CROP PROTECTION
Diagrammatic scale for the quantification of black spot severity in papaya leaves
Diagrammatic scale for the quantification of black spot severity in papaya leaves
Acta Scientiarum. Agronomy, vol. 45, e60970, 2023
Editora da Universidade Estadual de Maringá - EDUEM
Received: 22 September 2021
Accepted: 13 February 2022
Funding
Funding source: Coordenação de Aperfeiçoamento do Pessoal de Nível Superior (CAPES)
Contract number: Financing Code 001
ABSTRACT: Black spot (Asperisporium caricae) is one of the main foliar fungal diseases of papaya crops. This disease acts directly on leaves and fruits causing leaf area reduction and fruit deterioration. The quantification of diseases is a fundamental part of the disease management and control process; therefore, a scale is required to help quantify black spot disease. The objective of this work was to propose a standardized methodology to quantify black spot severity in papaya leaves. A scale was developed considering the maximum and minimum values of the disease in the field that included eight levels of severity: 0.1, 0.3, 0.6, 1.0, 2.3, 5.0, 10.0, and 20.0%. Without the aid of a scale the disease is often overestimated, with absolute errors of approximately 75%. When the scale was used, 100% of the evaluators showed improved accuracy and precision, and absolute error was reduced to the 10% range. The scale also provided good repeatability and high reproducibility. The use of the scale provided an improvement in the R2 values, with mean values of 93 and 92 in the second and third evaluations, respectively, demonstrating that the scale is useful for different aspects of the pathosystem of A. caricae, such as for determining the efficiency of fungicides, characterization of varietal resistance, construction of the disease progression curve, and estimation of damage.
Keywords: Asperisporium caricae, accuracy, pathometry.
Introduction
Phytosanitary problems are responsible for considerable losses in crops of economic interest worldwide. Black spot caused by the fungus Asperisporium caricae (Speg.) Maubl is considered the main foliar fungal disease in the cultivation of papaya (Carica papaya L.), with reports of losses of up to 30% of production (Santos & Barreto, 2003; Amorim, Rezende, & Bergamin Filho, 2018). Black spot symptoms manifest in both leaves and fruits. On the leaves, the symptoms are characterized by the initial appearance of small rounded black spots located on the lower part of older leaves. As the disease progresses, the leaves are induced to senescence, which causes the plant to wither (Oliveira, Santos Filho, Andrade, & Meissner Filho, 2011; Santos Filho, Oliveira, & Haddad, 2016). In contrast, small, circular, waterlogged lesions occur initially in the fruits, which evolve into larger pustules with prominent brown to black hues that reach up to 5 mm in diameter (Santos Filho et al., 2016; Amorim et al., 2018). In addition to compromising the fruits appearance, the lesions also serve as gateways for other diseases.
Currently, the control of foliar diseases in papaya production, especially that of black spot, is hindered by the lack of resistant genotypes (Vivas et al., 2015; Poltronieri et al., 2020) and/or sustainable methods for disease control, such as resistance inducers (Santos, Silveira, Vivas, Carvalho, & Pereira, 2017) and biological controls (Vivas, Silveira, Santos, Pinho, & Pereira, 2017; Vivas et al., 2018; Vivas et al., 2020). Therefore, fungicide is the only control measure currently used, which incurs production costs and can cause severe consequences to the environment and human health (Vivas et al., 2015).
The quantification of diseases is considered an important step toward control and the advancement of epidemiological and genetic resistance studies. A methodology that precisely and efficiently quantifies a disease using a standardized approach is necessary for all pathosystems. The quantification of papaya black spot is currently performed by a diagrammatic scale proposed for fruits; however, the leaves should be prioritized, since the diseased leaves are considered the sources of the inoculum that contaminates the fruits. Therefore, a method is required to quantify black spot on the leaves at the onset of the disease, to aid with decision-making and enable more efficient control. The objective of this study was to propose a standardized methodology for quantifying black spot severity in papaya leaves that will provide accurate, precise, and repeatable estimates.
