CROP PRODUCTION
Oxidative stress, protein metabolism, and physiological potential of soybean seeds under weathering deterioration in the pre-harvest phase
Oxidative stress, protein metabolism, and physiological potential of soybean seeds under weathering deterioration in the pre-harvest phase
Acta Scientiarum. Agronomy, vol. 45, e56910, 2023
Editora da Universidade Estadual de Maringá - EDUEM
Received: 01 December 2020
Accepted: 08 April 2021
Funding
Funding source: CAPES
Contract number: 001
ABSTRACT: Weathering deterioration affects seed quality, especially in areas with excessive rainfall. This study aimed to evaluate the oxidative stress, physiological quality, and protein metabolism of seeds of different soybean cultivars under weathering deterioration at the pre-harvest phase. Six soybean cultivars (BMX Apolo, DM 6563, NS 5959, NA 5909, BMX Potência, and TMG 1175) were subjected to simulated rainfall at the R8 stage. Each level was divided into two applications at 72-h intervals: 60 mm (30 + 30), 120 mm (60 + 60), and 180 mm (90 + 90). Then, the seeds were harvested and evaluated for physiological potential, antioxidative enzymes, hydrogen peroxide, malondialdehyde, proteins, and protease activity. The simulated rainfall allowed the variation in seed moisture, promoting a significant reduction in germination and seed vigor, especially at 120 and 180 mm levels. There were also reductions in antioxidative enzyme activity with weathering deterioration (mainly for catalase, ascorbate peroxidase, and peroxidase), accumulation of hydrogen peroxide and malondialdehyde, and reductions in protein content and protease activity. The proposed rainfall system is efficient in inducing weathering deterioration during the pre-harvest phase and its deleterious effects. Weathering deterioration in soybean seeds in the pre-harvest stage is directly influenced by genotype.
Keywords: Antioxidative enzymes, germination, Glycine max, reactive oxygen species, vigor.
Introduction
Deterioration is one of the leading causes of reduction of seed germination, vigor, and longevity. Although it is considered a natural and irreversible process, several intrinsic and environmental factors enhance deterioration and compromise seed quality (Sano et al., 2016; Ebone, Caverzan, & Chavarria, 2019).
As a result of their chemical and morphological characteristics, soybean seeds (Glycine max (L.) Merrill) are sensitive to environmental factors, especially between physiological maturity and harvest. During this period, seeds are subject to exposure to alternating cycles of humid and dry conditions in the environment, which favors weathering damage and reduces physiological quality (Forti, Carvalho, Tanaka, & Cicero, 2013). In this context, weathering deterioration has been considered to be one of the most relevant factors that affect seed quality of soybean, especially in tropical regions with high rainfall levels (Bhatia, Yadav, Jumrani, & Guruprasad, 2010; Forti et al., 2013; Castro, Oliveira, Lima, Santos, & Barbosa, 2016; Huth et al., 2016, Pinheiro et al., 2021).
Deterioration induces a significant increase in seed-respiratory rates and leads to excessive production of reactive oxygen species (ROS), thereby inducing a series of cellular changes that reduce germination and vigor (Ebone et al., 2019). Thus, the action of antioxidative enzymes, such as superoxide dismutase (SOD), catalase (CAT), peroxidase (POX), and ascorbate peroxidase (APX), has a fundamental role in neutralizing excess ROS and preventing their harmful effects at the cellular level (Mittler, 2017; Noctor, Reichheld, & Foyer, 2018; Kapoor et al., 2019; Ebone et al., 2020). Furthermore, among the diverse cellular changes induced in seeds by oxidative stress (such as lipid peroxidation, reserve consumption, acid nucleic damage, etc.), protein degradation also occurs. More than 40 proteins have been reported to be sensitive to deterioration in soybean seeds, and there are precise adjustments in protein metabolism under these conditions (Wang, Ma, Song, Shu, & Gu, 2012; Min et al., 2017). Therefore, the assessment of protein content and proteolytic activity can help understand the mechanisms involved in reducing the quality of seeds under weathering deterioration.
Systems that simulate natural rainfall have been developed to induce weathering deterioration and deleterious effects on soybean seeds. Castro et al. (2016) evaluated the seed deterioration of five soybean cultivars through simulated rainfall applications (30 mm) in the pre-harvest phase. They found that there was low weathering damage due to low water absorption by the seeds and rapid moisture loss by the pods. Huth et al. (2016) evaluated four soybean cultivars under simulated rain (4h and two drying cycles). They found that weathering deterioration at the physiological and biochemical levels was directly influenced by genotype. In this way, the development of rainfall systems with precise control of the water levels to be applied and the application of different levels and gradual application can induce the highest proportion of weathering damage and provide more accurate answers about the mechanisms related to weathering deterioration. Moreover, the evaluation of different genotypes of commercial importance can help select materials that are more resistant to weathering deterioration and, therefore, provide further insights for genetic breeding programs.
Therefore, the present study aimed to evaluate the oxidative stress, physiological quality, and protein metabolism of seeds of different soybean cultivars under weathering deterioration during the pre-harvest phase.
Material and methods
The research was conducted at the Department of Agronomy, Universidade Federal de Viçosa, Viçosa, Minas Gerais State, Brazil. Six soybean cultivars (commercially important and normally produced in areas subject to excessive rainfall) of undetermined growth and different maturity groups (MG) were used: DM 6563 RFS IPRO (MG = 6.3), BMX Apolo RR (MG = 5.5), BMX Potência (MG = 6.7), NA 5909 RG (MG = 6.2), NS 5959 IPRO (MG = 5.9), and TMG 1175 RR (MG = 7.5).
