (1996). Leaching of nitrogen from slow-release urea sources in Sandy soils. Soil Science Society of America Journal, 60(5), 1454-1458. DOI: 10.2136/sssaj1996.03615995006000050024x
Watson, C. J., Akhonzada, N. A., Hamilton, J. T. G., & Matthews, D. I. (2008). Rate ande mode of application of theurease inhibitor N-(n-butyl) thiophosphorictriamide on ammonia volatilization from superface - applied ureia. Soil Use and Management, 24(3), 246-253. DOI: 10.1111/j.1475-2743.2008.00157.x
Author notes
*Author for correspondence: E-mail: marcelo.espindula@embrapa.br