CROP PRODUCTION
Physiological and biochemical responses of osmo-primed parsley seeds subjected to saline stress
Physiological and biochemical responses of osmo-primed parsley seeds subjected to saline stress
Acta Scientiarum. Agronomy, vol. 44, e54364, 2022
Editora da Universidade Estadual de Maringá - EDUEM
Received: 18 June 2020
Accepted: 24 November 2020
Funding
Funding source: Fundação de Amparo à Pesquisa do Estado de São Paulo (Fapesp
Contract number: 17/05392-5
ABSTRACT. : Water and salt stress conditions affect germination and seedling emergence. It is known that physiological priming can not only trigger different mechanisms to increase the speed and uniformity of germination, but also influence the antioxidant defence system of the seeds, especially in adverse conditions. In this context, the objective of this work was to evaluate the physiological seed quality and the activity of antioxidant enzymes in seeds of Petroselinum crispum induced to tolerate saline stress through osmo-priming. Seeds were placed in polyethylene glycol solutions with three osmotic potentials (-0.5, -1.0 or -1.5 MPa) for 2, 4 or 6 days. Subsequently, they were placed on substrates moistened with sodium chloride solution (NaCl), in concentrations that generated osmotic potentials of -0.2, -0.4, -0.6, -0.8 or -1.0 MPa, to germinate. The germination percentage, germination speed index, seedling length, fresh weight, dry weight and activity of the antioxidant enzymes superoxide dismutase (SOD), peroxidase (POD), and catalase (CAT) were evaluated. Germination and germination speed index decreased linearly with the increase in NaCl concentrations, indicating the species sensitivity. As for length, fresh weight and dry weight of seedlings, this effect was more expressive from the potential of -0.4 MPa. The vigour and activity of SOD, POD, and CAT enzymes were reduced in unprimed seeds, emphasising the effectiveness of the technique. The induction of tolerance to saline stress can be related to the activity of the antioxidant system observed in seeds.
Keywords: Petroselinum crispum, primed seeds, vigour, antioxidant system.
Introduction
Parsley (Petroselinum crispum Mill.) is a seasoning vegetable belonging to the Apiaceae family and is propagated by planting seeds. It is consumed as a condiment in Brazil, and across the rest of the world.
Abiotic components of a farming environment, such as moisture, acidity and salinity, can reduce agricultural productivity (Ashraf & Harris, 2004). The high content of salts in substrates where plants grow leads to changes in the capacity for absorption, transport and use of the ions necessary for plant development. High salt content also reduces the activity of enzymes responsible for respiration and photosynthesis, therefore, restricting the ability to produce energy for the growth and differentiation of cells in tissues (Kozlowski & Pallardy, 2002; Taiz & Zeiger, 2013). In addition, it induces toxicity (Khajeh-Hosseini, Powell, & Bingham, 2003) and causes oxidative stress (Bailly, 2004). Oxidative stress occurs when reactive oxygen species (ROS) are produced in excess and cause damage through lipid peroxidation, membrane degradation and cell death (Bailly, 2004; Jaleel et al., 2009).
Methods such as seed priming result in faster and more uniform germination in different cultures, as observed by Dantas, Queiroga, Silva, Assis, and Sousa (2018) in melon, Farooq et al. (2017) in chili, Zheng et al. (2016) in rice, Souza et al. (2016) in physalis, Shaheen, Iqbal, Azeem, Shahbaz, and Shehzadi (2016) in cotton, Sharma, Rathore, Srinivasan, and Tyagi (2014) in okra, Amooaghaie and Nikzad (2013) in alfalfa, Rabbani, Nunes, Carvalho, Ferreira, and Mann (2013) in sunflower and Oliveira and Gomes-Filho (2010) in sorghum. These results have been associated with repair of the membrane system, protein synthesis, gene expression and an increase in the activity of the antioxidant system (Soeda et al., 2005; Patade, Bhargava, & Suprasanna, 2009; Bewley, Bradford, Hilhorst, & Nonogaki, 2013; Souza et al., 2016). In relation to the antioxidant enzyme system, the balance between the overproduction of ROS, and the ability to activate the antioxidant defence system, determines the ability of a seed to overcome damage caused by saline stresses (Gill & Tuteja, 2010). Several authors report significant effects on the activity of superoxide dismutase (SOD), catalase (CAT) and ascorbate peroxidase (APX) as a result of osmoconditioning (Chen & Arora, 2011; Kibinza et al., 2011; Ansari & Sharif-Zadeh, 2012; Madany & Khalil, 2017).
In this context, the objective of this work was to evaluate the physiological seed quality and the activity of antioxidant enzymes in seeds of Petroselinum crispum induced to tolerate saline stress through osmo-priming.
Material and methods
All experiments were carried out at Faculdade de Ciências Agronômicas, Universidade Estadual Paulista (Unesp), Botucatu, state of São Paulo, Brazil.
Two studies were conducted separately: firstly, the optimal priming method for parsley seeds was determined; and secondly, the effect of seed priming on the response to saline stress during germination was evaluated.
