ABSTRACT.: Heritability and direct and maternal genetic changes were estimated in Nellore cattle for the following traits: birth to weaning weight gain (BWG), weaning to yearling weight gain (YWG), weaning conformation (WC), weaning precocity (WP), weaning muscling (WM), yearling conformation (YC), yearling precocity (YP), yearling muscling (YM) and yearling scrotal circumference (SC). Direct and maternal heritability for weaning traits were 0.21±0.03 and 0.13±0.01 (BWG); 0.19±0.03 and 0.07±0.01 (WC); 0.22±0.03 and 0.07±0.01 (WP); 0.20±0.03 and 0.07±0.01 (WM), respectively. For yearling traits, direct heritability were 0.19±0.04 (YWG); 0.32±0.05 (YC); 0.37±0.05 (YP); 0.38±0.05 (YM) and 0.41±0.04 (SC). Positive and significant direct genetic changes (p < 0.05) were found for all traits, except for WC (p = 0.09), equal to 0.138 kg year-1 (BWG), 0.003 units year-1 (WC), 0.011 units year-1 (WP), 0.009 units year-1 (WM), 0.132 kg year-1 (YWG), 0.003 units year-1 (YC), 0.011 units year-1 (YP), 0.011 units year-1 (YM) and 0.020 cm year-1 (SC), indicating favorable genetic gains in the period. For weaning traits, we obtained negative and non-significant (p > 0.05) maternal genetic trends, with values of -0.084 kg year-1 (BWG), -0.004 units year-1 (WC), -0.004 units year-1 (WP) and -0.004 units year-1 (WM). Thus, greater emphasis should be given for maternal genetic merit of weaning traits in this population, if improvements in maternal ability were desirable.
Keywords: genetic progressgenetic progress,Nellore cattleNellore cattle,scrotal circumferencescrotal circumference,visual scoresvisual scores,weight gainweight gain.
ANIMAL BREEDING AND REPRODUCTION
Direct and maternal annual genetic changes for selected traits at weaning and yearling in beef cattle
Received: 24 April 2018
Accepted: 06 September 2018
In beef cattle, body weight traits measured at younger ages are easily obtained and have moderate to high heritability (Chud et al., 2014; Koury Filho et al., 2010), besides that they are considered good indicators of the animal growth potential at older ages (Baldi, Alencar, & Albuquerque, 2010). Until weaning, there is a great maternal influence on progeny performance, being a good period to obtain measures that allow anticipating the selection process, in addition to enabling the prediction of maternal ability. On the other hand, traits obtained later, such as post-weaning weight, allows analyzing the genetic growth potential of animals that is not directly influenced by maternal effects, representing a phase close to the final product (Cardoso, Cardellino, & Campos, 2004).
Other traits that have importance in beef cattle current evaluation refer to visual scores for carcass composition, finishing precocity and degree of muscle development. Selection based on these visual scores system can promote important genetic changes in body composition of animals (Faria et al., 2010). Furthermore, these traits present practical feasibility due to the large number of animals evaluated without requiring individual restraint and a low cost of implementation, favoring their use for selection.
Although the females’ reproductive traits are indicated as selection criteria, the scrotal circumference is widely used in breeding programs because it is associated with reproductive efficiency of males and females (Santana Júnior, Eler, Bignardi, & Ferraz, 2015; Silva et al., 2011; Terakado, Boligon, Baldi, Silva, & Albuquerque, 2015). Recent studies with Nellore animals suggest that the scrotal circumference obtained at younger ages could be a reasonable indicator of female puberty (Santana Júnior et al., 2015; Silva et al., 2011; Terakado et al., 2015), since the genetic parameters for scrotal circumference change according to the animal age at measurement (Boligon, Baldi, & Albuquerque, 2011). In addition, the bull selection is an efficient way of obtaining genetic progress due the higher selection intensity applied to males rather than females.
Genetic trend has been used in studies on several breeds as a statistical resource that allows monitoring the efficiency of selection procedures over time, for different traits (Chud et al., 2014; Holanda, Barbosa, Ribeiro, & Santoro, 2004; Laureano et al., 2011; Plasse et al., 2002). In addition to indicating the advantages and possible damages related to the selection methods adopted, the knowledge of the genetic changes of economic interest traits allows a better orientation in future decisions of directly selected traits, as well as of correlated traits. Thus, monitoring changes in genetic parameters and breeding values in each population is certainly decisive to bring support to beef cattle producers to select animals.
