PLANT BREEDING
Combining ability and potential of s1 popcorn progenies for early selection
Combining ability and potential of s1 popcorn progenies for early selection
Acta Scientiarum. Agronomy, vol. 44, e55194, 2022
Editora da Universidade Estadual de Maringá - EDUEM
Received: 11 August 2020
Accepted: 28 December 2020
ABSTRACT. : Evaluation of combined ability can eliminate lines that are inefficient and enable the subsequent program steps to be more successful. The objective of this study was to predict the general (gi) and specific (sij) combination ability of popcorn S1 progenies for early selection. A total of 288 topcrosses were performed under a randomized complete block design with two replicates at two sites (Campinas and Capão Bonito, São Paulo State, Brazil). Diallel analyses were performed using mixed models and the maximum likelihood restricted/best unbiased linear prediction method. Evaluated traits included grain yield (GY; kg ha-1), weight of 100 grains (g), and popping expansion (PE; mL g-1). Ear components were also evaluated, including ear length, ear diameter (cm), and the number of grain rows (unit). The S1 progeny 32 presented the highest gi for GY in Campinas, whereas progeny 46 presented the highest gi for GY in Capão Bonito. The S1 progeny, 114 was an important parent for the popcorn breeding program, because it presented high gi for the traits of agronomic interest at both sites. Combination 86×IAC12 exhibited a high sij, and the 86 parent presented the second-highest gi for PE in Campinas, and it should be used for high PE genotypes.
Keywords: diallel, Restricted Maximum Likelihood/Best Linear Unbiased Prediction (REML/BLUP), hybrid combination.
Introduction
Popcorn is a very popular snack among Brazilian consumers and is sold in several commercial establishments across the country (Dos Santos et al., 2017; Oliveira, Amaral, Revolti, Buzinaro, & Moro, 2018). The popcorn market is growing in Brazil and now ranks second in consumer ranking, second only to the United States. Although consumption is increasing, the availability of popcorn cultivars is still limited compared to that of common corn.
Among the challenges of popcorn breeding, the difficulty of obtaining inbreeding lines is evident, because artificial self-fertilization is the main consequence of an inbreeding depression, which limits the ability to obtain good inbred lines for subsequent hybrids (Parsons et al., 2020). Therefore, it is of utmost importance to determine the combining ability of inbred lines to obtain hybrids with high heterosis. In breeding programs that focus on obtaining homozygous inbred lines, there is a great demand for time, space, and work as well as a large number of lines. Thus, the evaluation of early combining ability can eliminate lines that are inefficient in crossings and thus allows subsequent phases of the program to be more successful.
As this is an expensive and time-consuming step, the evaluation based on the behavior of hybrid combinations results in high seed value, which provides a method for low-technology producers. The combinational ability of a line is defined by its ability to transfer the characteristics of interest to the hybrid seed. The genotypes used in the crosses must exhibit an expressive combinatorial ability to produce favorable combinations (Rodrigues, Pacheco, Guedes, Pinho, & Castro, 2016).
The topcross method proposed by Davis (1924) is an alternative for this evaluation. The cross-breeding of lines with a common, broad-based genetic tester, for evaluation of the overall combining ability, or restricted, to evaluate the specific combining ability (Mirando Filho & Viégas, 1987) is defined as a topcross. In this way, the relative merit of a large number of lines in crosses with testers is evaluated, allowing the elimination of those with lower agronomic performance, making the breeding program faster and more efficient.
A difficulty with the topcross is the choice of which tester best discriminates the lines. The selection of a tester depends on the objectives of each program, which may be based on a high or low frequency of favorable alleles, broad or narrow genetic basis, general or specific combining ability, yield per se, number of testers used, and degree of kinship with the absorbed materials. A good tester must offer simplicity of use, because of the high capacity of pollen and grain production and good agronomic characteristics to generate information that correctly classifies the relative potential of the lines in crossings and to maximize the genetic gain (Hallauer, Miranda Filho, & Carena, 2010).
According to Pagliosa (2017), the application restricted maximum likelihood/best linear unbiased prediction (REML/BLUP) is a prominent method in parental selection. Although widespread in animal breeding and perennial species, the restricted maximum likelihood (REML) and best invariant linear predictor methods (BLUP), proposed by Patterson and Thompson (1971), are still rarely used in the improvement of annual plants and for the potential for genetic progress. These BLUP predictors and REML estimators allow the inference of additive and non-additive genetic effects related to general and specific combining ability (Resende, 2016). The objective of this study was to predict the general and specific capacities of popcorn S1 progenies, extracted from a population of the Agonomic Institute of Campinas (IAC), in crosses with two testers, via mixed models, for early selection.
