NONRUMINANT PRODUCTION
Adjusting weight growth curve of male quails Coturnix japonica reared in the semi-arid region of the State of Pernambuco
Adjusting weight growth curve of male quails Coturnix japonica reared in the semi-arid region of the State of Pernambuco
Acta Scientiarum. Animal Sciences, vol. 41, e42563, 2019
Editora da Universidade Estadual de Maringá - EDUEM
Received: 23 April 2018
Accepted: 14 June 2018
ABSTRACT.: This study adjusted different regression models to describe the growth pattern of meat quails from birth to 42 days of age. Data of 300 male quails were used. Weight and height information of all quails were collected weekly from the 1st to the 42nd day of age. Body weight of poultry was subjected to the polynomial, logistic, Gompertz, Weibull, and log-normal regression models. The criteria used to choose the best model to explain the growth curve of quails were the coefficient of determination of the model, Akaike’s information criterion, sum of squared residuals and Willmott’s index. For all the models used, the variables age and height were significant to explain the weight of quails. The polynomial (R² = 99.99%, AIC = 24.68, SSR = 27.5, d = 0.9999) and log-normal (R² = 99.60%, AIC = -17.5, SSR = 107.15, d = 0.9989) models presented the best fit criteria and were recommended to explain the growth of quails.
Keywords: modelling, poultry, regression model.
Introduction
Coturniculture is a branch of poultry farming that has been highlighting in recent years (Drumond et al., 2013). The quail is still little studied resulting in a great shortage of information regarding genetics, nutrition and management. The main phenotypic characteristic of commercial interest in meat quail farming is body weight, which has medium to high heritability mainly during the growth phase (Knížetová, Hyánek, Hyankova, & Bělíček, 1995). Japanese quails are excellent laying, but males have been studied for meat production (Raji, Mbap, & Aliyu, 2014; Rocha-Silva et al., 2016).
The curve that describes a sequence of measurements of a particular characteristic of a species or individual as a function of time, usually weight, height, diameter, length is called growth curve. This type of curve generally presents exponential or sigmoidal growth form (S- shaped) (Lucena, 2017). The study of growth by means of fits of a function that describes a period of life of animal, relating weight and age, has been researched by several authors (Macedo et al., 2014; Morais et al., 2015; Teixeira et al., 2012b). Data analyses of repeated measures are of fundamental importance in animal production and are analyzed over several conditions such as: weather, climate and air humidity (Freitas, 2005). Several models (Brody, Logistic, Gompertz, Von Bertalanffy, Gamma and cubic polynomial) have been proposed to explain the biological growth of animals (Lucena, 2017; Lucena, Holanda, Holanda, & Sousa, 2017; Nascimento, Ribeiro, Rocha, & Lucena, 2017; Souza et al., 2011).
In poultry farming, stands out the studies of Lucena et al. (2017), Michalczuk, Damaziak, and Goryl (2016) and Selvaggi, Laudadio, Dario, and Tufarelli (2015) observed that the logistic, Gompertz and Richard models were most adequate to explain the weight growth of broiler poultry. Liu, Li, Li, and Lu (2015), Zhao et al. (2015), Al-Samarai (2015) and Mohammed (2015) suggested the Gompertz and logistic models best adequate to explain the weight of poultry. Eleroğlu, Yıldırım, Şekeroğlu, Çoksöyler, and Duman (2014) verified that logistic model was more suitable to explain the weight of poultry reared in organic systems. On the other hand, in coturniculture, stands out the works of Narinc, Karaman, Firat, and Aksoy (2010), Mota et al. (2015) and Rocha-Silva et al. (2016), in which they verified that Gompertz model was indicated as the most suitable to explain the weight growth of quails. Mota et al. (2015) observed that the logistic model was the most weight growth to explain the weight of quails. Raji et al. (2014) observed that the model most suited to explain the weight growth of quails was Weibull. Drumond et al. (2013) verified that the logistic and Gompertz models presented the best results to explain the growth of male and female quails. Bonafé et al. (2011) and Teixeira et al. (2012a) verified that the weight growth of quails can be explained by Legendre polynomial models.
The present study aimed to evaluate the weight growth of quails from 1 to 42 days of age by fitting regression models.
Material and methods
The research was conducted from November 1st to December 13rd, 2017 by the Group of Studies on Pig and Poultry (GESA) of Federal Rural University of Pernambuco (UFRPE), Academic Unit of Serra Talhada (UAST), located in themunicipality of Serra Talhada, Microregion of Sertão do Pajeú, Meso-region of Sertão Pernambucano.
The study sample is composed of 300 male Japanese quail. Seven evaluations (1, 7, 14, 21, 28, 35 and 42 days after the birth of quails) of weight and height were performed as shown in Figure 1.

