CROP PRODUCTION
Growing apples in tropical semiarid: N and K fertigation
Growing apples in tropical semiarid: N and K fertigation
Acta Scientiarum. Agronomy, vol. 44, e52785, 2022
Editora da Universidade Estadual de Maringá - EDUEM
Received: 25 March 2020
Accepted: 28 July 2020
ABSTRACT. : Apple tree has been experimentally grown Brazilian tropical semiarid. In these new regions, fertilizing management research for N and K is crucial to reach apple high yields. Therefore, an experiment was conducted to evaluate the effect of N and K fertilizing on fruit production, leaf chlorophyll and N and K nutritional status of apple cv. ‘Julieta’ grown in Brazilian tropical semiarid. The experimental design used was randomized blocks with treatments disposed in a factorial arrangement (4 x 4) referring to nitrogen doses (30, 60, 90, and 120 g of N plant-1) and potassium doses (30, 60, 90, and 120 g of K2O plant-1), with three replications and three plants in each parcel. ‘Julieta’ apple trees propagated by grafting (with ‘M9 filter and Maruba rootstock) and transplanted in 2013 were used in this study. The following variables were evaluated: i) fruit production (kg plant-1); ii) number of fruits (in a plant); iii) leaf chlorophyll index (‘a’, ‘b’, and total); and iv) leaf N and K concentrations (g kg-1). N and K doses effects depend on the consecutive production cycles of apple cv. ‘Julieta’ grown in tropical semiarid. An adequate N supply is very important for the subsequent production cycle. K fertilization until 120 g plant-1 of K2O is not enough to supply K demand of apple cv. ‘Julieta’ grown in tropical semiarid. In tropical semiarid, 60-90 g plant-1 of N through fertirrigation is enough for ‘Julieta’ apple production.
Keywords: fruit production, Malus domestica, plant nutrition, nitrogen, potassium.
Introduction
Apple is one of the most economically important fruiting species around the world, traditionally grown under temperate climate conditions (Food and Agriculture Organization [FAO], 2019). In Brazil, apples are grown in the South region, where the four seasons are well defined and more than 95% of all apple consumed is produced. In the 2017/18 harvest, Brazil produced 1.1 million tons of apple, and the main varieties were Gala and Fuji (Associação Brasileira de Produtores de Maçã [ABPM], 2018).
Recent experimental results have demonstrated that apples can be grown in non-traditional regions, with short or even no cold period, by cultivating little cold demand cultivars such as ‘Julieta’ and ‘Princesa’ (Lopes, Oliveira, Silva, & Cavalcante, 2012; Lopes, Oliveira, Silva, & Cavalcante, 2013; Miranda, Cavalcante, Oliveira, Lopes, & Assis, 2015a; Miranda, Cavalcante, Oliveira, & Lopes, 2015b).
Fertilization in apples, as in other fruit species, depends on soil physical and chemical properties, besides being crucial to achieve high yields over years and to maintain a commercial standard quality of fruits (Souza, Argenta, Nava, Ernani, & Amarante, 2013).
Nitrogen (N) and potassium (K) are the most demanded nutrients by apples; however, they must be balanced to ensure a nutritional balance of trees and achieve high yields and fruit quality (Nava & Dechen, 2009). Despite the high N demand of apple trees, there is still no fertilization pattern, especially under the new edaphoclimatic conditions, as in the tropical semiarid. It is important to note that N has high dynamics in soil and can be absorbed in both organic and inorganic forms (Pereira et al., 2020), highlighting the relevance of studying the theme.
According to Lu, Yang, Li, Li, and Tong (2015), adequate K management increases its concentrations in leaves and fruits, improving fruit mass and quality. On the other hand, K deficiency reduces fruit size and hence yield (Zhang et al., 2017). This element regulates lots of essential plant process such as photosynthesis, stomatal opening, water absorption, enzymatic activities, and production of starch and proteins (Wang & Wu, 2017). Moreover, fertigation systems have been used for fertilizing management (including for N and K) of some fruit crops, improving fertilizer use efficiency and consequently fruit production and quality (Lima et al., 2020).