Determining the effects of osmo-priming in parsley seeds
Parsley seeds of the variety Lisa Preferida were primed in tubes containing 15 mL of polyethylene glycol solution (PEG 6000) with osmotic potentials of either -0.5, -1.0 or -1.5 MPa. Seeds were left in solution for either 2, 4 or 6 days, at 20ºC. The tubes were placed on a multifunctional mixer (MR-II, Biomixer) to shake the solution. The cap of each tube was perforated to allow aeration. The PEG solutions were changed daily until the end of the conditioning period. At the end of the experiment, the seeds were allowed to dry for 24 hours in ambient laboratory conditions.
After the priming treatment, 4 replicates of 50 seeds from each treatment were placed in petri dishes with a paper substrate (‘blotting paper’ moistened with 8 mL of distilled water) and kept at 20ºC in the dark, for 28 days to germinate. The priming effects were determined by the following parameters: percentage germination, where a seed with a primary root ≥ 2 cm in length was considered to have germinated; germination speed index (IVG), determined using the method of Maguire (1962); time for 50% of the seeds to show radicle protrusion (T50); and first germination count.
Determining the effects of saline stress on primed parsley seeds
To determine the effect of priming on seed responses to saline stress, the optimal priming treatment (determined via the parameters discussed above) was used. Four replicates of 50 seeds from the optimal priming treatment were germinated in petri dishes with a ‘blotting paper’ substrate at 20ºC for 28 days. Here, the substrate was moistened with 8 mL of saline solution, distilled water and NaCl to generate the osmotic potentials of -0.2, -0.4, -0.6, -0.8, and -1.0 MPa. The NaCl concentration was calculated according to the calibration curve established by Braccini, Ruiz, Braccini, and Reis (1996), and the germination and IVG parameters were evaluated following the same methodology as previously described.
At the end of the 28th day study period, measurements were made of the length, fresh weight and dry weight of the aerial part (hypocotyl and epitcotyl), and main root of the seedlings. The length was measured with a graded ruler and the results were expressed in cm. Weighing was carried out on an analytical scale with an accuracy of 0.001 g, with fresh weight being measured immediately after determining lengths, and dry weight measured after drying the seedlings for 7 days in an oven at 70ºC.
Biochemical assays
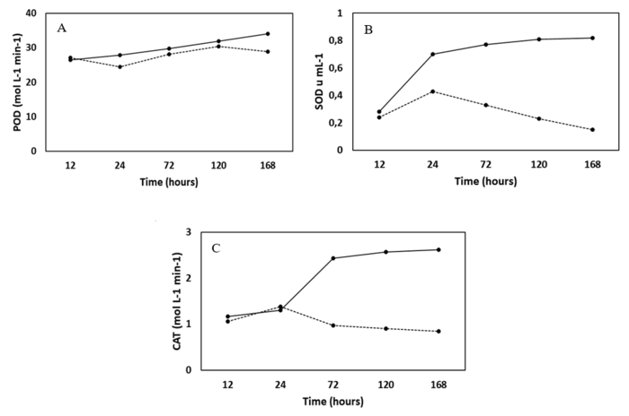
The activity of the peroxidase (POD), catalase (CAT) and superoxide dismutase (SOD) enzymes was measured to evaluate the responses of primed and unprimed seeds to saline stress. For this, 100 mg of parsley seeds were subjected to a -0.2 MPa saline substrate. Two 10 mg samples were taken after 12, 24, 72, 120 and 168 hours of imbibition. Each sample was then prepared with 2 mL of potassium phosphate (pH 6.7) and 30 mg of polyvinylpyrrolidone (PVPP), then centrifuged for 10 min. at -5ºC and 15,000 rpm. The supernatant was then separated from the precipitate by pipetting and analysed on a spectrophotometer (model T92 +). The software used to carry out the data analysis was the UV Probe. The methods used to determine POD, CAT and SOD activity were those described by Teisseire and Guy (2000), Peixoto, Cambraia, Sant'anna, Mosquim, and Moreira (1999) and Beauchamp and Fridovich (1971), respectively.
Statistical analysis
The experimental design was completely randomised, in a 3 x 3 factorial scheme for the first study and 2 x 6 for the second, and the osmotic potentials induced by saline stress, with 4 repetitions each. Normality of the data was determined by a normality test (Shapiro-Wilk). Analysis of variance (ANOVA) was performed and when significant differences were seen, the means was compared by the Tukey’s test (α = 0.05). The data, depending on the osmotic potentials, were subjected to linear regression analysis (p < 0.05). The biochemical data were evaluated following a descriptive method.
Results and discussion
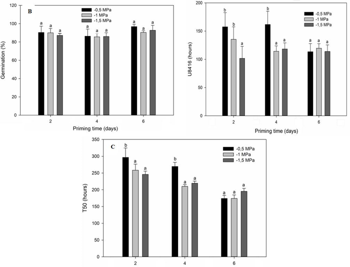
The primed parsley seeds showed a significant improvement in all physiological parameters evaluated, when compared to non-primed seeds (Figure 1). The results of the different times and osmotic potentials tested did not differ significantly from each other for the germination test, however, they did differ when compared to the control (Figure 1A). Although the germination percentage of the species evaluated is high (80%), the priming treatment increased this value even more, to 94.8% with 6 days of priming at -0.5 MPa. Over time, the absolute number of germinated seeds increases in all treatment groups, as germination can be slow to occur. However, the highest number of germinated seeds was seen in the conditioned seeds, where the treatment resulted in the highest IVG. The initial values of the IVG (3.13) increased concomitantly with the conditioning time, reaching the maximum values of 6.71 (Figure 2B).