Seeds of the different cultivars were produced in a greenhouse. Sowing was performed in 3.5 dm3 pots containing sandy clay soil. After soil chemical analysis, fertilization was performed before planting (200, 350, 200, 40, 0.81, 1.33, 1.55, 3.66, 0.15, and 4.0 mg dm-3 of N, P, K, S, B, Cu, Fe, Mn, Mo, and Zn, respectively), and topdressing fertilization was performed at 45 days after sowing (240 and 100 kg ha-1 of N and K, respectively).
Initially, six seeds were sown per pot, and only the two most vigorous seedlings were maintained when they reached the V1 stage. The irrigation management was carried out by tensiometry to maintain the soil humidity at the field capacity. Six tensiometers (one per cultivar) were inserted into the soil at a depth of 20 cm. The humidity values were obtained by reading the tensiometer (matrix potential) and plotted on the soil-water characteristic curve. The crop treatment was soil scarification at the V2 stage.
Methodology for applying simulated rainfall
For the simulated rainfall applications, an Agrojet NA1 micro-sprinkler system (40 microns drops, a flow rate of 7.14 L h-1, working pressure of 10-50 mca, and hourly rainfall of 3.5 mm) was installed on two plant benches. Micro sprinklers were spaced at 0.5 m intervals, with a total of 12 sprinklers per bench. The water used in the rainfall applications was kept in a reservoir, and the system (piping + micro sprinklers) was supplied with the aid of a SOMAR SHP-35 pump 0.5 hp with a maximum pressure of 35 mca, a maximum flow rate of 2.1 m3 h-1, and a rotation speed of 3,400 rpm.
A preliminary test, which consisted of operating the system for 30 min. and collecting water in containers randomly distributed on the benches, was applied to calculate Christiansen’s Uniformity Coefficient (CUC) (Bernardo, Mantovani, Silva, & Soares, 2019) of 90.1%. Based on the collected volumes, 15 min. was set as the time to operate the system to apply 20 mm of rainfall.
Three rainfall levels were defined for application to the plants for seed moistening and weathering deterioration. They were divided into two applications with 72-h intervals between them: 60 mm (30 mm + 30 mm), 120 mm (60 mm + 60 mm), and 180 mm (90 mm + 90 mm). For each treatment, 20 pots containing two plants each were used. All treatments (rainfall levels) were applied when the plants reached the R8 stage (95% of dry pods). The plants were placed on a bench where the system was installed. In the control treatment (0 mm), the plants were not subjected to rainfall simulations (Figure 1).
During the application of the simulated precipitation, temperature and relative humidity data were collected in the greenhouse. The mean minimum and maximum temperatures during the application period were 20.2 and 40.5°C, respectively, whereas the minimum and maximum relative humidity were 25.9 and 81%, respectively.

Soybean pods were collected in the R8 stage at 24 and 72h after the application of precipitation to monitor water absorption by the pods and seeds. During this period, the mean minimum and maximum temperatures were 22.4 and 41.2°C, respectively. The minimum and maximum relative humidity were 28.6 and 87%, respectively.
Seed moisture content
The seed moisture content was evaluated 24 and 72h after rainfall application in treated plants as well as in the plants of the control treatment. The seeds were harvested 72h after the application of rainfall levels, except for the control treatment (0 mm), which was harvested when the seeds had reached approximately 15% moisture in the R8 stage. The pods were harvested manually, separated from the seeds, and placed in the shade in a laboratory environment until they reached a hygroscopic balance. The moisture content was determined by the oven method (105 ± 3°C, 24h) using two replicates of 25 seeds (Brasil, 2009).
Then, the seeds underwent physiological and biochemical analyses, as described below.
Physiological analyses
The germination test was conducted with four replications of 50 seeds in paper towel rolls (moistened at 2.5 times the dry paper weight) and kept in a germinator at 25°C. The average percentage of normal seedlings was evaluated on the eighth day after sowing (Brasil, 2009).
Electrical conductivity was evaluated with four replicates of 50 seeds, which were weighed and placed in plastic cups containing 75 mL of deionized water for 24h at 25°C (Vieira & Krzyzanowski, 1999). Then, the conductivity was measured using a conductivity meter. The results are expressed in µS cm-1 g-1 of seeds.
Antioxidative enzymes activity
Four replicates of 25 seeds for each treatment (0, 60, 120, and 180 mm) were kept in the moistened paper for 24h at 25°C. For all biochemical evaluations, a time of 24h was defined as sufficient to activate seed metabolism (phase II of germination). Subsequently, the embryos (cotyledons and embryonic axis) were frozen in liquid nitrogen. The activities of the enzymes superoxide dismutase (SOD) (Beauchamp & Fridovich, 1971); catalase (CAT) (Anderson, Prasad, & Stewart, 1995); ascorbate peroxidase (APX) (Nakano & Asada, 1981) and peroxidase (POX) (Kar & Mishra, 1976) were determined using the crude extracts, obtained by macerating 0.2 g of the embryos in liquid nitrogen, followed by the addition of 2 mL of extraction medium, potassium phosphate buffer (0.1 M, pH 6.8), containing ethylene diamine tetraacetic acid (EDTA) (0.1 mM), phenylmethylsulfonic fluoride (PMSF) (1.0 mM), and polyvinylpolypyrrolidone (PVPP) 1% (w/v) (Peixoto, Cambraia, Sant’anna, Mosquim, & Moreira, 1999). The homogenate was centrifuged at 19,000 × g for 15 min. at 4°C.
