CROP PRODUCTION
Brassinosteroid application increases tomato tolerance to salinity by changing the effects of stress on membrane integrity and gas exchange
Brassinosteroid application increases tomato tolerance to salinity by changing the effects of stress on membrane integrity and gas exchange
Acta Scientiarum. Agronomy, vol. 44, e55647, 2022
Editora da Universidade Estadual de Maringá - EDUEM
Received: 04 September 2020
Accepted: 22 January 2021
Funding
Funding source: Conselho Nacional de Desenvolvimento Científico e Tecnológico (CNPq
Funding source: Grant PDJ- Post Doctoral Junior
Funding source: Rômulo Carantino, Francisco de Assis Silva, and Mirandy Dias
Contract number: 153397/2018-7
ABSTRACT: Salinity is one of the environmental stresses that most cause losses in agricultural systems, including tomato production. Brassinosteroids, such as epibrassinolide (EBL), have multiple actions in essential processes in plants. Thus, the objective of this study was to evaluate the contributions of EBL to the growth, physiology, and production of tomato plants under salinity. The experiment was conducted in a factorial scheme, with five levels of water salinity (0.5 [the control], 1.5, 3.0, 4.5, and 6.0 dS m-1) and two concentrations of EBL (0 and 10-6 M). Salt stress reduced tomato growth, relative water content, membrane integrity, gas exchange, and fruit production. However, the exogenous application of EBL attenuated the adverse effects, partially improving these characteristics at all salinity levels. EBL reduced electrolyte leakage and increased membrane integrity and relative water content in control and stressed plants. Additionally, it increased the content of photosynthetic pigments, stomatal conductance, transpiration, and photosynthesis, which led to higher leaf dry mass production, fruit transverse diameter, and production per plant. Therefore, our results confirmed that foliar application of EBL improved the characteristics of stressed and non-stressed tomato plants.
Keywords: Lycopersicon esculentum, epibrassinolide, salt stress, tolerance.
Introduction
Plants are affected by various types of stress in nature, among which salinity is one of the most damaging to vegetables (Giannakoula & Ilias, 2013; Poór et al., 2019). This type of environmental stress prevails, especially in arid and semiarid regions characterized by irregularity in the spatial and temporal distribution of rainfall, making irrigation one of the leading technologies used to ensure agricultural production (Souza et al., 2016). Despite this, water used in irrigation frequently is of insufficient quality because it contains a high concentration of salts, causing severe restrictions on physiological activities, and consequently, on the production capacity of crops (Abbas, Latif, & Elsherbiny, 2013; Abbas et al., 2014; Zhang, Senge, & Dai, 2016). This is true primarily for species, such as tomatoes, which are considered moderately sensitive to salinity, with a threshold of 2.5 dS m-1 (Ayers & Westcot, 1999).
Salt accumulation in the soil caused by irrigation with saline water affects plants in three ways: through osmotic stress, which reduces water potential in the root zone, causing a water deficit; phytotoxicity of ions, such as Na+ and Cl-, resulting in the accumulation of toxic ions in the cytoplasm; and nutritional imbalance, reducing the uptake and transport of nutrients (Lima et al., 2016; Azhar, Su, Shabala, & Sergey, 2017). Thus, at a high salinity level, several metabolic and physiological processes are negatively affected in plants, including growth, gas exchange, relative water content, membrane permeability, and the content of photosynthetic pigments (Shahid et al., 2011; Zhang et al., 2016). Tomato plants irrigated with saline water exhibit reduced photosynthetic rate, stomatal conductance, transpiration, and chlorophyll content (Giannakoula & Ilias, 2013; Zhang et al., 2016) and these constraints have decreased cultivated areas and crop production.
Practices that mitigate the effects of salinity on plants have been adopted, such as the foliar application of brassinosteroids, which has played an important role in tolerance to salinity stress in several crops, including vegetables (Houimli, Denden, & Mouhands, 2010; Tanveera, Shahzada, Sharmac, Bijub, & Bhardwajc, 2018). Brassinosteroids are steroid plant phytohormones that participate in various physiological processes, such as cell division and expansion, stem elongation, and gas exchange, improving plant responses to salt stress (Gupta, Srivastava, & Seth, 2017; Tanveera et al., 2018).