The objectives of this study were to estimate heritability and genetics changes (direct and maternal) for body weight gain, visual scores and scrotal circumference in Nellore cattle, assessing the adequacy of the genetic gain obtained for these traits in relation to the selection criteria adopted and providing information for future decision making on culling or selection.
Data from 598,773 Nellore animals routinely evaluated and selected at weaning and yearling were used to obtain genetic parameters and breeding values predictions of conformation, precocity and muscling visual scores at weaning (WC, WP and WM, respectively) and at yearling (YC, YP and YM, respectively), birth to weaning weight gain (BWG), weaning to yearling weight gain (YWG), and scrotal circumference at yearling (SC). The information analyzed came from animals born between 1995 and 2009, raised in extensive system, kept on tropical pastures, receiving salt and mineral supplementation and distributed in 261 different farms located in the Brazilian States of São Paulo, Mato Grosso, Mato Grosso do Sul, Tocantins, Bahia, Goiás and Minas Gerais.
The BWG was obtained by the difference between the weaning weight (about 210 days of age) and the birth weight, in kg. The YWG was defined as weight gain (in kg) from weaning to yearling (about 550 days of age), comprising gain over a period next to 340 days.
Conformation is a measure used to estimate the amount of meat in the carcass, considering the length and depth of the animal body and muscle development. Precocity represents the ability of the animal to store fat reserves, and is used to evaluate the capacity of the animal to reach a minimal degree of carcass finishing, with a low body weight. Muscling takes into account the muscle mass of the animal. These traits were evaluated by attributing visual scores ranging from 1 to 5, where 5 correspond to animals with the highest expression of each trait. The scores were attributed within each contemporary group at weaning and yearling by trained examiners. The SC was measured only once at yearling with an appropriate measuring tape, in centimeter.
Fixed effects of contemporary groups and covariates were included in the models for all evaluated traits. For BWG, WC, WP and WM, contemporary groups were formed by farm, year and season of birth, sex, weaning management group and weaning date (only for visual scores). For YWG, YC, YP, YM and SC, contemporary groups were formed by farm, year and season of birth, sex (except for SC), management group at weaning and yearling and yearling date (only for visual scores). The degree of connectedness among contemporary groups was assessed using the AMC software (Roso, Schenkel, & Miller, 2004), which showed that all herds were connected with a minimum of 41 direct genetic links among herds.
In modeling these traits, covariates considered for each trait were: visual scores and SC [animal age at recording and dam age at calving (linear and quadratic effects)]; BWG [days number of birth at weaning (linear effect) and dam age at calving (linear and quadratic effects)]; YWG [days number of weaning at yearling (linear effect) and dam age at calving (linear and quadratic effects)]. Direct additive genetic and residual effects, in addition to maternal additive genetic and maternal permanent environmental effects for weaning traits (BWG, WC, WP and WM), were included as random effects.
Four birth seasons were defined: 1 (January to March), 2 (April to June), 3 (July to September) and 4 (October to December). For all traits, (1) contemporary groups with less than 10 animals, (2) contemporary groups with single sire progenies, (3) records of animals with unknown sire or dam and (4) data exceeding 3.5 standard deviations above or below the overall mean of the trait (except for visual scores) were excluded. For visual scores were not observed contemporary groups without variability (i.e., in which all scores showed the same value). A general description of the data set used in this study is shown in Table 1.
Genetic parameters and breeding values were obtained by Bayesian inference, under an animal model and using the programs developed by Misztal (2002). A linear animal model was used for BWG, YWG and SC and a threshold model for visual scores.