Protein content and protease activity
The same samples used for the evaluation of antioxidative enzymes were used for the quantification of total proteins for each treatment (0, 60, 120, and 180 mm). It was based on the same extract used in enzymatic evaluations, and bovine serum albumin (BSA) was used as a standard (Bradford, 1976).
Four replicates of 25 seeds for each treatment (0, 60, 120, and 180 mm) were kept in the moistened paper for 24h at 25°C. Protease activity was evaluated by macerating embryos 0.2 g) (cotyledons and embryonic axis) in 2 mL of Tris-HCl buffer (pH 6.8) followed by centrifugation (14,000 × g) for 15 min. Subsequently, 100 µL of the extract was added to 400 µL of BSA (2%) and 1500 µL of Tris-HCl buffer (pH 6.8). The test tubes were vortexed and incubated in a water bath for 20 min. at 37°C. The reaction was then paused, 1 mL of 10% trichloroacetic acid (TCA) was added, and the mixture was centrifuged again (14,000 × g, 15 min.). The supernatant was collected, and absorbance was measured using a spectrophotometer at 280 nm (adapted from Pilon, Oliveira, & Guedes, 2006). The activity was calculated based on a calibration curve (y = 0.0011x + 0.0047; R2 = 0.99). Tris-HCl buffer (pH 6.8), BSA (2%), tyrosine (2 mM), and TCA (10%) were used, with readings at 280 nm. A blank was obtained without the addition of tyrosine. The results were expressed in U of protease mL-1, with U corresponding to the amount of enzyme needed to release 1 µmol of tyrosine per minute.
Hydrogen peroxide quantification
Four replications of 25 seeds for each treatment (0, 60, 120, and 180 mm) were kept in the moistened paper for 24h at 25°C. For quantification of hydrogen peroxide (H2O2), 0.2 g of embryos (cotyledons and embryonic axis) were crushed in liquid nitrogen and homogenized in 2.0 mL of 50 mM potassium phosphate buffer (pH 6.5) containing 1 mM hydroxylamine, followed by centrifugation at 14,000 × g for 15 min. at 4°C. The supernatant was collected (Kuo & Kao, 2003). Aliquots of 100 µL of the supernatant were added to a reaction medium consisting of 250 μM ammonium iron (II) sulfate, 25 mM sulfuric acid, 250 μM xylenol orange, and 100 mM sorbitol, in a final volume of 2 mL (Gay & Gebicki, 2000). The aliquots were then homogenized and kept in the dark for 30 min. Absorbance was determined at 560 nm, and H2O2 was quantified based on a calibration curve using peroxide concentrations as a standard. Blanks for the reagents and plant extracts were prepared in parallel and subtracted from the sample.
Lipid peroxidation
Four replicates of 25 seeds for each treatment (0, 60, 120, and 180 mm) were kept in the moistened paper for 24h at 25°C. Lipid peroxidation was determined by assessing the malondialdehyde (MDA) content using 0.2 g of embryos (cotyledons and embryonic axis), which were macerated in trichloroacetic acid (0.1% TCA, w/v). After centrifugation (19,000 × g, 15 min., 4°C), 500 µL of the supernatant was collected and added to 1.5 mL of a thiobarbituric acid solution (0.5% TBA in 20% TCA). In the blank, 500 µL of 0.1% TCA was added instead of the sample. The samples and the blank were incubated for 30 min. at 90°C in a water bath with shaking. After 30 min., the reaction was stopped by placing on ice, and another centrifugation (19,000 × g, 15 min., 4°C) was performed. Absorbance was measured at 532 nm using a spectrophotometer. The concentration of MDA was calculated using a molar extinction coefficient of 155 mM-1 cm-1. The results are expressed in nmol g-1 fresh matter (Cakmak & Horst, 1991).
Experimental design and statistical analysis
The experimental design was completely randomized, in a 6 × 4 factorial scheme, with six cultivars and four simulated rainfall levels (0, 60, 120, and 180 mm). After confirming the normal distribution of errors using the Shapiro-Wilk test, the data were subjected to analysis of variance, and the means were compared using Tukey’s test (p < 0.05). A multivariate principal component analysis (PCA) was also performed. Pearson’s correlation was calculated using data from all the evaluated characteristics. R software was used for all statistical analyses (R Core Team, 2019).
Results
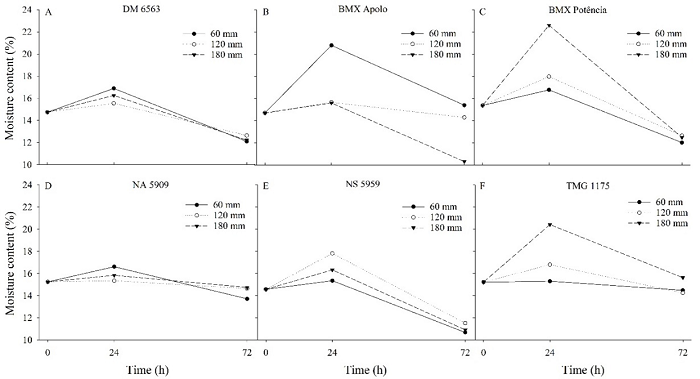
There was an increase in the moisture content of the seeds of all cultivars 24h after the application of simulated rainfall, followed by a reduction after 72h (Figure 2). The seeds of cultivars BMX Apolo (Figure 2B) and BMX Potência (Figure 2C) showed variations of up to seven percentage points (pp) in moisture content between 24 and 72h after application of rainfall. The cultivar NA 5909 showed less variation in seed moisture, regardless of rainfall level and analysis time (Figure 2D). The seeds of cultivar TMG 1775 showed a significant variation in moisture only at the highest level of rainfall (180 mm) (Figure 2F).