Several studies have proven the positive effects of brassinosteroid use in different plant species under salinity stress. In peas, this phytohormone attenuated the adverse effects of salts, increasing shoots and roots, photosynthetic rate, chlorophyll content, and dry biomass (Shahid et al., 2011). In bell peppers, salt stress was attenuated by brassinosteroids through the reduction in leaf Na+ content (Abbas et al., 2013) and electrolyte leakage, leading to increased chlorophyll content and biomass production (Houimli et al., 2010), as well as the number of fruits in stressed plants (Samira, Mansour-Gueddes, Dridi-Mouhandes, & Denden, 2012). In tomatoes, recent studies have shown that epibrassinolide (EBL) improved photosynthetic pigment content and gas exchange under cadmium-induced stress (Guo et al., 2018) and positively contributed to the reduction of apical fruit rot in non-stressed plants (Riboldi, Gaziola, Azevedo, Freitas, & Castro, 2019).
The hypothesis of this study was that EBL increases the tolerance to salt in tomatoes, improving the membrane integrity, photosynthetic pigment contents, gas exchange, and leaf water content. Thus, the objective of this study was to evaluate the protective role of EBL in the alleviation of salt stress by reducing electrolyte leakage and increasing photosynthetic pigment contents, gas exchange, leaf water content, and growth and production characteristics.
Material and methods
Plant materials and experimental design
The study was conducted in a protected environment belonging to the Academic Unit of Agricultural Engineering, Federal University of Campina Grande, Campina Grande, Paraíba State, Brazil (7°15′18″ S, 35°52′28″ W, and altitude of 550 m), from June to September 2019. During the experimental period, the temperature ranged from 21 to 32°C, with an average of 27.5°C and thermal amplitude of 11°C, whereas the relative humidity ranged from 46 to 87%.
Seeds of the tomato cultivar IPA 6 were germinated in expanded polystyrene trays with 128 cells. When the seedlings had four to five true leaves (at 25 days after sowing), they were transferred to 20 L pots, filled with 17 kg of soil, and fertilized according to Novais, Neves, and Barros (1991), with one plant cultivated per pot. The pots were arranged on blocks at the height of 30 cm from the soil.
At 48 d after sowing, the plants were divided into two groups. One group was foliar-sprayed with 10-6 M of EBL for three consecutive days, whereas the other was sprayed with deionized water. Simultaneous with the last EBL application, treatments with different water salinity levels (0.5, 1.5, 3.0, 4.5, and 6.0 dS m-1) were initiated and continued until the end of the experiment. From transplanting to the beginning of treatments, the plants were irrigated with water having 0.5 dS m-1 (control salinity) (Figure 1). The electrical conductivity levels of the solutions were obtained using sodium chloride, according to Richards (1954).

Plants were irrigated in the late afternoon. Each treatment received its specific irrigation volume, corrected at every irrigation event based on the water consumption of the plants in the previous irrigation by dividing the estimated volume by a factor of 0.9. Thus, soil moisture was restored to the field capacity, obtaining a leaching fraction (LF) of approximately 0.1 for all treatments, according to the expression Vi = Va - Vd/1 - LF, where Vi is the water volume to be applied during irrigation (mL), Va is the water volume applied in the previous irrigation (mL), and Vd is the water volume drained in the previous irrigation (mL). Drained water was collected in the morning the day after irrigation, and the leached volume was measured from collectors installed in each pot.
In this study, the experimental design adopted was randomized blocks and a 2 × 5 factorial scheme, which corresponded to two concentrations of brassinosteroid (0 and 10-6 M EBL) and five levels of salinity (0.5, 1.5, 3.0, 4.5, and 6.0 dS m-1), totaling 10 treatments, with six replicates.
Plants were arranged in six rows of 10 plants each, with 1.0 m between rows and 0.5 m between plants. Parallel to each row, a wooden bar was placed at 1.10 m height to support plant growth.
Plant growth
Growth characteristics were measured 30 d after the beginning of the treatments (Fig. 1) when the plants ceased growing. Plant height (PH), stem diameter (SD), number of leaves (NL), and leaf area (LA) were evaluated. LA was determined according to Reis, Azevedo, Albuquerque, and Silva Júnior (2013).
Gas exchange
All physiological variables were analyzed 23 days after treatment (Figure 1). Gas exchange measurements were taken between 9:00 and 11:00 a.m. using the last leaflet of the third leaf from the apex with an InfraRed Gas Analyzer model LCPro+ Portable Photosynthesis System® (ADC BioScientific, Limited, UK), operating at a temperature of 25°C, irradiation of 1,200 μmol photons m-2 s-1, an airflow of 200 mL min.-1, and with an atmospheric level of CO2, to obtain the values of net photosynthesis rate (Pn), transpiration rate (E), and stomatal conductance (gs). The instantaneous water use efficiency (WUE) was also calculated as the net photosynthesis rate ratio to transpiration rate (Pn/E).