Based on the above, an experiment was conducted to evaluate the effects of N and K fertilizing on fruit production, leaf chlorophyll content, and N and K nutritional status of apple trees cv. Julieta under Brazilian tropical semiarid conditions.
Material and methods
Plant material and growth conditions
‘Julieta’ apple (Malus domestica) trees propagated by grafting (with ‘M9 filter and Maruba rootstock), transplanted in 2013 and in their second production season were used in this study.
The study was carried out from August 2015 to January 2016 (first trial) and from June 2016 to December 2016 (second trial) on an experimental orchard in Serenissima farm, in Lagoa Grande (09°21’ S and 40º34’ W; at an altitude of 375 m above sea level), Brazil.
The climate of this region is classified as Bswh (Köeppen), which corresponds to a semiarid region. The climatic data for average air temperature and air humidity (thermo-hygrometer Instrutemp®, Brazil) during the experiments are in Figure 1.
The soil physical and chemical characteristics (Red-Yellow Oxisol) where the experiment was carried are in Table 1.
The apple trees were pruned and treated with 0.08% hydrogen cyanamide and 3.0% mineral oil (Assist®) and 3.0% of color fix (Hi-Light®), immediately after hand defoliation, which was performed in August 2015 (first trial) and June 2016 (second trial), according to instructions of Lopes et al. (2012). Fruit thinning also was performed when fruit measured approximately 2.0 cm in diameter, maintaining just one or two fruits in each floral bunch.
The plants, spaced with 4.0 m between the rows and 1.25 m between the plants, were set up with a central leader and daily drip-irrigated with five self-regulated emitters per tree for a flow of 2 L hour-1 each. Irrigation water management was performed based on daily evapotranspiration corrected through apple Kc value.


The N and K fertigations were performed twice a week for 40 days, thus reaching 12 fertilizings. The first fertigation was performed at 40 days after breaking dormancy. Calcium nitrate (15.5% of N) and urea (44% of N) were alternately applied for N sources, while the potassium sulphate (50% of K2O) was used as a K source.
The fertilizing management of the other nutrients was performed through irrigation water using triple superphosphate (45% of P2O5), magnesium sulphate (15% of Mg), boric acid (17% of B). Zinc (10.4% of Zn), magnesium (6.6% of Mg) and iron (2.0 of Fe; 1.0 of Zn; and 10% of amino acid) were applied through foliar sprays. The fertilizing management followed instructions of Nava, Nuernberg, Pereira, and Dechen (2007).
All agronomic treats performed in the experiment followed the instructions of Empresa de Pesquisa Agropecuária e Extensão Rural de Santa Catarina [Epagri] (2006).
Treatments and experimental design
The experimental design used was randomized blocks with treatments disposed in a factorial arrangement (4 x 4) referring to nitrogen doses (30, 60, 90, and 120 g of N plant-1) and potassium doses (30, 60, 90, and 120 g of K2O plant-1), with three replications and three plants in each parcel. N and K doses followed the previous studies of Ernani, Dias, and Flore (2002) and Miranda et al. (2015a).
Data gathered and statistical analysis
During fruit production the leaf chlorophyll readings (‘a’, ‘b’, and total) were measured using a chlorophyll meter (Falker?, Brazil) in four leaves in each plant from the canopy middle part at each cardinal point, as previously performed by Cavalcante, Silva Junior, Santos, and Lima (2016).
After leaf chlorophyll readings the same leaves were collected and chemically analyzed for total N concentrations using the Kjeldahl method and K concentrations through flame absorption spectrophotometry method, following Bataglia, Furlani, Teixeira, Furlani, and Gallo (1983) methodology.
The accumulated number of fruits per plant and the fruit production (kg plant-1) were recorded. Statistical analyses included analysis of variance and regression analysis (simple or multiple) of N and K doses of each trial. All calculations were performed using the software SigmaPlot 12.5, and terms were considered significant at p < 0.05 or p < 0.01.
Results and discussion
Table 2 shows that, in the first trial, interactions of N and K doses had no significant effect on leaf chlorophyll indexes (‘a’, ‘b’, and total), while individual effects of N and K doses were registered for fruit yield and number of fruits per plant. In the second trial, interactions of N and K doses were identified for fruit yield and number of fruits per plant, while leaf chlorophyll indexes were affected only by N doses.
