GENETICS AND PLANT BREEDING
Received: 23 April 2020
Accepted: 20 July 2020
DOI: https://doi.org/10.4025/actasciagron.v43i1.53317
ABSTRACT: Our objectives were to evaluate general and specific combining ability (SCA) and genetic divergence among tropical maize inbred lines using single sequence repeat (SSR) markers. Thirteen inbred lines were crossed based on a complete diallel scheme. Hybrids and three checks were evaluated in a lattice experimental design. Silk and anthesis flowering, average plant height, average ear height, white spot (Pantoea ananatis) and gray leaf spot (Cercospora zeae-maydis) severity, and grain yield were evaluated. Significant differences (p < 0.05) for general and specific combining abilities were observed for all traits. Based on additive effects, inbred lines 1 (Flash) and 12 (SG 6015) were selected to reduce the flowering period and plant and ear height. Inbred lines 2 (CD 303) and 3 (AG 8080) were selected to reduce disease severity. For the simultaneous increase in grain yield and reduced severity of diseases, line 11 (AG 9090) as a parent or tester in topcross schemes is recommended. According to non-additive effects, crosses 2 (CD 303) × 13 (DKB 747) and 11 (AG 9090) × 12 (SG 6015) were selected for grain yield and future breeding programs. Six groups were identified using SSR markers; a major group contained six inbred lines. Because of the minor relationship between genetic divergence and SCA effects on grain yield limits, the use of the groups for future divergent crosses is recommended.
Keywords: Zea mays L., diallel crosses, heterotic group.
Introduction
Maize (Zea mays L.) is a major food crop and has substantial social and economic importance; it is directly used for human consumption as well as for animal feed and several industrial purposes (Grigulo, Azevedo, Krause, & Azevedo, 2011). Maize breeding programs typically focus on the selection of highly productive and disease resistant genotypes, having greater adaptability and stability (Gralak et al., 2015).
The diallel analysis is one of the most-used tools for obtaining genetic information in maize breeding programs. This controlled mating system enables the estimation of the general combining ability (GCA) and the specific combining ability (SCA), which are associated with additive and non-additive genetic effects, respectively (Griffing, 1956; Cruz, Regazzi, & Carneiro, 2012). According to the parental genetic basis, the diallel analysis results allow the selection of genotypes for the development of new breeding populations (Oliboni et al., 2013; Souza Neto et al., 2015; Bertagna et al., 2018), developing new hybrids for final trials (Aguiar et al., 2004; Silva et al., 2010; Matias Jr., Kuki, Scapim, & Pinto, 2019), or heterotic group descriptions (Silva, Amaral Junior, Gonçalves, Freitas Junior, & Ribeiro, 2011; Gonçalves et al., 2014; Mendes, Miranda Filho, Oliveira, & Reis, 2015).
The development of single-cross hybrids depends on heterosis, which is related to genetic distance and the gene complementation effect (Lippman & Zamir, 2007; Schnable & Springer, 2013), Thus, selection of inbred lines based on genetic effects and heterotic groups is required to obtain superior single-cross hybrids. The identification of divergent parents is one of the first steps to obtain superior hybrids. This procedure has proved to be more reliable when molecular markers are used because they can be very useful in the identification of heterotic groups of genotypes as a consequence of the different allele frequencies of populations (Munhoz, Prioli, Amaral Junior, Scapim, & Simon, 2009; Ndhlela et al., 2015).
Several types of molecular markers are available for breeders and researchers, and new types of polymorphic markers are frequently being developed, enhancing the application of genetic sequencing in breeding programs (Bernardo, 2008; Idrees & Irshad, 2015). Some authors have already shown single sequence repeat (SSR) markers to be more suitable than random-amplified polymorphic DNA (RAPD), amplified fragment length polymorphisms (AFLPs), or single nucleotide polymorphisms (SNPs) for genetic divergency and germplasm characterization (Pejic et al., 1998; Vignal, Milan, SanCristobal, & Eggen, 2002; Ravi, Geethanjali, Sameeyafarheen, & Maheswaran, 2003; Varshney, Chabane, Hendre, Aggarwal, & Graner, 2007) primarily because of the reasonable cost-benefit, the high degree of polymorphism provided by a large number of alleles per locus (Vignal et al., 2002; Inghelandt, Melchinger, Lebreton, & Stich, 2010), and highly reproducible results (Jones et al., 1997).
White spot of corn is caused by the microbial complex Phaeosphaeria maydis (Rane, Payak, & Renfro, 1966) and Pantoea ananatis (Paccola-Meirelles, Ferreira, Meirelles, Marriel, & Casela, 2001; Gonçalves et al., 2013). This disease has occurred in Brazil since the 1990s. However, since 2010, the damage caused by the disease has increased, mainly in second crops and in regions with mild climates. With the increase in the second crop area, the occurrence of white spot has become a limiting factor for sustainable corn production (Cunha, Negreiros, Alves, & Torres, 2019).
The economic damage caused by white spot depends mainly on hybrid susceptibility associated with cultivation in regions with mild temperatures (< 25°C) and high relative air humidity (> 70%) (Fantin & Duarte, 2009). According to Carson (2005), for every 1% increase in the severity of white spot in the R5 maize stage, there was a reduction of 0.23% in grain yield and 0.16% in grain weight.