Photosynthetic pigments
The contents of chlorophyll a (Chl a), chlorophyll b (Chl b), total chlorophyll (Chl t), and carotenoids (Car) were determined according to Lichtenthaler (1987), using discs of the third expanded leaf.
Relative water content
Relative water content (RWC) in the leaf was determined according to the methodology described by Gomes et al. (2013), using leaf discs, simultaneous with those used for the quantification of photosynthetic pigments.
Electrolyte leakage
Electrolyte leakage (EL), which indicates the integrity of cell membranes, was determined as described by Houimli et al. (2010), with slight modifications. Discs of the third leaf were extracted, washed with deionized water, immersed in 50 mL of deionized water, and incubated at 25°C for 24h. Subsequently, the electrical conductivity (EC1) of the solution was recorded. The samples were then autoclaved at 90°C for 90 min. for complete extrusion of the tissues and release of all electrolytes. Subsequently, the samples were cooled to 25°C, and the final electrical conductivity (EC2) was measured. EL was calculated as EL= EC1/EC2 × 100.
Production components
After the beginning of fruiting, successive fruit harvests were conducted every 3 days, providing the number of fruits per plant (NFr - fruit plant-1) and fruit production per plant (Prod - g plant-1). Average fruit weight (AFW) was calculated by the fruit yield ratio to the number of fruits per plant. Fruit longitudinal diameter (FLD) and transverse diameter (FTD) were determined by randomly measuring five fruits per treatment with a digital caliper.
Upon stabilized production at the end of the crop cycle, the plants were collected, separated into leaves, stems, and roots, and dried in an oven at 65°C until a constant weight was obtained to determine the dry mass of each plant part.
Statistical analysis
The data were subjected to an analysis of variance, and when significant, salinity levels were subjected to polynomial regression, and treatments with brassinosteroid were compared by F test at 1% and 5% probability levels.
Results
Plant growth
All plant growth characteristics were affected by salinity because the increase in salt stress from 0.5 to 6.0 dS m-1 linearly reduced PH, SD, NL, and LA by 16.6, 18.2, 48.2, and 59.7, respectively (Figure 2A-D).

Gas exchange
The gas exchange parameters gs, E, and Pn were negatively affected by increased salinity in both EBL treatments. However, foliar application of EBL promoted higher gs, E, and Pn, in addition to a smaller reduction with salt stress. Salinity without EBL reduced these variables by 82.1, 70.0, and 58.1%, whereas the reductions were 55.9, 37.4, and 29.2%, respectively (Figure 3A-C). In contrast, WUE was affected only by EBL application, with a 9% increase compared to the treatment without EBL (Figure 3D).
Photosynthetic pigments
The Chl a content decreased linearly with the increase in salinity levels in both EBL treatments; however, foliar application of EBL promoted higher Chl a content, in addition to a smaller reduction with salt stress. Salinity without EBL reduced Chl a by 180.5%, whereas with EBL, the reduction was 96.3% (Figure 4A). Chl b decreased linearly by 68.9% with increased salt stress between 0.5 and 6.0 dS m-1 (Figure 4B); however, EBL led to a 10.6% increase compared to treatment without phytohormones (Figure 4C).
As observed with Chl a, Chl t also decreased linearly with increasing salinity levels in both EBL treatments. However, foliar application of EBL promoted higher Chl t content, in addition to a smaller reduction with salt stress. The increase in salinity without EBL reduced Chl t by 153.3%, whereas with EBL, the reduction was 83.2% (Figure 4D). Likewise, Car content decreased with increasing salinity levels in both EBL treatments. However, foliar application of EBL led to a higher Car content and smaller reduction with salt stress. Salinity without EBL reduced Car content by 50.0%, whereas with EBL application, the reduction was only 31.5% (Figure 4E).

Relative water content
The RWC decreased as salinity levels increased from 0.5 to 6.0 dS m-1 in both EBL treatments; however, foliar application of EBL led to higher RWC, besides a smaller reduction with salt stress. Salinity without EBL reduced RWC by 21.8%, whereas with EBL application, the reduction was 16.6% (Figure 5A).
Electrolyte leakage
EL increased with increasing salinity levels in both EBL treatments; however, foliar application of EBL promoted lower EL and a smaller reduction with salt stress. Salinity without EBL increased EL by 43.4%, whereas with EBL application, the increase was 40.8% (Figure 5B).