Material and methods
Two experiments (TC1 and TC2) were conducted at two locations, where 144 hybrids originated from the crossing between S1 progenies and two testers, totaling 288 hybrids. Progenies were extracted from population IA8383, and the testers were the single hybrids IAC 12 and IA9614. The experiment denominated TC1 was constituted by hybrids originating from the crossings between 144 S1 progenies × IAC12, and TC2 was constituted by the hybrids originating from the crossings between 144 progenies S1 × IA9614. Population IA8383 consisted of an advanced generation of the American single hybrid Exp. 8383. Tester IAC 12 (IAC 138 × IAC 14-2-3-1) and IA9614 (IA 96-1-4-1-5-6-1 × IA 14-4-5-1-1-7) are single hybrids synthesized on IAC, originating from lines extracted from the IAC South America mushroom variety and the Guarani variety.
The experiments were conducted in a randomized blocks design, with two replications, in Capão Bonito (24°0′14″ S, 8°20′21″ W; at an altitude of 705 m asl) and Campinas (22°54′35″ S, 47°3′45″ W; at an altitude of 685 m asl), São Paulo State, Brazil, in the summer harvest of 2016/2017. The plots were composed of two 4 m lines, spaced 0.80 m between rows and 0.20 m between plants.
The evaluated traits were grain yield (GY; kg ha-1), weight of 100 grains (W100; g), and popping expansion (PE; mL g-1). In addition to these, ear components were also evaluated, including ear length (EL), ear diameter (ED; cm), and the number of grain rows (NR; unit).
For the joint analyses, a mixed linear model was used to estimate the BLUPs according to the following equation:
where: Y is the vector of the phenotypic values of the hybrids; l is the vector of fixed effects for environments; b is the vector of fixed effects of blocks × environments; c is the vector of fixed effects for blocks within environments; g is the genotypic value, where g~ N (0, Iσ2g) I is the interaction G × E, where i ~ N (0, Iσ²ge); and e is the vector of random residuals, where e~ N (0, Iσ2 ε). S, X, Z, W, and T are the incidence matrices for l, b, c, g, and I, respectively.
With the phenotypic means spatially corrected and the predicted genotypic values, the significance of the fixed effects were obtained using the Wald test, following the equation:
where:
H0:θ = 0, H1:θ ( 0, θ^
is the likelihood estimate for fixed effects, and SD(θ^) is the standard deviation of θ^.
The significance of random effects was tested using the likelihood ratio test (LRT) following the equation:
where: logLr is the maximum likelihood estimate of the model without the effect being tested, logLf is the residual maximum likelihood estimate of the complete model, and X2ff-fr is the X2 distribution with ff - fr degrees of freedom, which is the difference between the complete and reduced model of the random portion.
Analyses were conducted using R software (R Core Team, 2017) and the REML (Diffey, Smith, Welsh, & Cullis, 2017) package, with REML to obtain genotypic values via the BLUP. For more selective accuracy, spatial correction of the phenotypes was performed. Spatial correction analyses were performed using the order 1 autoregressive covariance matrix (AR1).
Results and discussion
The Wald test showed highly significant effects (p < 0.01) for all evaluated traits for both locations, except for PE on TC2. The LRT for genotype effects is presented in Table 1 and corresponds to the evaluation of 288 topcross hybrids in Campinas and Capão Bonito, São Paulo State, Brazil.

LRT for genotype effects was highly significant (p < 0.01) for GY, PE, and W100 and significant (p < 0.05) for ED, i.e., the existence of divergence among the tested genotypes was evidenced for these traits. This may indicate the presence of genetic variability in the population evaluated. Table 2 shows the analysis of deviance (ANODEV) for the significance test of the G × E interaction for GY, PE, W100, and ear components of the crosses with both testers.