In São Paulo, Fantin and Duarte (2009) determined the correlation between corn yield and the severity level of this disease in the second crop. In more susceptible cultivars, the authors observed that severity above 25% caused an average decrease of 1,933 kg ha-1 in grain yield. The more resistant hybrids exhibited a severity below 1% (Fantin & Duarte, 2009). According to Cota, Costa, Sabato, and Silva (2013), if not controlled, white spot could cause yield reductions of up to 60% in susceptible hybrids.
Maize cercosporiosis, caused by the fungus Cercospora zeae-maydis and C. zeina, is one of the most important diseases in corn crops worldwide. In Brazil, the disease was first observed in the southwest of the Goiás State in 2000. Currently, it is present in almost all corn plantation areas in southcentral Brazil and occurs at high severity levels in susceptible cultivars, causing losses up to more than 80%.
High relative humidity, the presence of dew, and room temperature between 22 and 30°C are ideal conditions for the pathogen (Ward, Nowell, Stromberg, & Nutter, 1999; Paul & Munkvolk, 2005). Losses ranging from 20 to 60% in grain productivity because of cercosporiosis have been reported in several studies (Donahue, Stromberg, & Myers, 1991; Ward et al., 1999). The use of fungicides to control fungal diseases is especially recommended for special corn, such as sweet corn and popcorn, as well as seed corn production. In other cases, genetic resistance is highlighted as the most efficient alternative (Fantin, Duarte, & Pinto, 2003; Bradley & Ames, 2010).
The present study is justified because the genetic parameters of the inbred lines to be studied are not known and it is assumed there is genetic divergence between the lines because of their origin. Moreover, our goals were to evaluate the general combining ability (GCA), specific combining ability (SCA), and genetic divergence using SSR markers for the tropical maize available in our maize breeding program.
Material and methods
Field trial and statistical analysis
Thirteen inbred lines selected from different base populations were used as parents in a complete diallel design (Table 1). These genotypes denote the main core of the maize breeding program germplasm for the State University of Maringá and were obtained through several cycles of selfing and selection until a satisfactory level of homozygosis (S7) was reached. The F1 hybrids were obtained in the second growing season of 2017, at the Iguatemi Experimental Farm (23° 25′ S, 51° 57′ W, and an altitude of 550 m asl) located at Maringá, Paraná State, Brazil. The 13 inbred lines were grown pairwise using every possible cross in 10 m rows, spaced 0.9 m apart.
The trial area was prepared using a no-tillage system for desiccation of invasive plants using the non-selective contact herbicide Paraquat (4.0 L ha-¹). Basic fertilization consisted of 300 kg ha-¹ of a 08-20-20 formulation. Pest control was performed by the systemic application of an insecticide and contact based on methomyl and chlorantraniliprole, according to needs. Two applications of atrazine and tembotrione were conducted for the control of invasive post-emergence plants. Nitrogen coating was applied 40 days after sowing with 300 kg ha-¹ of urea.

The 78 resulting single-cross hybrids were evaluated against three commercial checks (AS1633, P30F53, and DKB 290), for a total of 81 treatments. The trial was carried out during the 2017/2018 main growing season at the Iguatemi Experimental Farm in Maringá, Paraná State, Brazil, in a 9 × 9 lattice incomplete block design, with three replications. Each plot consisted of two 5 m long rows spaced 0.90 m apart, resulting in a total area of 9 m². Each plot was thinned at 30 days to a density of 5 plants m-1, resulting in a population of approximately 55,500 plants ha-1 at harvest time.
The following traits were evaluated: days to anthesis (AT); days to silking (SI); average plant height (PH, m), and average ear height (EH, m) of six competitive plants. Additionally, white spot (WS) and gray leaf spot (GLS) severity were evaluated 25 days after flowering using the diagrammatic scale proposed by Agroceres (1996) under natural disease infestation, as well as grain yield (GY, kg plant-1) standardized to 13% moisture content.
A two-step analysis was performed for each evaluated trait. The first step consisted of an intrablock analysis of variance with the recovery of interblock information, which is a usual procedure for a lattice experimental design. The following model was used:
where: Yijk is the vector from observed data, ?? is the overall mean, ri is the replication effect, b(r)j/r is the nested effect of blocks within replications, ti is the treatment effect, and εijk is the residual effect. Adjusted treatments were considered as fixed effects.
The second step consisted of a diallel analysis, considering model IV proposed by Griffing (1956), where only the F1 crosses are used in the analysis. The sums of squares of the F1 adjusted treatments were partitioned into GCA and SCA, according to the model:
where: Y is the vector with the adjusted means for each F1 cross, µ is the overall mean, gi and gj are the GCA effect for the parents in each cross, sij is the SCA effect related to each specific diallel cross, and εijk is the residual effect. Effects were considered significant when p < 0.05. All analyses were performed using the Genes (Cruz, 2013) software.
DNA extraction and genetic divergence
The youngest leaves of five plants were sampled from each inbred line approximately 30 days after germination, immediately frozen in liquid nitrogen, and transferred to -80°C freezers. The DNA was extracted using a protocol described by Hoisington, Khairallah, and González-de-Léon (1994), with slight adaptations. DNA quality was evaluated on 1% agarose gel and quantified using a Picodrop microliter UV/Vis spectrophotometer, and the DNA concentration was adjusted to 10 ng µL-1 for amplification.