Production components
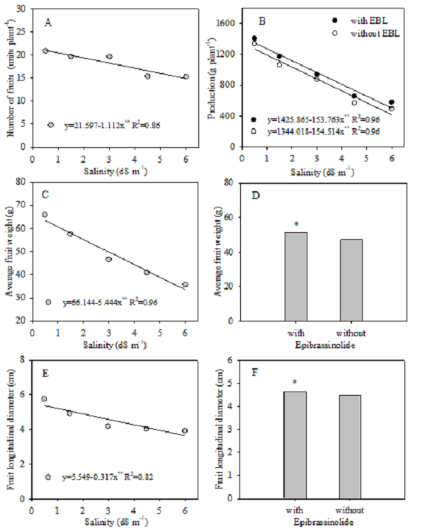
Only salt stress affected the NFr, and the increase in salinity levels from 0.5 to 6.0 dS m-1 caused a reduction of 41.0% in NFr (Figure 6A). The Prod decreased linearly with the increase in salinity levels in both EBL treatments; however, foliar application of EBL promoted higher Prod, in addition to a smaller reduction with salt stress. Salinity without EBL reduced Prod by 203.6%, whereas with EBL, the reduction was 167.9% (Figure 6B).
The AFW decreased linearly by 89.4% as the salt stress increased from 0.5 to 6.0 dS m-1 (Figure 6C), whereas EBL application promoted an 8.8% increase compared to the treatment without EBL (Figure 6D).
The fruit longitudinal diameter (FLD) decreased linearly by 47.8% as the salt stress increased from 0.5 to 6.0 dS m-1 (Figure 6E), whereas EBL increased FLD by 3% compared to the treatment without phytohormones (Figure 6F).
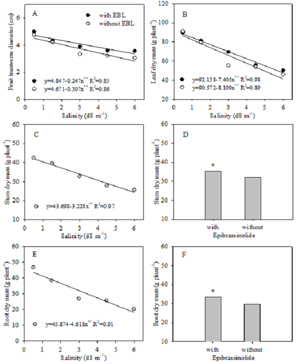
Fruit transverse diameter (FTD) decreased with increasing salinity in both EBL treatments; however, foliar application of EBL promoted higher FTD, in addition to a smaller reduction with salt stress. Salinity without EBL application reduced FTD by 59.7%, whereas with EBL, the reduction was 40.5% (Figure 7A).
Leaf dry mass (LDM) was negatively affected by the increase in salinity in both EBL treatments; however, foliar application of EBL promoted higher LDM, in addition to a smaller reduction with salt stress. Salinity without EBL reduced LDM by 109%, whereas with EBL, the reduction was 85.3% (Figure 7B).
However, stem dry mass (SDM) and root dry mass (RDM) decreased linearly by 72.9 and 139.8%, respectively, with the increase in salt stress from 0.5 to 6.0 dS m-1 (Figure 7C and E), whereas EBL, in isolation, led to increments of 10 and 12.1% compared to the treatment without EBL, respectively (Figure 7D and F).



Discussion
The inhibition of plant growth and production induced by salinity was demonstrated by the reductions in photosynthetic pigment contents, gas exchange, dry mass production, and fruit production. This can be attributed to the complex action of salinity on vital processes, such as water absorption, ion uptake, and photosynthesis (Munns & Tester, 2008; Poór et al., 2019).
Growth characteristics, such as plant height, SD, the NL, and LA, are commonly reduced by increased salt stress in most crops. Increased salinity has been reported to reduce plant height and SD in eggplants (Ding et al., 2012; Wu, Ding, Zhu, Yang, & Zha, 2012), bell peppers (Lima et al., 2016), and okra (Abbas et al., 2014). It also has been shown to reduce the NL and LA in tomatoes (Zhang et al., 2016) and mustards (Gupta et al., 2017; Wani, Ahmad, Hayat, & Tahir, 2019). These effects of salinity are caused by reductions in photosynthesis and tissue expansion, in addition to the inhibition of cell division (Zhang et al., 2016).
Salt stress reduced photosynthetic pigment contents in tomato plants, probably because salinity triggers the accumulation of toxic ions in the leaves, such as Na+ and Cl-, causing disturbances in cellular homeostasis and increasing the activity of chlorophyllase, an enzyme that degrades chlorophyll (Gupta et al., 2017).

However, EBL application led to increases in the contents of Chl a, Chl t, and Car in tomato plants at all salinity levels. In Brassica juncea under salt stress of 100 mM NaCl, spraying of 10-6 M EBL increased Chl a content by 73% and Car content by 62% compared to that of the control (Gupta et al., 2017). EBL also improved photosynthetic pigments in Capsicum annuum (Houimli et al., 2010) and Pisum sativum (Shahid et al., 2014) under salt stress, as well as in Solanum lycopersicum (Behnamnia, Kalantari, & Rezanejad, 2009) and Glycine max (Pereira et al., 2019) under water stress. These verified increases in Chl a and carotenoid contents induced by EBL revealed minor photooxidative stress in chloroplasts of stressed plants because Chl a is a molecule essentially associated with light-harvesting complex II, and carotenoids are photoprotective pigments.