Material and methods
Elaboration of the diagrammatic scale
For the diagrammatic scale, 100 papaya leaves of different varieties and different black spot severity levels were collected, ranging from healthy leaves to those severely affected. The leaves with an excess of lost necrotic area and/or tissue removal due to pest incidence were excluded, leaving 87 leaves. Due to the large size of the papaya leaves, only the midrib limb portions were used, as described by Santos, Vivas, Silveira, Silva, and Terra (2011) for powdery mildew. Images were captured with the aid of a digital camera, at a distance of approximately 40 cm between the camera and the leaves.
After digitizing, each image was calibrated to 300 dpi, and using QUANT® software, the total area and the injured area of the leaf were determined (Vale, Fernandes Filho, & Liberato, 2003). Based on the Weber-Fechner law of visual acuity (Horsfall & Cowling, 1978) and the shape, distribution, and frequency of the lesions, a diagrammatic scale with eight levels of severity was developed.
Validation of the diagrammatic scale
To validate the diagrammatic scale, images of 40 leaves with black spot symptoms of different levels of severity were randomly inserted into individual slides for viewing with Microsoft PowerPoint® (Vivas, Terra, Silveira, Fontes, & Pereira, 2010; Santos et al., 2011; 2017). Eleven evaluators estimated the severity, the majority of whom had no experience quantifying diseases or affinity with the pathosystem under study. Initially, the severity was assessed without using the diagrammatic scale, and after seven days, the scale was employed. Seven days after the first scale evaluation, another sequence of the same leaves was organized, and the same evaluators visually estimated the severity using the scale to assess the repeatability of the diagrammatic scale.
The accuracy and precision of each evaluator were determined with simple linear regression, with the actual severity estimated by the Quant® software as the independent variable and that assessed by the evaluator as the dependent variable. The accuracy of the estimates was determined using the t-test applied to the linear regression intercept (a), to determine whether it was significantly different from 0, and to the slope of the straight line (b), to assess if it was significantly different from 1. A 5% probability level was used, since slopes closer to 1 and intersections near zero provide more accurate results.
The precision of the estimates was obtained by the regression determination coefficient (R2), absolute error variance (estimated severity less actual), and repeatability estimates, determined by the regression of the second evaluation compared to the first for the same sampling unit (set of leaf images), where R2 values closer to 1 denote more accurate evaluations. Regression analyses were performed using Microsoft Excel® software.
Results and discussion
The maximum severity limit found in the samples was 20%, and higher limits than this are rarely found in commercial orchards, as they cause senescence and leaf fall. The elaborated scale included values of 0.1, 0.3, 0.6, 1.0, 2.3, 5.0, 10.0, and 20.0% of the injured area, considering the values obtained and the format and disposition of the lesions (Figure 1). Severity levels similar to those found in this study have been previously established for fruit black spot severity (Vivas et al., 2010).
In the diagrammatic scale validation process for the first evaluation, 82% of the evaluators presented intercept values significantly different from zero (p = 0.05) without the use of the diagrammatic scale, with an average value of 4.97. It was also observed that 100% of deviations were consistently positive, indicating that all evaluators overestimated the disease at the initial levels (Table 1). When the scale was used, 25% of the raters (C, E, and G) had intercept values different from zero (p = 0.05) in the first evaluation, while 46% (A, G, H, J, and K) showed differing values in the second (Table 1), most of which were accompanied by constant positive deviations indicating overestimation.

The tendency of the evaluators to overestimate the severity of black spot in papaya leaves when using the scale was similar to that observed with the validation of the scales for spotted pepper (Michereff et al., 2006), Phoma spot in coffee (Salgado, Pozza, Lima, Pereira, & Pfenning, 2009) and common helminthsporiosis in corn (Lazaroto, Santos, Konflanz, Malagi, & Camochena, 2012). However, this result was in contrast with the verifications of other scales (Gomes, Michereff, & Mariano, 2004; Vivas et al., 2010; Santos et al., 2011). Although some evaluators have presented intercept values significantly different from zero (p = 0.05), the scale provided a reduction in the mean values of the intercept, which was 4.97 in the evaluation without the scale and 0.03 and 0.23 with the scale, in the first and second scaled assessments, respectively, which shows improved accuracy with the use of the scale.
