FORRAGICULTURA
Aerobic stability in corn silage ( Zea mays L.) ensiled with different microbial additives
Estabilidade aerobica em silagem de milho ( Zea mays L.) ensilada com diferentes aditivos microbianos
Aerobic stability in corn silage ( Zea mays L.) ensiled with different microbial additives
Acta Scientiarum. Animal Sciences, vol. 39, no. 4, pp. 357-362, 2017
Editora da Universidade Estadual de Maringá - EDUEM
Received: 30 November 2016
Accepted: 10 May 2017
ABSTRACT.: This study aimed to assess different microbial additives, regarding the efficiency of aerobic stability in corn silages. The corn hybrid used for silages production was the DKB 310. The treatments consisted of: 1) control treatment without any microbial additive; 2) Treatment with LPPA composed of: Lactobacillus plantarum CCT 0580 3.1 x 1010 CFU g-1 and Propionibacterium acidipropionici CCT 4843 3.1 x 1010 CFU g-1; 3) Treatment with Inoculum, composed of Bacillus subtilis CCT 0089 3.0 x 109 CFU g-1, Lactobacillus plantarum CCT 0580 1.2 x 1010 CFU g-1 and Propionibacterium acidipropionici CCT 4843 1.5 x 1010 CFU g-1 and 4) Treatment LB, composed only of Lactobacillus buchneri CCT 3746 2.6 x 1010 CFU g-1. The experimental design was completely randomized with five replicates for each treatment. For the parameters evaluated daily, we used the split plot design, in which the different silages were assigned to the plots and the time of exposure to air was assigned to the subplots. There was no difference of additives on silage pH in any of the evaluation days. The control silage reached higher temperatures indicating greater vulnerability. All additives had no aerobic instability. Silages made with the use of microbial additives were effective in maintaining the aerobic stability.
Keywords: aerobiosis, silage, fermentation, nutritional quality.
RESUMO.: O objetivo deste trabalho foi avaliar diferentes aditivos microbianos, no tocante a eficiência da estabilidade aeróbia em silagens de milho. O híbrido de milho utilizado para cultivo e posterior confecção das silagens foi o DKB 310. Os tratamentos impostos às silagens foram: 1) Tratamento Controle, sem nenhum aditivo microbiano. 2) Tratamento com LPPA composto por: Lactobacillus plantarum CCT 0580 3,1x1010 UFC/g e Propionibacterium acidipropionici CCT 4843 3,1 x 1010 UFC g-1; 3) Tratamento com Inoculum, composto por: Bacillus subtilis CCT 0089 3,0 x 109 UFC g-1, Lactobacillus plantarum CCT 0580 1,2 x 1010 UFC g-1 e Propionibacterium acidipropionici CCT 4843 1,5 x 1010 UFC g-1 e 4) Tratamento LB, composto apenas por Lactobacillus buchneri CCT 3746 2,6 x 1010 UFC g-1. O delineamento experimental foi inteiramente casualizado, com cinco repetições para cada tratamento. Para os parâmetros avaliados diariamente, utilizou-se o esquema de parcelas subdivididas, em que os fatores das parcelas foram as silagens e o fator atribuído à subparcela, o tempo de exposição ao ar. Não houve diferença dos aditivos sobre o pH da silagem em nenhum dos dias de avaliação. A silagem controle atingiu valores de temperatura maiores indicando maior vulnerabilidade. Todos os aditivos não apresentaram instabilidade aeróbia. As silagens confeccionadas com uso dos aditivos microbianos foram eficientes em manter a estabilidade aeróbia.
Palavras-chave: aerobiose, ensilagem, fermentação, qualidade nutricional.
Introduction
Corn silage has been prominent in the world scenario as a roughage that is more used in feedlots, semi-feedlots or as a supplement in forage deficit periods because it presents good yield of green matter and low operational production cost (Pasa & Pasa, 2015). Due to its characteristics such as dry matter content between 30 and 35%, minimum content of 3% soluble carbohydrates in the original material and low buffering capacity, corn is considered a vegetable with high fermentation capacity, making it possible to obtain silages with high nutritional value and good acceptance by the animals (Pasa & Pasa, 2015).
