CROP PRODUCTION
Area estimation of soybean leaves of different shapes with artificial neural networks
Area estimation of soybean leaves of different shapes with artificial neural networks
Acta Scientiarum. Agronomy, vol. 44, e54787, 2022
Editora da Universidade Estadual de Maringá - EDUEM
Received: 14 July 2020
Accepted: 12 November 2020
Funding
Funding source: Council for Improvement of Personnel in Higher Education (CAPES
Contract number: Finance code 001
ABSTRACT. : Leaf area is one of the most commonly used physiological parameters in plant growth analysis because it facilitates the interpretation of factors associated with yield. The different leaf formats related to soybean genotypes can influence the quality of the model fit for the estimation of leaf area. Direct leaf area measurement is difficult and inaccurate, requires expensive equipment, and is labor intensive. This study developed methodologies to estimate soybean leaf area using neural networks and considering different leaf shapes. A field experiment was carried out from February to July 2017. Data were collected from thirty-six cultivars separated into three groups according to the leaf shape. Multilayer perceptrons were developed using 300 leaves per group, of which 70% were used for training and 30% for validation. The most important morphological measures were also tested with Garson’s method. The artificial neural networks were efficient in estimating the soybean leaf area, with coefficients of determination close to 0.90. The left leaflet width and right leaflet length are sufficient to estimate the leaf area. Network 4, trained with leaves from all groups, was the most general and suitable for the prediction of soybean leaf area.
Keywords: Glycine max, multilayer perceptrons, computational intelligence.
Introduction
Measuring leaf area is fundamental for studying the photosynthetic efficiency of plants, determining biotic and abiotic damage to crops, analyzing growth, and estimating crop yield (Hosseini, McNairn, Merzouki, & Pacheco, 2015). The length and width of the leaf blade have been used to estimate the leaf area in fruit trees (Teobaldelli et al., 2019), vegetable crops (Padrón et al., 2016; Toebe et al., 2019), and ornamental crops (Fascella, Maggiore, Zizzo, Colla, & Rouphael, 2009; Giuffrida et al., 2011), among others.
For soybean crops, the primary method to estimate leaf area is with mathematical models, using the linear dimensions of the leaf (Bakhshandeh, Kamkar, & Tsialtas, 2011; Richter et al., 2014). However, soybean leaves have different shapes and sizes, which can affect the leaf area estimation. Moreover, the presence of three leaflets can also hinder this evaluation.
Leaf area can be measured using destructive or non-destructive means, and several methods have been developed to facilitate this measurement. However, such methods, including the use of leaf discs, millimeter graph paper, desktop or portable scanners, conventional planimeter, or photography, require the excision of a part of the plant. Thus, the same leaf cannot be successively measured (Fallovo et al., 2008). Some of these methods are destructive, require the use of high-cost equipment, and are time consuming and labor intensive. In other words, the development of a low-cost, fast, reliable, and non-destructive method is a challenge for leaf area measurement.
Mathematical regression models with linear and non-linear approaches (Silva, Lima, Bendini, Nomura, & Moraes, 2008) are frequently used to estimate the leaf area based on the length and width of the leaf blade (Shabani et al., 2017). Recently, the artificial neural network (ANN) technique has been considered as a fundamental alternative to estimating and predicting several traits (Guimarães, Donato, Azevedo, Aspiazú, & Silva Junior, 2018). Additionally, different studies have shown that ANNs often provide better results than traditional methods (Moosavi & Sepaskhah, 2012).
Artificial neural networks can be used for several purposes in agricultural science, such as the prediction of crop production (Guimarães et al., 2018), fruit weight (Soares, Pasqual, Lacerda, & Silva, 2013; Rad, Koohkan, Fanaei, & Rad, 2015), or evapotranspiration (Pandorf et al., 2016), and soil parameter estimation (Oliveira, Sari, Castro, & Pedrollo, 2017). The use of ANNs is a non-parametric technique that is tolerant to data loss and does not require detailed information on the system to be modeled (Silva et al., 2014). Notably, however, we did not find reports of studies that used RNAs to estimate the soybean leaf area in the literature, nor articles that considered different leaf shapes.