We observed that gs, E, and Pn were diminished in tomato plants with increasing salinity levels, probably because of the accumulation of abscisic acid and the reduction in leaf water potential caused by salt stress, which favor stomatal closure (Poór et al., 2019). The limitation of water absorption by roots leads plants to reduce their stomatal opening to avoid water loss, consequently reducing transpiration and photosynthetic rate, as verified by Giannakoula and Ilias (2013) and Poór et al. (2019), in tomato plants. However, in the present study, EBL improved these characteristics at all salinity levels, indicating the efficiency of the phytohormone under stress and non-stress conditions. Similar behavior was observed in Solanum melongena plants under salt stress and treated with 50 or 100 nM EBL, in which gas exchange was partially recovered to the control level (Wu et al., 2012), and in B. juncea plants, which experienced reduced gs, E, and Pn under salt stress, but when treated with 10-6 M of EBL recovered to a level approximately twice as much in comparison to that of salt-stressed plants (Gupta et al., 2017). This is because EBL inhibits the transport of Na+ from the root to the leaves (Zheng et al., 2016) and increases WUE (Pereira et al., 2019) in stressed plants.
Thus, it is suggested that EBL reduces Na+ content in the leaf apoplast, contributing to the normal operation of the stomata and continuous uptake of water under salinity conditions (Azhar et al., 2017), which may explain the higher gs and RWC in the leaves of tomato plants treated with EBL. The positive effect on RWC suggests that EBL contributes to the osmotic adjustment process, favoring the accumulation of compatible solutes, which are fundamental to maintaining processes, such as turgor and regulation of stomatal opening (Pereira et al., 2019). Additionally, Oliveira, Lima, Silva, Batista, and Lobato (2019) studied Eucalyptus plants under salt stress with 250 mM NaCl and treated with 50 nM EBL and observed that the phytohormone stimulated the production of stomata, increased stomatal density, and regulated the specific proteins that act on the stomatal pathway. This improved gs and Pn in stressed plants, which possibly also occurred in tomato plants treated with EBL.
Salinity reduces membrane integrity by increasing cellular damage, and the increase in EL is a physiological indicator of stress (Wani et al., 2019), as observed in tomato plants. However, lower EL was observed with the application of EBL, as also found in B. juncea, which showed a 170% increase in EL under salinity of 100 mM NaCl, but this was reduced to 49.5% when treated with 10-6 M EBL (Gupta et al., 2017). The same occurred in Capsicum annuum in which salt stress increased EL by 73% compared to that of the control, and EBL application reduced this increase by 29% (Houimli et al., 2010). These beneficial effects can be attributed to maintaining the integrity and fluidity of the plasma membrane and ionic channels, promoted by compatible solutes induced by EBL (Gupta et al., 2017; Wani et al., 2019).
The attenuation of salt stress on RWC, photosynthetic pigments, and gas exchange, promoted by EBL, possibly contributed to increases in LDM, FTD, and production. Thus, it is suggested that EBL can reduce the absorption of Na+ and Cl- ions, favor their compartmentalization in vacuoles, or even allocate more to roots than leaves, causing less damage to the photosynthetic process (Zheng et al., 2016; Azhar et al., 2017; Oliveira et al., 2019). In Solanum melongena plants under salinity of 90 mM NaCl and 0.025, 0.05, 0.10, and 0.20 mg dm-3 EBL solutions, it was observed that the 0.05 mg dm-3 solution stood out for reducing Na+ and Cl- concentrations in roots and leaves by 49.7 and 62% and by 62.6 and 59.3% and increasing K+ concentrations by 96.7 and 79%, respectively (Ding et al., 2012). The same was observed in Hordeum vulgare seedlings under 150 mM NaCl salinity and treated with 0.25 mg L-1 EBL, which had low Na+ contents in shoots and roots, especially in the shoots (Azhar et al., 2017). Thus, the benefits promoted by EBL may be related to the improvement in the homeostasis of the K+/Na+ ratio (Oliveira et al., 2019).