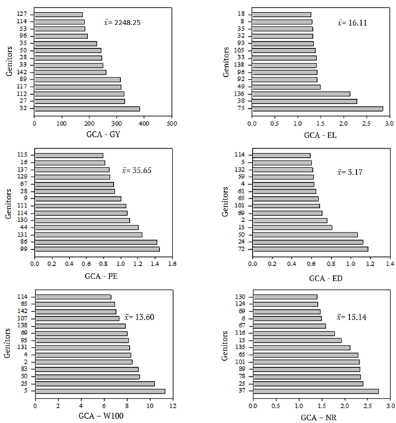
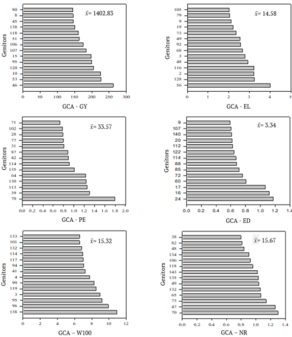
GY, PE, and W100 traits had highly significant effects on the G × E interaction. Regarding the ear components, EL, ED, and NR G × E effects were not significant. The results showed that the ear components were not influenced by the G × E interaction in the evaluated hybrids. The general combining ability (GCA) of S1 progenies, considering the selection of 10% of the progenies obtained in the 2 × 144 diallel, is presented in Figures 1 and 2.
For PE, gi values were higher than those found by Pinto et al. (2007), who evaluated popcorn maize lines, but inferior to those found by Vieira, Scapim, Tessman, and Hata (2011). For GY, the values of gi in Campinas were higher than those found by the same author.

S1 progeny 32 presented the highest value of gi for GY in Campinas, whereas S progeny 46 presented the highest value of gi for GY in Capão Bonito. The only progenies that appeared among the top 10% for PG in both Campinas and Capão Bonito were 53 and 114. Progeny 114 stood out because it was among the top 10% of the main traits of interest, GY, PE, and W100, both in Campinas and Capão Bonito. Therefore, it is recommended that this progeny be used as a parent to obtain superior topcross hybrids of popcorn. Other progenies that stood out were 70 and 99, which presented higher values of gi for PE in Campinas and Capão Bonito, respectively, among the 144 studied. Another progeny that contributed to the increase in GY and PE was progeny 28 in Capão Bonito. This progeny was also among the top 10% for PE in Campinas. Given the equal importance of GY and PE for popcorn breeding, it is important to consider the progenies which stood out for both traits.
W100 is a trait that affects the grain size of popcorn. This trait currently is experiencing growing demand by the consumer market, which prefers larger grains of popcorn. Although we should note the negative correlation between this trait and PE, progenies with high values of gi were identified for W100. Our study highlighted progenies 4.95 and 138 that were among the 10% selected in Campinas and Capão Bonito, respectively. In Campinas, the progeny that contributed most to the increase in the W100 was progeny 5 and in Capão Bonito it was progeny 138. In Campinas, progeny 131 contributed to the increase in both W100 and PE, and progenies 50 and 142 contributed to the increase in both W100 and GY.

Progenies 61 and 65 contributed to the increase in ED in Campinas and Capão Bonito. In Capão Bonito, progeny 77 presented the highest gi value among all those evaluated. Additionally, these progenies were present among those with higher gi values for PE. Similarly, progeny 70 exhibited a high value of combining ability for both NR and PE. It is important to note that secondary characteristics, such as ear components, are yield components. Thus, progenies 70 and 77, which presented high values of gi for ED and NR, and also for PE, should be considered for selection as parents.
Table 3 presents the predicted values of the general combining ability of the testers (Group II), referring to testers IAC 12 and IA9614.
In Campinas, the IA9614 tester contributed more to the increase in GY, PE, W100, and NR. The IAC12 tester contributed more to the increase in the EL and ED. In Capão Bonito, the IAC12 tester contributed positively to the increase in GY, W100, EL, and ED, whereas the IA9614 tester contributed positively to PE and NR only.