Silages resulting from desirable fermentations usually contain high concentrations of lactic acid and soluble carbohydrates that can be used by undesirable microorganisms, thus presenting low aerobic stability after opening the silo (Muck, 2010). According to Kung et al. (2000), the aerobic stability can be defined as the time in hours for raising the temperature by 2°C in relation to the environment. In practice, the aerobic stability represents the resistance of the silage to the heating and the monitoring of the silage temperature is the most common indicative of the stability of the material after opening the silos.
The lower aerobic stability of silages, containing high content of lactic acid and soluble carbohydrates, occurs because microorganisms such as yeasts have the ability to use these compounds in aerobiosis as a substrate for the production of CO2, water and heat with consequent increase in pH of the mass allowing the growth of other undesirable microorganisms that are less tolerant to low pH such as filamentous fungi and spore-producing bacteria (Woolford, 1990).
In order to increase the aerobic stability of corn silages, it has been proposed the use of biological additives composed of heterofermentative microorganisms such as Lactobacillus buchneri and Propionibacterium acidipropionici (Danner, Holzer, Mayrhuber, & Braun, 2003).
A number of researchers (Ranjit & Kung, 2000; Filya, Sucu, & Karabulut, 2004; Tabacco, Piano, Revello-Chion, & Borreani, 2011; Silva et al., 2014) found better aerobic stability in corn silages with L. buchneri and P. acidipropionici, effect attributed mainly to acetic acid produced by these microorganisms during the fermentation of glucose and fructose (McDonald, Henderson, & Heron, 1991) and its deleterious effect on the metabolism of yeasts and filamentous fungi.
Thus, this study aimed to evaluate different microbial additives, regarding the efficiency of aerobic stability in corn silages.
Material and methods
The corn hybrid used for cultivation and subsequent silage production was the DKB 310. This was sown and grown at the JAE Ranch, in the municipality of Colorado, State of Paraná. The municipality is located 445 meters above sea level, latitude: 22°50’ 18” South, longitude: 51°58’25” West, located in the Northwest region of the State (Caiuá Sandstone). The planting was carried out between 11 and 15/02/14, for the purpose of harvesting the entire plant. At proper stage for the preparation of the silages, corn was harvested on 05/07/2014. After harvested and processed in a silage harvester, the material was immediately sent to the State University of Londrina to apply the additives and make the silages.
The experiment was carried out at the Laboratory of Analysis of Food and Animal Nutrition (Lana) and School Farm (Fazesc) of the State University of Londrina (UEL), Londrina, State of Paraná. The treatments imposed on the silages were: 1) Control Treatment, without any microbial additive (but with application of water to the same extent as the other silages); 2) Treatment with LPPA composed of Lactobacillus plantarum CCT 0580 3.1 x 1010 CFU g-1 and Propionibacterium acidipropionici CCT 4843 3.1 x 1010 CFU g-1; 3) Treatment with Inoculum, composed of: Bacillus subtilis CCT 0089 3.0 x 109 CFU g-1, Lactobacillus plantarum CCT 0580 1.2 x 1010 CFU g-1 and Propionibacterium acidipropionici CCT 4843 1.5 x 1010 CFU g-1 and 4) Treatment LB, composed only of Lactobacillus buchneri CCT 3746 2.6 x 1010 CFU g-1.
As experimental silos, we used 20 polyethylene buckets with 18 L capacity, closed with a plastic cap, sealed with adhesive tape and stored in a closed shed. The density of the ensiled material was determined by the volume of the vessel and the mass stored was 515.57 kg natural material (NM) m-3, with a mean particle size of 12.41 mm, as determined by the methodology described by Lammers, Buckmaster and Heinrinchs (1996) (Table 1).
After 60 days, the silos were opened. The top and bottom portions were discarded and then we collected the material for fungal and yeast counting. Microbiological assessments of the silages were conducted at the Laboratory of Food Analysis of the Department of Technology and Food Science of UEL, where 25 g fresh silage samples from each of the treatments were taken and diluted in 225 mL deionized water to prepare the aqueous extract. Aliquots (1 mL) of each dilution were pipetted into sterile Petri dishes (100 x 20 mm), preparing duplicate dishes for each dilution. Each dish was added with 15 mL dextrose potato agar, previously melted, cooled to 45°C and acidified to pH 3.5 ± 0.1 with 10% tartaric acid. Dishes were homogenized with gentle rotary 8-shaped movements, successively, for ten times. Afterwards, the mixture was solidified at room temperature and incubated inverted at 25°C for 72 hours for yeast counting, and kept up to 120 hours for fungal counts (Downes & Ito, 2001). The numbers of microorganisms present were counted as colony forming unit and expressed as logarithm in base 10. This procedure was repeated after the eighth day of exposure of silages to air.