Seed germination in all cultivars was reduced after the application of simulated rainfall. The cultivars DM 6563, BMX Apolo, and BMX Potência showed reductions of 15, 16, and 30 pp, respectively, at the highest level of rainfall (180 mm) when compared to that in the control (0 mm). In general, these reductions were less evident for NS 5959, NA 5909, and TMG 1175. The cultivars BMX Potência and NA 5909 were the only ones that showed a significant reduction in germination between the 0 and 60 mm treatments. The level of 120 mm did not cause significant reductions in germination only for the cultivars NS 5959 and TMG 1175. Among the cultivars, it was observed that BMX Potência showed less germination at all precipitation levels (60, 120, and 180 mm) (Table 1).


Regardless of rainfall level, the weathering deterioration (induced by variation in moisture content) resulted in a significant increase in the electrical conductivity of the seeds, especially for cultivars DM 6563, BMX Apolo, and BMX 6563. Compared to that of the control (0 mm), the electrical conductivity was not significantly reduced at the level of 60 mm for the BMX Apolo, BMX Potência, and NA 5909. The cultivar TMG 1175 was the only cultivar whose seeds showed no significant differences in electrical conductivity, regardless of the rainfall level (Table 1).
Similar to the results of the germination and electrical conductivity tests, weathering deterioration caused significant reductions in SOD activity in the seeds of DM 6563. BMX Potência showed an increase in SOD activity at 120 mm. In the other cultivars (BMX Apolo, NA 5909, NS 5959, and TMG 1175), there was no significant difference in this enzyme activity, regardless of the level of rainfall applied (Figure 3A).
Except for the cultivars BMX Apolo and NA 5909, the other cultivars' seeds showed significant reductions in CAT activity as a result of weathering deterioration (Figure 3B). APX activity was significantly reduced in soybean seeds, especially in cultivars DM 6563 and BMX Potência, at the highest level of rainfall (180 mm) (Figure 3C). Except for cultivar TMG 1175, POX activity was significantly reduced in seeds under simulated rainfall, particularly in cultivars DM 6563, BMX Potência, and NS 5959 (Figure 3D).

In general, the application of simulated rainfall resulted in a greater accumulation of hydrogen peroxide (H2O2) (Figure 4A) and malondialdehyde (MDA) (Figure 4B) in the seeds of the analyzed cultivars.

The accumulation of H2O2 was more evident in the DM 6563 and BMX Potência cultivars, with increments of up to 130 nmol g-1 of fresh matter, when comparing the highest level of rainfall (180 mm) with the control (0 mm) (Figure 4A). In the seeds of cultivars NS 5959 and TMG 1175, there was no significant accumulation of H2O2, regardless of the rainfall level (Figure 3A). In general, MDA accumulation followed the same trend as that of H2O2, that is, it was more expressive in the seeds of cultivars DM 6563, BMX Potência, and NS 5959, especially at the highest levels of rainfall (120 and 180 mm) (Figure 4B).
The protein content of the seeds was significantly reduced with the application of simulated rainfall, except for cultivars NS 5959 and TMG 1175. The cultivars BMX Apolo and BMX Potência showed a reduction in protein content only at the highest levels of rainfall (120 and 180 mm) (Figure 5A). Regardless of the level of rainfall applied and the cultivar analyzed, weathering deterioration caused a significant increase in protease activity (Figure 5B).

Based on the principal component analysis (PCA), the sum of components 1 (PC1) and 2 (PC2) explained approximately 60% of the total variability of the data (Figure 6A).

The order diagram (Figure 6A) shows that all cultivars tended to cluster in the control treatments (0 mm), and the lowest level of rainfall (60 mm) in the positive scores of PC1, corresponding to the region with the vectors of the vari6ables germination, protein content, and antioxidative enzyme activity in the correlation circle (Figure 6B). The clusters of the cultivars BMX Apolo, NS 5959, NA 5909, and TMG 1175 were more centralized in the order diagram; moreover, they were close to the germination and antioxidative enzyme vectors. On the other hand, cultivars DM 6563 and BMX Potência had more dispersed clustering in the order diagram, close to the H2O2 and MDA vectors and more distant from the physiological quality variables (Figure 6A). The cluster with the highest rainfall levels (120 and 180 mm) was concentrated on the negative scores of PC1 (Figure 6A), corresponding to the location of electrical conductivity, protease, MDA, and H2O2 in the correlation circle (Figure 6B). In general, Pearson's correlation confirmed the results previously observed through significant positive correlations among germination, antioxidative enzyme activity, and protein, as well as a negative and significant correlation between these data and the H2O2, MDA content, and protease activity.
Discussion
The oscillation in seed moisture content observed in all analyzed cultivars is directly related to deterioration, significantly reducing germination and vigor (Marcos-Filho, 2016). For the cultivars that showed lower moisture content after the application of rainfall (such as NA 5909 and TMG 1175), these results may have been due to greater protection provided by the pods. After the maturation of soybean seeds, factors such as anatomy, morphology, and level of dehydration of pod tissues contribute to their greater opening and, consequently, greater exposure of the seeds to the external environment (Senda et al., 2017; Zhang, Tu, Liu, & Liu, 2018). Therefore, these factors are essential for future evaluations because they may have led to greater protection of the seeds by the pods in the cultivars that showed less moisture variation after the rainfall applications.