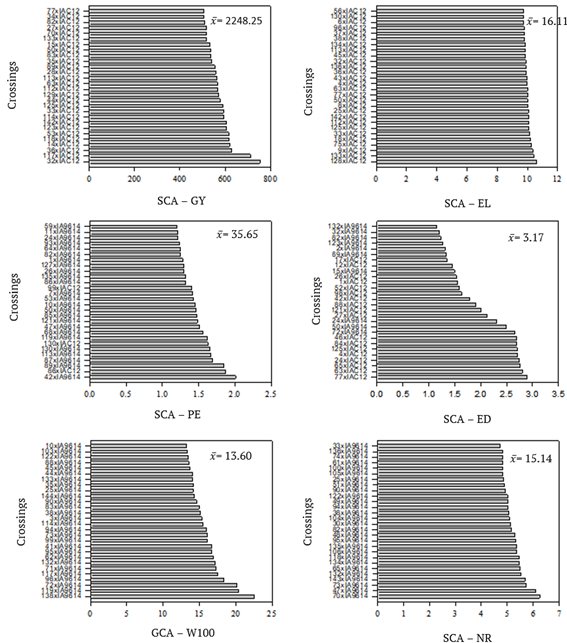
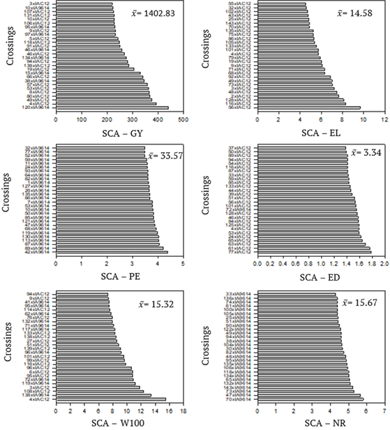
In addition to evaluating the effects of GCA, it is important to evaluate the specific interactions that infer the non-additive effects among the studied parents. Figures 3 and 4 present the effects of the specific combining ability of the 288 diallel crosses in Campinas and Capão Bonito, considering a selection of 10% applied to the diallel 2 × 144.

In Campinas, the hybrid that stood out in terms of GY was 32 × IAC12, with a predicted sij value of 753.62 kg ha-1. This value is almost double the value of sij of the best hybrid combination in Capão Bonito, which was 439.33 kg ha-1. The hybrid combination 32 × IAC12 showed the highest sij values in Campinas, associated with the high GCA predicted from the parent 32, which had the highest value of gi in Campinas, evidencing the predominance of non-additive genetic effects. This hybrid can be recommended to obtain superior genotypes with high yields. The same should be considered for hybrid 86 × IAC12, which was the second-best hybrid combination in Campinas. In addition to the high value of sij, parent 86 showed the highest value of gi for PE in Campinas.
Another crossing that stood out in Campinas was the 10 × IA9614. This crossing had high sij values for both W100 and PE. Given the consumer demand for larger grains and W100 as a yield component, this hybrid should be recommended to obtain superior genotypes that present larger grains and good popping expansion. Figure 4 presents the values of sij corresponding to the 28 best combinations (10% of the topcross) in Capão Bonito, São Paulo State, Brazil. Camacho, Scapim, Senhorinho, and Conrado (2015), evaluating the SCA for EL and ED, found lower sij values than those of this study by using model 4 proposed by Griffing (1956). The hybrid combination 63 × IAC12 showed high predicted sij values for EL, ED, and GY. Therefore, this hybrid could be used to produce superior genotypes for these traits, because the production of more productive genotypes with larger ears is advantageous to farmers.

In Capão Bonito, our study highlighted the hybrid combination 42 × IA9614 with the highest predicted value of sij for PE of 4.36 mL g-1. Progeny 42, which composes this cross, presented a high value of gi for PE in Capão Bonito. The high sij value of this hybrid, associated with the high gi value of parent 42 for PE, indicated that this hybrid could be recommended for breeding superior genotypes for this trait. The hybrid combination 10 × IA9614 stood out for both GY and PE, the two most important traits for popcorn breeding.
It is worth mentioning that hybrid combinations with larger sij stood out at both evaluation sites. For GY, the only hybrid combination that appeared among the top 10% topcross hybrids at both evaluation sites was 53 × IAC12. However, for PE, several combinations coincided with ranks in both assessment sites, indicating that the environment did not play a fundamental role in the SCA of this trait. The same occurred for ED with several rank coincidences and for NR, where all 28 of the best combinations coincided at both evaluation sites.
Conclusion
The S1 progeny 114 stood out as an important parent to be used in popcorn breeding programs, because it presented high gi values for the traits of greater agronomic interest in both evaluation sites. The hybrid combination 86 × IAC12 exhibited a high sij value, and the 86 parent presented the second-highest value of gi for PE in Campinas. Therefore, it should be recommended to obtain superior genotypes for high popping expansion.