These effects appeared to have prevailed in the leaves of tomato plants because EBL favored the attenuation of salt stress on LDM, although it individually increased SDM and RDM. Abbas et al. (2013) evaluated two cultivars of Capsicum annuum under salinity of 4 g L-1 NaCl and treated with 0.1, 0.5, and 1.0 mg L-1 EBL, observed that in one cultivar, the phytohormone doses gradually recovered shoot dry mass with the increment in the doses, whereas in the other, all doses increased the dry mass of the stressed plants, indicating that both cultivar and EBL dose can influence the effects of the phytohormone. In tomato plants under water stress, Behnamnia et al. (2009) observed that the application of 0.01 and 1 μM EBL increased shoot dry mass production in stressed and control plants. According to Assis-Gomes, Pinheiro, Bressan-Smith, and Campostrini (2018), brassinosteroids maintain the green color of older leaves, which may be related to their interaction with other plant hormones, such as cytokinins, which regulate chlorophyll content. Thus, it is likely that this effect occurred on tomato plants because EBL increased chlorophyll content, favoring photosynthesis maintenance, and, consequently, biomass production.
EBL also contributes to fruit development, as verified by the fruit longitudinal and transverse diameters, average weight, and production. Although the effects on FLD and AFW occurred regardless of salinity, because this phytohormone also acts in the absence of stress (Samira et al., 2012; Riboldi et al., 2019), they prevail on the transverse diameter of the fruit, resulting in higher plant production. Several studies have reported the role of EBL in the fruit production of various crops. Riboldi et al. (2019) found in non-stressed tomato plants that 0.01 μM EBL reduced apical fruit rot and increasing fruit diameter and weight. According to the authors, EBL reduced the cytoplasmic EL in the distal region of the fruit, simultaneous with a lower concentration of Ca2+ attached to the wall and a higher concentration of soluble Ca2+, favoring better fruit development. Additionally, Shahid et al. (2011) observed that EBL attenuated the adverse effects of salt stress on Pisum sativum production components, such as seed weight and yield per plant, compared to that of the control. Samira et al. (2012) evaluated Capsicum annuum under salt stress of 70 mM NaCl and one to three applications of 10-6 M EBL and observed that the phytohormone did not influence fruit length but increased fruit yield in stressed plants, especially with the increase in application frequency. Thus, it is essential to highlight that EBL performance in plants may vary according to the dose used, frequency, and the cultivar and plant species.
The present study revealed that the exogenous application of EBL significantly increased the production of tomato plants and their components at all salinity levels. This increase may be caused by decreased EL and increased chlorophyll and carotenoid contents, resulting in less damage to cell membranes and less photooxidation. Exogenous EBL application maintained the RWC and gas exchange higher with increases in salinity because of the increased efficiency of water use, resulting in greater dry mass production. Additionally, the greater biomass production and fruit induced by EBL can also be attributed to the low absorption and translocation of Na+ from roots to leaves, as reported by Zheng et al. (2016).
Conclusion
Foliar application of EBL proved to be useful in enhancing the physiological and production characteristics of tomato plants under normal or salinity conditions. The increase in leaf dry mass and fruit production under EBL application was associated with increasing photosynthetic pigment concentration and reducing membrane deterioration linked to electrolyte leakage induced by salt, thereby maintaining greater gas exchange and water content in the leaf tissues.
Acknowledgements
We thank the Conselho Nacional de Desenvolvimento Científico e Tecnológico (CNPq) (Grant PDJ- Post Doctoral Junior 153397/2018-7 to first author), and Rômulo Carantino, Francisco de Assis Silva, and Mirandy Dias for their support with the gas exchange evaluation
References
Abbas, S., Latif, H. H., & Elsherbiny, E. A. (2013). Effect of 24-epibrassinolide on the physiological and genetic changes on two varieties of pepper under salt stress conditions. Pakistan Journal of Botany, 45(4), 1273-1284.
Abbas, T., Pervez, M. A., Ayyub, C. M., Shaheen, M. R., Tahseen, S., Shahid, M. A., … Manan, A. (2014). Evaluation of different okra genotypes for salt tolerance. International Journal of Plant, Animal and Environmental Sciences, 4(3), 23-30.
Assis-Gomes, M. M., Pinheiro, D. T., Bressan-Smith, R., & Campostrini, E. (2018). Exogenous brassinosteroid application delays senescence and promotes hyponasty in Carica papaya L. leaves. Theoretical and Experimental Plant Physiology, 30(3), 193-201. DOI: https://doi.org/10.1007/s40626-018-0114-5
Ayers, R.S., & Westcot, D.W. (1999). A qualidade de água na agricultura. Campina Grande: Universidade Federal da Paraíba. (FAO Irrigation Drainage Daper, 29).