At birth, the poultry were individually identified, weighed and randomly transferred to the boxes. Quails were housed in ten boxes (replicates) of dimensions 2.00 x 2.00 m, with 30 birds per box. They were reared on concrete floor with shaving litter, and artificial heating by with 250W infrared lamps until 21 days of age. The quails were given water and diet at will throughout the experimental period.
The quails received one type of diet, one up to 42 days, a diet with an average of 22% crude protein (CP) and 2900 kcal kg-1 metabolizable energy (ME), according to recommendations of nutritional requirements, Table 1.
The regression models listed in Table 2 were initially proposed to explain the average weight of quails according to their average lifetime and height.
The models were evaluated by the following criteria: coefficient of determination of model (R²), Akaike’s information criterion (AIC), by sum of squared residuals (SSR) and by Willmott’s index (d). Be Y i the value of i-th weight after fitting of model, then the sum of squared residuals for this study is defined by the following expression:
| Ingredients | Food Composition |
| 1 to 42 days | |
| Corn | 57.3354 |
| Soybean meal (46%) | 37.9859 |
| Limestone | 1.1569 |
| Bicalcium phosphate | 1.4509 |
| Salt | 0.3475 |
| DL-methionine (99%) | 0.1671 |
| Soy oil | 1.3140 |
| Vitini-birds¹ | 0.1000 |
| Min-birds² | 0.1000 |
| L-Threonine (98%) | 0.0403 |
| Total | 100.00 |
| Calculated composition | |
| CP (%) | 22.0000 |
| ME (Mcal/kg) | 2.900 |
| Calcium (%) | 0.900 |
| Disp. phosphorus (%) | 0.375 |
| Crude Fiber (%) | 3.366 |
| Digestible Arginine birds (%) | 1.422 |
| Digestible Histidine (%) | 0.549 |
| Digestible Isoleucine (%) | 0.878 |
| Digestible Leucine (%) | 1.774 |
| Digestible Lysine (%) | 1.180 |
| Digestible Met+Cis (%) | 0.775 |
| Digestible Methionine birds (%) | 0.480 |
| Digestible Phenylalanine (%) | 1.020 |
| Digestible Phenyl + Tyrosine (%) | 1.719 |
| Digestible Threonine (%) | 0.790 |
| Digestible Tryptophan (%) | 0.254 |
| Digestible Valine (%) | 0.921 |
| Ether Extract (%) | 3.800 |
| Sodium (%) | 0.176 |
| Regression models | Equation |
| Polynomial | |
| Gompertz | |
| Logistic | |
| Weibull | |
| Log-normal |
The coefficient of determination of the model (R²) is expressed by the ratio between the sum of square of model (SSM) and sum of square of total (SST), that is,
The Akaike’s information criterion (AIC) defined by Akaike (1974) is given by:
where, is the maximum likelihood function, defined as the product of density function and p is the number of model parameters.
The index d defined by Willmott (1981) is given by:
where, is the mean weight of quails (Yi).
Results and discussion
Figure 2 showed that logistic model was very accurate up to the 35 days of age of quails, at 42 days, the model began to underestimate the weight of quail. The logistic model presented a high explanatory power (R² = 99.96%), low AIC = -18.78 and high Willmott index (d = 0.9981, Table 3). Similar results were reported by Mota et al. (2015) studying laying and meat quails, males and females, of different genetic groups found a R² higher than 95% and AIC higher than 270.
In the evaluation of Gompertz regression model, we verified that the model did not present good adjustments in relation to the weights observed, Figure 3. The Gompertz model presented R² = 99.81%, AIC = -15.48, SSR = 215.61 and d = 0.9979 (Table 3). Drumond et al. (2013) studying female meat quails fed diets containing 25% crude protein and 2900 kcal metabolizable energy and found R² higher than 97.61%, Rocha-Silva et al. (2016) evaluating meat quails of the LF1 lineage verified R² higher than 92% and AIC higher than 132; while Narinc et al. (2010) evaluating Japanese quails fed a diet containing 24% crude protein and 3000 kcal metabolizable energy verified R² = 99.99% and AIC = -2.01. These results corroborate the findings of this research.