In the second trial (Figure 2A, B, and C), leaf chlorophyll indexes (‘a’, ‘b’, and total) had a linear fit to data as a function of N doses applied, with a minimum fit of 0.88 (leaf chlorophyll ‘a’ index), 0.91 (leaf chlorophyll ‘b’ index), and 0.89 (leaf total chlorophyll index), and a peak at the highest N dose studied (120 g plant-1 N).


Higher leaf chlorophyll indexes (‘a’, ‘b’, and total) were recorded for higher N fertilization doses (Figure 2), which is in agreement with Cavalcante et al. (2016). In this context, Römheld and Kirkby (2010) explained that N is a crucial structural component of chlorophyll in porphyrin ring, therefore its leaf contents could be proportional to chlorophyll contents. Furthermore, chlorophyll ‘a’ and ‘b’ in chloroplasts are the most important photosynthetic pigments as they absorb light at varying wavelengths for photosynthesis. According to Gutiérrez-Gamboa et al. (2018), chlorophyll ‘a’ is the most abundant, while ‘b’ is an accessory pigment in light-harvesting chlorophyll complexes that traps light energy. It also channels the light energy to chlorophyll ‘a’, which is present in plants in a normal a/b proportion of 3/1. In this study, an average ranging from 2.4/1 to 2.9/1 (a/b) was found.
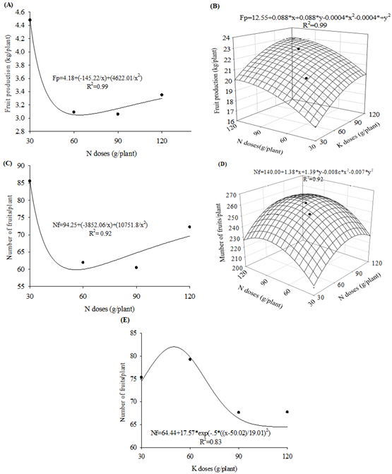
In the first trial, N doses significantly affected apple yield (Figure 3A), peaking at the lowest N dose (4.47 kg plant-1). In the second trial, fruit yield had a quadratic fit to data, with a minimum fit of 0.99 and peak at 23.25 kg (Figure 3B), which was followed by a consecutive decay.

From the first to the second trial, there was an increase in maximum yields from 4.47 kg plant-1 (Figure 3A) to 23.23 kg plant-1 (Figure 3B). It may be related to plant capacity to store N, mainly as proteins, which can be used in the following cycle (Nava & Dechen, 2009). Castro, Micheloud, Buyatti, and Gariglio (2015) studied optimal fruit production of apple cv. Princess and observed variation in the number of fruits per plant, ranging from 10 to 25 kg plant-1.
The number of fruits per plant (Figure 3C) had the same trend as fruit yield per plant (Figure 3A), that is, there was a peak at the lowest N dose (85 fruits plant-1). Yet for K doses in the first trial (Figure 3E), we observed a peak of 81.92 fruits plant-1 for plants fertilized with 49.25 g plant-1 K, differing in 8.8% with non-fertilized plants. Conversely, in the second trial, the highest mean number of fruits per plant (252.2 fruits plant-1) was recorded in plants fertilized with 60 g plant-1 of N and K (Figure 3D).
Our results (Figure 3) dissent from that of Nava et al. (2007), who reported a linear increase in fruit number per plant as N doses were raised. Notably, N has effects on brunch growth and sprouting, thus directly affecting fruit production (Nava et al., 2007). According to Wang and Wu (2017), apart from the direct effect of K on plants, it also enhances N root uptake. Also, Ernani et al. (2002) described a linear effect of K fertilization on N leaf concentration.
Miranda et al. (2015a) and Nava (2010) observed no N effect on apple fruit production. However, it is known that such an effect may vary with N fertilization method. Pereira et al. (2020) clarified that N fertilization affects its availability in soil and fertigation makes it available for plants faster.