In general, the reduction in germination and vigor of the different cultivars was proportional to the increase in precipitation level, being less evident in control (0 mm) and lower level (60 mm), and more evident at the higher levels (120 and 180 mm). The cultivars NS 5959, NA 5909, and TMG 1175 showed less marked reductions in germination, remaining above the minimum standard for commercializing soybean seeds in Brazil (80%) (Abrasem, 2013). The increase in electrical conductivity was observed for most of the cultivars, and it is due to factors such as mitochondrial dysfunctions and oxidative stress, which affect membrane integrity (Prado, Krzyzanowski, Martins, & Vieira, 2019). Therefore, the sum of these and other factors can alter critical cellular processes, such as protein metabolism and energy production, leading to a reduction in germination and vigor of deteriorated seeds (Min et al., 2016). Furthermore, it is crucial to relate the reduction of germination and vigor with the high values of temperature (~41°C) and relative humidity (~81%) observed during the application of the precipitations, once these characteristics lead to the deterioration process and consequently a reduction in soybean seed quality (Shu et al., 2020). Therefore, this observed relation (higher levels of precipitation, seed moisture oscillation, and lower physiological quality) is due to seed deterioration, which can also be related to many other factors such as genetic factors, storage conditions, harvesting delay, seed aging, hormonal imbalance, lignin content, and others (Bhatia et al., 2010; Castro et al., 2016; Basso et al., 2018; Sharma, Maheshwari, Sharma, & Shukla, 2018; Boniecka et al., 2019; Ebone et al., 2019; Pinheiro et al., 2021).
SOD catalyzes the dismutation of the superoxide radical (O2∙-) into H2O2 and forms the first line of defense against ROS (Gill et al., 2015). In this context, reductions in SOD activity may be due to the deterioration process since O2∙- above baseline levels may be associated with loss of viability, germination, and seed vigor (Sahu, Sahu, Thomas, & Naithani, 2017). Similar to the results observed for some cultivars (such as BMX Apolo, NA 5909, and TMG 1175), Huth et al. (2016) did not find significant differences in SOD activity in soybean seeds under weathering deterioration when compared to the control (0 mm). In this sense, the fact that O2∙- is an unstable molecule with a short half-life (1-4 µs) may have contributed to these findings (Mittler, 2017). Enzymes such as CAT, APX, and POX are part of a broad group of peroxidases that neutralize excess H2O2 through different routes (Das & Roychoudhury, 2014). As observed for most of the analyzed cultivars, weathering deterioration reduced the activity of these enzymes, especially at the highest levels of precipitation (120 and 180 mm). These results corroborate those found for germination and vigor, which were also reduced by weathering deterioration, owing to the higher level of oxidative stress in the seeds. Similar results were reported by Ebone et al. (2020), who evaluated the seeds of soybean cultivars under artificial aging. They reported reduced germination and vigor and greater stability of the SOD enzyme and significant reductions in the activity of peroxidases (CAT and APX) in aged seeds. In general, these results can be related to significant increases in respiratory rates from seed hydration, which contribute to greater degradation of reserves and excessive production of ROS (Wojtyla, Lechowska, Kubala, & Garnczarska, 2016; Ochandio et al., 2017; Ebone et al., 2020).
Excessive accumulation of H2O2 was also observed in the cultivars (mainly DM 6563 and BMX Potência) and has been considered as an important factor that results in the loss of seed viability and vigor, causing deleterious effects such as oxidation of lipids, proteins, and nucleic acids (Wojtyla et al., 2016; Min et al., 2017; Ebone et al., 2020). However, it should be noted that, at baseline, H2O2 acts in important cellular processes, such as cell signaling, dormancy breaking, and mobilization of reserves (Mittler, 2017; Noctor et al., 2018). Therefore, the accumulation of H2O2 found in the control treatment (0 mm) for all analyzed cultivars reinforces the important role of this compound in seed germination. Furthermore, the slightest variation in the activity of peroxidases in the cultivar TMG 1175 is an important factor to be considered since they efficiently neutralize excess levels of H2O2 at the cellular level, providing greater maintenance of the physiological quality of the seeds. For the other cultivars, H2O2 accumulation, as well as reduced activity of antioxidative enzymes in the seeds, showed an imbalance between ROS and antioxidative mechanisms, thus characterizing oxidative stress.
According to Ratajczak, Malecka, Ciereszko, & Staszak (2019), the occurrence of damage to membranes is considered the major event that occurs in the process of seed deterioration. Thus, lipid peroxidation, as evidenced by the accumulation of MDA (a by-product of these reactions) (mainly for cultivars DM 6563, BMX Potência, and NS 5959), is strongly related to oxidative stress. These statements are reinforced by Ebone et al. (2020), who concluded that lipid peroxidation is the major event behind the deterioration of soybean seeds; it is caused by an imbalance between antioxidant activity and ROS production and contributes to MDA accumulation. Moreover, the data on electrical conductivity in the present study reinforce and demonstrate the reduction in cell membrane integrity caused by lipid peroxidation in soybean seeds under simulated rainfall.
Protein reduction (observed mainly for cultivars DM 6563, BMX Apolo, and BMX Potência) is also an important aspect to be considered for seed deterioration, as it affects the structure of membrane proteins and important pathways such as glycolysis, directly impairing the energy supply to the embryo and the germination process (Lv, Tian, Zhang, Wang, & Hu, 2018). In soybean seeds under deterioration, excess ROS is cited as being responsible for protein degradation (Min et al., 2017), as found in the present study for H2O2 accumulation, combined with a reduction in the activity of antioxidative enzymes and physiological seed quality. In soybean seeds, proteases act in protein mobilization, programmed cell death, and weakening of the seed coat during the germination process (Rocha et al., 2019). Furthermore, it is related to the production of ROS and the carbonylation process, which consists of a series of oxidative changes in the structure of proteins, making them more susceptible to proteolytic action (Zhang, He, Li, & Yang, 2017). Protease activity is also related to the degradation of proteins involved in primary metabolism and energy metabolism, suggesting impairment of ATP synthesis, which is essential for soybean seed germination (Min et al., 2017). Importantly, in the present study, total soluble proteins were quantified without distinction of classes, functions, and other attributes. However, there was a significant reduction in protein levels, together with higher protease activity and lower physiological quality of the seeds under weathering deterioration. These results reinforce an imbalance in protein metabolism due to oxidative stress, characterized by less antioxidant activity and more significant accumulation of H2O2 and MDA.