| Silages | % particles retained on the sieve | Specific mass (kg m-3) | |||
| > 19 mm | 8 mm | 4 mm | 0 mm | ||
| L. plantarum and P. acidipropionici | 21.7 | 44.4 | 31.9 | 2.0 | 514.19 |
| Inoculum | 21.6 | 42.8 | 33.3 | 2.4 | 539.10 |
| L. buchneri | 29.6 | 42.0 | 26.9 | 1.3 | 506.00 |
| Control | 36.4 | 36.4 | 26.5 | 1.1 | 503.00 |
Immediately afterwards, we measured daily temperature in the silos and the environment (uncontrolled) at 8:00 a.m. and 4:00 p.m., with a digital immersion thermometer at the depth of 10 cm from the silage surface, without decompressing them. Also daily, pH determination was performed at the same time as temperature measurements. On the first day and on the last day, samples were taken for the determination of ammonia nitrogen (N-NH3/N-Total) and also dry matter (DM), crude protein (CP) and neutral detergent fiber (NDF), (Association of Official Analytical Chemistis [AOAC], 1995). The period of evaluation of the silages started after opening the silos and was extended during eight days of monitoring. The pH values were determined using a bench potentiometer (Tecnal®).
The experimental design was completely randomized, with five replicates for each treatment. For the parameters evaluated daily, we used the split plot design, in which the different silages were assigned to the plots and the time of exposure to air was assigned to the subplots. These data were subjected to regression analysis. The parameters evaluated only on the first and the eighth day after opening the silos were tested by analysis of variance and the means were compared by Tukey’s test at 5% significance. All statistical analyses were run using the SAS statistical software.
Results and discussion
There was a significant difference (p < 0.05) between the silages evaluated for dry matter, crude protein and ammonia nitrogen (N-NH3) (Table 2).
The silages that received additive had higher dry matter content at the end of the evaluation period compared to the silage without inoculant (Table 2). This result indicates that the microbial inoculants used were effective in controlling the activity of aerobic microorganisms after opening the silos. When exposed to the environment, the presence of oxygen stimulates the development of microorganisms that use lactic acid and soluble carbohydrates in the respiration, resulting in losses of dry matter (Woolford, 1990). Rabelo et al. (2012) and Silva et al. (2014) observed lower losses of dry matter for corn silages produced with the use of additives containing heterofermentative and homofermentative microorganisms in relation to silages without additives.
| Variables | L. plantarum and P. acidipropionici | Inoculum | L. buchneri | Control | CV (%) |
| DM(%NM) | 39.78a | 41.46a | 38.80a | 35.59b | 2.92 |
| CP (%DM) | 7.18ab | 7.05ab | 7.47a | 6.87b | 3.85 |
| N-NH3 (%total N) | 4.53b | 4.12b | 4.56b | 6.45a | 9.49 |
| NDF (%DM) | 48.96 | 48.10 | 49.54 | 48.00 | 4.85 |
| ADF (%DM) | 23.21 | 24.60 | 24.00 | 25.78 | 5.87 |
| OM (%DM) | 97.20 | 97.20 | 97.24 | 97.01 | 5.85 |
The control silage (without the use of additives) had the highest ammonia nitrogen content (6.45% total N). The lower the N- NH3 content in relation to the total nitrogen, the lower the proteolysis of the ensiled material and the better quality the silage will have.
In relation to the crude protein content of silages, the highest content was found for the silage in which the additive contained L. buchneri (7.47%) and the lowest content was observed for the silage without additive (6.87%). For the other silages, no statistical difference was detected for this parameter (Table 2). Silva et al. (2014) also verified higher CP content (7.27%) in the silage in which L. buchneri was used as an additive.
These results show that the use of microbial additives improved the preservation quality of silages after opening with respect to protein degradation.
According to Rezende et al. (2011), when silages are exposed to air, there may occur large changes in their composition. Among these changes, in addition to the increase in pH and temperature, stand out the multiplication of aerobic microorganisms and elevation of ammonia nitrogen, which may negatively interfere with animal performance.