A higher number of fruits was registered in plants fertilized with a calculated peak of 49.25 g plant-1 of K. This may be due to a better K nutrition of buds which, according to Nava and Dechen (2009), enhances the number of fruits per floral bunch. Several studies have focused on achieving the best fruit yield per apple tree (Treder, 2010); however, it has to be defined on a cultivar level. Such production level may range from 4.7 to 16.0 fruits per square centimeter of trunk cross-sectional area (Serra, Leisso, Giordani, Kalcsits, & Musacchi, 2016) since a very high load of fruits can decrease their quality and alternate bearing.
In both trials (Figure 4A, B, and C), N and K leaf concentrations had quadratic fits to data as a function of N and K doses. Increasing N and K doses enhanced N and K leaf concentrations in the first trial, reaching a calculated peak of 20.5 g plant-1 (N) in plants fertilized with 90 g plant-1 of N and K. In the second trial, the lowest N and K dose (30 g plant-1 of N and K) promoted a leaf concentration of 13.1 g kg-1 of N, which is lower than that in the first trial.

Leaf N concentrations showed different trends between the first and second trials. In the second trial, it decreased as a function of N and K doses. Yet in the first trial, it occurred from the maximum N and K calculated peak onwards (Figure 4A and B). Such a trend might have occurred due to low soil organic matter contents before the beginning of the study (Table 2), combined with the high N demand of apple, which has N as the second most demanded nutrient (Nachtigall, Basso, & Freire, 2004).
Under a semiarid climate, Miranda et al. (2015a) also observed averages of leaf N contents of 24.6 and 29.5 g kg-1 for ‘Eva’ and ‘Princesa’ apples, respectively, thus higher than our findings (Figure 4). Whether compared with the standardized foliar levels of nitrogen established by Malavolta, Vitti, and Oliveira (1997), we may infer that when fertilized with 90 g plant-1 of N and K (first trial), plants had an adequate N supply (20 g kg-1 of N); however, in the second trial, none of the treatments supplied N properly. An adequate N nutrition is crucial to reach high apple yields, especially because this nutrient acts on several biochemical plant processes as part of amino acids, proteins, and nucleic acids (Römheld & Kirkby, 2010). Mainly for apples, N nutrition has particular importance because high leaf concentrations promote russeting, a physiological disorder characterized by lower fruit firmness, intense green color in fruits, and reduction in phosphorus, potassium, and boron contents (Nachtigall et al., 2004).
In the first trial, K leaf concentration increased with N and K doses, but only N doses had fit to data (Figure 4C). Increasing N doses enhanced K leaf concentrations until 60 g plant-1 of N, with a consecutive drop at higher N doses (Figure 4C). In contrast, from the lowest to the highest K doses applied, K leaf concentrations ranged from 0.85 to 0.97 g kg-1. In the second trial, although no data fit was observed in the regression model, leaf K concentrations ranged from 8.17 and 12.28 g kg-1. Furthermore, average leaf K concentrations decreased by 62.43% from the first to the second trial.
Leaf K concentrations recorded in our study (8.17-12.28 g kg-1) are below the standardized foliar levels of potassium (12-15 g kg-1) established by Nachtigall et al. (2004). We also observed very low leaf K concentrations and these decreased by 62.43% from the first to the second trial. It can be explained by K remobilization from leaves to fruits, as this nutrient is mobile in the phloem, and fruits represent a strong drain, especially of K, which is the most exported nutrient by apple fruits (Brunetto, Melo, Toselli, Quartieri, & Tagliavini, 2015).
According to Römheld and Kirkby (2010), K is absorbed by apple trees at high levels, greater than the required for growth and production. However, proper K nutrition is crucial to reach high apple yields, since the physiological basis of K effects on fruit quality is well known. Potassium increases photosynthesis as a consequence of a higher photosynthetic efficiency, which increases leaf number and size, improving translocation of photoassimilates.
Conclusion
Nitrogen and potassium fertilization doses have effects on the following production cycles of apple cv. Julieta grown in tropical semiarid. Proper nitrogen supply is quite important for the subsequent production cycles. Potassium fertilization doses up to 120 g plant-1 of K2O are not enough to supply potassium demands of apple cv. Julieta grown in tropical semiarid, when considering reports in the literature. In tropical semiarid, nitrogen doses from 60 to 90 g plant-1 of N through fertigation are enough apple ‘Julieta’ production.