DNA amplification was performed in a thermal cycler using the Touchdown PCR methodology (Don, Cox, Wainwright, Baker, & Mattick, 1991) and separated using 4% agarose gel (50% agarose and 50% agarose metaphor) in TBE buffer X 0.5 (44.5 mM Tris, 44.5 mM boric acid, and 1 mM EDTA). The gels were exposed to an electric field of 60 volts for approximately 4 hours, stained with 0.5 µg mL-1 ethidium bromide solution, and photographed under a UV light. The alleles that were amplified were differentiated using a 100 pb DNA ladder from Invitrogen.
The SSR marker profile for each inbred line was determined by numerical codes related to each allele, where presence/absence was scored as 1 and 0, respectively, according to the multiallelism of each SSR marker (Cruz et al., 2012). Heterozygosity, number of polymorphic loci, and the total number of alleles were assessed using GenAIEx software version 6.5 (Peakall & Smouse, 2012). The polymorphism of each primer (PIC) was evaluated using Power Maker software (Liu & Muse, 2005). Modified Rodger’s distance and cophenetic correlation were performed using Genes software (Cruz, 2013).
Results and discussion
Least-square means of the treatments resulted in significant differences (p < 0.05) for all evaluated traits (Table 2), indicating differences among the least-square means of the crosses. The experimental coefficients of variation were considered to be of low to medium magnitude for all traits when compared to other reported studies of diallel crosses using inbred lines (Durães et al., 2002; Silva et al., 2010; Conrado et al., 2014; Werle et al., 2014) and also when compared with the reference values proposed by Fritsche Neto, Vieira, Scapim, Miranda, and Rezende (2012) for maize, indicating excellent experimental precision.

The data presented in Table 2 illustrated that the severity values for both diseases were relatively low based on the Agroceres scale. Despite differences among susceptibility levels, the significance of the GCA and SCA effects indicated that environmental conditions did not favor the occurrence of the diseases evaluated.
Diallel analysis indicated significant differences in GCA and SCA for all evaluated traits (Table 2). This was an important indication of different genetic contributions among inbred lines for the additive effects, andalso a direct result of the differential performance of the single-cross hybrid combinations compared to that expected from the GCA of their parents. According to quadratic component magnitudes, the contribution of the GCA effect was higher for AN, SI, PH, EH, and GLS severity, which was an indication of additive effects that controlled these traits (Table 3). Similar results were also observed by Freitas Jr., Amaral Jr., Pereira, Cruz, and Scapim (2006) and Kuki et al. (2017), who also observed higher importance for the additive effects for PH and EH, as well as flowering period. The contribution of the non-additive effects was higher only for WS severity and GY. Higher importance of non-additive effects was already expected for GY (Pfann et al., 2009; Oliboni et al., 2013; Senhorinho, Pinto, Scapim, Milani, & Nihei, 2015; Bertagna et al., 2018).
According to Cruz et al. (2012), GCA significance was attributed to additive effects, showing there was variability among the evaluated parents for the occurrence of favorable alleles, which could be selected based on genetic effects for the formation superior hybrids and testers in topcross schemes. SCA significance expressed the presence of non-additive gene effects in the related loci that affected the trait because, in the absence of dominance, SCA does not indicate significance in the diallel analysis (Vencovsky & Barriga, 1992).

Maize breeding programs seek hybrids that combine high grain yield, an early cycle, higher disease resistance, and lower estimates of plant and EH. Therefore, GCA enables the best parents to be selected based on the additive genetic effects to form superior single-cross hybrids with a higher frequency of favorable alleles (Cruz et al., 2012).
Considering ĝi estimations for PH and EH, inbred lines 1, 6, 10, and 12 could be recommended for future crosses with lower plant and ear height, according to their lower ĝi values compared with other inbred lines (Table 3). Inbred line 11 exhibited the lowest ĝi values for WS and GLS severity. Additionally, and inbred line 7 could be selected only for WS and inbred 8 for GLS only.
Negative ĝi values for AT and SI, expressed in days from sowing until the flowering period, basically express how early a genotype flower, which is desirable for breeding programs and farmers. In this scenario, inbred lines 1, 4, 9, and 12 can be used as genitors or testers for reducing both traits in future crosses. Regarding the GY trait, promising genotypes should be selected based on the highest GCA estimations. Considering this, inbred lines 2, 3, and 11 were superior in terms of frequency of favorable genes with additive effects. Furthermore, inbred line 11 was superior for WS, GLS, and GY, and inbred line 1 and 11 were superior for PH, EH, AT, and SI; however, none of the inbred lines used in the diallel scheme was simultaneously superior for all traits (Table 3).
It is important to select hybrid combinations that exhibit favorable ŝij estimations involving at least one parent with a favorable ĝi effect on the trait. Thus, the best hybrids would be those for which at least one of the parents was selected based on its ĝi estimation, thereby presenting a higher frequency of favorable alleles than the average frequency of the parents involved in the crosses (Vencovsky & Barriga, 1992; Cruz et al., 2012).