The animal model can be described as follows:
where: y is a vector of observations; β is a vector of fixed effects (contemporary groups and covariates); a is a vector of random direct additive genetic effects; m is a vector of random maternal additive genetic effects; c is a vector of random maternal permanent environmental effects; X, Z1 , Z2 and W are the respective incidence matrixes related β, a, m and c to observations; and e is a vector of residual effects. The covariates between direct and maternal additive genetic effects were considered as non-zero. The β, a, m and c vectors are location parameters of a conditional distribution y | β, a, m, c. Uniform prior distributions were defined for fixed effects and thresholds (in threshold model). The scaled inverse Chi-squared distribution was assumed for the covariance matrices of the random effects. Thus, the distribution of y for traits with continuous distribution (BWG, YWG and SC), given the location and scale parameters, can be described as follows:
where: I is the appropriate identity matrix and (2e is the residual variance.
Under the threshold model, observation occurs as the result of an underlying unobserved continuous phenotype (liability, U) which is assumed to be normally distributed, this being represented as follows:
where: U is the vector of the base-scale of order r, θ’ = (β’, a’, m’, c’) is the vector of the location parameters of order s with β, and order s with a, m, and c, K is the known incidence matrix of order r by s. For categorical traits (WC, WP, WM, YC, YP and YM), the conditional probability (P) that yi being in category j (j = 1 to 5), for each i observation, is given by:
where: tj are four thresholds that define the five categories of response.
Analysis consisted of a single chain of 800,000 cycles, with a conservative burn-in period of 200,000 cycles and a thinning interval of 20 iterations. Thus, 30,000 samples were effectively used. Convergence was monitored by visual inspection of samples x iterations. In addition, the criteria proposed by Heidelberger and Welch (1983) and Geweke (1992) were used. The predicted breeding values were used to estimate the direct genetic trends (for all traits) and maternal genetic trends (for weaning traits). Genetic trends were calculated by regressing means of predicted breeding values of animals by their respective birth year (1995 to 2009). The t-statistic was used to test the hypothesis that the regression coefficient is equal to zero.
Direct heritability estimated for weaning traits showed similar values (Figure 1), with mean of 0.21 ± 0.03 (BWG), 0.19 ± 0.03 (WC), 0.22 ± 0.03 (WP) and 0.20 ± 0.03 (WM), indicating that selection based on these traits should provide improvements in productive performance of Nellore animals, leading to greater weight gain and body composition at weaning in the progenies. Similar results were reported by Araújo et al. (2010), Laureano et al. (2011) and Regatieri, Boligon, and Albuquerque (2011).
On the other hand, maternal heritability showed low magnitudes (Figure 2), with the same mean value estimated for WC, WP and WM (0.07±0.01) and 0.13±0.01 for BWG, suggesting that selection for maternal ability should provide at long-term benefits for weight gain of calves and visual scores at weaning. For Nellore cattle and same traits, Forni, Federici, and Albuquerque (2007) reported similar heritability to those obtained in this study.


Direct heritability distributions for yearling traits are illustrated in Figure 3. Despite the low heritability estimated for YWG (0.19 ± 0.04), it is expected that the use of sires with higher breeding values for this trait could improve the growth of progenies, reducing the time to obtain the minimum weight for slaughter. Similar estimate was reported by Laureano et al. (2011). For the other traits measured at yearling, the mean heritability (YC: 0.32 ± 0.05, YP: 0.37 ± 0.05, YM: 0.38±0.05, SC: 0.41 ± 0.04) indicated important influence of the direct additive genetic component. Therefore, yearling visual scores and SC are expected to respond favorably to direct selection.
The BWG improved genetically over the years in this population, with a total genetic gain of 2.07 kg in the 14 years evaluated, indicating that the selection decisions are providing favorable results for this trait. The mean of genetic change estimated for BWG was slightly lower than that reported by Laureano et al. (2011) for Nellore animals, with value of 0.186 kg year-1. On the other hand, Fernandes, Ferreira, and Rorato (2002) and Corrêa, Dionello, and Cardoso (2006) for Charolais and Devon breeds, respectively, reported annual genetic changes lower than the value estimated in this study, with values of 0.041 kg and 0.047 kg, respectively. Genetic variations and differences in the selection criteria adopted, including different weights for the traits included in the selection indices, contribute to obtain varied genetic gains among populations.
