AQUICULTURE
Ploidy influences on metabolic substrate deposition of rainbow trout
Ploidy influences on metabolic substrate deposition of rainbow trout
Acta Scientiarum. Animal Sciences, vol. 42, e44580, 2020
Editora da Universidade Estadual de Maringá - EDUEM
Received: 18 September 2018
Accepted: 06 May 2019
ABSTRACT. : Triploid fish are usually sterile. Thus, the energy and nutrients intended for sexual maturation may be available to enhance flesh quality and physical growth. The present study aimed to investigate differences in the metabolic substrates, lipids and proteins, between storage tissues from diploid and triploid female rainbow trout. Monthly, metabolic substrates were quantified in liver, muscle, and ovaries, which were collected during the first reproductive cycle. In general, it was possible to identify a seasonal and similar deposition of metabolites in different tissues of 2n and 3n females, mainly at early stages of gonadal maturation. However, from the stages 5-6, the ovaries showed great differences between ploidies, with higher concentration of lipids and protein in 2n females. This result reflects the incorporation of vitellogenin in oocytes, which is a process that does not occur in 3n females. It was possible to observe seasonal hepato-somatic index changes in 2n females, with higher values observed in the post-ovulatory stage, and the triploid animals showed lower values compared to 2n, with no seasonal difference. Viscero-somatic index can reflect the mobilization of substrates, with higher values found for 2n females in stage 5-6, which is the period of active mobilization of tissue substrates.
Keywords: metabolism, reproduction, triploidy, somatic indexes, Oncorhynchus mykiss.
Introduction
Triploidy induction in fish has been used to avoid problems associated with sexual maturation, such as decrease in growth rates and carcass yield, as well as deterioration of sensorial properties of the flesh (Manor, Cleveland, Weber, & Kenney, 2015). Triploid fish are usually sterile, thus, the energy and nutrients intended for sexual maturation may be available to enhance flesh quality and physical growth (Penman, 2004).
The reproductive cycle of teleost fish is controlled by the brain-pituitary-gonad axis hormone regulation. It includes the rearrangement of metabolic reserves and shifts in the composition of the energetic substrates in muscle, adipose tissue, and liver. This process occurs due to a mobilization towards the gonads, especially in females, in which the hepatic metabolism is stimulated during vitellogenesis (Taranger et al., 2010).
Tabata, Rigolino, and Tsukamoto (1999) reviewed differences in growth performance between diploid and triploid trout during the reproductive cycle. However, the metabolic processes involved in different tissues are still poorly understood. Some recent data showed that the lack of ovary development in triploid trout altered the hepatic synthesis of some fatty acids, mainly the monounsaturated and polyunsaturated, and consequently the mobilization of these specific fatty acids to the ovaries (Ribeiro et al., 2012). These data suggest a different pattern of energetic substrate mobilization in female triploid trout throughout the year. Therefore, the objective of the present study was to investigate the dynamics of metabolic substrates usually involved in vitellogenesis, between storage tissues of diploid and triploid female trout during their first reproductive cycle.
Material and methods
Experimental animals and rearing conditions
Diploid (2n) and triploid (3n) Oncorhynchus mykiss used in this study were produced and reared at Experimental Trout Hatchery, in Campos do Jordão, São Paulo State, and the biochemical analyses were performed at the Laboratory of Metabolism and Reproduction of Aquatic Organisms from São Paulo University, São Paulo, Brazil. The induction of triploidy was performed with heat shock at 28°C, applied 10 minutes after the activation of the eggs with water at 10°C for 20 min (Tabata et al., 1999). The certification of triploidy was done by measuring the length of the major axis of the erythrocytes (Benfey, Dye, Solar, & Donaldson, 1989).
The 2n (n = 30) and 3n (n = 30) females were in their first reproductive cycle, and they were reared separately in two 5m3 tanks (10.0 x 1.0 x 0.5m) under natural photoperiod conditions. Each tank was independently supplied with water flow at the surface (1~ 2 exchanges h-1). The water temperature ranged from a minimum of 8°C in July to a maximum of 19°C in December. The dissolved oxygen content of the water ranged from 7.3 to 9.0 mgL-1, and the stocking density was kept at 15 kgm-3. The trial was conducted from 2008 to 2009, and during this time, the fish were fed twice a day to satiation with commercial extruded feed containing crude protein of 45.7±0.85%, total lipids of 12.0±1.16%, ash of 12.1±0.66%, and carbohydrate content of 20.6±1.72%. These analyses were performed according to Association of Official Analytical Chemists (AOAC, 2010).