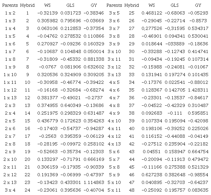
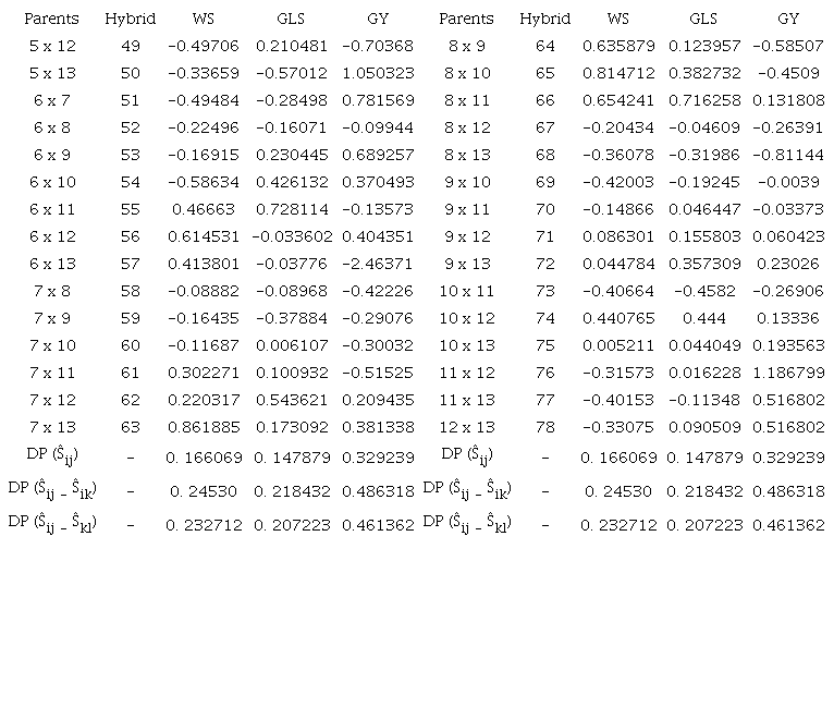
Tables 4 and 5 show the SCA estimators (ŝij )for GY and maize genetic resistance against the two diseases analyzed in our study: WS and GLS.
According to Cruz et al. (2012), the effect of SCA is interpreted as the deviation of the hybrid from what would be expected based on the GCA of its genitors. Thus, low values of ŝij indicate that hybrids perform as expected based on their GCA (ĝi ) values, whereas high absolute values of ŝij indicate better or poorer performance than expected. SCA estimates highlight the importance of genes with non-additive effects.
Considering the best-inbred lines selected based on their additive effects, the crosses 2 × 13 and 11 × 12 were the most promising for higher GY because these crosses presented higher and positive ŝij values, apart from the superiority of inbred lines 2 and 11, which could be selected for their GCA based on their highest additive effects.
Considering the results for the genetic divergence using SSR markers, 89 out of 221 primers were polymorphic for all 13 inbred lines, representing 40.27% of the total. After primer selection, 38 markers were used for the genetic divergence analysis. The number of alleles per locus for the lines ranged from two to six, totaling 114 alleles (Table 6). These results were higher than those described by Dandolini et al. (2008), who reported 27.4% of polymorphic markers using tropical popcorn inbred lines and the number of alleles ranged from two to five.


Polymorphism values (PIC) ranged from 0.23 (UMC1714, with two alleles) to 0.72 (MMC0501, with six alleles), with an average value of 0.46 (Table 6). Similar results were also reported by Lopes, Scapim, Mangolin, and Machado (2014) using 15 sweet corn inbred lines in a divergence genetic study, where the authors found 15 out of 100 polymorphic SSR markers with an average PIC of 0.41. The PIC can be used to differentiate markers based on their polymorphisms because the allele loci number and relative frequency of the alleles are used for estimating PIC. According to Botstein, White, Skolnick, and Davis (1980), values higher than 0.5 are considered highly informative, whereas values lower than 0.25 are considered low informative markers.

Genetic divergence between inbred lines was calculated using Roger’s modified distance (Goodman & Stuber, 1983) and the 38 polymorphic SSR markers. The dendrogram was constructed using the Unweighted Pair Group Method with Arithmetic Averages (UPGMA) clustering method. Groups were divided with a cut-off value of 0.6868, as suggested by Mojena (1977), with k = 1.25, thereby avoiding a possible cofounding factor for group separation.
The UPGMA dendrogram clustered the 13 inbred lines into six different groups (Figure 1), with a higher distance (0.83) between inbred lines 5 and 13 and the lowest distance (0.55) between inbred lines 5 and 6. Group 1 encompassed inbred lines 5, 6, 3, 4, 8, and 7, and was the largest reported group in this study. Group 3 originated by clustering inbred lines 1 and 9, whereas Group 4 included inbred lines 11 and 13. The other inbred lines were allocated solely in different groups. Concerning the main groups 1, 3, and 4, most of that inbred lines were obtained from base populations that originated from Syngenta and Bayer hybrids (Table 1), which suggests a certain similarity between the germplasm of these companies.