Acknowledgements
The authors thank the São Paulo State Research Support Foundation (Fundação de Amparo à Pesquisa do Estado de São Paulo - FAPESP) for financial support
References
Camacho, L. R. S., Scapim, C. A., Senhorinho, H. J. C., & Conrado, T. V. (2015). Diallel analysis of popcorn lines and hybrids for baby corn production. Crop Breeding and Applied Biotechnology, 15(1), 33-39. DOI: https://doi.org/10.1590/1984-70332015v15n1n5
Davis, R. L. (1924). Report of the plant breeder. San Juan, PR: Agricultural Experiment Station.
Diffey, S. M., Smith, A. B., Welsh, A. H., & Cullis, B. R. (2017). A new REML (parameter expanded) EM algorithm for linear mixed models. Australian & New Zealand Journal of Statistics, 59(4), 433-448. DOI: https://doi.org/10.1111/anzs.12208
Dos Santos, J. F., Mangolin, C. A., Machado, M. F. P. S., Scapim, C. A., Giordani, W., & Gonçalves, L. S. A. (2017). Genetic variability among elite popcorn lines based on molecular and morphoagronomic characteristics. Genetics and Molecular Research, 16(2), 2-11. DOI: https://doi.org/10.4238/gmr16029243
Griffing, B. (1956). Concept of general and specific combining ability in relation to diallel crossing system. Australian Journal of Biological Science, 9(4), 463-493. DOI: https://doi.org/10.1071/BI9560463
Hallauer, A. R., Miranda Filho, J. B., & Carena, M. J. (2010). Quantitative genetics in maize breeding. New York, NY: Springer.
Miranda Filho, J. B., & Viégas, G. P. (1987). Milho híbrido. In E. Paterniani, & G. P. Viégas (Eds.), Melhoramento e produção de milho (p. 277-326). Campinas: SP, Fundação Cargill.
Oliveira, G. H. F., Amaral, C. B., Revolti, L. T. M., Buzinaro, R., & Moro, G. V. (2018). Genetic variability in popcorn synthetic population. Acta Scientiarum. Agronomy, 41(1), 1-9. DOI: https://doi.org/10.4025/actasciagron.v41i1.39497
Pagliosa, E. S., Benin, G., Beche, E., Silva, C. L., Milioli, S., & Tonatto, M. (2017). Identifying superior spring wheat genotypes through diallel approaches. Australian Journal of Crop Science, 11(1), 112-117. DOI: 10.21475/ajcs.2017.11.01.289
Parsons, L., Ren, Y., Yobi, A., Hurst, P., Angelovici, R., Rodriguez, O., & Holding, D. R. (2020). Production and selection of quality protein popcorn hybrids using a novel ranking system and combining ability estimates. Frontiers in Plant Science, 11(698), 1-20. DOI: https://doi.org/10.3389/fpls.2020.00698
Patterson, H. D., & Thompson, R. (1971). Recovery of inter-block information when block sizes are unequal. Biometrika, 58(3), 545-554. DOI: https://doi.org/10.2307/2334389
Pinto, R. J. B., Kvitschal, M. V., Scapim, C. A., Fracaro, M., Bignotto, L.S., & Souza Neto, I. L. (2007) Análise dialélica parcial de linhagens de milho-pipoca. Revista Brasileira de Milho e Sorgo, 6(3), 325-337. DOI: https://doi.org/10.18512/1980-6477/rbms.v6n03p%25p
R Core Team (2017). R: A language and environment for statistical computing. Vienna, AT: R Foundation for Statistical Computing.
Resende, M. D. V. (2016). Software Selegen-REML/BLUP: a useful tool for plant breeding. Crop Breeding and Applied Biotechnology , 16(4), 330-339. DOI: https://doi.org/10.1590/1984-70332016v16n4a49
Rodrigues, C. S., Pacheco, C. A. P., Guedes, M. L., Pinho, R. G. V., & Castro, C. R. (2016). Selection of inbred maize (Zea mays L.) progenies by topcrosses conducted in contrasting environments. Genetics and Molecular Research , 15(3), 1-11. DOI: https://doi.org/10.4238/gmr.15038827
Vieira, R. A., Scapim, C.A., Tessman, D. A., & Hata, F. T. (2011). Diallel analysis of yield, popping expansions and southern rust resistance in popcorn lines. Revista Ciência Agronômica, 42(3), 774-778. DOI: https://doi.org/10.1590/S1806-66902011000300025
Author notes
* Author for correspondence. E-mail: cinthia.rodrigues@iac.sp.gov.br