Azhar, N., Su, N., Shabala, L., & Sergey, S. H. (2017). Exogenously Applied 24-Epibrassinolide (EBL) Ameliorates Detrimental Effects of Salinity by Reducing K+ Efflux via Depolarization-Activated K+ Channels. Plant & Cell Physiology, 58(4), 802-810. DOI: https://doi.org/10.1093/pcp/pcx026
Behnamnia, M., Kalantari, K. H., & Rezanejad, F. (2009). Exogenous application of brassinosteroid alleviates drought-induced oxidative stress in Lycopersicon esculentum L. General and Applied Plant Physiology, 35(1-2), 22-34.
Ding, H. D., Zhu, X. H., Zhu, Z. W., Yang, S. J., Zha, D. S., & Wu, X. X. (2012). Amelioration of salt-induced oxidative stress in eggplant by application of 24-epibrassinolide. Biologia Plantarum, 56, 767-770. DOI: https://doi.org/10.1007/s10535-012-0108-0
Giannakoula, A. E., & Ilias, I. F. (2013). The effect of water stress and salinity on growth and physiology of tomato (Lycopersicon esculentum Mill.). Archives of Biological Sciences, 65(2), 611-620. DOI: https://doi.org/10.2298/ABS1302611G
Gomes, M. D. M. D. A., Torres Netto, A., Campostrini, E., Bressan-Smith, R., Zullo, M. A. T., Ferraz, T. M., ... Núñez-Vázquez, M. (2013). Brassinosteroid analogue affects the senescence in two papaya genotypes submitted to drought stress. Theoretical and Experimental Plant Physiology , 25(3), 186-195. DOI: https://doi.org/10.1590/S2197-00252013000300003
Guo, J., Zhou, R., Ren, X., Jia, H., Hua, L., Xu, H., … Wei, T. (2018). Effects of salicylic acid, Epi-brassinolide and calcium on stress alleviation and Cd accumulation in tomato plants. Ecotoxicology and Environmental Safety, 157, 491-496. DOI: https://doi.org/10.1016/j.ecoenv.2018.04.010
Gupta, P., Srivastava, S., & Seth, C. S. (2017). 24-Epibrassinolide and Sodium Nitroprusside alleviate the salinity stress in Brassica juncea L. cv. Varuna through cross talk among proline, nitrogen metabolism and abscisic acid. Plant and Soil, 411(1-2), 483-498. DOI: https://doi.org/10.1007s11104-016-3043-6
Houimli, S. M., Denden, M., & Mouhandes, B. D. (2010). Effects of 24-epibrassinolide on growth, chlorophyll, electrolyte leakage and proline by pepper plants under NaCl-stress. EurAsian Journal of BioSciences, 4, 96-104. DOI: https://doi.org/10.5053/ejobios.2010.4.0.12
Lichtenthaler, H. K. (1987). Chlorophylls and carotenoids: pigments of photosynthetic biomembranes. Methods in Enzymology, 148, 350-382. DOI: https://doi.org/10.1016/0076-6879(87)48036-1
Lima, G. S., Santos, J. B., Soares, L. A. A., Gheyi, H. R., Nobre, R. G., & Pereira, R. F. (2016). Irrigação com águas salinas e aplicação de prolina foliar em cultivo de pimentão ‘All Big’. Comunicata Scientiae, 7(4), 513-522. DOI: https://doi.org/10.14295/CS.v7i4.1671
Munns, R., & Tester, M. (2008). Mechanism of salinity tolerance. Annual Review of Plant Biology, 59(6), 651-681. DOI: https://doi.org/10.1146/annurev.arplant.59.032607.092911.
Novais, R. F., Neves, J. C. L., & Barros, N. F. (1991). Ensaio em ambiente controlado. In A. J. Oliveira, W. E. Garrido, J. D. Araujo, & S. Lourenço (Ed.), Métodos de pesquisa em ambiente controlado (p. 189-273). Brasília, DF: Embrapa.
