CROP PROTECTION
Detection and transmission of Fusarium verticillioides in corn seeds according to the plant stage
Detection and transmission of Fusarium verticillioides in corn seeds according to the plant stage
Acta Scientiarum. Agronomy, vol. 44, e53213, 2022
Editora da Universidade Estadual de Maringá - EDUEM
Received: 16 April 2020
Accepted: 17 August 2020
ABSTRACT. : The objective of this study was to evaluate the transmissibility of F. verticillioides, in corn seeds, when inoculated in different phenological stages. The plants were inoculated with the pathogen at the following stages: V7, V9, R1, R2, R4, and R6. The experiments were conducted in pots, in a completely randomized design, with six replications. The fungus infection rate in the seeds was verified through the health test (Blotter Test). The significance of the contrast between the phenological stages and in the two experiments (rainy season and dry season), and productivity showed plant-seed transmission of F. verticillioides in all phenological stages. The PCR technique was able to reveal up to the lowest level, 1% incidence of F. verticillioides in corn seeds. There was a significant difference between the times of plant inoculation and the incidence of the fungus in the seeds. Plants inoculated in the reproductive phase transmitted F. verticillioides for seeds with the highest rate of infection, in the two experiments, in the rainy season (V7 - 48; V9 - 46; R1 - 77.33; R2 - 84; R4 - 96; R6 - 96.67; and Test - 14.67%), and dry season (V7 - 46.67; V9 - 66; R1 - 75.33; R2 - 95.33; R4 - 98; and R6 - 97.33%). In this way, the present work demonstrated that in the reproductive phenological stages R2, R4, and R6, the corn plant was more susceptible to infection with F. verticillioides, and that it also resulted in a decrease in grain productivity.
Keywords: Zea mays, ear rot, incidence, burned grains.
Introduction
Brazil is currently the third largest maize producer (Zea mays L.), producing over 96 million tons and yielding over 5,400 kg ha-1 (Companhia Nacional de Abastecimento [Conab], 2019). Considering the most relevant issues of crops, fungal diseases are among the most important, as they result in economic losses due to the damage they cause, resulting in reduced yield and directly affecting grain quality. The pathogen Fusarium verticillioides (Saccardo) Nirenberg) is part of the Gibberella fujikuroi complex, which comprises a group of approximately 20 species associated with diseases in maize, for example, and other crops of economic interest. It produces macroconidia and microconidia, constituting an anamorphic state of the order Hypocreales (Walker et al., 2016). These microconidia are produced in large quantities causing corn ear rot, thus contributing to the high levels of fumonisins (Rosa Junior et al., 2019).
Among several factors that affect the quality of corn seeds, microorganisms are considered one of the most important. In addition to being related to sanitary quality, they can affect germination and vigor and accelerate the deterioration process during storage. The etiological agents of most diseases affecting maize can be disseminated and transmitted by contaminated seeds (Fantazzini, Guimarães, Clemente, Carvalho, & Machado, 2016). Globally, the fungus F. verticillioides has been reported as the species with the highest incidence in corn crops (Cao et al., 2014; Deepa, Nagaraja, & Sreenivasa, 2016).
Corn seeds may be infected with F. verticillioides, initially presenting itself as an endophyte but as soon as the plant enters the reproductive stage, it becomes a phytopathogen. Thus, the detection of F. verticillioides in apparently healthy seeds is complicated. There are fast and reliable fungi detection methods, which can be used for this purpose, such as PCR (Polymerase Chain Reaction). They are better than routine analysis based on the morphological aspects of fungal colonies, requiring more time and space in the laboratory to maintain cultures (Barrocas, Machado, Almeida, Botelho, & Von Pinho, 2012).
DNA analyses carried out using Biotechnology tools such as PCR have been proven to be viable and sensitive in these types of disease diagnoses. This method has been used for the detection, identification and quantification of several plant pathogens (Sidra et al., 2017).
There is little information about maize culture in tropical areas, relating the phenological stages to the plant-seed transmission of F. verticillioides, the severity of ear rot and the production yield when infested by the pathogen.
The present study aimed to evaluate the transmission of F. verticillioides to seeds from inoculations at different stages of the crop cycle. In addition, the study evaluated the sensitivity of the PCR technique for detecting F. verticillioides in maize seed samples, as required in seed health testing certification programs.
Material and methods
Pathogen isolation and inoculum production
Symptomatic corn seeds were analyzed for the presence of F. verticillioides, using a magnifying glass and an optical microscope. The identification was made based on its typical morphology, which can be described by the production of long chains of microconidia in monophyllids (Leslie & Summerell, 2006). Then, with the aid of sterile tweezers, the conidia and hyphae of the fungus were transferred to Petri dishes containing PDA media (Potato Dextrose Agar), where it was incubated for seven days in a BOD growing chamber at 25 ± 2ºC. For inoculum production, isolates were purified and a monosporic culture technique was used (Fernandez, 1993). The fungus´ conidia were placed in 5 mL of sterile distilled water, shaken and transferred to Petri dishes containing agar culture media. After 24 hours of incubation at room temperature, the germinated conidia were identified on agar medium using a stereoscopic magnifying glass. The conidia that germinated alone were transferred to Petri dishes containing PDA media for inoculum multiplication.