Considering the abovementioned context, this study developed strategies to efficiently estimate soybean leaf area using artificial neural networks that efficiently analyze leaves of different shapes.
Material and methods
The experiment was carried out from February to July 2017 at the Institute of Agricultural Sciences (IAS) of the Federal University of Minas Gerais, regional campus of Montes Claros, Minas Gerais State, Brazil (16º51'00'' S; 44º55'00'' W; 630 m altitude). The soil is predominantly classified as Cambisol. According to Köppen’s classification, the climate in that region is of the Aw type (i.e., tropical wet and dry), with dry winters and rainy summers.
Thirty-six commercial soybean cultivars (Table 1) were grouped according to their leaf shape and planted in a simple lattice experimental design (6 × 6), with two replications, and about 40 plants per plot. The leaves were of three distinct shapes, namely lanceolate, triangular, and elliptic (Figure 1).

Leaves were randomly collected at different positions on each plant to obtain different leaf sizes and, hence, to enable the generalization of the model to be adjusted. Multilayer perceptron (MLP) networks were used to predict the leaf area, with the aid of the RSNNS package in R software. In the MLP training process, the length and width data of each leaflet were used as input variables, and the recorded leaf area was used as the desired output. The estimation of the leaf area was performed with a scanner (HP Photosmart C4480, Hewlett-Packard, Palo Alto, CA, USA) and the Image-Pro Plus software (v. 4.5).

Three hundred leaves from each shape group were used, totaling 900 leaves. From this selection, 70% of the leaves were assigned for training, and 30% for validation.
To ensure the best efficiency in network training, both input and output data were standardized to the interval between 0 and 1, using the following equation:
,
where: Vn is the normalized value, Vobs is the observed value, Vmax is the maximum value of the sample, and Vmin is the minimum value of the sample. The maximum and minimum values found for each variable are shown in Table 2. As for standardization, the normalizeData function from the RSNNS package was used (Bergmeir & Benítez, 2012). The maximum number of training times was arbitrarily set to 500. One hundred trainings were performed for the network architecture, with six neurons in the intermediate layer (Figure 2). The logistical activation function was used in the intermediate layer. To output layer the linear layer was considered.

The mean square error (MSEmean) and the coefficient of determination (R²mean) were also obtained for the adjusted networks, by considering different network architectures. The relative importance of the measures in each evaluation was estimated with the method of Garson (1991), using the Garson function from the NeuralNetTools package.
After choosing the best network architecture for each group, 100 new trainings were performed with each of the four networks for the four groups (the fourth group was composed of all three predefined groups). Then, new coefficients of determination were obtained.
The dispersion of the estimated leaf area was represented as a function of the actual leaf area in the validation sample to enable the visualization of the efficiency of the networks. In addition, coefficients of determination were considered as indicative of the quality of the model, by assessing its goodness of fit. The functions expand.grid and predict from the RSNNS package were used to generate the data necessary to plot the leaf area response surface graphs as a function of the leaflet length and width. The values predicted by the ANNs are normalized and, hence, had to be denormalized to obtain data at the desired scale (i.e., cm²). Thus, the RSNNS package function denormalizeData was used, which considers the expression:
,
where: Vdn is the denormalized value, Vn is the normalized value, Vmin is the minimum value of the sample, and Vmax is the maximum value of the sample. Finally, response surface graphs were generated from the data predicted by the network using SigmaPlot software v.11.
Results and discussion
The coefficient of variation values of the leaflets, according to their position in the leaf (i.e., central, left, and right leaflets), did not vary much between the groups (Table 2). Since the leaves were randomly chosen, a significant variation in leaf area was observed in the first, second, and third groups, with coefficients of variation of 39.38%, 41.70%, and 40.02%, respectively. Notably, the efficiency and the generalization in the prediction of the leaf area with ANNs depend on the variation of the leaf shape and size in the sample used for training (Fallovo et al., 2008; Wang & Zhang, 2012).

In this study, the length and width data of each leaflet blade in each group were used as input layer information (i.e., explanatory variables), and the leaf area data were used as the output layer (i.e., dependent variable). Knowing which explanatory variable is the most important in the ANN prediction process is crucial because it reduces the number of measures to be taken from the plant.