Parsley seeds have slow and uneven germination (Silva, Baldini, Ferreira, Nakagawa, & Silva, 2017). A faster and more uniform germination process is important to reduce the exposure of seeds and seedlings to bad weather in fields. In cultures of relatively short cycles, such as for vegetables, the period between sowing and seedling emergence is one of the critical phases, therefore, uniformity and percentage emergence assume great importance in determining the production and final quality of the product. It is known that osmo-priming extends the ‘lag phase’ (phase II) of imbibition, restricting the radicle protrusion. It is in this phase that the greatest metabolic events occur, to prepare the seeds for the radicle protrusion phase (Bewley et al., 2013). Thus, a prolonged period in phase II promotes specific mechanisms necessary for germination (Nascimento, 2003; Matthews & Khajeh-Hosseini, 2007), in addition to facilitating water uptake.
The increase in germination and IVG seen in Figure 1 was also observed in primed seeds of other species, including Nicotiana tabacum (Caldeira, Carvalho, Guimarães, & Coelho, 2014), Allium cepa (Caseiro, Bennett, & Marcos-Filho, 2004) and in a several vegetables (Nascimento, 2005), showing the effectiveness of the technique.
In order to evaluate the effects of priming on seeds subsequently subjected to salt stress, based on the results presented in Figure 1, the priming treatment chosen was -0.5 MPa, for 6 days. Increasing saline concentrations had a negative effect on the germination of Petroselinum crispum when compared to the control seeds (Figure 2A), making it clear that with the increase in salinity (and consequent reduction in osmotic potential) there was a significant and gradual decrease in the germination percentage. With osmotic potentials of -0.2 and -0.4 MPa, in unprimed seeds, the germination percentage dropped from 80 to 53% and 8%, respectively, indicating the species sensitivity (Figure 2A). For -0.6, -0.8, and -1.0 MPa, there was no survival of unprimed seeds. A similar trend was seen for germination speed (Figure 2B), which was drastically reduced in higher osmotic potentials.
During seed germination, water is a determining factor, resulting in rehydration of tissues, and intensification of the respiratory process and other metabolic pathways that lead to the development of the embryonic axis (Carvalho & Nakagawa, 2012). The negative effect of saline stress on germination is due to the fact that salt decreases the osmotic potential of the substrate, consequently hindering the imbibition mechanism (Bewley & Black, 1994; Foti, Khah, & Pavli, 2018), and inducing toxicity (Khajeh-Hosseini et al., 2003). The accumulation of NaCl causes rupture of the integumentary layers, damage to the embryo (Maher, Fraj, & Cherif, 2013; Acosta-Motos et al., 2017) and reduction of the conversion of stored reserves, necessary for the initial stages of germination (Khajeh-Hosseini et al., 2003). In seeds, reduction in vigour is one of the first indicators of sensitivity to salinity (Khan & Gulzar, 2003). The decrease in the percentage of germination and IVG observed in the present study provides evidence of these effects. The lowest results were observed for both variables at -1.0 MPa potential (Figure 2A and B).
However, the negative effect of salinity can be reversed with seed priming, under mild salt stress (Figure 2). As shown in Figure 2A, when seeds were subjected to salt stress of -0.2 and -0.4 MPa the germination rate was significantly greater in primed seeds (80 and 64%, respectively), compared to unprimed seeds (57 and 8%, respectively). The same trend was observed for the speed of germination, showing the benefit provided by priming, of accelerating the germination process (Figure 2B). This acceleration resulting from the priming process may be due to the fact that primed seeds had been in contact with water through the treatment process and, therefore, were more hydrated compared to the unprimed seeds, when placed on substrates to germinate. This may allow the primed seeds to begin the processes of reorganisation and cellular activation more quickly, as they do not need to rehydrate first (Bewley et al., 2013). Thus, primed seeds were physiologically closer to the beginning of the soaking phase III and, consequently, to radicle protrusion, which leads to higher values of germination speed.
Among the strategies used to mitigate salinity-induced adverse effects, priming of seeds within organic salt solutions (osmo-priming) or water (hydropriming) are cited as the most appropriate, efficient and economically favourable techniques to enhance the rate and uniformity of germination (Singh, Sengar, Kulshreshtha, & Datta, 2018; Matias, Torres, Leal, Leite, & Carvalho, 2018). An improvement in the germination process with seed pre-priming has been commonly reported in several crops. Priming with potassium nitrate (KNO3) solution has been shown to have beneficial effects on germination and growth rate of a wide range of vegetable crops in stressful environments. Such crops include eggplant (Nascimento & Lima, 2008) and pepper (Batista et al., 2015). Matias et al. (2018) recommended the soaking of seeds in water to improve the tolerance of sunflower plants to saline conditions, and Oliveira et al. (2019) concluded that seed priming with water (hydropriming) and KNO3 (osmo-priming) may be used to improve seed germination and growth rate of melon seedlings, also under salt stress conditions.
Bewley and Black (1994) state that imbibition of water and ions, and carbohydrate metabolism, are affected by salinity, culminating in reduced growth and accumulation of dry mass. This corroborates the results found in this study. Parsley seedlings also proved to be sensitive to the effects of saline stress and, for all evaluated parameters (length, fresh weight and dry weight), a significant reduction in measurements was seen, both for shoots and roots (Table 1).