| Regression Models | Equation | Goodness of fit criteria | |||
| R² | AIC | SSR | d | ||
| Polynomial | Yi = | 99.99 | 24.68 | 27.5 | 0.9999 |
| Gompertz | Yi = | 99.81 | -15.48 | 215.61 | 0.9979 |
| Logistic | Yi = | 99.96 | -18.78 | 190.14 | 0.9981 |
| Weibull | Yi = | 99.39 | -17.20 | 164.07 | 0.9985 |
| Log-normal | Yi = | 99.60 | -17.50 | 107.15 | 0.9989 |
The Weibull regression model did not present good adjustments in relation to the weight of quails (Figure 4). The Weibull regression model presented a high coefficient of determination (R² = 99.39%) and index d = 0.9985, low AIC = -17.20 and smaller SSR = 164.07 compared to logistic and Gompertz models (Table 3). Raji et al. (2014), studying Japanese quails fed a diet containing 23% crude protein and 3000 kcal metabolizable energy, observed that the Weibull model presented a R² value of 99.9% and AIC higher than 471.

The log-normal regression model showed good adjustments of quail weight when compared to observed values of quail weight throughout the evaluated period (Figure 5). The log-normal model presented a high R² = 99.60%, low AIC = -17.50, SSR = 107.15 (lower than the logistic, Gompertz and Weibull models) and index d = 0.9989 (larger than the logistic, Gompertz and Weibull models, Table 3).
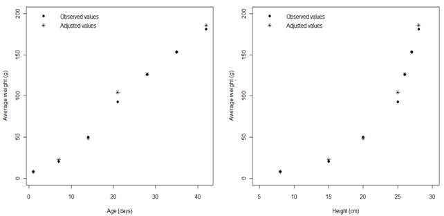
The polynomial regression model presented similar adjustments to observed weights of quails for all evaluation periods (Figure 6). The polynomial regression model presented high explanatory power (R² = 99.99%), low AIC = -24.68 and SSR = 2.5 and greater Willmott index (d = 0.9999) than the other models evaluated (Table 3). Similar results were found by Bonafé et al. (2011) and Teixeira et al. (2012a) who studied mating of cut quails belonging to the genetic groups UFV1 and UFV2.



Conclusion
The evaluation of the four goodness of fit criteria indicated that the model best fit to explain the behavior of quail’s weight in relation to age and height of the birds was the polynomial regression model followed by log-normal model.
References
Akaike, H. (1974). A new look at the statistical model identification. Automatic Control, IEEE Transactions on Automatic Control, 19(6), 716-723. doi: 10.1109/TAC.1974.1100705.
Al-Samarai, F. R. (2015). Growth curve of commercial broiler as predicted by different nonlinear functions. American Journal of Applied Scientific Research, 1(2), 6-9. doi: 10.11648/j.ajasr.20150102.11.
Bonafé, C. M., Torres, R. A., Sarmento, J. L. R., Silva, L. P., Ribeiro, J. C., Teixeira, R. B., ... Sousa, M. F. (2011). Modelos de regressão aleatória para descrição da curva de crescimento de codornas de corte. Revista Brasileira de Zootecnia, 40(4), 765-771. doi: 10.1590/S1516-35982011000400009.
Drumond, E. S. C., Moreira, J., Veloso, R. C., Pires, A. V., Amaral, J. M., Gonçalves, F. M., & Balotin, L. V. (2013). Curvas de crescimento para codornas de corte. Ciência Rural, 43(43), 1872-1877. doi: 10.1590/S0103-84782013001000023.
Eleroğlu, H., Yıldırım, A., Şekeroğlu, A., Çoksöyler, F. N., & Duman, M. (2014). Comparison of growth curves by growth models in slow-growing chicken genotypes raised the organic system. International Journal of Agriculture and Biology, 16(3), 529-535. doi: 13-143/2014/16-3-529-535.
Freitas, A. R. (2005). Curvas de crescimento na produção animal. Revista Brasileira de Zootecnia , 34(3), 786-795. doi: 10.1590/S1516-35982005000300010.
Knížetová, H., Hyánek, J., Hyankova, L., & Bělíček, P. (1995). Comparative study of growth curves in poultry. Genetics Selection Evolution, 27(4), 365. doi: 10.1186/1297-9686-27-4-365.
Liu, X. H., Li, X. L., Li, J., & Lu, C. X. (2015). Growth curve fitting of Bashang long-tail chicken during growth and development. Acta Agriculture Zhejiangensis, 27(5), 746-750. doi: 10.3969/j.issn.1004-1524.2015.05.07
Lucena, L. R. R. (2017). Ajustes de curvas de crescimento de peso simulados de caprinos de diferentes raças. Agrarian Academy, 4(7), 1-13. doi: 10.18677/Agrarian_Academy_2017a1.
Lucena, L. R. R., Holanda, M. A. C., Holanda, M. C. R., & Sousa, A. A. (2017). Ajuste de modelos de regressão lineares, não lineares e sigmoidal no ganho de peso simulado de frangos de corte. Agrarian Academy , 4(8), 34-45. doi: 10.18677/Agrarian_Academy_2017b4.