Oliveira, V. P., Lima, M. D. R., Silva, B. R. S., Batista, B. L., & Lobato, A. K. S. (2019). Brassinosteroids Confer Tolerance to salt stress in Eucalyptus urophylla plants enhancing homeostasis, antioxidant metabolism and leaf anatomy. Journal of Plant Growth Regulation, 38(2), 557-573. DOI: https://doi.org/10.1007/s00344-018-9870-3
Pereira, Y. C., Rodrigues, W. S., Lima, E. J. A., Santos, L. R., Silva, M. H. L., & Lobato, A. K. S. (2019). Brassinosteroids increase electron transport and photosynthesis in soybean plants under water deficit. Photosynthetica, 57(1), 181-191. DOI: https://doi.org/10.32615/ps.2019.029
Poór, P., Borbély, P., Czékus, Z., Takács, Z., Ördög, A., Popović, B., & Tari, I. (2019). Comparison of changes in water status and photosynthetic parameters in wild type and abscisic acid-deficient sitiens mutant of tomato (Solanum lycopersicum cv. Rheinlands Ruhm) exposed to sublethal and lethal salt stress. Journal of Plant Physiology, 232, 130-140. DOI: https://doi.org/10.1016/j.jplph.2018.11.015
Reis, L. S., Azevedo, C. A. V., Albuquerque, A. W., & Silva Júnior, J. F. (2013). Índice de área foliar e produtividade do tomate sob condições de ambiente protegido. Revista Brasileira de Engenharia Agrícola e Ambiental, 17(4), 386-391. DOI: https://doi.org/10.1590/S1415-43662013000400005
Riboldi, L. B., Gaziola, S. A., Azevedo, R. A., Freitas, S. T., & Castro, P. R. C. (2019). 24-Epibrassinolide mechanisms regulating blossom-end rot development in tomato fruit. Journal of Plant Growth Regulation , 38, 812-823. DOI: https://doi.org/10.1007/s00344-018-9892-x
Richards, L. A. (1954). Diagnóstico y rehabilitacion de suelos salinos y sádicos. México: Departamento de Agricultura de los Estados Unidos de América. (Manual de Agricultura, 60).
Samira, I. M., Mansour-Gueddes, S. B., Dridi-Mouhandes, B., & Denden, M. (2012). 24-epibrassinolide enhances flower and fruit production of pepper (Capsicum annuum L.) under salt stress. Journal of Stress Physiology and Biochemistry, 8(3), 224-233.
Shahid, M. A., Pervez, M. A., Balal, R. M., Mattson, N. S., Rashid, A., Ahmad, R. C., … Abbas, T. (2011). Brassinosteroid (24-Epibrassinolide) enhances growth and alleviates the deleterious effects induced by salt stress in pea ('Pisum sativum' L.). Australian Journal of Crop Science, 5(5), 500-510.
Shahid, M. A., Balal, R. M., Pervez, M. A., Garcia-Sanchez, F., Gimeno, V., Abbas, T., Mattson, N. S., & Riaz, A. (2014). Treatment with 24-epibrassinolide mitigates NaCl-induced toxicity by enhancing carbohydrate metabolism, osmolyte accumulation, and antioxidant activity in Pisum sativum. Turkish Journal of Botany, 38(3), 511-525. DOI: https://doi.org/10.3906/bot-1304-45
Souza, L. P., Nobre, R. G., Silva, E. M., Lima, G. S., Pinheiro, F. W. A., & Almeida, L. L. S. (2016). Formation of ‘Crioula’ guava rootstock under saline water irrigation and nitrogen doses. Revista Brasileira de Engenharia Agrícola e Ambiental , 20(8), 739-745. DOI: https://doi.org/10.1590/1807-1929/agriambi.v20n8p739-745
Tanveera, M., Shahzada, B., Sharmac, A., Bijub, S., & Bhardwajc, R. (2018). 24-Epibrassinolide; an active brassinolide and its role in salt stress tolerance in plants: A review. Plant Physiology and Biochemistry, 130, 69-79. DOI: https://doi.org/10.1016/j.plaphy.2018.06.035
Wani, A. S., Ahmad, A., Hayat, S., & Tahir, I. (2019). Epibrassinolide and proline alleviate the photosynthetic and yield inhibition under salt stress by acting on antioxidant system in mustard. Plant Physiology and Biochemistry , 135, 385-394. DOI: https://doi.org/10.1016/j.plaphy.2019.01.002
Wu, X., Ding, H., Zhu, Z., Yang, S., & Zha, D. (2012). Effects of 24-epibrassinolide on photosynthesis of eggplant (Solanum melongena L.) seedlings under salt stress. African Journal of Biotechnology, 11(35), 8665-8671. DOI: https://doi.org/10.5897/AJB11.3416
Zhang, P., Senge, M., & Dai, Y. (2016). Effects of salinity stress on growth, yield, fruit quality and water use efficiency of tomato under hydroponics system. Reviews in Agricultural Science, 4, 46-55. DOI: https://doi.org/10.7831/ras.4.46
Zheng, Q., Liu, J., Liu, R., Wu, H., Jiang, C., Wang, C., & Guan, Y. (2016). Temporal and spatial distributions of sodium and polyamines regulated by brassinosteroids in enhancing tomato salt resistance. Plant and Soil , 400(1),147-164. DOI: https://doi.org/10.1007/s11104-015-2712-1
Author notes
* Author for correspondence. E-mail: juniormaiagrari@hotmail.com