When studying the effects of increasing salinity on plant growth and development, several authors reported a drop in germination and initial seedling growth (Askari, Kazemitabar, Zarrini, & Saberi, 2016; Khatar, Mohammadi, & Shekari, 2017; Kandil, Shareif, & Gad, 2017; Foti et al., 2018), similar to that seen in this work (Figure 2, Table 1). It is known that a high concentration of salts can cause plants and seeds to lose water, and suffer from ionic toxicity as a result of the accumulation of Na+ and Cl- ions (Marschner, 1995). According to Larcher (2000), the accumulation of these ions in the protoplasm causes a specific effect on enzymes and membranes that interferes with plant growth and development. In addition, high salinity also results in oxidative stress, resulting from an overproduction of reactive oxygen species (ROS), and acute K+ deficiency as a result of its leakage from depolarised cells (Shabala, 2013). In lentil (Lens culinaris Medik.), there was also a reduction in seedling growth with an increase in saline stress (Foti et al., 2018).
For specific stress conditions, this study shows that osmo-priming is efficient in reversing the damage that occurs throughout the germination process in seeds subjected to different salt concentrations (Figure 2). As shown in Table 1, the measurements of the control seedlings were as follows: 7.1 and 2.8 cm shoot and root length, respectively; fresh weight of 1.3 g for shoots, and 1.2 g for roots; and dry weight of 0.023 g for the aerial part of the shoot, and 0.015 g for the root. These values did not show a statistically significant difference from those obtained from primed seeds that were later exposed to NaCl solution with an osmotic potential of -0.2 MPa. This result was not observed for unprimed seeds, which showed a reduction in length, fresh weight and dry weight measurements (5.1 cm; 1.1 g; 0.011 g for shoots and 2.2 cm; 0.96 g; 0.009 g for roots) compared to controls. With the reduction of the osmotic potential, generated by the addition of NaCl, these values decreased concomitantly, both for primed and unprimed seeds. The greatest benefit from the priming treatment was observed in the stress potentials -0.2 and -0.4 MPa. For all parameters, primed seeds showed statistically significantly increased values compared to unprimed seeds. This confirms that osmo-priming in parsley can be highly beneficial in certain adverse germination conditions.
Another considerable effect of high salt concentration, and consequent alteration in cellular homeostasis, is the production of reactive oxygen species (ROS) at toxic levels. It is important to note that ROS are common by-products of metabolism (Mittler, 2002). However, under conditions of saline stress, photorespiration is favoured and the electron transport chain is reduced, significantly increasing the production of ROS (Apel & Hirt, 2004; Noctor, Mhamdi, & Foyer, 2014). Excessive concentrations of ROS causes oxidation of membrane lipids, proteins and nucleic acids, which can result in cell death (Yao et al., 2012). To avoid the more harmful effects to biomolecules, plants have developed an elaborate and efficient network of ROS elimination mechanisms to overcome toxicity (Foyer & Noctor, 2005; Bailey-Serres & Mittler, 2006; Pang & Wang, 2008). Detoxification involves the control and removal of ROS in different cellular compartments and this process is carried out by enzymatic antioxidants, such as superoxide dismutase (SOD), catalase (CAT) and peroxidase (POD; Seckin, Turkan, Sekmen, & Ozfidan, 2010).
In the present study, variations in the activity of the enzymes of the antioxidative systems of primed and unprimed seeds were observed when subjected to saline stress (Figure 3). It was seen that enzyme activity was increased in primed seeds exposed to saline stress, compared to unprimed cells in the same conditions. This suggests that that the priming process may increase the activity of antioxidant enzymes.


The levels of activity of the peroxidase enzyme (Figure 3A) were similar initially in both the primed and unprimed seed cases, although the behaviour of the curves over time differed. Primed seeds showed an increase in enzyme activity, while the enzymes of unprimed seeds showed inconsistent variations in activity, with reductions after 24 and 120 hours. It is known that during saline stress, there is a decrease in CO2 in relation to O2 in the peroxisome. This promotes increased photorespiration and production of glycolate in the chloroplast, which generates H2O2 (Noctor, Veljovic-Jovanovic, Driscoll, Novitskaya, & Foyer, 2002; Karpinski, Gabrys, Mateo, Karpinska, & Mullineaux, 2003). This by-product, when in excess, is toxic and needs to be removed from the cell in subsequent reactions. Peroxidases play a critical role as hydrogen acceptors, regulating the formation of H2O2 in plants (Kim et al., 2008) and attenuating the loss of quality.
The SOD activity (Figure 3B) increased in the first 24 hours, both for primed and unprimed seeds. From this point on, primed seeds maintained their activity, while unprimed seeds showed a decrease until the end of the evaluation period. SOD is a metalloenzyme that catalyses the dismutation of the superoxide radical into hydrogen peroxide, constituting the cell's first line of defense (Alscher, Erturk, & Heath, 2002). The behaviour observed in unprimed seeds indicates that the enzyme activity decreases when the metabolism suffers damage due to stress. This results in an inefficiency of the antioxidant system to contain the damage. The enzyme activity curve observed in primed seeds, on the other hand, shows the effect that the priming treatment has to stabilise of the antioxidant system, resulting in the greater tolerance to saline stress observed in the experiments.