This study used Garson’s method (1991) to estimate the relative importance of the descriptors. In each network configuration, the least important variable was excluded until it reached the network configuration 5, with the two most important variables for the leaf area estimation. The most important traits were as follows: the left leaflet length and right leaflet width in group 1; the central leaflet length and left leaflet width in group 2; the right leaflet length and left leaflet width in group 3; and the right leaflet length and left leaflet width in group 4 (Table 3).
The study of the contribution of traits to neural networks is fundamental when evaluating several variables, facilitating the exclusion of less important traits and reducing labor and computational effort (Paliwal & Kumar, 2011). Except for the first leaf, the soybean leaves are trifoliate, which triplicates the time and effort required to measure one leaf compared with that necessary for single-leaf crops. However, the present results indicate that two measures are sufficient to obtain a good area estimate of three leaflets with ANNs (Bakhshandeh et al., 2011; Richter et al., 2014).

The values of the coefficients of determination were high (i.e., R² between 0.85 and 0.94), which indicates that the estimation of soybean leaf area by the multilayer perceptron neural network method was efficient for all the soybean cultivars. As for the MSE, it expresses the magnitude of the error for the adjusted networks: the closer it is to zero, the better the network.
Shabani, Ghaffary, Sepaskhahc, and Kamgar-Haghighi (2017) concluded that ANNs are efficient in estimating the leaf area of different plant species, whereas other methods require a specific equation for each type of plant. This means that even if new soybean cultivars are released every year (Richter et al., 2014), adjusting new networks will not be necessary. Notably, similar results were reported by Bakhshandeh et al. (2011). Therefore, a network including leaves of the different groups (1, 2, and 3) was also adjusted, resulting in a good quality of fit.
For the best visualization of the efficiency of leaf area prediction with our ANN, the values found for each group (a, b, and c) and the data of the validation samples (d) are displayed in Figure 3. The prediction efficiency of ANNs depends on the variation of the leaf shape (i.e., length and width) and the genetic materials used for training (Fallovo et al., 2008; Wang & Zhang, 2012). Thus, the use of a large number of soybean cultivars in this study resulted in a generalist model that is accurate for leaf area prediction regardless of leaf shape and size. The determination coefficients of groups 1, 2, and 3 were 0.9374, 0.9737, and 0.9395, respectively. All groups simultaneously had a coefficient of determination of 0.959. This result reveals that over 95% of the leaf area information was explained by the leaf area estimated by the multilayer perceptron networks. Bakhshandeh et al. (2011) and Richter et al. (2014) also found R2 values with linear regressions that were higher than 0.95. Interestingly, ANNs are also efficient in estimating the leaf area of other species, such as pepper (R2 = 98%) (Ahmadian-Moghadam, 2012), corn (R2 = 98%) (Odabas, Ergun, & Oner, 2013), and cabbage (R2 = 96%) (Azevedo et al., 2017).
The coefficients of determination of the four neural networks used in the leaf area prediction, according to each group, are presented in Table 4. Network 4 was efficient for all groups, and its coefficient of determination was similar to those of the other networks. This result indicates that network 4 was the most generalist one.


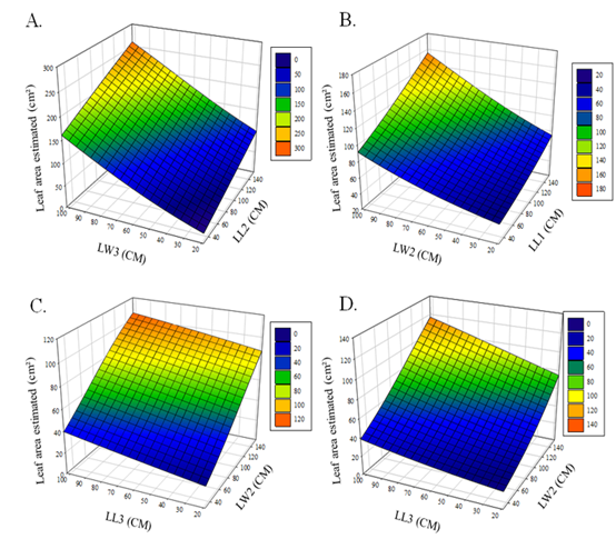
To maximize the applicability of the present study, Figure 4 shows the leaf area predicted by ANNs, based on the different values of leaf blade length and width for each group and all leaf shapes. That is, this figure enables the prediction of soybean leaf area from the leaflet width and length.