Sampling Procedures of biological materials
Samples of five fishes were collected monthly, from July of 2008 to June of 2009. The animals were anesthetized in solution of benzocaine (0.1 g L-1), and the euthanized by dissection of the cervical spinal cord. Afterwards, ponderal and morphometric data were recorded (2n: 1442.7 g ± 97.17 in weight and 44.5 cm ± 0.90 in total length; 3n: 1344 g ± 75.77 in weight and 44.6 cm ± 0.88 in total length). After dissection, the liver, ovaries, and viscera were weighed to calculate, respectively, the hepato-somatic index (HSI) - [HSI = (liver weight total weight-1). 100], gonado-somatic index (GSI) - [GSI = (gonad weight total weight-1). 100], and viscero-somatic index (VSI) - [VSI = (weight of viscera (despising the weight of gonads) total weight-1). 100], which express the percentage these tissues represent in relation to the animal’s body mass. Subsequently, the ovaries were examined and classified macroscopically, following Bromage and Cumaranatunga (1988) method, which is presented in Table 1. Then, samples of liver, white muscle from the antero-dorsal region, and ovaries were collected, frozen, and stored at -80°C until analysis.
| Stages | Months |
| Stage 1-3: Primary growth | February |
| Stage 4: Vesicle stage (Primary vitellogenesis) | April |
| Stage 5-6: True vitellogenesis | June |
| Stage 7: Maturation/ovulation | July |
| Post-Ovulatory | August |
| Recovery | December |
Energetic substrate analyses
Total lipids from liver, muscle, and ovaries were extracted with a chloroform-methanol-water (2:1:0.5) solution (Folch, Lees, & Sloane-Stanley, 1957). The lipid determination followed Frings, Fendley, Dunn, and Queen (1972). Total lipids were determined with a spectrophotometer at 540 nm using a cod liver oil methyl ester (Sigma Diagnostics INS, St. Louis, MO) as a standard curve.
Tissue proteins were measured following Lowry, Rosebrough, Farr and Randal (1951); and for precipitation and solubilization we followed Milligan and Girard (1993). Total protein was determined with a spectrophotometer at 660 nm using bovine serum albumin (Sigma Diagnostics INS, St. Louis, MO) as a standard curve.
Statistical analysis
The somatic indexes, protein and lipid content of storage tissues were compared during the reproductive cycle in 2n and 3n females through analysis of variance (one-way ANOVA), followed by Tukey’s Test. The differences among groups were analyzed using Student’s t-test. In all analyses, differences were significant when p < 0.05. These analyses were performed using the statistical software BIOSTAT version 8.0, and the data were expressed as mean ± standard error of the mean (M ± S.E.). Additionally, correlation analyses were performed between the somatic indexes and protein and lipid contents by Pearson Correlation Test (BioStat Statistical Program, version 8.0); positive and negative values followed Cohen (1988), in which: weak correlation:0.1-0.29, moderate correlation: 0.3-0.49, and strong correlation: 0.5-1.0.
Results
Biometric parameters
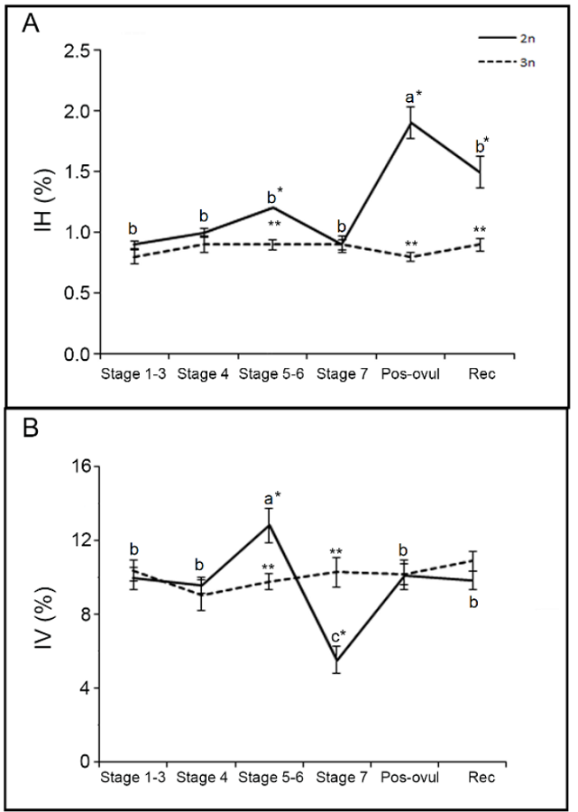
Somatic indexes differed significantly throughout the reproductive cycle in 2n females, but the 3n females remained the same (Figure 1 A-B). Diploid females showed a great increase in HSI values at the post-ovulatory stage in comparison to other maturation stages of the reproductive cycle (p < 0.05; Figure 1A). The HSI was higher in 2n than 3n females at 5-6, post-ovulatory, and recovery stages (p = 0.002, p < 0.001, and p = 0.002, respectively; Figure 1A). The VSI in 2n females was higher at the 5-6 stage than other maturation stages (p < 0.05) of 2n and 3n females (p = 0.027; Figure 1B). However, 2n females showed a decrease in VSI at the stage 7 (p < 0.05), which was lower than in 3n females (p = 0.019; Figure 1B).