In the herds studied, the sires are selected at weaning based on an index weighted of 60, 8, 16 and 16% for direct genetic breeding values of BWG, WC, WP and WM, respectively. With respect to the visual scores traits, higher weights are applied to precocity and muscling, justifying the higher genetic gains obtained for these traits in relation to muscling. For Angus-Nellore Multibreed population, Araújo et al. (2010) reported mean genetic gains of 0.015, 0.013 and 0.010 units year-1 for conformation, precocity and muscling at weaning, respectively. Weber et al. (2009a) and Weber et al. (2009b) reported annual genetic gain of 0.005 units, 0.003 units and 0.004 units for visual scores of conformation, precocity, musculature, respectively, in the Aberdeen Angus breed. Forni et al. (2007), evaluating data from Nellore animals, found genetic trends of 0.013, 0.022 and 0.018 units year-1 for visual scores of conformation, precocity and musculature, respectively, representing an annual increase of 0.42, 0.67 and 0.60% of the phenotypic mean.
Although the maternal genetic trend obtained for weaning traits presented negative values (Figure 5), the reduction in the means of maternal breeding values predicted during the studied period was not significant (p > 0.05). Considering the entire period evaluated (1995 to 2009), declines in maternal genetic potential represented 1.260 kg for BWG and 0.06 units for WC, WP and WM. However, in the last five years, a stability or increase in the means of the maternal breeding values predicted for these traits was visually observed (Figure 5), mainly for BWG.



The selection index used in the studied herds does not incorporate breeding values for maternal genetic effect, which may have contributed to non-significant genetic maternal gains in the period. Thus, in beef cattle genetic evaluation programs, direct and maternal additive genetic effects should be considered for traits measured until weaning, avoiding that part of the genetic gain obtained in one generation to be canceled in the next years by the reduction in maternal ability due to the negative association between these two genetic components (Eler, Lôbo, & Duarte, 1989). According to Boligon, Pereira, Ayres, and Albuquerque (2012), problems on the data structure and insufficiency pedigree information may affect the covariance estimated between direct and maternal genetic effects.
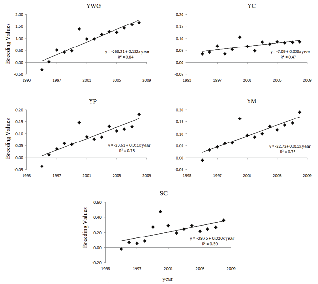
For all yearling traits, the genetic gains were positive and significant (p < 0.05) (Figure 6), which represented increases of 0.15, 0.10, 0.36, 0.36 and 0.08% year-1 of the phenotypic mean of YWG, YC, YP, YM and SC, respectively. Favorable genetic gains and with different magnitudes are expected in this population, since the breeding values predicted for these traits with different weights are considered in the selection index applied at yearling.
According to the current estimate of average annual genetic change in SC, although favorable, this trait presented reduced genetic progress during the evaluated period, comprising 0.280 cm (Figure 6). Considering the economic importance that reproductive performance represents in beef herds, greater emphasis could be given to reproductive efficiency with the inclusion of other traits in the selection, as females’ reproductive measurements. The annual mean genetic change obtained in the present study for SC was close to the value of 0.04% reported for the same trait by Laureano et al. (2011). Similarly, Moreira et al. (2015) described genetic gain of 0.025 and 0.034 cm year-1 for scrotal circumference at 365 and 450 days of age, in Nellore herds. Evaluating animals of Guzerat breed, Grupioni, Guidolin, Venturini, Lôbo, and Munari (2015) reported a favorable and significant genetic increase for scrotal circumference measured at 365 and 450 days of age, with gains of 0.040 and 0.020 cm year-1, respectively, which could be due to direct selection process, since these traits are considered in the index used.
In general, although the genetic gains obtained are numerically low, genetic progress must be considered, since genetic changes are cumulative and permanent over the generations. However, genetic changes may not be expressed phenotypically due to different rearing environments over the years. In addition, improvements in maternal ability could be obtained with the selection also based on maternal breeding values predicted for weaning economical traits.


Weight gains, visual scores and scrotal circumference showed genetic variation in the studied population and should respond to selection, but in different magnitudes. Positive and favorable direct genetic changes were obtained for the traits measured at weaning and yearling, indicating genetic gain in the evaluated period. No genetic changes were found for maternal breeding values over the years for weaning traits (weight gain and visual scores).
* Author for correspondence. E-mail: arioneboligon@yahoo.com.br