The estimated cophenetic correlation coefficient (r) was 0.58, which was similar to that observed by Guimarães et al. (2007) (r = 0.57) and by Alves, Filho, Burin, Toebe, and Silva (2015) (r = 0.58). Ferreira (2008) suggested a value close to 1 provided a better adjustment among distances, although Patto, Satovic, Pêgo, and Fevereiro (2004) recommended a value higher than 0.56 for a good adjustment considering maize inbred lines.

Taking into account the 39 hybrids from these companies, for those with positive SCA for GY, 29 had parents from different genetic groups (Figure 1). This indicated that genetic divergence among parents might explain the expression of non-additive effects in hybrids. However, this was not a consistent result because the hybrid with the highest SCA estimation (4 × 6) both had inbred lines clustered in the closest genetic groups. Some authors reported a good concordance among non-additive effects and genetic distances estimated using molecular markers for the flowering period and plant and EH (Lanza, Souza Junior, Ottoboni, Vieira, & Souza, 1997; Sun, William, Liu, Kasha, & Pauls, 2001; Souza et al., 2008), but low or almost no relationship among genetic divergence using SSR markers and phenotypic data for GY, a complex quantitative trait (Guimarães et al., 2007; Paterniani et al., 2008; Munhoz et al., 2009; Fernandes, Schuster, Scapim, Vieira, & Coan, 2015).
The lack of correlation among genetic divergence and SCA for GY observed in this study could be mainly explained by the random choice of SSR markers (Table 7). Thus, the SSR markers used herein were not necessarily associated with QTLs previously identified for any trait. Low genetic map resolution, the complex genetic architecture of traits, and a small number of polymorphic SSR markers available could also have contributed to the low correlation observed. A higher number of polymorphic markers and field trials in different years/seasons should improve these correlations for complex traits (Fernandes et al., 2015), but the costs for a large SSR-mapping panel might limit this analysis.

Conclusion
Inbred lines 2 (CD 303), 3 (AG 8080), and 11 (AG 9090) were selected based on additive effects and should be used in future hybrid combinations and as topcross testers. Single-cross hybrids 2 (CD 303) × 13 (DKB 747) and 11 (AG 9090) × 12 (SG 6015) were selected based on the non-additive effects and could be used for future breeding programs. Six groups were identified using SSR markers, with the major group containing six inbred lines. The low relationship between genetic divergence and SCA effects for GY limited the use of the groups for future divergent crosses.
References
Agroceres (1996). Guia Agroceres de sanidade. São Paulo, SP: Sementes Agroceres.
Aguiar, C. G., Scapim, C. A., Pinto, R. J. B., Amaral Jr., A. T., Silvério, L., & Andrade, C. A. B. (2004). Análise dialélica de linhagens de milho na safrinha. Ciência Rural, 34(6), 1731-1737. DOI: 10.1590/S0103-84782004000600010
Alves, B. M., Filho, A. C., Burin, C., Toebe, M., & Silva, L. P. (2015). Divergência genética de milho transgênico em relação à produtividade de grãos e à qualidade nutricional. Ciência Rural , 45(5), 884-891. DOI: 10.1590/0103-8478cr20140471
Bernardo, R. (2008). Molecular markers and selection for complex traits in plants: learning from the last 20 years. Crop Science, 48(5), 1649-1664. DOI:10.2135/cropsci2008.03.0131
Bertagna, F. A., Kuki, M. C., Senhorinho, H. J. C., Silva, H. A., Amaral Junior, A. T., Pinto, R. J. B., & Scapim, C. A. (2018). Combining abilities in green corn genotypes for yield and industrial quality traits. Maydica, 63(2), 1-7.
Botstein, D., White, R. L., Skolnick, M., & Davis, R. W. (1980). Construction of a genetic linkage map in man using restriction fragment length polymorphisms. American Journal of Human Genetics, 32(3), 314-331.
Bradley, C. A., & Ames, K. A. (2010). Effect of foliar fungicides on corn with simulated hail damage. Plant Disease, 94(1), 83-86. DOI: 10.1094/PDIS-94-1-0083
Carson, M. L. (2005). Yield loss potential of phaeosphaeria leaf spot of maize caused by Phaeosphaeria maydis in the United States. Plant Disease , 89(9), 986- 988. DOI: 10.1094/PD-89-0986
Conrado, T. V., Scapim, C. A., Bignotto, L. S., Pinto, R. J. B., Freitas, I. L. J., Amaral Junior, A. T., & Pinheiro, A. C. (2014). Diallel analysis of corn for special use as corn grits: determining the main genetic effects for corn gritting ability. Genetics and Molecular Research, 13(3), 6548-6556. DOI: 10.4238/2014
Cota, L. V., Costa, R. V., Sabato, E. O., & Silva, D. D. (2013). Histórico e perspectivas das doenças na cultura do milho. Sete Lagoas, MG: Embrapa Milho e Sorgo.
Cruz, C. D. (2013). GENES - a software package for analysis in experimental statistics and quantitative genetics. Acta Scientiarum. Agronomy, 35(3), 271-276. DOI:10.4025/actasciagron.v35i3.21251
Cruz, C. D., Regazzi, A. J., & Carneiro, P. C. S. (2012). Modelos biométricos aplicados ao melhoramento genético. Viçosa, MG: Editora UFV.