The silage upon contact with the air after opening the silo, becomes a favorable environment for the development of aerobic microorganisms such as fungi and yeasts. These microorganisms use the nutrients present in the silages to grow. At this stage, protein degradation may occur through clostridial action. These bacteria deaminate the proteins in forage by releasing ammonia, among other compounds, contributing to the increase of N- NH3values. Therefore, all the additives were efficient in reducing the protein degradation of the silage, when compared to the control treatment. However, according to Oliveira et al. (2010), all values observed for N- NH3 in relation to total nitrogen are within the range considered acceptable to classify a silage as of good quality (up to 10% N- NH3/total N) and well preserved.
There was no difference (p > 0.05) in fungi and yeast counts in the silages, on the first and the eighth day after opening the silos (Table 3). Despite the high coefficient of variation observed for these variables, possibly resulting from the variation in the samplings, these results corroborate those found by Kung and Ranjit (2001), evaluating corn silages with the same microorganisms tested in the present experiment. Basso and Lara et al. (2012) found that inoculation of Bacillus subtilis at a concentration of 5 x 105 CFU g-1 forage controlled the growth of spoilage microorganisms and improved aerobic stability in corn silages after opening the silos.
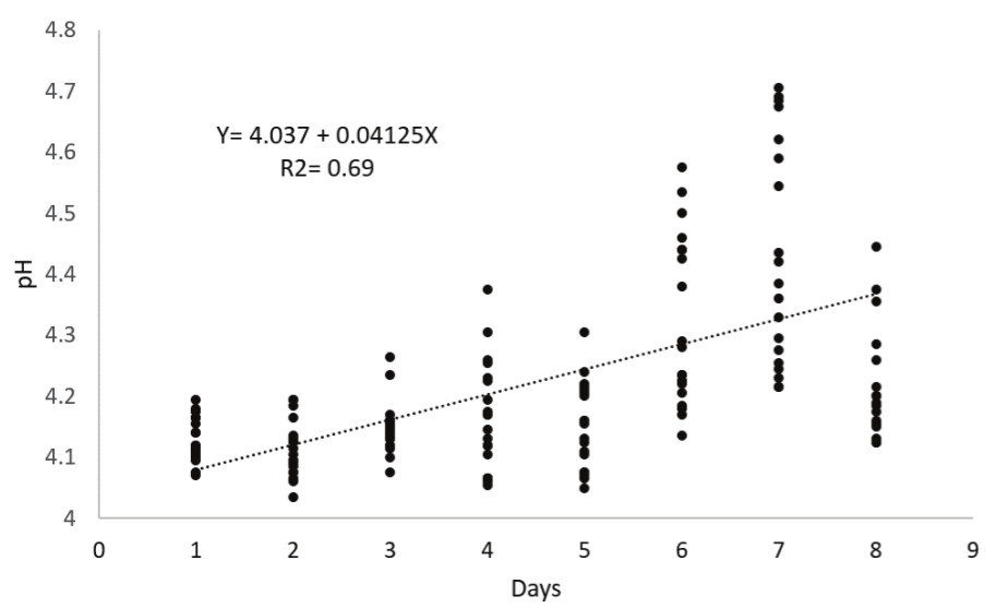
There were no effects (p > 0.05) of additives on the pH of the silage in any of the evaluation days after opening the silos. However, regardless of the additive used, there was a positive linear effect (p < 0.05) of the day after opening the silo on the silage pH (Figure 1). According to the regression equation obtained, it is estimated that there was an increase of 0.04 units in pH for each day elapsed after opening the silo. Despite the high dry matter content of silages (Table 2), the specific mass obtained with the compaction in the preparation of these (Table 1) is a relevant factor, favoring post-opening conservation along with the use of the additives. Increase in the silage pH with the days of exposure was also verified by Basso and Bernardes et al. (2012), with a variation from 3.95 on the day of opening the silos to 5.67 on the 12nd day of exposure.
The increase in pH after silage exposure to air is an important indicator of silage deterioration. The aerobic fermentation that takes place in the silages after opening the silo is carried out by the microorganisms that use as main substrates organic acids, such as lactic acid, soluble sugars and ethanol. Lactic acid is extremely important in reducing and maintaining the low pH of the silage for preservation. When microorganisms, mainly yeasts, come into contact with the air, they use this lactic acid causing an increase in pH (Kung & Ranjit, 2001).