In general, the clustering of the cultivars observed by PCA reinforced and summarized the greater susceptibility of DM 6563 and BMX Potência, and less susceptibility of NA 5909 and TMG 1175 to weathering deterioration. According to Shu et al. (2020), genes involved in photosynthesis, carbohydrate metabolism, lipid metabolism, and heat shock protein (HSP) pathways might contribute to the different responses of soybean seeds to deterioration. According to Bianchi, Bruzi, Soares, Ribeiro, and Gesteira (2020), obtaining superior genotypes can be considered as one of the main challenges for soybean breeders. These authors also reinforce the information of Gesteira, Bruzi, Zito, Fronza, and Arantes (2018) that the key stages include the selection of parentals/progenitors to perform the hybridizations, identification of the best progenies to advance in the program stages, evaluation of these progenies at different sites, and agricultural years to mitigate the effect of the genotype × environment interaction (G × E), and, finally, selection of the best lineage to be launched in the agricultural market. Therefore, our study provides important observations for future studies with these cultivars involving molecular markers and specific biochemical routes, allowing crop breeding programs to select tolerant genotypes for weathering deterioration in the field.
Conclusion
The proposed rainfall system is efficient in inducing weathering deterioration in the pre-harvest phase and its deleterious effects on soybean seeds. Weathering deterioration in soybean seeds is directly linked to oxidative stress, with reduced activity of antioxidative enzymes, accumulation of hydrogen peroxide, increased lipid peroxidation, protein degradation, and increased proteolytic activity. The level of weathering deterioration in soybean seeds in the pre-harvest stage is directly influenced by their genotype.
Acknowledgements
The authors are grateful to the Universidade Federal de Viçosa (UFV). This study was funded in part by the Coordenação de Aperfeiçoamento de Pessoal de Nível Superior - Brasil (CAPES) - (Funding Code: 001), the Conselho Nacional de Desenvolvimento Científico e Tecnológico (CNPq), and Fundação de Amparo à Pesquisa do Estado de Minas Gerais (FAPEMIG).
References
Associação Brasileira de Sementes e Mudas [Abrasem]. (2013). Instrução Normativa no45. Padrões para a produção e a comercialização de sementes de soja (Glycine max L.). Brasília, DF: MAPA.
Anderson, M. D., Prasad, T. K., & Stewart, C. R. (1995). Changes in isozyme profiles of catalase, peroxidase, and glutathione reductase during acclimation to chilling in mesocotyls of maize seedlings. Plant Physiology, 109(4), 1247-1257. DOI: https://doi.org/10.1104/pp.109.4.1247
Basso, D. P., Hoshino-Bezerra, A. A., Sartori, M. M. P., Buitink, J., Leprince, O., & Silva, E. A. A. D. (2018). Late seed maturation improves the preservation of seedling emergence during storage in soybean. Journal of Seed Science, 40(2), 185-192. DOI: https://doi.org/10.1590/2317-1545v40n2191893
Beauchamp, C., & Fridovich, I. (1971). Superoxide dismutase: Improved assays and an assay applicable to acrylamide gels. Analytical Biochemistry, 44(1), 276-287. DOI: https://doi.org/10.1016/0003-2697(71)90370-8
Bernardo, S., Mantovani, E. C., Silva, D. D., & Soares, A. A. (2019). Manual de irrigação. Viçosa, MG: UFV.
Bianchi, M. C., Bruzi, A. T., Soares, I. O., Ribeiro, F. D. O., & Gesteira, G. D. S. (2020). Heritability and the genotype × environment interaction in soybean. Agrosystems, Geosciences & Environment, 3(1), 1-10. DOI: https://doi.org/10.1002/agg2.20020
Bhatia, V.S., Yadav, S., Jumrani, K., & Guruprasad. (2010). Field deterioration of soybean seed: role of oxidative stresses and antioxidant defense mechanism. Journal of Plant Biology, 32(2), 179-190.
Boniecka, J., Kotowicz, K., Skzypek, E., Dziurka, K., Rewers, M., Jedzejczyk, I., ... Dabrowska, G. (2019). Potential biochemical, genetic and molecular markers of deterioration advancement in seeds of oilseed rape (Brassica napus L.). Industrial Crops and Products, 130(2019), 478-490. DOI: https://doi.org/10.1016/j.indcrop.2018.12.098
Bradford, M. M. (1976). A rapid and sensitive method for the quantitation of microgram quantities of protein utilizing the principle of protein-dye binding. Analytical Biochemistry, 72(1-2), 248-254. DOI: https://doi.org/10.1016/0003-2697(76)90527-3
Brasil. Ministério da Agricultura, Pecuária e Abastecimento. (2009). Regras para análise de sementes. Brasília, DF: MAPA/ACS.