Cunha, B. A., Negreiros, M. M., Alves, K. A., & Torres, J. P. (2019). Influência da época de semeadura na severidade de doenças foliares e na produtividade do milho safrinha. Summa Phytopathologica, 45(4), 424-427. DOI: 10.1590/0100-5405/188038
Dandolini, T. S., Scapim, C. A., Amaral Junior, A. T., Mangolin, C. A., Machado, M. F. P. S., Mott, A. S., & Lopes, A. D. (2008). Genetic divergence in popcorn lines detected by microsatellite markers. Crop Breeding and Applied Biotechnology, 8(4), 313-320. DOI: 10.12702/1984-7033.v08n04a09
Don, R. H., Cox, P. T., Wainwright, B. J., Baker, K., & Mattick, J. S. (1991). Touchdown PCR to circumvent spurious priming during gene amplification. Nucleic Acids Research, 19(14), 4008. DOI: 10.1093/nar/19.14.4008.
Donahue, P. J., Stromberg, E. L., & Myers, S. L. (1991). Inheritance of reaction to gray leaf spot in a diallel cross of 14 maize inbreds. Crop Science , 31(4), 926-931.
Durães, F. O. M., Magalhães, P. C., Oliveira, A. C., Santos, X. M., Gomes, E. E.G., & Guimarães, C. T. (2002). Combining ability of tropical maize inbred lines under drought stress conditions. Crop Breeding and Applied Biotechnology , 2(2), 291-298.
Fantin, G. M., & Duarte, A. P. (2009). Manejo de doenças na cultura do milho safrinha. Campinas, SP: Instituto Agronômico.
Fantin, G. M., Duarte, A. P., & Pinto, R. A. (2003). Controle químico da cercosporiose do milho na safrinha. Brazilian Journal of Agriculture, 78(2), 193-207. DOI: 10.37856/bja.v78i2.2796.
Fernandes, E. H., Schuster, I., Scapim, C. A., Vieira, E. S. N., & Coan, M. M. D. (2015). Genetic diversity in elite inbred lines of maize and its association with heterosis. Genetics and Molecular Research , 14(2), 6509-6517. DOI: 10.4238/2015.June.12.3
Ferreira, D. F. (2008). Estatística multivariada. Lavras, MG: UFLA.
Freitas Junior, S. P., Amaral Junior, A. T., Pereira, M. G., Cruz, C. D., & Scapim, C. A. (2006). Capacidade combinatória em milho-pipoca por meio de dialelo circulante. Pesquisa Agropecuária Brasileira, 41(11), 1599-1607. DOI: 10.1590/S0100-204X2006001100005
Fritsche Neto, R., Vieira, R. A., Scapim, C. A., Miranda, G. V., & Rezende, L. M. (2012). Updating the ranking of the coefficients of variation from maize experiments. Acta Scientiarum. Agronomy , 34(1), 99-101. DOI: 10.4025/actasciagron.v34i1.13115
Gonçalves, L. S. A., Freitas Junior, S. P., Amaral Junior, A. T., Scapim, C. A., Rodrigues, R., Marinho, C. D., & Pagliosa, E. S. (2014). Estimating combining ability in popcorn lines using multivariate analysis. Chilean Journal of Agricultural Research, 74(1), 10-15. DOI: 10.4067/S0718-58392014000100002
Gonçalves, R. M., Figueiredo, J. E. F., Pedro, E. S., Meirelles, W. F., Leite Junior, R. P., Sauer, A. V., & Paccolla-Meirelles, L. D. (2013). Etiology of Phaeosphaeria leaf spot disease of maize. Journal of Phytophathology, 95(3), 559-569. DOI: 10.4454/JPP.V95I3.037
Goodman, M. M., & Stuber, C. W. (1983). Races of maize. VI. Isozyme variation among races of maize in Bolivia. Maydica , 28(2), 169-187.
Gralak, E., Faria, M. V., Rossi, E. S., Possato Junior, O., Gabriel, A., Mendes, M. C., Scapim, C. A., & Neumann, M. (2015). Combining ability of maize hibrids for grain yield and severity of leaf deseases in circulant diallel. Revista Brasileira de Milho e Sorgo, 14(1), 116-129. DOI: 10.18512/1980-6477
Griffing, B. (1956). Concept of general and specific combining ability in relation to diallel crossing systems. Australian Journal of Biological Sciences, 9(4), 463-493. DOI: 10.1071/BI9560463
Grigulo, A. S. M., Azevedo, V. H., Krause, W., & Azevedo, P. H. (2011). Avaliação do desempenho de genótipos de milho para consumo in natura em Tangará da Serra, MT, Brasil. Bioscience Journal, 27(4), 603-608.
Guimarães, P. S., Paterniani, M. E. A. G. Z., Lüders, R. R., Souza, A. P., Laborda, P. R., & Oliveira, K. M. (2007). Correlação da heterose de híbridos de milho com divergência genética entre linhagens. Pesquisa Agropecuária Brasileira , 42(6), 811-816. DOI: 10.1590/S0100-204X2007000600007
Hoisington, D., Khairallah, M., & González-de-Léon, D. (1994). Laboratory Protocols: CIMMYT Applied Molecular Genetics Laboratory (3rd ed.). Mexico, DF: CIMMYT.
Idrees, M., & Irshad, M. (2015). Molecular markers in plants for analysis of genetic diversity: a review. European Academic Research, 2(1), 1513-1540.