In the first 24 hours, the activity levels of the catalase enzyme (Figure 3C) were also the same for primed and unprimed seeds. However, after this period, there was a considerable increase in activity in primed seeds, followed by stabilisation after 72 hours. Unprimed seeds, on the other hand, showed a gradual decrease in enzyme activity. Like peroxidase, catalase is a major regulator of intracellular H2O2 levels (Gill & Tuteja, 2010). The increase in CAT activity in seeds under saline stress was recently reported for pumpkin (Sevengor, Yasar, Kusvuran, & Ellialtioglu, 2011), melon (Dantas, Silva, Ribeiro, & Aragão, 2015) and cucumber (Fan, Du, Ding, & Xu, 2013), showing the importance of this defence enzyme against oxidative stress. Therefore, it can be suggested that the increase in CAT contributed to superior physiological responses in parsley seeds under these conditions.
The behaviour observed in the enzyme activity curves, particularly for catalase and superoxide dismutase, indicates that the antioxidant system, in response to saline stress, seeks to increase its activity to counteract the effects of the compromising conditions to which the seed was subjected. In unprimed seeds, after a while the severity of stress-induced damage was not compensated for, possibly due to cellular degradation caused by ROS produced. This degradation may limit the synthesis of enzymes, which decreases their activity over time. Overall, in primed seeds, an increase in the levels of the studied enzymes was noted, corroborating with the physiological data found in this study, giving evidence that previously conditioned seeds can be grown in areas with moderate salinity.
Conclusion
Priming at 0.5 MPa for 6 days at 20ºC, increased the germination speed index in Petroselinum crispum seeds.
Through the priming at -0.5 MPa using PEG solution for 6 days at 20ºC, seeds acquired greater tolerance to the initial levels of salinity (-0.2 and -0.4 MPa) and showed superior physiological indicators when compared to unprimed seeds.
The induction of tolerance to saline stress is related to the activity of the antioxidant system in the seeds, since those subjected to the priming treatment showed superior activity of the peroxidase, superoxide dismutase and catalase enzymes on exposure to saline conditions.
Acknowledgements
The authors thank Fundação de Amparo à Pesquisa do Estado de São Paulo (Fapesp) for the scientific initiation fellowship given to the first author (grant number 17/05392-5)
References
Acosta-Motos, J. R., Ortuño, M. F., Bernal-Vicente, A., Diaz-Vivancos, P., Sanchez-Blanco, M. J., & Hernandez, J. A. (2017). Plant responses to salt stress: adaptive mechanisms. Agronomy, 7(1), 18. DOI: https://doi.org/10.3390/agronomy7010018
Alscher, R. G., Erturk, N., & Heath, L. S. (2002). Role of superoxide dismutases (SODs) in controlling oxidative stress in plants. Journal of Experimental Botany, 53(372), 1331-1341. DOI: https://doi.org/10.1093/jexbot/53.372.1331
Amooaghaie, R., & Nikzad, K. (2013). The role of nitric oxide in priming-induced low-temperature tolerance in two genotypes of tomato. Seed Science Research, 23(2), 123-131. DOI: https://doi.org/10.1017/S0960258513000068
Ansari, O., & Sharif-Zadeh, F. (2012). Osmo and hydro priming improvement germination characteristics and enzyme activity of Mountain Rye (Secale montanum) seeds under drought stress. Journal of Stress Physiology & Biochemistry, 8(4), 253-261.
Apel, K., & Hirt, H. (2004). Reactive oxygen species: metabolism, oxidative stress, and signal transduction. Annual Review of Plant Biology, 55, 373-399. DOI: https://doi.org/10.1146/annurev.arplant.55.031903.141701
Ashraf, M., & Harris, P. J. C. (2004). Potential biochemical indicators of salinity tolerance in plants. Plant Science, 166(1), 3-16. DOI: https://doi.org/10.1016/j.plantsci.2003.10.024
Askari, H., Kazemitabar, S. K., Zarrini, H. N., & Saberi, M. H. (2016). Salt tolerance assessment of barley (Hordeum Vulgar L.) genotypes at germination stage by tolerance indices. Open Agriculture, 1(1), 37-44. DOI: https://doi.org/10.1515/opag-2016-0005
Bailey-Serres, J., & Mittler, R. (2006). The roles of reactive oxygen species in plant cells. Plant Physiology, 141(2), 311. DOI: https://doi.org/10.1104/pp.104.900191
Bailly, C. (2004). Active oxygen species and antioxidants in seed biology. Seed Science Research , 14(2), 93-107. DOI: https://doi.org/10.1079/SSR2004159
Batista, T. B., Cardoso, E. D., Binotti, F. F. S., Sá, M. E., & Haga, K. I. (2015). Nutrientes e giberelina no condicionamento fisiológico sob a qualidade de sementes de braquiária. Revista de Agricultura Neotropical, 2(1), 10-16. 2015. DOI: https://doi.org/10.32404/rean.v2i1.253
Beauchamp, C., & Fridovich, I. (1971). Superoxide dismutase: improved assays and an assay applicable to acrylamide gels. Analytical Biochemistry, 44(1), 276-287. DOI: https://doi.org/10.1016/0003-2697(71)90370-8
Bewley, J. D., & Black, M. (1994). Seeds: physiology of development and germination (2nd ed.). New York, NY: Springer.