Acknowledgements
The authors gratefully thank to Facepe (Pernambuco State Foundation for Support of Science and Technology) under Grant number IBPG-1352-5.01/14.
References
Associação Brasileira de Produtores de Maçã [ABMP]. (2018). Estatísticas. Retrieved on July 10, 2020 from Retrieved on July 10, 2020 from http://www.abpm.org.br/
Bataglia, O. C., Furlani, A. M. C., Teixeira, J. P. F., Furlani, P. R., & Gallo, J. R. (1983). Métodos de análise química de plantas. Campinas, SP: Instituto Agronômico.
Brunetto, G., Melo, G. W. B., Toselli, M., Quartieri, M., & Tagliavini, M. (2015). The role of mineral nutrition on yields and fruit quality in grapevine, pear and apple. Revista Brasileira de Fruticultura, 37(4), 1089-1104. DOI: https://doi.org/10.1590/0100-2945-103/15
Castro, D. C., Micheloud, N., Buyatti, M., & Gariglio, N. F. (2015). Carga ótima de frutos na macieira ‘princesa’ de baixo requerimento em frio invernal: resultados preliminares. Revista Brasileira de Fruticultura, 37(2), 517-523. DOI: https://doi.org/10.1590/0100-2945-088/14
Cavalcante, Í. H. L., Silva Júnior, G. B., Santos, E. M., & Lima, A. M. N. (2016). Relationship between chlorophyll meter readings and leaf nitrogen concentration in papaya (Carica papaya L.). Philippine Journal of Crop Science, 41(1), 75-79.
Empresa de Pesquisa Agropecuária e Extensão Rural de Santa Catarina. [EPAGRI]. (2006). A cultura da macieira (1. ed.). Florianópolis, SC: Pallotti.
Ernani, P. R., Dias, J., & Flore, J. A. (2002). Annual additions of potassium to the soil increased apple yield in Brazil. Communications in Soil Science and Plant Analysis, 33(7-8), 1291-1304. DOI: https://doi.org/10.1081/CSS-120003888
Food and Agriculture Organization [FAO]. (2019). Statistics. Retrieved on July 10, 2020 from Retrieved on July 10, 2020 from http://www.fao.org/statistics/en/
Gutiérrez-Gamboa, G., Román, S. M.-S., Jofré, V., Rubio-Bretón, P., Pérez-Álvarez, E. P., & Garde-Cerdán, T. (2018). Effects on chlorophyll and carotenoid contents in different grape varieties (Vitis vinifera L.) after nitrogen and elicitor foliar applications to the vineyard. Food Chemistry, 269, 380-386. DOI: https://doi.org/10.1016/j.foodchem.2018.07.019
Lima, F. N., Yamanishi, O. K., Pires, M. C., Saba, E. D., Pereira, A. R., & Miranda, G. S. (2020). Ecophysiology of the Southern Highbush blueberry cv. Biloxi in response to nitrogen fertigation. Comunicata Scientiae, 11, e3245. DOI: https://doi.org/10.14295/cs.v11i0.3245
Lopes, P. R. C., Oliveira, I. V. M., Silva, R. R. S., & Cavalcante, Í. H. L. (2013). Growing princesa apples under semiarid conditions in northeastern Brazil. Acta Scientiarum. Agronomy, 35(1), 93-99. DOI: https://doi.org/10.4025/actasciagron.v35i1.15066
Lopes, P. R. C., Oliveira, I. V. M., Silva-Matos, R. R. S., & Cavalcante, Í. H. L. (2012). Caracterização fenológica, frutificação efetiva e produção de maçãs ‘Eva’ em clima semiárido no Nordeste Brasileiro. Revista Brasileira de Fruticultura, 34(4), 1277-1283. DOI: https://doi.org/10.1590/S0100-29452012000400038
Lu, Y.-L., Yang, X.-L., Li, R., Li, S.-L., & Tong, Y.-A. (2015). Effects of different potassium fertilizer application periods on the yield and quality of Fuji apple. The Journal of Applied Ecology, 26(4), 1179-1185.
Malavolta, E., Vitti, G. C., & Oliveira, S. A. (1997). Avaliação do estado nutricional das plantas: princípios e aplicações (2. ed.). Piracicaba, SP: Associação Brasileira para Pesquisa da Potassa e do Fosfato.