Seedling pathogenicity
The pathogenicity of the fungi isolated from seeds was evaluated by seedling shoot inoculation. To conduct the experiment, 3H842 triple hybrid corn seeds were used for a completely randomized design. The seeds were sown in pots (20 L), 5 seeds/pot, 20 days after emergence, thinning was done leaving 2 plants per pot. These vessels were distributed in seven lines with the control, each line constituting six repetitions (treatment). The plants were inoculated with a suspension of F. verticillioides at a concentration of 2.7 x 104 conidia mL-1, adjusted by counting in a Neubauer Chamber, in the vegetative phase (V7 - seven open leaves). The inoculation was done by spraying 30 mL of the solution on the leaves of each plant, trying to do proper watering, but without dripping.
The six plants of each treatment were inoculated, always at the end of the day between 5:00 and 6:00pm, when the temperature was mild around 28 ± 2ºC. For inoculation with F. verticillioides, the method used involved spraying the concentration of conidia directly on to the target tissue of the plant, according to the phenological stage described.
Ears were harvested separately from each of the experiments and threshed. Subsequently, the grains from each repetition were weighed separately for productivity analysis.
Influence of F. verticillioides inoculation time in different maize phenological stages on the severity level of ear rot
The experiment was conducted in two different seasons (dry and rainy) in the Experimental Farm of the Federal University of Tocantins (UFT), Gurupi Campus, located at the geographic coordinates: latitude 11º44'44.866" S, longitude 49º3'8.968" O and altitude of 278 m. The area is located in the south of the state of Tocantins, Brazil, and is part of the Cerrado Biome. According to the Köppen classification, the climate of the region is Aw, defined as tropical hot and humid with rainy season in summer and dry in winter (Köppen & Geiger, 1928). The annual average temperature is 26,4ºC, with average precipitation of 1,632 mm (Roldão & Ferreira, 2019). The first experiment was installed in the second half of January (rainy season) and harvested in the second half of May 2017. The second experiment was implemented in the second half of June (dry season, with low rainfall) and harvested in the first half of November in the same year, after the plants reached physiological maturity. The experiments were conducted in pots, in a greenhouse, without closed cover, only on the sides, where apparently healthy seeds were sown in 20 L pots where the plants remained until harvest. In the rainy season, moisture was provided by rain, and in the dry season humidity was maintained by daily irrigation with a watering can. F. verticillioides was inoculated in Hybrid 3H842 (Embrapa triple hybrid) in different phenological stages. The experimental design was completely randomized, with six replications and seven treatments (six phenological stages and one treatment without inoculation [control]). The phenological stages evaluated were: V7 (inoculated plants with 7 open leaves), V9 (9 open leaves), R1 (silking), R2 (blister - R3 milk), R4 (dough), and R6 (maturity) (Fancelli, 2015).
In order to evaluate the influence of the phenological stages on pathogen transmission to maize seeds, the seeds were sprayed a suspension of F. verticillioides at 2.7 x 104 conidia mL-1, adjusted using a Neubauer Chamber. Inoculations were carried out always at the end of the day, between 17/18h, when the temperature was around 28 ± 2ºC.
Then the inoculated plants were kept for 48 hours in a humid chamber provided by moistened cotton and covered by a plastic bag. Thereafter, they stayed in the greenhouse without cover until completing the cycle.
Ear harvest and experiment evaluation
When hybrid 3H842 was in phenological phase R6, characterized as ‘physiological maturation’, monitoring of grain moisture commenced until reaching 17% humidity. Then the ears were harvested separately and 6 ears were collected for each inoculation treatment. Subsequently, the ears were arranged in an automated dryer so that the grains reached a humidity of 12-14%, and then threshed. Prior to threshing, the ears were placed side by side for disease severity assessment.
Disease severity assessment
The evaluation was made visually, and a visual grade was assigned according to the ear symptoms. The severity was evaluated by the following diagrammatic scale that estimates the percentage of the area of the ear with symptoms of rot, characterized by the coverage with pink to white mycelium and the presence of darkened grains and/or white streaks in the pericarp, as follows: Grade 1 = 0 (healthy), 2 = 0.5, 3 = 10, 4 = 30, 5 = 50, 6 = 70, 7 = 80, 8 = 90, and 9 = 100% ear area showing visible symptoms of infection (Agroceres, 1996).
Then, the threshing was done and subsequently the grains from each repetition were weighed separately for analysis of seed yield and health.