Overestimation or underestimation of disease in diagrammatic scale validation processes has been observed with some pathosystems (Michereff et al., 2006; Salgado et al., 2009; Vivas et al., 2010; Lazaroto et al., 2012; Damasceno, Michereff, & Mariano, 2014); however, the scale quality in these cases was not compromised, since the errors could be remedied with the training of evaluators (Nutter Junior & Schultz, 1995). Since the evaluators generally do not have experience evaluating diseases, their accuracy can be improved with specific training.

Regarding the values of the angular coefficient of the straight line (b), in the evaluation without the aid of the scale, all the evaluators except for B and F, presented values significantly different from 1 (p = 0.05), with an average value of 2.36, indicating the presence of systematic deviations (Table 1). With the use of the scale, only Evaluator D presented a result significantly equal to 1 (p = 0.05). However, the average values in both the first (0.82) and the second evaluation (0.72) were considerably closer to 1 (Table 1).
For the precision analysis, the visual severity estimates without using the scale explained from 22 to 88% of the variation (R2) in the electronic measurement of the disease, with an average of 60% (Table 1). In the first assessment with the scale, the visual estimates explained from 81 to 98% of the variation, with an average of 93% (Table 1). The second assessment using the scale returned, visual estimates explaining 85 to 96% of the variation, with an average of 92% (Table 1). The accuracy levels using the scale were similar to those found by other validation studies of scales for disease assessment (Vivas et al., 2010; Capucho, Zambolim, Duarte, & Vaz, 2011; Nunes & Alves, 2012; Juliatti, Crato, Juliatti, Couto, & Juliatti, 2013; Lima et al., 2013).
Effectively, the R2 values verified that the scale provided greater precision for the evaluators, with a mean of 93 and 92%, respectively, in the first and second evaluation with the help of the scale; therefore, a satisfactory level of precision (R2 close to 1) was achieved for this type of evaluation (Capucho, Zambolim, Duarte, & Vaz, 2011).
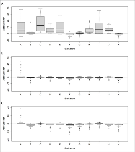
Regarding the absolute error (difference between the estimated and actual severity), the distribution of deviations in the evaluation without the aid of the diagrammatic scale presented a dispersion of -10% to +75% (Figure 2A), showing that there was no precision in the estimates. In contrast, when the scale was employed the distribution of deviations was approximately -7% to +5% in both the first and second assessments (Figure 2B and C). The results presented here show that the use of the scale and the consequent reduction of the dispersion of residues could promote an approximation of the results among the evaluators. The scale also reduced the actual values of the estimates, thereby decreasing the degree of overestimation. The distribution of deviations supports some variation. Studies performed with different software used for disease quantification training showed that evaluators with a variation between -10% and 10% are considered good (Tomerlin & Howell, 1988; Nutter Junior & Worawitlikit, 1989). For scale validation studies in which the majority of the evaluators do not have experience in quantifying disease, a contrast in the distribution of residues between the evaluations with and without the aid of the scale is expected, because an accurate estimate will provide evaluators with a greater precision, which is corroborated by a more homogeneous distribution of residues, as verified in the results of the present work (Figure 2B and C).

The scale provided the evaluators with good repeatability in the estimates, as the average amount of variation in the first evaluation that was explained by the second evaluation was 91% (Table 2). When relating the two assessments conducted with the aid of the diagrammatic scale, the intercept values for 36% of the evaluators differed significantly from zero (p = 0.05), with a mean of 0.36. In contrast, approximately 91% of the evaluators had an angular coefficient substantially different from 1 (p = 0.05), with an average of 0.84 (Table 2). Values similar to these have been obtained in other diagrammatic scale assessment studies (Nascimento, Michereff, Mariano, & Gomes, 2005; Vivas et al., 2010; Damasceno et al., 2014).

Conclusion
The proposed diagrammatic scale for the quantification of black spot severity in papaya leaves provided accurate and precise results and was straightforward to apply. The scale will aid in the conduction of other studies related to papaya black spot, such as the effectiveness of fungicides, characterization of varietal resistance, construction of disease progression curves, and estimation of damage.
Acknowledgements
The authors thank their colleagues who participated in the disease severity assessments, as well as the Fundação Carlos Chagas Filho de Amparo à Pesquisa do Estado do Rio de Janeiro (FAPERJ) and Universidade Estadual do Norte Fluminense Darcy Ribeiro (UENF) for financial and logistical support. This study was performed with the support of the Coordenação de Aperfeiçoamento do Pessoal de Nível Superior (CAPES) - Financing Code 001.