Miranda, J. M. S., Cavalcante, Í. H. L., Oliveira, I. V. M., & Lopes, P. R. C. (2015b). Advances on apple production under semiarid climate: N Fertigation. Emirates Journal of Food and Agriculture, 27(10), 744-748. DOI: https://doi.org/10.9755/ejfa.2015-04-075
Miranda, J. M. S., Cavalcante, Í. H. L., Oliveira, I. V. M., Lopes, P. R. C., & Assis, J. S. (2015a). Fruit quality of ‘Eva’ e ‘Princesa’ apples grown under nitrogen fertigation in semiarid climate. Revista Brasileira de Engenharia Agrícola e Ambiental, 19(10), 967-972. DOI: https://doi.org/10.1590/1807-1929/agriambi.v19n10p967-972
Nachtigall, G. R., Basso, C., & Freire, C. J. S. (2004). Nutrição e adubação de pomares. In G. R. Nachtigall (Ed.), Maçã: produção (p. 63-77). Bento Gonçalves, RS: Embrapa Uva e Vinho.
Nava, G. (2010). Produção e crescimento da macieira ‘fuji’ em resposta à adubação orgânica e manejo de plantas espontâneas. Revista Brasileira de Fruticultura, 32(4), 1231-1237. DOI: https://doi.org/10.1590/S0100-29452010000400034
Nava, G., & Dechen, A. R. (2009). Long-term annual fertilization with nitrogen and potassium affect yield and mineral composition of ‘fuji’ apple. Scientia Agricola, 66(3), 377-385. DOI: https://doi.org/10.1590/S0103-90162009000300013
Nava, G., Nuernberg, N. J., Pereira, A. J., & Dechen, A. R. (2007). Adubação de crescimento de macieira cv. Catarina sobre porta-enxerto marubakaido em São Joaquim-SC. Revista Brasileira de Fruticultura, 29(2), 359-363. DOI: https://doi.org/10.1590/S0100-29452007000200033
Pereira, L. S., Silva, E. M., Lacerda, J. J. J., Ratke, R. F., Lima, C. J. G. S., & Santos, T. O. S. (2020). Phytotechnical parameters and yield of watermelon plants under different irrigation and nitrogen levels. Comunicata Scientiae, 11, e3131. DOI: https://doi.org/10.14295/cs.v11i0.3131
Römheld, V., & Kirkby, E. A. (2010). Research on potassium in agriculture: needs and prospects. Plant and Soil, 335(1), 155-180. DOI: https://doi.org/10.1007/s11104-010-0520-1
Serra, S., Leisso, R., Giordani, L., Kalcsits, L., & Musacchi, S. (2016). Crop load influences fruit quality, nutritional balance, and return bloom in ‘Honeycrisp’ apple. Hortscience, 51(3), 236-244. DOI: https://doi.org/10.21273/HORTSCI.51.3.236
Souza, F., Argenta, L. C., Nava, G., Ernani, P. R., & Amarante, C. V. T. (2013). Qualidade de maçãs ‘fuji’ influenciada pela adubação nitrogenada e potássica em dois tipos de solo. Revista Brasileira de Fruticultura, 35(1), 305-315. DOI: https://doi.org/10.1590/S0100-29452013000100035
Treder, W. (2010). Crop loading studiem with ‘Jonagold’ apple tree. Journal of Fruit and Ornamental Plant Research, 18(1), 59-69.
Wang, Y., & Wu, W.-H. (2017). Regulation of potassium transport and signaling in plants. Current Opinion in Plant Biology, 39, 123-128. DOI: https://doi.org/10.1016/j.pbi.2017.06.006
Zhang, W., Zhang, N. S., Zhao, J. J., Guo, Y. P., Zhao, Z. Y., & Mei, L. X. (2017). Potassium fertilization improves apple fruit (Malus domestica Borkh. Cv. Fuji) development by regulating trehalose metabolismo. The Journal of Horticultural Science and Biotechnology, 92(5), 539-549. DOI: https://doi.org/10.1080/14620316.2017.1304165
Author notes
* Author for correspondence. E-mail: italo.cavalcante@univasf.edu.br