Sanitary analysis
To analyze the phenological stage at which the plant would be most susceptible to infection by F. verticillioides, sanitary analysis was performed using the filter paper method or Blotter test (Brasil, 2009). For this, a 70% alcohol-disinfected gerbox type acrylic box was used, containing two sterile filter paper sheets moistened with 50 mL of sterile distilled water. The corn seeds used were obtained from plants previously inoculated with F. verticillioides at different phenological stages. The seeds from each treatment were submitted to asepsis. Disinfestations were performed by immersing the seeds in sequence in a 50% alcohol solution for 30 s, 2% sodium hypochlorite for 2 min. and then two washing sequences in sterile distilled water.
The seeds were arranged individually and then placed in an incubation room, at 25°C and a photoperiod of 12 for 24 hours. They were then placed in a freezer (-20°C) for 24 hours to completely inhibit the seed germination process. Subsequently, the gerboxes were placed back in an incubation chamber for five days with a 12 hour photoperiod, where they remained until evaluation. The sanitary analysis of the seeds was performed using stereoscopic and optical microscopes. To identify the pathogen, microscope slides were prepared and analyzed under an optical microscope, noting the incidence (%). The identification was supported by specialized literature, such as Leslie and Summerell (2006). For subsequent studies, pathogen isolates were grown in Potato-Dextrose-Agar (PDA) culture media.
DNA extraction and amplification
DNA from an isolate of the F. verticillioides fungus obtained from the seedling pathogenicity test was extracted at the Biological Disease Control laboratory in the Federal University of Tocantins, Gurupi, based on the protocol described by Doyle and Doyle (1990). The collected biomass was powdered using a mortar and pestle, with the aid of liquid nitrogen to a very fine powder, transferred to a 2 mL microtube. Then,1 mL of preheated extraction buffer at 65°C (2% w v-1 CTAB; 2.5% w v-1 PVP-40; 2M NaCl; 2% 2-β-mecaptoethanol; 100 mM Tris-HCl pH 8.0; 25 mM EDTA pH 8.0) to the sample, vortexed homogenized for 30 s and incubated in a water bath for 40 min. at 65°C, these being homogenized by inversion every 10 min. After incubation, the samples were centrifuged (18,000 x g) for 10 min., just after the aqueous phase was collected and transferred to a new 2 mL microtube. A total of 600 µL of the chloroform: isoamyl alcohol mixture (in the ratio 24: 1 v v-1) was added followed by vortex homogenization for 30 seconds and centrifuged (18,000 x g) for 10 min., aiming to deprotinate the samples.
The supernatant was collected and transferred to a new 1.5 mL microtube where the samples were treated with 4 µL RNase (100 µL mL-1) and reacted at 37°C for 30 min. Immediately thereafter, 240 µL of cold isopropyl was added, followed by inversion homogenization and incubation at -20°C overnight. Extraction was completed with the samples centrifuged at (18,000 x g) for 20 min., the supernatant discarded and the precipitate was washed with 400 µL of ethanol 100%, followed by a second centrifugation (18,000 x g) for 5 min. The precipitate formed was dried at 37°C for 10 min. and resuspended in 30 µL of ultrapure water. DNA concentration and quality were determined on a BioDRO spectrophotometer, followed by 0.8% agarose gel electrophoresis in TAE 1X buffer, stained with ‘Neotaq Bright Green Plus DNA stain’ (Neobio), ran in an electrophoresis vat (Loccus 22 Biotechnology) at 110 V for 30 min. and analyzed in a photocumenter (Gel Logic 112). The 1 kb DNA marker (Kasvi) was used as a molecular weight standard.
The primer pairs used in the reaction were primers VER-1 (5'-CTT CCT GCG ATG TTT CTCC-3 ') and VER-2 (5'-AAT TGG CCA TTG GTA TTA TAT ATCTA-3') to amplify only calmodulin from F. verticillioides isolates.
Amplification was performed in a final volume of 50 µL, with 25 µL of Taq DNA Polymerase 2X Master Mix Red (1.5 mM MgCl2), 5 µL of each VER-1 and VER-2 (10 mM) primer oligonucleotide, 10 µL of ultrapure water and 5 µL of the obtained DNA samples.
PCR was conducted in a thermal cycler (Techne TC-5000). For primers VER-1 and VER-2 it was programmed with an initial 4 min. cycle at 94°C, followed by 35 denaturation cycles of 50 seconds at 94°C with 50 seconds annealing cycles at 56°C, 1 min. extension at 72°C and final extension for 7 min. at 72°C.
Amplification products were analyzed using 0.8% agarose gel electrophoresis in TAE 1X buffer, stained with Neotaq Bright Green Plus DNA stain (Neobio), ran in an electrophoresis vat (Loccus Biotechnology) at 110 V for 30 min., analyzed in a photo documenter (Gel Logic 112). The 1 kb DNA marker (Kasvi) was used as a molecular weight standard.