Macedo, L. R., Silva, F. F., Cirillo, M. Â., Nascimento, M., Paixão, D. M., Guimarães, S. E. F., ... Azevedo, C. F. (2014). Modelagem hierárquica Bayesiana na avaliação de curvas de crescimento de suínos genotipados para o gene halotano. Ciência Rural , 44(10), 1853-1859. doi: 10.1590/0103-8478cr20131278.
Michalczuk, M., Damaziak, K., & Goryl, A. (2016). Sigmoid models for the growth curves in medium-growing meat type chickens, raised under semi-confined conditions. Annals of Animal Science, 16(1), 65-77. doi: 10.1515/aoas-2015-0061.
Mohammed, F. A. (2015). Comparison of three nonlinear functions for describing chicken growth curves. Scientia Agriculturae, 9(3), 120-123. doi: 10.15192/PSCP.SA.2015.9.3.120123.
Morais, J., Ferreira, P. B., Jacome, I. M. T. D., Mello, R., Breda, F. C., & Rorato, P. R. N. (2015). Curva de crescimento de diferentes linhagens de frango de corte caipira. Ciência Rural , 45(10), 1872-1878. doi: 10.1590/0103-8478cr20130867.
Mota, L. F. M., Alcântara, D. C., Abreu, L. R. A., Costa, L. S., Pires, A. V., Bonafé, C. M., ... Pinheiro, S. R. F. (2015). Crescimento de codornas de diferentes grupos genéticos por meio de modelos não lineares. Arquivo Brasileiro de Medicina Veterinária e Zootecnia, 67(5), 1372-1380. doi: 10.1590/1678-4162-7534.
Narinc, D., Karaman, E., Firat, M. Z., & Aksoy, T. (2010). Comparison of non-linear growth models to describe the growth in Japanese quail. Journal of Animal and Veterinary Advances, 9(14), 1961-1966. doi: 10.3923/javaa.2010.1961.1966.
Nascimento, C. A. M. S., Ribeiro, N. M., Rocha, L. L., & Lucena, L. R. R. (2017). Avaliação de curvas de crescimento em suínos. Archivos de Zootecnia, 66(255), 317-323. doi: 10.21071/az.v66i255.2506.
Raji, A. O., Mbap, S. T., & Aliyu, J. (2014). Comparison of different models to describe growth of the japanese quail (Coturnix japonica). Trakia Journal of Sciences, 2(2), 182-188.
Rocha-Silva, M., Araujo, C. V., Pires, A. V., Paula, E. J. H., Ferreira, E. B., & Silva, F. G. (2016). Curva de crescimento de codornas de corte por meio de modelos de regressão não-lineares. Archives of Veterinary Science, 21(4), 26-34. doi: 10.5380/avs.v21i4.41571.
Selvaggi, M., Laudadio, V., Dario, C., & Tufarelli, V. (2015). Modelling growth curves in a nondescript Italian chicken breed: An opportunity to improve genetic and feeding strategies. The Journal of Poultry Science, 52(4), 288-294. doi: 10.2141/jpsa.0150048.
Souza, L. A., Carneiro, P. L. S., Malhado, C. H. M., Paiva, S. R., Caires, D. N., & Barreto, D. L. F. (2011). Curvas de crescimento em ovinos da raça morada nova criados no estado da Bahia1. Revista Brasileira de Zootecnia , 40(8), 1700-1705. doi: 10.1590/S1516-35982011000800011.
Teixeira, B. B., Euclydes, R. F., Teixeira, R. B., Silva, L. P., Torres, R. A., Lehner, H. G., ... Crispim, A. C. (2012a). Modelos de regressão aleatória para avaliação da curva de crescimento em matrizes de codorna de corte. Ciência Rural , 42(9), 1641-1647. doi: 10.1590/S0103-84782012000900020.
Teixeira, M. C., Villarroel, A. B., Pereira, E. S., Oliveira, S. M. P., Albuquerque, Í. A., & Mizubuti, I. Y. (2012b). Curva de crescimento de cordeiros oriundos de três sistemas de produção na Região Nordeste do Brasil. Semina: Ciências Agrárias, 33(5), 2011-2018. doi: 10.5433/1679-0359.2012v33n5p2011.
Willmott, C. J. (1981). On the validation of models. Physical Geography, 2(2), 184-194. doi: 10.1080/02723646.1981.10642213.
Zhao, Z., Li, S., Huang, H., Li, C., Wang, Q., & Xue, L. (2015). Comparative study on growth and developmental model of indigenous chicken breeds in China. Open Journal of Animal Sciences, 5(2), 219-223. doi: 10.4236/ojas.2015.52024.
Author notes
* Author for correspondence. E-mail: leandroricardo_est@yahoo.com.br