Cakmak, I., & Horst, W. J. (1991). Effect of aluminium on lipid peroxidation, superoxide dismutase, catalase, and peroxidase activities in root tips of soybean (Glycine max). Physiologia Plantarum, 83(3), 463-468. DOI: https://doi.org/10.1111/j.1399-3054.1991.tb00121.x
Castro, E. M., Oliveira, J. A., Lima, A. E. D., Santos, H. O. D., & Barbosa, J. I. L. (2016). Physiological quality of soybean seeds produced under artificial rain in the pre-harvesting period. Journal of Seed Science, 38(1), 14-21. DOI: https://doi.org/10.1590/2317-1545v38n1154236
Das, K., & Roychoudhury, A. (2014). Reactive oxygen species (ROS) and response of antioxidants as ROS-scavengers during environmental stress in plants. Frontiers in Environmental Science, 2(53), 1-13. DOI: https://doi.org/10.3389/fenvs.2014.00053
Ebone, L. A., Caverzan, A., & Chavarria, G. (2019). Physiologic alterations in orthodox seeds due to deterioration processes. Plant Physiology and Biochemistry, 145(2019), 34-42. DOI: https://doi.org/10.1016/j.plaphy.2019.10.028
Ebone, L. A., Caverzan, A., Silveira, D. C., Siqueira, L. D. O., Lângaro, N. C., ... Chavarria, G. (2020). Biochemical profile of the soybean seed embryonic axis and its changes during accelerated aging. Biology, 9(8), 186. DOI: https://doi.org/10.3390/biology9080186
Forti, V. A., Carvalho, C., Tanaka, F. A. O., & Cicero, S. M. (2013). Weathering damage in soybean seeds: assessment, seed Anatomy and seed physiological potential. Seed Technology, 35(2), 213-224. DOI: https://www.jstor.org/stable/24642271
Gay, C., & Gebicki, J. M. (2000). A critical evaluation of the effect of sorbitol on the ferric-xylenol orange hydroperoxide assay. Analytical Biochemistry, 284(2), 217-220. DOI: https://doi.org/10.1006/abio.2000.4696
Gesteira, G. S., Bruzi, A. T., Zito, R. K., Fronza, V., & Arantes, N. E. (2018). Selection of early soybean inbred lines using multiple indices. Crop Science, 58(6), 2494-2502. DOI: https://doi.org/10.2135/cropsci2018.05.0295
Gill, S. S., Anjum, N. A., Gill, R., Yadav, S., Hasanuzzaman, M., Fujita, M., ... Tuteja, N. (2015). Superoxide dismutase-mentor of abiotic stress tolerance in crop plants. Environmental Science and Pollution Research, 22(14), 10375-10394. DOI: https://doi.org/10.1007/s11356-015-4532-5
Huth, C., Mertz-Henning, L. M., Lopes, S. J., Tabaldi, L. A., Rossato, L. V., Krzynawoski, F. C., & Henning, F. A. (2016). Susceptibility to weathering damage and oxidative stress on soybean seeds with different lignin contents in the seed coat. Journal of Seed Science, 38(4), 296-304. DOI: https://doi.org/10.1590/2317-1545v38n4162115
Kapoor, D., Singh, S., Kumar, V., Romero, R., Prasad, R., & Singh, J. (2019). Antioxidant enzymes regulation in plants in reference to reactive oxygen species (ROS) and reactive nitrogen species (RNS). Plant Gene, 19(7), 100182. DOI: https://doi.org/10.1016/j.plgene.2019.100182
Kar, M., & Mishra, D. (1976). Catalase, peroxidase, and polyphenoloxidase activities during rice leaf senescence. Plant Physiology, 57(2), 315-319. DOI: https://doi.org/10.1104/pp.57.2.315
Kuo, M. C., & Kao, C. H. (2003). Aluminum effects on lipid peroxidation and antioxidative enzyme activities in rice leaves. Biologia Plantarum, 46(1), 149-152. DOI: https://doi.org/10.1023/A:1022356322373
Lv, Y., Tian, P., Zhang, S., Wang, J., & Hu, Y. (2018). Dynamic proteomic changes in soft wheat seeds during accelerated ageing. PeerJ, 6, 1-16. DOI: https://doi.org/10.7717/peerj.5874
Marcos-Filho, J. (2016). Seed physiology of cultivated plant. Londrina, PR: ABRATES.
Min, C. W., Kim, Y. J., Gupta, R., Kim, S. W., Han, W. Y., Ko, J. M., ... Kim, S. T. (2016). High-throughput proteome analysis reveals changes of primary metabolism and energy production under artificial aging treatment in Glycine max seeds. Applied Biological Chemistry, 59(6), 841-853. DOI: https://doi.org/10.1007/s13765-016-0234-z
Min, C. W., Lee, S. H., Cheon, Y. E., Han, W. Y., Ko, J. M., Kang, H. W., ... Kim, S. T. (2017). In-depth proteomic analysis of Glycine max seeds during controlled deterioration treatment reveals a shift in seed metabolism. Journal of Proteomics, 169, 125-135. DOI: https://doi.org/10.1016/j.jprot.2017.06.022
Mittler, R. (2017). ROS are good. Trends in Plant Science, 22(1), 11-19. DOI: https://doi.org/10.1016/j.tplants.2016.08.002
Nakano, Y., & Asada, K. (1981). Hydrogen peroxide is scavenged by ascorbate-specific peroxidase in spinach chloroplasts. Plant and Cell Physiology, 22(5), 867-880. DOI: https://doi.org/10.1093/oxfordjournals.pcp.a076232
Noctor, G., Reichheld, J. P., & Foyer, C. H. (2018). ROS-related redox regulation and signaling in plants. Seminars in Cell & Developmental Biology, 80, 3-12. DOI: https://doi.org/10.1016/j.semcdb.2017.07.013
Ochandio, D., Bartosik, R., Gastón, A., Abalone, R., Barreto, A. A., & Yommi, A. (2017). Modelling respiration rate of soybean seeds (Glycine max (L.)) in hermetic storage. Journal of Stored Products Research, 74, 36-45. DOI: https://doi.org/10.1016/j.jspr.2017.09.001
Peixoto, P. H. P., Cambraia, J., Sant’anna, R., Mosquim, P. R, & Moreira, M. A. (1999). Aluminum effects on lipid peroxidation and on the activities of enzymes of oxidative metabolism in sorghum. Revista Brasileira de Fisiologia Vegetal, 11(3), 137-143.