References
Amorim, L., Rezende, J. A. M., & Bergamin Filho, A. (2018). Manual de fitopatologia: princípios e conceitos (5. ed.). Ouro Fino, MG: Ceres.
Capucho, A. S., Zambolim, L., Duarte, H. S. S., & Vaz, G. R. O. (2011). Development and validation of a standard area diagram set to estimate severity of leaf rust in Coffea arabica and C. canephora. Plant Pathology, 60(6), 1144-1150. DOI: https://doi.org/10.1111/j.1365-3059.2011.02472.x
Damasceno, V. F. F., Furtado, E. L., & Ferreira Filho, P. J. (2014). Comparação de dois métodos de elaboração e validação de escala diagramática para a quantificação da severidade da mancha de Cylindrocladium em eucalipto. Summa Phytopathologica, 40(3), 248-255. DOI: https://doi.org/10.1590/0100-5405/1960
Gomes, A. M., Michereff, S. J., & Mariano, R. L. (2004). Elaboração e validação de escala diagramática para cercosporiose da alface. Summa Phytopathologica , 30(1), 38-42.
Horsfall, J. G., & Cowling, E. B. (1978). Pathometry: the measurement of plant disease. In J. G. Horsfall, & E. B. Cowling (Eds.), Plant disease: An advanced treatise - how disease develops in populations (p. 119-136). New York, NY: Academic Press.
Juliatti, F. C., Crato, F. F., Juliatti, F. C., Couto, K., & Juliatti, B. C. M. (2013). Escala diagramática para avaliação da severidade de mofo branco em soja. Bioscience Journal, 29(3), 676-680.
Lazaroto, A., Santos, I. D., Konflanz, V. A., Malagi, G., & Camochena, R. C. (2012). Escala diagramática para avaliação de severidade da helmintosporiose comum em milho. Ciência Rural, 42(12), 2131-2137. DOI: https://doi.org/10.1590/S0103-84782012005000112.
Lima, H. E. D., Nechet, K. D. L., Vieira, B. D. A. H., Oliveira, J. R. D., Duarte, H. D. S. S., Queiroz, E. D. S., & Oliveira, F. D. L. (2013). Elaboração e validação de escalas diagramáticas para avaliação da severidade da mancha-bacteriana do feijão-caupi em cultivares com trifólios morfologicamente distintos. Ciência Rural , 43(10), 1735-1743. DOI: https://doi.org/10.1590/S0103-84782013001000001
Michereff, S. J., Noronha, M. D. A., Andrade, D. E. G. T. D., Oliveira, E. P. D., Xavier Filha, M. S., & Moreira, P. A. A. (2006). Elaboração e validação de escala diagramática para a cercosporiose do pimentão. Summa Phytopathologica , 32(3), 260-266. DOI: https://doi.org/10.1590/S0100-54052006000300008
Nascimento, A. R., Michereff, S. J., Mariano, R. D. L., & Gomes, A. M. (2005). Elaboração e validação de escala diagramática para cancro bacteriano da videira. Summa Phytopathologica, 31(1), 59-64.
Nunes, C. C., & Alves, S. A. M. (2012). Elaboração e validação de escala diagramática para quantificação da severidade de entomosporiose em folhas de pereira. Summa Phytopathologica, 38(3), 239-244. DOI: https://doi.org/10.1590/s0100-54052012000300011
Nutter Junior., F. W., & Worawitlikit, O. (1989). Disease Pro: a computer program for evaluating and improving a person ability to assess disease proportion. Phytopathology, 79, 1135.
Nutter Junior, F. W., & Schultz, P. M., (1995). Improving the accuracy and precision of disease assessments: selection of methods and use of computer-aided training programs. Canadian Journal of Plant Pathology , 17(2), 174-184. DOI: DOI: https://doi.org/10.1080/07060669509500709
Oliveira, A. A. R., Santos Filho, H. P., Andrade, E. C., & Meissner Filho, P. E. (2011). Impacto potencial das mudanças climáticas sobre as doenças do mamoeiro no Brasil. In R. Ghini, E. Hamada, & W. Bettiol (Org.), Impactos das mudanças climáticas sobre doenças de importantes culturas no Brasil. Jaguariúna, SP: Embrapa Meio Ambiente.