Inghelandt, D., Melchinger, A. E., Lebreton, C., & Stich, B. (2010). Population structure and genetic diversity in a commercial maize breeding program assessed with SSR and SNP markers. Theoretical and Applied Genetics, 120(7), 1289-1299. DOI: 10.1007/s00122-009-1256-2
Jones, C. J., Edwards, K. J., Castaglione, S., Winfield, M. O., Sala, F., & Karp, A. (1997). Reproducibility testing of RAPD, AFLP and SSR markers in plants by a network of European laboratories. Molecular Breeding, 3(5), 381-390. DOI: 10.1023/A:1009612517139
Kuki, M. C., Scapim, C. A., Pinto, R. J. B., Figueiredo, A. S. T., Contreras-soto, R. I., & Bertagna, F. A. B. (2017). Inbreeding depression and average genetic components in green corn genotypes. Ciência Rural , 47(5), 1-6. DOI: 10.1590/0103-8478cr20160024
Lanza, L. L. B., Souza Junior, C. L., Ottoboni, L. M. M., Vieira, M. L. C., & Souza, A. P. (1997). Genetic distance of inbred lines and prediction of maize single-cross performance using RAPD markers. Theoretical and Applied Genetics , 94(8), 1023-1030. DOI: 10.1007/s001220050510
Lippman, Z. B., & Zamir, D. (2007). Heterosis: revisiting the magic. Trends in Genetics, 23(2), 60-66. DOI: 10.1016/j.tig.2006.12.006
Liu, K., & Muse, S. V. (2005). PowerMarker: an integrated analysis environment for genetic marker analysis. Bioinformatics, 21(9), 2128-2129. DOI: 10.1093/bioinformatics/bti282
Lopes, A. D., Scapim, C. A., Mangolin, C. A., & Machado, M. F. P. S. (2014). Genetic divergence among sweet corn lines estimated by microsatellite markers. Genetics and Molecular Research , 13(4), 10415-10426. DOI: 10.4238/2014.December.12.3
Matias Jr., J. L., Kuki, M. C., Scapim, C. A., & Pinto, R. J. B. (2019). Diallel Analysis and Prediction of Untested Maize Single Cross Hybrids. Bioscience Journal , 35(1), 148-158. DOI: 10.14393/BJ-v35n1a2019-39820
Mendes, U. C., Miranda Filho, J. B., Oliveira, A. S., & Reis, E. F. (2015). Heterosis and combining ability in crosses between two groups of open-pollinated maize populations. Crop Breeding and Applied Biotechnology , 15(4), 235-243. DOI: 10.1590/1984-70332015v15n4a40
Mojena, R. (1977). Hierarchical grouping methods and stopping rules: an evaluation. The Computer Journal, 20(4), 359-363. DOI: 10.1093/comjnl/20.4.359
Munhoz, R. E. F., Prioli, A. J., Amaral Junior, A. T., Scapim, C. A., & Simon, G. A. (2009). Genetic distances between popcorn populations based on molecular markers and correlations with heterosis estimates made by diallel analysis of hybrids. Genetics and Molecular Research , 8(3), 951-962. DOI: 10.4238/vol8-3gmr592
Ndhlela, T., Herselman, L., Semagn, K., Magorokosho, C., Mutimaamba, C., & Labuschagne, M. (2015). Relationships between heterosis, genetic distances and specific combining ability among CIMMYT and Zimbabwe developed maize inbred lines under stress and optimal conditions. Euphytica, 204(3), 635-647. DOI: 10.1007/s10681-015-1353-z
Oliboni, R., Faria, M. V., Neumann, M., Resende, J. T. V., Battistelli, G. M., Tegoni, R. G., & Oliboni, D. F. (2013). Diallelic analysis in assessing the potential of maize hybrids to generate base-populations for obtaining lines. Semina: Ciências Agrárias, 34(1), 7-18. DOI: 10.5433/1679-0359.2013v34n1p7
Paccola-Meirelles, L. D., Ferreira, A. S., Meirelles, W. F., Marriel, I. E., & Casela, C. R. (2001). Detection of a bacterium associated with a leaf spot disease of maize in Brazil. Journal of Phytophathology , 149(5), 275-279.