Pinheiro, D. T., Dias, D. C. F. D. S., Medeiros, A. D. D., Ribeiro, J. P. O., Silva, F. L. D., & Silva, L. J. (2021). Weathering deterioration in pre-harvest of soybean seeds: physiological, physical, and morpho-anatomical changes. Scientia Agricola, 78(suppl. 1), e20200166. DOI: https://doi.org/10.1590/1678-992X-2020-0166
Pilon, A. M., Oliveira, M. G. A., & Guedes, R. N. C. (2006). Protein digestibility, protease activity, and post-embryonic development of the velvetbean caterpillar (Anticarsia gemmatalis) exposed to the trypsin-inhibitor benzamidine. Pesticide Biochemistry and Physiology, 86(1), 23-29. DOI: https://doi.org/10.1016/j.pestbp.2005.11.005
Prado, J. P., Krzyzanowski, F. C., Martins, C. C., & Vieira, R. D. (2019). Physiological potential of soybean seeds and its relationship to electrical conductivity. Journal of Seed Science, 41(4), 407-415. DOI: https://doi.org/10.1590/2317-1545v41n4214988
R Core Team. (2019). R: A language and environment for statistical computing. Vienna, AT: R Development Core Team.
Ratajczak, E., Malecka, A., Ciereszko, I., & Staszak, A. M. (2019). Mitochondria are important determinants of the aging of seeds. International Journal of Molecular Sciences, 20(7), 1-12. DOI: https://doi.org/10.3390/ijms20071568
Rocha, G., Pireda, S., Araújo, J. S., Oliveira, A. E. A., Machado, O. L. T., Cunha, M., ... Fernandes, K. V. S. (2019). Programmed cell death in soybean seed coats. Plant Science, 288, 110232. DOI: https://doi.org/10.1016/j.plantsci.2019.110232
Sahu, B., Sahu, A. K., Thomas, V., & Naithani, S. C. (2017). Reactive oxygen species, lipid peroxidation, protein oxidation and antioxidative enzymes in dehydrating Karanj (Pongamia pinnata) seeds during storage. South African Journal of Botany, 112, 383-390. DOI: https://doi.org/10.1016/j.sajb.2017.06.030
Sano, N., Rajjou, L., North, H. M., Debeaujon, I., Marion-Poll, A., & Seo, M. (2016). Staying alive: Molecular aspects of seed longevity. Plant and Cell Physiology, 57(4), 660-674. DOI: https://doi.org/10.1093/pcp/pcv186
Senda, M., Yamaguchi, N., Hiraoka, M., Kawada, S., Iiyoshi, R., Yamashita, K., ... Kawasaki, M. (2017). Accumulation of proanthocyanidins and/or lignin deposition in buff-pigmented soybean seed coats may lead to frequent defective cracking. Planta, 245(3), 659-670. DOI: https://doi.org/10.1007/s00425-016-2638-8
Sharma, S. N., Maheshwari, A., Sharma, C., & Shukla, N. (2018). Gene expression patterns regulating the seed metabolism in relation to deterioration/ageing of primed mung bean (Vigna radiata L.) seeds. Plant Physiology and Biochemistry, 124, 40-49. DOI: https://doi.org/10.1016/j.plaphy.2017.12.036
Shu, Y., Zhou, Y., Mu, K., Hu, H., Chen, M., He, Q., ... Yu, X. (2020). A transcriptomic analysis reveals soybean seed pre-harvest deterioration resistance pathways under high temperature and humidity stress. Genome, 63(2), 115-124. DOI: https://doi.org/10.1139/gen-2019-0094
Vieira, R. D., & Krzyzanowski, F. C. (1999). Teste de condutividade elétrica. In F. C. Krzyzanowski, R. D. Vieira, & J. B. França Neto (Eds.), Vigor de sementes: conceitos e testes (Cap. 4, p. 1-26). Londrina, PR: Abrates.
Wang, L., Ma, H., Song, L., Shu, Y., & Gu, W. (2012). Comparative proteomics analysis reveals the mechanism of pre-harvest seed deterioration of soybean under high temperature and humidity stress. Journal of Proteomics, 75(7), 2109-2127. DOI: https://doi.org/10.1016/j.jprot.2012.01.007
Wojtyla, Ł., Lechowska, K., Kubala, S., & Garnczarska, M. (2016). Different modes of hydrogen peroxide action during seed germination. Frontiers in Plant Science, 7(66), 1-16. DOI: https://doi.org/10.3389/fpls.2016.00066
Zhang, H., He, D., Li, M., & Yang, P. (2017). Carbonylated protein changes between active germinated embryos and quiescent embryos give insights into rice seed germination regulation. Plant Growth Regulation, 83(2), 335-350, 2017. DOI: https://doi.org/10.1007/s10725-017-0299-7
Zhang, Q., Tu, B., Liu, C., & Liu, C. (2018). Pod anatomy, morphology and dehiscing forces in pod dehiscence of soybean (Glycine max (L.) Merrill). Flora, 248, 48-53. DOI: https://doi.org/10.1016/j.flora.2018.08.014
Author notes
* Author for correspondence. E-mail: pinheiroagroufv@gmail.com