Sensitivity and specificity of the PCR technique at different DNA concentrations
To determine the sensitivity and efficiency of the VER-1 and VER-2 primers, amplifications with different DNA concentrations were performed. F. verticillioides DNA samples (amplicons) were purified using the Purilink PCR Purification Kit (Invitrogen®). After purification, the material was used to prepare different DNA concentrations by serial dilutions with concentrations ranging from 20 ng μL-1 to 2 pg μL-1. The same amplification parameters were adopted for all different DNA concentrations, as well as the same amounts of primers and Taq DNA Polymerase 2X Master Mix Red (1.5 mM MgCl2). The reactions were conducted simultaneously in duplicate on a thermocycler (Techne TC-5000) programmed with an initial 4 min. cycle at 94°C, followed by thirty-five 50 s cycles at 94°C denaturation and 50 s annealing at 56°C, extension for 1 min. at 72ºC and 7 min. final extension at 72ºC. All products obtained from the PCR at different concentrations were submitted to 0.8% agarose gel electrophoresis (TAE 1X) stained with Neotaq Bright Green Plus DNA stain (Neobio), ran in an electrophoresis vat (Loccus Biotechnology), analyzed in a photo-documenter (Gel Logic 112). The 1 kb DNA marker (Kasvi) was used as molecular weight standard. The result of this sequencing was compared to the BLAST/NCBI query sequence accession number for morphological analysis identification (accession number FN179338.1).
F. verticillioides detection in maize seeds with different incidence levels
Different levels of fungal infection were obtained from artificial inoculation with five different fungi concentrations, with a variation of 100, 20, 10, 2, and 1% incidence of F. verticillioides on the seeds, besides one negative control, using healthy seeds with 0% incidence. To obtain the different concentrations, the fungus F. verticillioides, which had been growing for 7 days in Petri dishes, was added to these plates, which were visually healthy and sanitized corn seeds until the mycelia of the fungus covered the seeds. Then, 100 seeds were counted and separated into 5 paper bags. In each bag of 100 seeds, the healthy seeds were removed and seeds covered with fungal mycelia were placed until the necessary concentration was produced. Thus, to make the concentration of 100% fungal incidence, 100 inoculated seeds and 0 healthy seeds were placed in a bag; to make the concentration of 20% of fungal incidence, 80 healthy seeds and 20 inoculated seeds were placed and this was done for the other concentrations until the desired concentration of fungal incidence was achieved.
Healthy seed samples, and seed samples with different levels of infection, were ground in a refrigerated mill to a fine powder. Approximately 1 g of each sample was powdered with liquid nitrogen and submitted to fungal DNA extraction. Both the extraction procedure and the amplification were conducted under the same conditions applied during the DNA extraction and amplification of the isolates described above.
Statistical procedure
The analysis of incidence and severity was performed with six replicates, while the weight analysis of 1,000 grains consisted of three repetitions. Variance analysis and comparison of means were performed by Scott Knott's test at 5% probability of error, using the SISVAR software (Ferreira, 2014).
Results and discussion
Sensitivity and specificity of the PCR technique at different DNA concentrations
The VER-1 and VER-2 primer pairs satisfactorily amplified all the different concentrations of DNA evaluated in the PCR, revealing molecular weight amplicons of approximately 580 bp. Thus, the sensitivity of the technique to produce DNA copies was evidenced, as well as its effectiveness in obtaining accurate detection results at low concentrations of target DNA (Figure 1). In addition, the DNA of the fungus studied was sequenced and F. verticillioides was found as identified in morphological analysis (accession number FN179338.1), confirming 99% of the sequence according to a BLAST/NCBI consultation.

This result indicates that for gender the use of primers VER-1 and VER-2 in the diagnosis of Fusarium fungi was adequate, as well as for the detection of F. verticillioides in different DNA concentrations, by the quality of the amplified products. It is a technique that can be used for fungal detection in visibly infected or uninfected seed samples, hence it has become a quick and efficient tool for disease diagnosis.
Using specific primers, the phytopathogenic fungus Fusarium sp. was identified by a PCR diagnostic protocol in the work of Carnielli-Queiroz, Fernandes, Fernandes, and Ventura (2019). Also according to the authors, the equipment and reagents used for this purpose were able to track samples of pineapple naturally infected with this species. The high cost still exists, however, with the advances that have taken place in research with molecular biology, it has contributed to the easier use of routine diagnostic protocols. Thus, the PCR technique has high sensitivity and specificity compared to other procedures and even standard techniques for pathogens isolation from infected plant tissues.
F. verticillioides detection on maize seeds with different incidence levels
With the adopted methodology, PCR technique was able to reveal even the lowest incidence level of F. verticillioides, being able to detect up to 1% of corn seed infestation in the extracted DNA (Figure 2), being the primers sensitive to the point of revealing minimal quantities of the pathogen's genetic material.

Similar results were found by Barrocas et al. (2012), using the PCR technique to detect Stenocarpella sp. in artificially infected corn seeds, where they obtained a sensitivity of up to 2% fungal incidence in the seeds.
According to Magculia and Cumagun (2011), the use of specific primers for detection of F. verticillioides applied to PCR technique is an excellent tool for morphological and molecular classification when used for its identification in stored grains of rice and corn.