There was a cubic effect of the evaluation days on the temperature of silages inoculated with Inoculum, L. buchneri and for the silage that did not receive any additive (Table 4). In turn, the temperature in the silage added with L. plantarum + P. acidipropionic showed a quadratic behavior (p < 0.05) as a function of days elapsed after opening the silo. According to the proposed regression equation, it can be estimated that the silage with this additive had a minimum temperature of 23.7(C, registered approximately one day after its opening.
These behaviors are possibly explained by the environmetal temperature variation that occurred on the days of evaluation of the silages. The temperature curves of silages decreased on the first day, coinciding with the drop in the environmetal temperature (Table 4). However, the increase in temperature over days is due to the enzymatic activity of the spoilage microorganisms, which release energy in the form of heat during the process of nutrient degradation (Velho et al., 2006).
The control silage reached temperature values higher than two of the three evaluated additives, indicating a greater vulnerability to the action of spoilage microorganisms and, consequently, the lower aerobic stability (Table 5).
| Variables (%) | Silages | Means | CV% | |||
| L. plantarum and P. acidipropionici | Inoculum | L. buchneri | Control | |||
| Day 1 CFU (x105) | 2.63 | 2.34 | 1.40 | 2.43 | 2.20 | 72.82 |
| Day 8 CFU (x108) | 2.59 | 2.46 | 1.66 | 1.25 | 1.99 | 78.54 |
| Silages | Regression | r2 | P-value | CV% |
| Control | 24.80238-1.63831 x + 0.50285 x2 - 0.03384 x3 | 0.93 | <0.001 | 1.36 |
| Inoculum | 24.65446-1.08018 x + 0.30242 x2 - 0.01799 x3 | 0.83 | <0.001 | 1.73 |
| L. buchneri | 24.68750- 1.17330 x + 0.30165 x2 - 0.01641 x3 | 0.79 | <0.001 | 2.09 |
| L. plantarum and P. acidipropionici | 23.73527 - 0.09673 x + 0.06042 x2 | 0.83 | <0.001 | 1.96 |
| Silages | ||||
| L. plantarum and P. acidipropionici | Inoculum | L. buchneri | Control | |
| Average environmetal temperature | 24.67 | 24.67 | 24.67 | 24.67 |
| Maximum temperature | 27.90 | 27.15 | 27.55 | 29.90 |
| Number of days for maximum temperature | 8.00 | 8.00 | 8.00 | 8.00 |
| Average pH | 4.21 | 4.22 | 4.22 | 4.23 |
| Maximum pH | 4.80 | 4.69 | 4.71 | 5.44 |
| Number of days for maximum pH | 7.00 | 6.00 | 7.00 | 8.00 |
| Days of exposure to air | 8.00 | 8.00 | 8.00 | 8.00 |
All the additives showed no aerobic instability, maintaining the silage temperatures close to the environmetal temperature (Table 5). Nonetheless, by checking the absolute numbers and following the biological curve generated by the equations (Figure 1) with respect to temperatures, silages with the additive L. buchneri were more efficient, followed by L. subtilis and L. plantarum + P. acidipropionici. Concerning pH, the silages with the use of additives presented interesting maximum values when compared to the control silage (5.44). Although these silages were not handled (daily withdrawal of superficial layers), they maintained the fermentative quality after the eight days of exposure to air.
Conclusion
The silages prepared with the use of microbial additives were efficient in maintaining the aerobic stability without damage in relation to the preservation of the material.
Acknowledgements
We thank the company Biomart Nutrição Animal, for the collaboration and participation in the development of this work
References
Association of Official Analytical Chemistis (AOAC). (1995). Official methods of analisys (16th ed., cap. 4, Animal feed). Washington, DC: AOAC.
Basso, F. C., Bernardes, T. F., Roth, A. P. T., Lodo, B. N., Berchielli, T. T., & Reis, R. A. (2012). Fermentation and aerobic stability of corn silage inoculated with Lactobacillus buchneri. Revista Brasileira de Zootecnia, 41(7), 1789-1794.
Basso, F. C., Lara, E. C., Assis, F. B., Rabelo, C. H. S., Morelli, M., & Reis, R. A. (2012) Características da fermentação e estabilidade aeróbia de silagens de milho inoculadas com Bacillus subtilis. Revista Brasileira de Saúde e Produção Animal, 13(4), 1009-1019.
Danner, H., Holzer, M., Mayrhuber, E., & Braun, R. (2003). Acetic acid increases stability of silage under aerobic conditions. Applied and Environmental Microbiology, 69(1), 562-567.