Bewley, J. D., Bradford, K. J., Hilhorst, H. W. M., & Nonogaki, H. (2013). Seeds: physiology of development, germination and dormancy (3rd ed.). New York, NY: Springer .
Braccini, A. L., Ruiz, H. A., Braccini, M. C. L., & Reis, M. S. (1996). Germinação e vigor de sementes de soja sob estresse hídrico induzido por soluções de cloreto de sódio, manitol e polietileno glycol. Revista Brasileira de Sementes, 18(1), 10-16. DOI: http://dx.doi.org/10.17801/0101-3122/rbs.v18n1p10-16
Caldeira, C. M., Carvalho, M. L. M., Guimarães, R. M., & Coelho, S. V. B. (2014). Physiological priming and pelleting of tobacco seeds. Seed Science and Technology, 42(2), 180-189. DOI: https://doi.org/10.15258/sst.2014.42.2.07
Carvalho, N. M., & Nakagawa, J. (2012). Sementes: ciência, tecnologia e produção (5a ed.). Jaboticabal, SP: Funep.
Caseiro, R., Bennett, M. A., & Marcos-Filho, J. (2004). Comparison of three priming techniques for onion seed lots differing in initial seed quality. Seed Science and Technology , 32(2), 365-375. DOI: https://doi.org/10.15258/sst.2004.32.2.09
Chen, K., & Arora, R. (2011). Dynamics of the antioxidant system during seed osmopriming, post-priming germination, and seedling establishment in Spinach (Spinacia oleracea). Plant Science , 180(2), 212- 220. https://doi.org/10.1016/j.plantsci.2010.08.007
Dantas, B. F., Silva, R. C. B., Ribeiro, R. C., & Aragão, C. A. (2015). Respiration and antioxidant enzymes activity in watermelon seeds and seedlings subjected to salt and temperature stresses. American Journal of Experimental Agriculture, 7(2), 70-77. DOI: https://doi.org/10.9734/AJEA/2015/15749
Dantas, E. P., Queiroga, R. C. F., Silva, Z. L., Assis, L. E., & Sousa, F. F. (2018). Produção e qualidade do meloeiro sob osmocondicionamento da semente e níveis de salinidade da água. Revista Verde de Agroecologia e Desenvolvimento Sustentável, 13(1), 8-15. DOI: https://doi.org/10.18378/rvads.v13i1.5013
Fan, H.-F., Du, C.-X., Ding, L., & Xu, Y.-L. (2013). Effects of nitric oxide on the germination of cucumber seeds and antioxidant enzymes under salinity stress. Acta Physiologiae Plantarum, 35(9), 2707-2719. DOI: https://doi.org/10.1007/s11738-013-1303-0
Farooq, M., Hussain, M., Nawaz, A., Lee, D.-J., Alghamdi, S. S., & Siddique, K. H. M. (2017). Seed priming improves chilling tolerance in chickpea by modulating germination metabolism, trehalose accumulation and carbon assimilation. Plant Physiology and Biochemistry, 111, 274-283. DOI: https://doi.org/10.1016/j.plaphy.2016.12.012
Foti, C., Khah, E. M., & Pavli, O. I. (2018). Germination profiling of lentil genotypes subjected to salinity stress. Plant Biology, 21(3), 480-486. DOI: https://doi.org/10.1111/plb.12714
Foyer, C. H., & Noctor, G. (2005). Redox homeostasis and antioxidant signaling: a metabolic interface between stress perception and physiological responses. Plant Cell, 17(7), 1866-1875. DOI: https://doi.org/10.1105/tpc.105.033589
Gill, S. S., & Tuteja, N. (2010). Reactive oxygen species and antioxidant machinery in abiotic stress tolerance in crop plants. Plant Physiology and Biochemistry, 48(12), 909-930. DOI: https://doi.org/10.1016/j.plaphy.2010.08.016
Jaleel, C. A., Manivannan, P., Wahid, A., Farooq, M., Al-Juburi, H. J., Somasundaram, R., & Panneerselvam, R. (2009). Drought stress in plants: a review on morphological characteristics and pigments composition. International Journal of Agriculture and Biology, 11(1), 100-105.