Poltronieri, T. P. S., Silveira, S. F., Vivas, M., Santa-Catarina, R., Azevedo, A. O. N., Santos, P. H. D., ... Pereira, M. G. (2020). Topcross hybrids in papaya: Genes derived from backcrossing provide resistance to multiple diseases. Crop Protection, 137, 1-7. DOI: https://doi.org/10.1016/j.cropro.2020.105240
Salgado, M., Pozza, E. A., Lima, L. M. D., Pereira, R. T., & Pfenning, L. H. (2009). Escala diagramática para avaliação da severidade da mancha de Phoma do cafeeiro. Tropical Plant Pathology , 34(6), 422-427. DOI: https://doi.org/10.1590/S1982-56762009000600010
Santos Filho, H. P., Oliveira, A. A. R., & Haddad, F. (2016). Controle alternativo de doenças do mamoeiro. Brasilia, DF: Emprapa.
Santos, M. C., & Barreto, M. (2003). Estudo epidemiológico da varíola do mamoeiro em cultivares submetidos a tratamento com fungicidas. Summa Phytopathologica, 29(2), 141-146.
Santos, P.H.D., Silveira, S. F. D., Vivas, M., Carvalho, B. M., & Pereira, M. G. (2017). Alternative control to black spot disease in papaya genotypes. Summa Phytopathologica, 43(1), 60-62. DOI: https://doi.org/10.1590/0100-5405/2208
Santos, P. H. D., Vivas, M., Silveira, S. F., Silva, J. M., & Terra, C. E. P. S. (2011). Elaboração e validação de escala diagramática para avaliação da severidade de oídio em folhas de mamoeiro. Summa Phytopathologica, 37(4), 215-217. DOI: https://doi.org/10.1590/S0100-54052011000400011
Tomerlin, J. R., & Howell, T. A. (1988). Distrain: A computer program for training people to estimate disease severity on cereal leaves. Plant Disease, 72(5), 455-459.
Vale, F. X. R., Fernandes Filho, E. I., & Liberato, J. R. (2003). QUANT. A software plant disease severity assessment. Christchurch, NZ: 8th International Congress of Plant Pathology .
Vivas, J. M. S., Silveira, S. F., Mussi-Dias, V., Santos, P. H. D., Ramos, G. K. S., Santos, P. R., & Almeida, R. N. (2020). Sensitivity of hyperparasitic fungi to alternative products for use in the control of papaya black spot. Brazilian Journal of Biology, 81(1), 27-37. DOI: https://doi.org/10.1590/1519-6984.214909
Vivas, J. M. S., Silveira, S. F., Santos, P. H. D., Carvalho, B. M., Poltronieri, T. P. S., Jorge, T. S., ... Morais, R. (2018). Antagonism of fungi with biocontrol potential of papaya black spot caused by Asperisporium caricae. Australian Journal of Crop Science, 12(5), 827-833. DOI: https://doi.org/10.21475/ajcs.18.2.05.PNE1073
Vivas, J. M. S., Silveira, S. F., Santos, P. H. D., Pinho, D. B., & Pereira, O. L. (2017). Selection of fungi with biocontrol potential against the black spot disease of papaya. Pesquisa Agropecuária Tropical, 47(4), 369-376. DOI: https://doi.org/10.1590/1983-40632017v4749178
Vivas, M., Silveira, S. F., Pio-Viana, A., Amaral-Júnior, A. T., Ferreguetti, G. A., & Pereira, M. G. (2015). Resistance to multiple foliar diseases in papaya genotypes in Brazil. Crop Protection, 71, 138-143. DOI: https://doi.org/10.1016/j.cropro.2015.02.007
Vivas, M., Terra, C. E. P. S., Silveira, S. F., Fontes, R. V., & Pereira, M. G. (2010). Escala diagramática para avaliação da severidade da pinta-preta em frutos de mamoeiro. Summa Phytopathologica, 36(2), 161-163. https://doi.org/10.1590/S0100-54052010000200010
Author notes
* Author for correspondence. E-mail: helenilsonuenf@gmail.com