Downes, F. P., & Ito, K. (2001). Compendium of medthods for the microbiogical examination of foods (4th ed.). Washington, DC: American Public Health Association.
Filya, I., Sucu, E., & Karabulut, A. (2004). The effect of Propionibacterium acidipropionici, with or without Lactobacillus plantarum, on the fermentation and aerobic stability of wheat. Sorghum and maize silages. Journal Applied Microbiology, 97(1), 818-821.
Kung , Jr. L., & Ranjit, N. K. (2001). The Effect of Lactobacillus buchneri and Other Additives on the Fermentation and Aerobic Stability of Barley Silage. Journal of Dairy Science¸ 84(5), 1149-1155.
Kung , Jr. L., Robinson, N. K., Ranjit, J. H., Chen, C. M., Golt, J. D., & Pesed, J. D. (2000) Microbial populations, fermentation end-products, and aerobic stability of corn silage treated with ammonia or a propionic acid-based preservative. Journal of Dairy Science , 83(7), 1479-1486.
Lammers, B. P., Buckmaster, D. R., & Heinrinchs, A. J. (1996). A simple method for the analysis of particle size of forage and total mixed rations. Journal of Dairy Science , 79, 922-928.
McDonald, P., Henderson, A. R., & Heron, S. J. E. (1991). The biochemistry of silage (2nd ed.). Bucks, EN: Chalcombe.
Muck, R. E. (2010). Silage microbiology and its control through additives. Revista Brasileira de Zotecnia, 39(Suppl. Spe), 183-191.
Oliveira, L. B., Pires, A. J. V., Carvalho, G. G. P., Ribeiro, L. S. O, Almeida, V. V., & Peixoto, C. A. M. (2010). Perdas e valor nutritivo de silagens de milho, sorgo-sudão, sorgo forrageiro e girassol. Revista Brasileira de Zootecnia, 39(1), 61-67.
Pasa, C., & Pasa, M. C. (2015). Zea mays L. e a produção de massa seca. Biodiversidade, 14(3), 35-44.
Rabelo, C. H. S., Rezende, A.V., Nogueira, D. A., Rabelo, F. H. S., Senedese, S. S., Vieira, ... P. F. & Carvalho, A. (2012). Perdas fermentativas e estabilidade aeróbia de silagens de milho inoculadas com bactérias ácido-láticas em diferentes estádios de maturidade. Revista Brasileira de Saúde e Produção Animal , 13(3), 656-668.
Ranjit, N. K., & Kung, Jr. L.(2000). The effect of Lactobacillus buchneri, Lactobacillus plantarum or a chemical preservative on the fermentation and aerobic stability of corn silage. Journal of Dairy Science , 83(3), 526-535.
Rezende, A. V., Rabelo, C. H. S., Rabelo, F. H. S., Nogueira, D. A., Faria., Jr D. C. N. A., & Barbosa, L. A. (2011). Perdas fermentativas e estabilidade aeróbia de silagens de cana-de-açúcar tratadas com cal virgem e cloreto de sódio. Revista Brasileira de Zootecnia , 40(4), 739-746.
Silva, N. C., Santos, J. P., Ávila, C. L. S., Evangelista, A. R., Casagrande, D. R., & Bernardes, T. F. (2014). Evaluation of the effects of two Lactobacillus buchneri strains and sodium benzoate on the characteristics of corn silage in a hot-climate environment. Grassland Science, 60(3), 169-177.
Tabacco, E., Piano, S., Revello-Chion, A., & Borreani, G. (2011). Effect of Lactobacillus buchneri LN4637 and Lactobacillus buchneri LN40177 on the aerobic stability, fermentation products, and microbial populations of corn silage under farm conditions. Journal of Dariy Science, 94(11), 5589-5598.
Velho, J. P., Mühlbach, P. R. F., Genro, T. C. M., Sanchez, L. M. B., Nornberg, J. L., & Orqis, M. G. (2006). Alterações bromatológicas nas silagens de milho submetidas a crescentes tempos de exposição ao ar após ‘desensilagem’. Ciencia Rural, 36(3), 916-923.
Woolford, M. K. (1990). The detrimental effects o fair on silage. Journal of Applied Bacteriology, 68(1), 101-116.
Author notes
*Author for correspondence. E-mail: jrbumbieris@uel.br