Kandil, A. A., Shareif, A. E., & Gad, M. A. (2017). Effect of salinity on germination and seeding parameters of forage cowpea seed. Research Journal of Seed Science, 10(1), 17-26. DOI: https://doi.org/10.3923/rjss.2017.17.26
Karpinski, S., Gabrys, H., Mateo, A., Karpinska, B., & Mullineaux, P. M. (2003). Light perception in plant disease defence signalling. Current Opinion in Plant Biology , 6(4), 390-396. DOI: https://doi.org/10.1016/s1369-5266(03)00061-x
Khajeh-Hosseini, M., Powell, A. A., & Bingham, I. J. (2003). The interaction between salinity stress and seed vigour during germination of soyabean seeds. Seed Science and Technology , 31(3), 715-725. DOI: https://doi.org/10.15258/sst.2003.31.3.20
Khan, M. A., & Gulzar, S. (2003). Germination responses of Sporobolus ioclados: a saline desert grass. Journal of Arid Environments, 53(3), 387-394. DOI: https://doi.org/10.1006/jare.2002.1045
Khatar, M., Mohammadi, M. H., & Shekari, F. (2017). Some physiological responses of wheat and bean to soil salinity at low matric suctions. International Agrophysics, 31(1), 83-91. DOI: https://doi.org/10.1515/intag-2016-0028
Kibinza, S., Bazin, J., Bailly, C., Farrant, J. M., & Corbineau, F. (2011). Catalase is a key enzyme in seed recovery from ageing during priming. Plant Science , 181(3), 309-315. DOI:10.1016/j.plantsci.2011.06.003
Kim, Y.-H., Kim, C. Y., Song, W.-K., Park, D.-S., Kwon, S.-Y., Lee, H.-S., … Kwak, S.-S. (2008). Overexpression of sweetpotato swpa4 peroxidase results in increased hydrogen peroxide production and enhances stress tolerance in tobacco. Planta, 227(4), 867-881. DOI: https://doi.org/10.1007/s00425-007-0663-3
Kozlowski, T. T., & Pallardy, S. G. (2002). Acclimation and adaptive responses of woody plants to environmental stresses. Botanical Review, 68(2), 270-334. DOI: https://doi.org/10.1663/0006-8101(2002)068[0270:AAAROW]2.0.CO;2
Larcher, W. (2000). Ecofisiologia vegetal. São Carlos, SP: APGIQ.
Madany, M. M. Y., & Khalil, R. R. (2017). Seed priming with ascorbic acid or calcium chloride mitigates the adverse effects of drought stress in sunflower (Helianthus annuus L.) seedlings. The Egyptian Journal of Experimental Biology, 13(1), 119-133. DOI: https://doi.org/10.5455/egyjebb.20170409090612
Maguire, J. D. (1962). Speed of germination - aid in selection and evaluation for seedling emergence and vigor. Crop Science, 2(2), 176-177. DOI: https://doi.org/10.2135/cropsci1962.0011183X000200020033x
Maher, S., Fraj, H., & Cherif, H. (2013). Effect of NaCl priming on seed germination of Tunisian fenugreek (Trigonella foenum-graecum L.) under salinity conditions. Journal of Stress Physiology & Biochemistry , 9(2), 86-96.
Marschner, H. (1995). Mineral nutrition of higher plants (2nd ed.). London, UK: Academic Press.
Matias, J. R., Torres, S. B., Leal, C. C. P., Leite, M. S., & Carvalho, S. M. C. (2018). Hydropriming as inducer of salinity tolerance in sunflower seeds. Revista Brasileira de Engenharia Agrícola e Ambiental, 22(4), 255-260. DOI: https://doi.org/10.1590/1807-1929/agriambi.v22n4p255-260
Matthews, S., & Khajeh-Hosseini, M. (2007). Length of the lag period of germination and metabolic repair explain vigour differences in seed lots of maize (Zea mays). Seed Science and Technology , 35(1), 200-212. DOI: https://doi.org/10.15258/sst.2007.35.1.18
Mittler, R. (2002). Oxidative stress, antioxidants and stress tolerance. Trends in Plant Science , 7(9), 405-410. DOI: https://doi.org/10.1016/s1360-1385(02)02312-9
Nascimento, W. M. (2003). Preventing thermoinhibition in a thermosensitive lettuce genotype by seed imbibition at low temperature. Scientia Agricola, 60(3), 477-480. DOI: https://doi.org/10.1590/S0103-90162003000300010
Nascimento, W. M. (2005). Condicionamento osmótico de sementes de hortaliças visando a germinação em condições de temperaturas baixas. Horticultura Brasileira, 23(2), 211-214. DOI: https://doi.org/10.1590/S0102-05362005000200010
Nascimento, W. M., & Lima, L. B. (2008). Condicionamento osmótico de sementes de berinjela visando a germinação sob temperaturas baixas. Revista Brasileira de Sementes , 30(2), 224-227.
Noctor, G., Mhamdi, A., & Foyer, C. H. (2014). The roles of reactive oxygen metabolism in drought: not so cut and dried. Plant Physiology , 164(4), 1636-1648. DOI: https://doi.org/10.1104/pp.113.233478
Noctor, G., Veljovic-Jovanovic, S., Driscoll, S., Novitskaya, L., & Foyer, C. H. (2002). Drought and oxidative load in the leaves of C3 plants: A predominant role for photorespiration? Annals of Botany, 89(7), 841-850. DOI: https://doi.org/10.1093/aob/mcf096
Oliveira, A. B., & Gomes-Filho, E. (2010). Efeito do condicionamento osmótico na germinação e vigor de sementes de sorgo com diferentes qualidades fisiológicas. Revista Brasileira de Sementes , 32(3), 25-34. DOI: https://doi.org/10.1590/S0101-31222010000300003
Oliveira, C. E. S., Steiner, F., Zuffo, A. M., Zoz, T., Alves, C. Z., & Aguiar, V. C. B. (2019). Seed priming improves the germination and growth rate of melon seedlings under saline stress. Ciência Rural, 49(7), e20180588. DOI: https://doi.org/10.1590/0103-8478cr20180588
Pang, C. H., & Wang, B. S. (2008). Oxidative stress and salt tolerance in plants. Progress in Botany, 69, 231-245. DOI: https://doi.org/10.1007/978-3-540-72954-9_9
Patade, V. Y., Bhargava, S., & Suprasanna, P. (2009). Halopriming imparts tolerance to salt and PEG induced drought stress in sugarcane. Agriculture, Ecosystems and Environment, 134(1-2), 24-28. DOI: https://doi.org/10.1016/j.agee.2009.07.003
Peixoto, P. H. P., Cambraia, J., Sant'anna, R., Mosquim, P. R., & Moreira, M. A. (1999). Aluminum effects on lipid peroxidation and on the activities of enzymes of oxidative metabolism in sorghum. Revista Brasileira de Fisiologia Vegetal, 11(3), 137-143.