Conclusion
Multilayer perceptron artificial neural networks are efficient in predicting the leaf area in soybean cultivars. Measuring the left leaflet width and right leaflet length is sufficient to estimate the soybean leaf area. Network trained with leaflets of all groups, is more generalist and, consequently, more suitable for the prediction of soybean leaf area.
Acknowledgements
We thank the Council for Improvement of Personnel in Higher Education (CAPES; Finance code 001), Minas Gerais State Research Support Foundation (FAPEMIG), and National Council for Scientific and Technological Development (CNPq) for supporting our study
References
Ahmadian-Moghadam, H. (2012). Prediction of pepper (Capsicum annuum) leaf area using group method of data handling-type neural networks. International Journal of Agriscience, 2(11), 993-999.
Azevedo, A. M., Andrade Júnior, V. C., Sousa Júnior, A. S., Santos, A. A., Cruz, C. D., Pereira, S. L., & Oliveira, A. J. M. (2017). Eficiência da estimação da área foliar de couve por meio de redes neurais artificiais. Horticultura Brasileira, 35(1), 14-19. DOI: https://doi.org/10.1590/S0102-053620170103
Bakhshandeh, E., Kamkar, B., & Tsialtas, J. T. (2011). Application of linear models for estimation of leaf area in soybean Glycine max (L.). Photosynthetica, 49(3), 405-416. DOI: https://doi.org/10.1007/S11099-011-0048-5
Bergmeir, C., & Benítez, M. J. (2012). Neural networks in R using the Stuttgart Neural Network Simulator: RSNNS. Journal of Statistical Software, 46(7), 1-26. DOI: https://doi.org/10.18637/jss.v046.i07
Fallovo, C., Cristofori, V., Gyves, E. M., Rivera, C. M., Rea, R., & Fanasca, S. (2008). Leaf area estimation model for small fruits from linear measurements. Horticultural Science, 43(7), 2263-2267. DOI: https://doi.org/10.21273/HORTSCI.43.7.2263
Fascella, G., Maggiore, P., Zizzo, G., Colla, G., & Rouphael, Y. (2009). A simple and low-cost method for leaf area measurement in Euphorbia x lomi Thai hybrids. Advances in Horticultural Science, 23(1), 57-60.
Garson, G. D. (1991). Interpreting neural-network connection weights. Journal AI Expert, 6(4), 47-51.
Giuffrida, F., Rouphael, Y., Toscano, S., Scuderi, D., Romano, D., Rivera., … G., Leonardi, C. (2011). A simple model for nondestructive leaf area estimation in bedding plants. Photosynthetica, 49(3), 380-388. DOI: https://doi.org/10.1007/s11099-011-0041-z
Guimarães, B. V., Donato, S. L., Azevedo, A. M., Aspiazú, I., & Silva Junior, A. A. S. (2018). Prediction of ‘Gigante’cactus pear yield by morphological characters and artificial neural networks. Revista Brasileira de Engenharia Agrícola e Ambiental, 22(5), 315-319. DOI: https://doi.org/10.1590/18071929/agriambi.v22n5p315-319
Hosseini, M., McNairn, H., Merzouki, A., & Pacheco, A. (2015). Estimation of Leaf Area Index (LAI) in corn and soybeans using multi-polarization C-and L-band radar data. Remote Sensing of Environment, 170, 77-89. DOI: https://doi.org/10.1016/j.rse.2015.09.002
Moosavi, A. A., & Sepaskhah, A. (2012). Artificial neural networks for predicting unsaturated soil hydraulic characteristics at different applied tensions. Archives of Agronomy and Soil Science, 58(2), 125-153. DOI: https://doi.org/10.1080/03650340.2010.512289
Odabas, M. S., Ergun, E., & Oner, F. (2013). Artificial neural network approach for the prediction of the corn (Zea mays L.) leaf area. Bulgarian Journal of Agricultural Science, 19(4), 766-769.