For plant phytopathogens, morphological characterization is still the most used method of fungal identification to this day (Carnielli-Queiroz et al., 2019). However, PCR is already being used to identify the species of fungi in food samples, causing a difference in the final quantity of the product (Fungaro & Sartori, 2009). Another example is the detection of the fungus that causes the disease in the pine. Different PCR techniques have been used to evaluate a set of naturally infected samples (Gachon, Mingam, & Charrier, 2004). Lievens, Brouwer, Vanachter, Cammue, and Thomma (2006) detected and quantified pathogens that cause diseases in tomato using PCR techniques. Plant and soil samples have undergone accurate target quantification assessments, even from soil samples that naturally contain a wide variety of microorganisms.
Influence of F. verticillioides inoculation time in different phenological stages of maize on the severity level of ear rot
Analyzing the results of F. verticillioides severity in the ear in two seasons (Figure 3), we found lower severity in V7, V9 and control stages in the rainy season and, in V7, V9, R1, R2, and control stages, in the dry season.

The seeds harvested from uninoculated plants (control) did not differ statistically from treatments V7 and V9 in both seasons and V9, R1 and R2 in the dry season. In general, it was observed that ears from plants cultivated in the rainy season presented greater severity in all reproductive stages, whereas in the dry season it was only the R4 and R6 stages. These results showed that precipitation significantly influenced the severity of F. verticillioides in the ears at different inoculation stages.
The inoculation of F. verticillioides in the vegetative stages indicated that pathogen infection occurred in plant tissues resulting in its permanence until the reproductive phase, remaining in the plant until the ear production, when the plant-seed transmission occurred. While working with three species of Fusarium, Nguyen, Dehne, and Steiner (2016) observed that by inoculating fully developed leaves and young leaves with suspensions of F. graminearum, F. proliferatum and F. verticillioides, subcuticular infection was verified by the three species of Fusarium, both in symptomatic and asymptomatic leaves. These authors further confirmed that F. verticillioides caused infection to young plants by penetrating immature leaf stomata, or by direct penetration, in which the hyphae colonized intercellular mesophyll cells.
In this work, it was observed that the plant is more susceptible to F. verticillioides infection in the reproductive stages. Thus, it can be inferred that the infection in plant tissues occurred in two moments, the first when the conidial suspension was inoculated and the second, probably during the corn fruiting process. Corroborating these results, Gai et al. (2018) clarified the F. verticillioides infection cycle by evaluating the expression of increased green fluorescent protein (EGFFP) in stem and ear rot strains. These authors observed disease symptoms 24 hours after inoculation in depigmented seedlings, whose aspects became increasingly evident over time. On the other hand, seedlings without inoculation showed normal growth, without wilting or discoloration. According to the same authors, from the inoculated corn seed assay, it can be concluded that F. verticillioides isolated from stem rot and ear rot in maize can also infect corn seeds, causing systemic infection.
In the present work, the symptoms of the disease were verified in all ears from plants inoculated in the different stages. Although inoculated in the vegetative phase, the fungus remained latent in the corn plant until the reproductive phase.
Reid et al. (1999) considered the genus Fusarium as fungi that can be endophytic and ubiquitous in culture, but not always pathogenic.
Infection by this fungi is favored by high temperatures, humid climate, and excessive humidity during flowering. The results of this work showed that the infection was more efficient in plants inoculated in the reproductive phase, because it occurs more frequently via stigma-style. The main pathways of infection of this pathogen in corn ears are through stigma-style and through injury to grains. Other studies have already shown this pathway of infection and transmission (Sutton, 1982; Sartori, Reis, & Casa, 2004), but the pathogen may use other means and plant parts to attack until it reaches the seeds. Besides affecting the economic value during commercialization, the presence of kernel rots alters the nutritional value of the feed by the accumulation of mycotoxins in infected grains that are harmful to human and animal health (Silva et al., 2017).
According to Sutton (1982), for the occurrence of infection, the optimal temperature is between 25 and 32°C. The presence of pollen, anthers, stigma-style and senescent bracts can also act as potential substrates for the establishment of infection, and the presence of water is essential for conidia germination.
Sanitary analysis
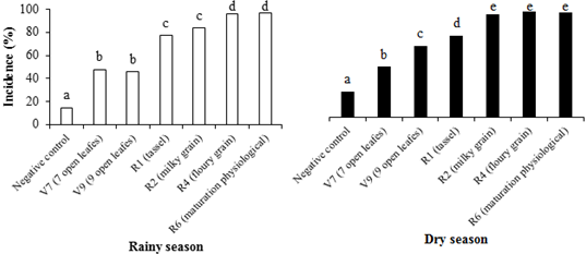
For the rainy season plantings, the values obtained by the evaluation of inoculation times by blotter test were higher in the artificially inoculated treatments with F. verticillioides, compared to the control treatment (without inoculation; Figure 4).