Paterniani, M. E. A. G. Z., Guimarães, O. S., Lüders, R. R., Gallo, P. B., Souza, A. P., Laborda, P. R., & Oliveira, K. M. (2008). Capacidade combinatória, divergência genética entre linhagens de milho e correlação com heterose. Bragantia, 67(3), 639-648. DOI: 10.1590/S0006-87052008000300012
Patto, M. C. V., Satovic, Z., Pêgo, S., & Fevereiro, P. (2004). Assessing the genetic diversity of Portuguese maize germplasm using microsatellite markers. Euphytica , 137(1), 63-72. DOI: 10.1023/B:EUPH.0000040503.48448.97
Paul, P. A., & Munkvold, G. P. (2005). Influence of temperature and relative humidity on sporulation of Cercospora zeae-maydis and expansion of gray leaf spot lesions on maize leaves. Plant Disease , 89(6), 624-630. DOI: 10.1094/PD-89-0624
Peakall, R., & Smouse, P. E. (2012). GenAlEx 6.5: genetic analysis in Excel. Population genetic software for teaching and research - an update. Bioinformatics , 28(19), 2537-2539. DOI: 10.1093/bioinformatics/bts460
Pejic, L., Ajmone-Marsan, P., Morgante, M., Kozumplick, V., Castiglioni, P., Taramino, G., & Motto, M. (1998). Comparative analysis of genetic similarity among maize inbred lines detected by RFLPs, SSRs, and AFLPs. Theoretical and Applied Genetics , 97(8), 1248-1255. DOI: 10.1007/s001220051017
Pfann, A. Z., Faria, M. V., Andrade, A. A., Nascimento, I. R., Faria, C. M. D. R., & Bringhentti, R. M. (2009). Capacidade combinatória entre híbridos simples de milho em dialelo circulante. Ciência Rural , 39(3), 635-641. DOI: 10.1590/S0103-84782009000300002
Rane, M. S., Payak, M. M., & Renfro, B. L. A. (1966). Phaeosphaeria leaf spot of maize. Indian Phytopathology Society Bulletin, 3(1), 8-10.
Ravi, M., Geethanjali, S., Sameeyafarheen, F., & Maheswaran, M. (2003). Molecular marker based genetic diversity analysis in rice (Oryza sativa L.) using RAPD and SSR markers. Euphytica , 133(2), 243-252. DOI: 10.1023/A:1025513111279
Schnable, P. S., & Springer, N. M. (2013). Progress toward understanding heterosis in crop plants. Annual Review of Plant Biology, 64(1), 71-88. DOI: 10.1146/annurev-arplant-042110-103827
Senhorinho, H. J. C., Pinto, R. J. B., Scapim, C. A., Milani, K. F., & Nihei, T. H. (2015). Combining abilities and inbreeding depression in commercial maize hybrids. Ciências Agrárias, 36(6), 4133-4149. DOI: 10.5433/1679-0359.2015v36n6Supl2p4133
Silva, V. Q. R., Amaral Jr., A. T., Gonçalves, L. S. A., Freitas Jr., S. P., Candido, L. S., Vittorazzi, C., … Scapim, C. A. (2010). Combining ability of tropical and temperate inbred lines of popcorn. Genetics and Molecular Research , 9(3), 1742-1750. DOI: 10.4238/vol9-3gmr900
Silva, V. Q. R., Amaral Junior, A. T., Gonçalves, L. S. A., Freitas Junior, S. P., & Ribeiro, R. M. (2011). Heterotic parameterizations of crosses between tropical and temperate lines of popcorn. Acta Scientiarum. Agronomy , 33(2), 243-249. DOI:10.4025/actasciagron.v33i2.9607
Souza Neto, I. L. S., Scapim, C. A., Pinto, R. J. B., Jobim, C. C., Figueiredo, A. S. T., & Bignotto, L. S. (2015). Análise dialélica e depressão endogâmica de híbridos forrageiros de milho para características agronômicas e de qualidade bromatológica. Bragantia , 74(1), 42-49. DOI: 10.1590/1678-4499.0315
Souza, S. G. H., Carpentieri-Pípolo, V., Ruas, C. F., Carvalho, V. P., Ruas, P. M., & Gerage, A. C. (2008). Comparative analysis of genetic diversity among the maize inbred lines (Zea mays L.) obtained by RAPD and SSR markers. Brazilian Archives of Biology and Technology, 51(1), 183-192. DOI: 10.1590/S1516-89132008000100022
Sun, G. L., William, M., Liu, J., Kasha, K. J., & Pauls, K. P. (2001). Microsatellite and RAPD polymorphisms in Ontario corn hybrids are related to the commercial sources and maturity ratings. Molecular Breeding , 7(1), 13-24. DOI: 10.1023/A:1009680506508
Varshney, R. K., Chabane, K., Hendre, P. S., Aggarwal, R. K., & Graner, A. (2007). Comparative assessment of EST-SSR, EST-SNP and AFLP markers for evaluation of genetic diversity and conservation of genetic resources using wild, cultivated and elite barleys. Plant Science, 173(6), 638-649. DOI: 10.1016/j.plantsci.2007.08.010
Vencovsky, R., & Barriga, P. (1992). Genética biométrica no fitomelhoramento. Ribeirão Preto, SP: Sociedade Brasileira de Genética.
Vignal, A., Milan, D., SanCristobal, M., & Eggen, A. (2002). A review on SNP and other types of molecular markers and their use in animal genetics. Genetics Selection Evolution, 34(3), 275-305. DOI: 10.1051/gse:2002009
Ward, J. M., Nowell, D., Stromberg, E. L., & Nutter Jr., F.W. (1999). Gray leaf spot - A disease of global importance in maize production. Plant Disease , 83(10), 884-895. DOI: 10.1094/PDIS.1999.83.10.884
Werle, A. J. K., Ferreira, F. R. A., Pinto, R. J. B., Mangolin, C. A., Scapim, C. A., & Gonçalves, L. S. A. (2014). Diallel analysis of maize inbred lines for grain yield, oil and protein. Crop Breeding and Applied Biotechnology , 14(1), 23-28. DOI: 10.1007/s10681-011-0513-z
Author notes
*Author for correspondence. E-mail: tauanagibim@hotmail.com