Oliveira, M. H. C., Sari, V., Castro, N. M. R, & Pedrollo, O. C. (2017). Estimation of soil water content in watershed using artificial neural networks. Hydrological Sciences Journal, 62(13), 2120-2138. DOI: https://doi.org/10.1080/02626667.2017.1364844
Padrón, R. A. R., Lopes, S. J., Swarowsky, A., Cerquera, R. R., Nogueira, C. U., & Maffei, M. (2016). Non-destructive models to estimate leaf area on bell pepper crop. Ciência Rural, 46(11), 1938-1944. DOI: https://doi.org/10.1590/0103-8478cr20151324
Paliwal, M., & Kumar, U. A. (2011). Assessing the contribution of variables in feed forward neural network. Applied Soft Computing, 11(4), 3690-3696. DOI: https://doi.org/10.1016/j.asoc.2011.01.040
Rad, M. R. N., Koohkan, S. H., Fanaei, H. R., & Rad, M. R. P. (2015). Application of artificial neural networks to predict the final fruit weight and random forest to select important variables in native population of melon (Cucumis melo L.). Scientia Horticulturae, 181(2), 108-112. DOI: https://doi.org/10.1016/j.scienta.2014.10.025
Richter, G. L., Zanon, A. J., Streck, N. A., Guedes, J. V. C, Kräulich, B., Rocha, T. S. M., Winck, J. E. M., & Cera, J. C. (2014). Estimating leaf area of modern soybean cultivars by a non-destructive method. Bragantia, 73(4), 416-425. DOI: https://doi.org/10.1590/1678-4499.0179
Shabani, A., Ghaffary, K. A., Sepaskhahc, A. R., & Kamgar-Haghighi, A. A. (2017). Using the artificial neural network to estimate leaf area. Scientia Horticulturae, 216(14), 103-110. DOI: https://doi.org/10.1016/j.scienta.2016.12.032
Silva, G. N., Tomaz, R. S., Sant’anna, I. C., Nascimento, M., Bhering, L. L., & Cruz, C.D. (2014). Neural networks for predicting breeding values and genetic gains. Scientia Agricola, 71(6), 494-498. DOI: https://doi.org/10.1590/0103-9016-2014-0057
Silva, S. H. M. G.; Lima, J. D.; Bendini, H. N.; Nomura, E. S.; Moraes, W. S. (2008). Estimativa da área foliar do antúrio com o uso de funções de regressão. Ciência Rural, 38(1), 243-246. DOI: https://doi.org/10.1590/S0103-84782008000100040
Soares, J. D. R., Pasqual, M., Lacerda, W. S., Silva, S. O., & Donato, S. L. R. (2013). Utilization of artificial neural networks in the prediction of the bunches’ weight in banana plants. Scientia Horticulturae, 155(29), 24-29. DOI: https://doi.org/10.1016/j.scienta.2013.01.026
Teobaldelli, M., Rouphael, Y., Fascella, G., Cristofori, V., Rivera, C. M., & Basile, B. (2019). Developing an accurate and fast non-destructive single leaf area model for Loquat (Eriobotrya japonica Lindl) cultivars. Plants, 8(7), 230. DOI: https://doi.org/10.3390/plants8070230
Toebe, M., Souza, R. R. D., Mello, A. C., Melo, P. J. D., Segatto, A., & Castanha, A. C. (2019). Leaf area estimation of squash ‘Brasileirinha’ by leaf dimensions. Ciência Rural, 49(4), 1-11. DOI: https://doi.org/10.1590/0103-8478cr20180932
Wang, Z., & Zhang, L. (2012). Leaf shape alters the coefficients of leaf area estimation models for Saussurea stoliczkai in central Tibet. Photosynthetica, 50(3), 337-342. DOI: https://doi.org/10.1007/s11099-012-0039-1
Author notes
* Author for correspondence. E-mail: alcineimistico@hotmail.com