For the rainy season planting, the rate of pathogen occurrence in the seeds (obtained by inoculation evaluation in the different phenological stages) was lower in the vegetative stages compared to the reproductive ones. Although the inoculated pathogen in the early stages of the plant cycle (V7 and V9) did not cause visible symptoms to the plants, it was latently present and then transmitted to the seeds. The fact that the pathogen was also detected in the seeds of uninoculated plants can be explained by the possible natural infection due to its high sporulation and dispersion rates. Nguyen et al. (2016) stated that the genus Fusarium, a causative agent of ear rot, produces many airborne conidia that aid in host dispersal and invasion. These conidia may adhere to the stigma style through the action of wind or rain prior to ear grain infection (Trail, 2009).

In the rainy season, plants inoculated in the phenological stages (V7 and V9) presented the lowest incidence values of fungi in the seeds, differing statistically from those inoculated in the reproductive stages. This fact may prove that maize plants are more susceptible to infection with F. verticillioides in the reproductive stages. In this phase, the stages R4 (farinaceous grain) and R6 (grains in physiological maturation) had higher incidence rates of F. verticillioides in the seeds compared to R1 (combing) and R2 (milky grain).
Mendes, Von Pinho, Machado, Albuquerque, and Falquete (2011), working with ten hybrids artificially inoculated with F. verticillioides, observed that even the control treatment (without inoculation) presented high severity, showing that some hybrids are very susceptible to the pathogen. Thus, they warned of the precautions that should be taken regarding the use of these grains in the feeding of humans and animals, due to possible contamination by mycotoxins produced by F. verticillioides.
All plants inoculated with F. verticillioides, in both the vegetative and reproductive stages, differed statistically from the control treatment without inoculation, showing that even when inoculated in the vegetative stages, the pathogen still infects the corn plant. Therefore, in order to obtain healthy maize seeds, the producer must be careful to protect the plants at all stages.
In the dry season, a lower incidence of F. verticillioides was observed in the seeds of uninoculated plants (control). This fact may be justified by the presence of rainfall at the end of the plant cycle that may have contributed to the higher sporulation and dispersion rate of the pathogen. In agreement with these results, Mendes et al. (2011), observed that the average severity values of the fungus F. verticillioides were higher in the second season (2007/08), for both treatments, with and without inoculation. According to these authors, in the second experiment, there were more favorable conditions to the disease in the final phase of the culture cycle, which favored the higher incidence of this pathogen.
The vegetative stages during the dry season differed statistically from each other and also from the control, showing that plants at stage V9 were more susceptible to F. verticillioides transmission to seeds than V7.
In the dry season, the reproductive stages R2, R4, and R6 presented the highest incidence of the fungus in the seeds and did not differ statistically from each other, but differed from R1. In the rainy season experiment, the stages R1 and R2 were similar and differed statistically from R4 and R6, which presented higher incidence of the fungus in the seeds. Mendes et al. (2011) observed high incidence of kernel rot caused by F. verticillioides in the second crop (2007/08), due to high rainfall that coincided with the reproductive phase of the culture.
According to Schaafsma, Miller, Savard, and Ewing (1993), the infection success of an inoculation method is dependent on the phenological stage of the plant. Inoculations performed in the first few weeks after earning and methods that cause injury to the plant are less time dependent.
As for 1,000 grain weight, there was a significant difference between the phenological stages in both seasons (Figure 5). In the rainy and dry seasons, it was possible to notice that the stages V7, V9, R1, and R2 were similar, differing statistically from the control and the stages R4 and R6.
According to the variance analysis, the control differed statistically from all other treatments in both seasons, presenting 1,333.81 g in the rainy season and 1,444.11 g in the dry season.

There was no statistical difference in the grain weight of the inoculated plants in the vegetative stages. However, there was statistical difference when compared to the uninoculated control. It was verified that plants inoculated in the reproductive phase (R4 and R6) presented lower yield values, showing that the pathogen was more harmful to the crop in the reproductive stages. Probably, the pathogen interfered in flower fertilization and fruit formation. Corroborating these results, Boutigny et al. (2011) observed that fungal-infected ears reduce grain yield and quality. Also, Rosa Junior et al. (2019) observed reduction in the yield of ten maize hybrids inoculated with F. verticillioides using three different methods.
Machado, Machado, Pozza, Machado, and Zancan (2013) reported that the most severe effects of F. verticillioides on the seed and seedling development of maize and adult plants were observed at the highest levels of inoculum potential. In the reproductive stages, infection occurs through the stigma style.
The results obtained in this study provide important information on the impact of the disease on plants, where the producer should intensify protection measures at the beginning of flowering until the reproductive phase. According to the results obtained in the present study for the control of ear rot caused by F. verticillioides, the use of healthy seeds and the protection of plants, especially in the reproductive period, may be recommended. Other measures already defined and that can be adopted by farmers to control this disease include: crop rotation, seed treatment and the use of resistant genotypes by farmers.