Rabbani, A. R. C., Nunes, F. B. S., Carvalho, S. V. A., Ferreira, R. A., & Mann, R. S. (2013). Condicionamento osmótico em sementes de girassol (Helianthus annuus L.). Revista Científica UDO Agrícola, 13(1), 50-55.
Seckin, B., Turkan, I., Sekmen, A. H., & Ozfidan, C. (2010). The role of antioxidant defense systems at differential salt tolerance of Hordeum marinum Huds. (sea barleygrass) and Hordeum vulgare L. (cultivated barley). Environmental and Experimental Botany, 69(1), 76-85. DOI: https://doi.org/10.1016/j.envexpbot.2010.02.013
Sevengor, S., Yasar, F., Kusvuran, S., & Ellialtioglu, S. (2011). The effect of salt stress on growth, chlorophyll content, lipid peroxidation and antioxidative enzymes of pumpkin seedling. African Journal of Agricultural Research, 6(21), 4920-4924. DOI: https://doi.org/10.5897/AJAR11.668
Shabala, S. (2013). Learning from halophytes: physiological basis and strategies to improve abiotic stress tolerance in crops.Annals of botany,112(7), 1209-1221. https://doi.org/10.1093/aob/mct205
Shaheen, H. L., Iqbal, M., Azeem, M., Shahbaz, M., & Shehzadi, M. (2016). K-priming positively modulates growth and nutrient status of salt-stressed cotton (Gossypium hirsutum) seedlings. Archives of Agronomy and Soil Science , 62(6), 759-768. DOI: https://doi.org/10.1080/03650340.2015.1095292
Sharma, A. D., Rathore, S. V. S., Srinivasan, K., & Tyagi, R. K. (2014). Comparison of various seed priming methods for seed germination, seedling vigour and fruit yield in okra (Abelmoschus esculentus L. Moench). Scientia Horticulturae, 165, 75-81. DOI: https://doi.org/10.1016/j.scienta.2013.10.044
Silva, T. A., Baldini, L. F. G., Ferreira, G., Nakagawa, J., & Silva, E. A. A. (2017). Thermoinhibition in parsley seeds. Bioscience Journal, 33(6), 1412-1418. DOI: https://doi.org/10.14393/BJ-v33n6a2017-37192
Singh, S., Sengar, R. S., Kulshreshtha, N., & Datta, D. (2015). Assessment of multiple tolerance indices for salinity stress in bread wheat (Triticum aestivum L.). Journal of Agricultural Science, 7(3), 49-57. DOI: http://dx.doi.org/10.5539/jas.v7n3p49
Soeda, Y., Konings, M. C. J. M., Vorst, O., Van Houwelingen, A. M. M. L., Stoopen, G. M., Maliepaard, C. A., … Van Der Geest, A. H. M. (2005). Gene expression programs during Brassica oleracea seed maturation, osmopriming, and germination are indicators of progression of the germination process and the stress tolerance level. Plant Physiology , 137(1), 354-368. DOI: https://doi.org/10.1104/pp.104.051664
Souza, M. O., Pelacani, C. R., Willems, L. A. J., Castro, R. D., Hilhorst, H. W. M., & Ligterink, W. (2016). Effect of osmopriming on germination and initial growth of Physalis angulata L. under salt stress and on expression of associated genes. Academia Brasileira de Ciências, 88(suppl. 1), 503-516. DOI: https://doi.org/10.1590/0001-3765201620150043
Taiz, L., & Zeiger, E. (2013). Fisiologia Vegetal (5. ed.). Porto Alegre, RS: Artmed.
Teisseire, H., & Guy, V. (2000). Copper-induced changes in antioxidant enzymes activities in fronds of duckweed (Lemna minor). Plant Science , 153(1), 65-72. DOI: https://doi.org/10.1016/S0168-9452(99)00257-5
Yao, Z., Liu, L., Gao, F., Rampitsch, C., Reinecke, D. M., Ozga, J. A., & Ayele, B. T. (2012). Developmental and seed aging mediated regulation of antioxidative genes and differential expression of proteins during pre- and post-germinative phases in pea. Journal of Plant Physiology , 169(15), 1477-1488. DOI: https://doi.org/10.1016/j.jplph.2012.06.001
Zheng, M., Tao, Y., Hussain, S., Jiang, Q., Peng, S., Huang, J., ... Nie, L. (2016). Seed priming in dry direct-seeded rice: consequences for emergence, seedling growth and associated metabolic events under drought stress. Plant Growth Regulation, 78(2), 167-178. DOI: https://doi.org/10.1007/s10725-015-0083-5
Author notes
*Author for correspondence. E-mail: criscgbiologia@hotmail.com