Conclusion
The PCR technique was able to reveal even the lowest incidence level of F. verticillioides, being able to detect up to 1% of maize seed infestation by the pathogen.
The fungus F. verticillioides was pathogenic to maize plants in all inoculated phenological stages.
When maize plants are infected with F. verticillioides in the reproductive stages, they transmit the pathogen in larger quantities through the seeds.
The infection of corn plants by F. verticillioides at different phenological stages affected yield.
References
Agroceres. (1996). Guia agroceres de sanidade (2a. ed.). São Paulo, SP: Sementes Agroceres.
Barrocas, E. N., Machado, J. C., Almeida, M. F., Botelho, L. S., & Von Pinho, É. V. R. (2012). Sensibility of the PCR technique in the detection of Stenocarpella sp. associated with maize seeds. Revista Brasileira de Sementes, 34(2), 218-224. DOI: https://doi.org/10.1590/S0101-31222012000200005
Boutigny, A.-L., Ward, T. J., Van Coller, G. J., Flett, B., Lamprecht, S. C., O’Donnell, L., & Viljoen, A. (2011). Analysis of the Fusarium graminearum species complex from wheat, barley and maize in South Africa provides evidence of species-specific differences in host preference. Fungal Genetics and Biology, 48(9), 914-920. DOI: https://doi.org/10.1016/j.fgb.2011.05.005
Brasil. (2009). Regras para análise de sementes. Brasília, DF: Mapa/ACS.
Cao, A., Santiago, R., Ramos, A. J., Souto, X. C., Aguín, O., Malvar, R. A., & Butrón, A. (2014). Critical environmental and genotypic factors for Fusarium verticillioides infection, fungal growth and fumonisin contamination in maize grown in northwestern Spain. International Journal of Food Microbiology, 177, 63-71. DOI: https://doi.org/10.1016/j.ijfoodmicro.2014.02.004
Carnielli-Queiroz, L., Fernandes, P. M. B., Fernandes, A. A. R., & Ventura, J. A. (2019). A rapid and reliable method for molecular detection of Fusarium guttiforme, the etiological agent of pineapple fusariosis. Brazilian Archives of Biology and Technology, 62, e19180591. DOI: https://doi.org/10.1590/1678-4324-2019180591
Companhia Nacional de Abastecimento [CONAB]. (2019). Acompanhamento da safra brasileira de grãos: safra 2018/19. Brasília, DF: Conab.
Deepa, N., Nagaraja, H., & Sreenivasa, M. Y. (2016). Prevalence of fumonisin producing Fusarium verticillioides associated with cereals grown in Karnataka (India). Food Science and Human Wellness, 5(3), 156-162. DOI: https://doi.org/10.1016/j.fshw.2016.07.001
Doyle, J. J., & Doyle, J. L. (1990). Isolation of plant DNA from fresh tissue. Focus, 12, 13-15.
Fancelli, A. L. (2015). Manejo baseado na fenologia aumenta eficiência de insumos e produtividade. Visão Agrícola, (13), 24-29.
Fantazzini, T. B., Guimarães, R. M., Clemente, A. C. S., Carvalho, E. R., & Machado, J. C. (2016). Fusarium verticillioides inoculum potential and its relation with the physiological stored corn seeds quality. Bioscience Journal, 32(5), 1254-1262. DOI: http://dx.doi.org/10.14393/BJ-v32n5a2016-33056
Fernandez, M. R. (1993). Manual para laboratório de fitopatologia. Passo Fundo, RS: Embrapa-CNPT.
Ferreira, D. F. (2014). Sisvar: a guide for its bootstrap procedures in multiple comparisons. Ciência e Agrotecnologia, 38(2), 109-112. DOI: https://doi.org/10.1590/S1413-70542014000200001
Fungaro, M. H. P., & Sartori, D. (2009). An overview on molecular markers for detection of ochratoxigenic fungi in coffee neans. Brazilian Archives of Biology and Technology , 52(spe.), 1-9. DOI: https://doi.org/10.1590/S1516-89132009000700001
Gachon, C., Mingam, A., & Charrier, B. (2004). Real-time pcr: what relevance to plant studies? Journal of Experimental Botany, 55(402), 1445-1454. DOI: https://doi.org/10.1093/jxb/erh181
Gai, X., Dong, H., Wang, S., Liu, B., Zhang, Z., Li, X., & Gao, Z. (2018). Infection cycle of maize stalk rot and ear rot caused by Fusarium verticillioides. PLoS ONE, 13(7), e0201588. DOI: https://doi.org/10.1371/journal.pone.0201588
Köppen, W., & Geiger, R. (1928). Klimate der Erde. Gotha, DE: Verlag Justus Perthes.
Leslie, J. F., & Summerell, B. A. (2006). The fusarium laboratory manual. Ames, IA: Wiley-Blackwell.
Lievens, B., Brouwer, M., Vanachter, A. C. R. C., Cammue, B. P. A., & Thomma, B. P. H. J. (2006). Real-time PCR for detection and quantification of fungal and oomycete tomato pathogens in plant and soil samples. Plant Science, 171(1), 155-165. DOI: https://doi.org/10.1016/j.plantsci.2006.03.009
Machado, J. D. C., Machado, A. Q., Pozza, E. A., Machado, C. F., & Zancan, W. L. A. (2013). Inoculum potential of Fusarium verticillioides and performance of maize seeds. Tropical Plant Pathology, 38, 213-217. DOI: https://doi.org/10.1590/S1982-56762013000300005
Magculia, N. J. F., & Cumagun, C. J. R. (2011). Genetic diversity and PCR-based identification of potential fumonisin-producing Fusarium verticillioides isolates infecting corn in the Philippines. Tropical Plant Pathology , 36(4), 225-232. DOI: https://doi.org/10.1590/S1982-56762011000400003
Mendes, M. C., Von Pinho, R. G., Machado, J. C., Albuquerque, C. J. B., & Falquete, J. C. F. (2011). Qualidade sanitária de grãos de milho com e sem inoculação a campo dos fungos causadores de podridões de espiga. Ciência e Agrotecnologia , 35(5), 931-939. DOI: https://doi.org/10.1590/S1413-70542011000500010
Nguyen, T. T. X., Dehne, H.-W., & Steiner, U. (2016). Histopathological assessment of the infection of maize leaves by Fusarium graminearum, F. proliferatum, and F. verticillioides. Fungal Biology, 120(9), 1094-1104. DOI: https://doi.org/10.1016/j.funbio.2016.05.013
Reid, L. M., Nicol, R. W., Ouellet, T., Savard, M., Miller, J. D., Young, J. C., … Schaafsma, A. W. (1999). Interaction of fusarium graminearum and F. moniliforme in maize ears: disease progress, fungal biomass, and mycotoxin accumulation. Phytopathology, 89(11), 1028-1037. DOI: https://doi.org/10.1094/PHYTO.1999.89.11.1028
Roldão, A. F., & Ferreira, V. O. (2019). Climatologia do Estado do Tocantins - Brasil. Caderno de Geografia, 29(59), 1161-1181. DOI: https://doi.org/10.5752/P.2318-2962.2019v29n59p1161
Rosa Junior, O. F., Dalcin, M. S., Nascimento, V. L., Haesbaert, F. M., Ferreira, T. P. S., Fidelis, R. R., ... Santos, G. R. (2019). Fumonisin production by Fusarium verticillioides in maize genotypes cultivated in different environments. Toxins, 11(4), 215. DOI: https://doi.org/10.3390/toxins11040215
Sartori, A. F., Reis, E. M., & Casa, R. T. (2004). Quantificação da transmissão de Fusarium moniliforme de sementes para plântulas de milho. Fitopatologia Brasileira, 29(4), 456-458. DOI: https://doi.org/10.1590/S0100-41582004000400018
Schaafsma, A. W., Miller, J. D., Savard, M. E., & Ewing, R. J. (1993). Ear rot development and mycotoxin production in corn in relation to inoculation method, corn hybrid, and species of Fusarium. Canadian Journal of Plant Pathology, 15(3), 185-192. DOI: https://doi.org/10.1080/07060669309500821
Sidra, A., Aisha, T., Muhammad, F. A., Muhammad, W. A., Arshad, A. S., & Sehrish, S. (2017). Recent advances in molecular techniques for the identification of phytopathogenic fungi - a mini review. Journal of Plant Interactions, 12(1), 493-504. DOI: https://doi.org/10.1080/17429145.2017.1397205
Silva, J. J., Viaro, H. P., Ferranti, L. S., Oliveira, A. L. M., Ferreira, J. M., Ruas, C. F., ... Fungaro, M. H. P. (2017). Genetic structure of Fusarium verticillioides populations and occurrence of fumonisins in maize grown in Southern Brazil. Crop Protection, 99, 160-167. DOI: https://doi.org/10.1016/j.cropro.2017.05.020
Sutton, J. C. (1982). Epidemiology of wheat head blight and maize ear rot caused by Fusarium graminearum. Canadian Journal of Plant Pathology , 4(2), 195-209. DOI: https://doi.org/10.1080/07060668209501326
Trail, F. (2009). For blighted waves of grain: Fusarium graminearum in the postgenomics era. Plant Physiology, 149(1), 103-110. DOI: https://doi.org/10.1104/pp.108.129684
Walker, C., Maciel, C. G., Milanesi, P. M., Muniz, M. F. B., Mezzomo, R., & Pollet, C. S. (2016). Caracterização morfológica, molecular e patogenicidade de Fusarium acuminatum e Fusarium verticillioides a Cordia americana. Ciência Florestal, 26(2), 463-473. DOI: https://doi.org/10.5902/1980509822747
Author notes
**Author for correspondence. E-mail: gilrsan@mail.uft.edu.br