Total lipids
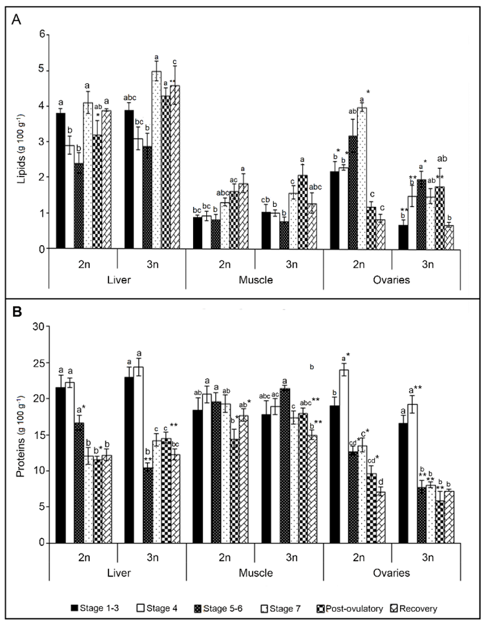
Total lipid content in the liver of 2n females decreased at 4 and 5-6 stages in relation to other maturation stages, except for the post-ovulatory stage (p < 0.05 for both; Figure 2A). In muscle, there was an increase in total lipid content during the reproductive cycle, with higher content during the post-ovulatory stage and, mainly at the recovery stage (p < 0.005; Figure 2A). The percentage of total lipids in ovaries increased at stages 5-6 and 7 and decreased sharply at the post-ovulatory and recovery stages in 2n females (p < 0.05; Figure 2A).
In 3n females, hepatic total lipids increased at stages 7, post-ovulatory and recovery, in comparison to stages 4 and 5-6 (p < 0.05; Figure 2A). Therefore, 3n females showed higher hepatic lipid content than 2n females at the post-ovulatory stage (p = 0.045; Figure 2A). In 3n females, the content of total muscle lipids was higher at stages 7 and post-ovulatory than stages 1-3, 4, and 5-6 (p < 0.05; Figure 2A). The ovaries of 3n females showed a slight increase in lipid content from stage 1-3 to 5-6, but these values were lower than in 2n females (p < 0.001; Figure 2A). There was no significant difference in the total muscle lipids between 2n and 3n females (p = 0.0064; Figure 2A).
Total proteins
2n females showed a decrease in total hepatic proteins at stages 7, post-ovulatory, and recovery in comparison with other reproductive stages (p < 0.05; Figure 2B). There was also a decrease in total proteins in muscle at the post-ovulatory stage, but only in comparison with stages 4 and 5-6 (p < 0.05; Figure 2B). The values of total ovarian proteins were also higher at initial stages, mainly at stage 4, with a progressive decrease from the stage 5-6 to the recovery stage (p < 0.05; Figure 2B).
Protein content showed a similar pattern in 3n females, with a decrease in hepatic protein at stages 5-6, 7, post-ovulatory, and recovery in comparison with stages 1-3 and 4 (p < 0.05; Figure 2B). The percentage of total proteins in muscle showed lower values at stages 7 and recovery, than in stages 4 and 5-6 (p < 0.001; Figure 2B). In the ovaries, there was a sharp decrease in the total protein percentage at stages 5-6, 7, post-ovulatory, and recovery in comparison with stages 1-3 and 4 (p < 0.001; Figure 2B).
In relation to ploidy, the hepatic protein content was higher at the stage 5-6 in 2n than 3n females (p < 0.001), whereas in the post-ovulatory stage, the opposite occurred (p = 0.010; Figure 2B). In muscle, there was higher protein content in 3n than 2n females, including the post-ovulatory stage (p = 0.039), whereas 2n females showed higher protein content in muscle, during the recovery stage (p = 0.037; Figure 2B). There was a higher percentage of total ovarian proteins in 2n than in 3n females at all stages, except for stages 1-3 and recovery (p < 0.001; Figure 2B).

Pearson correlation
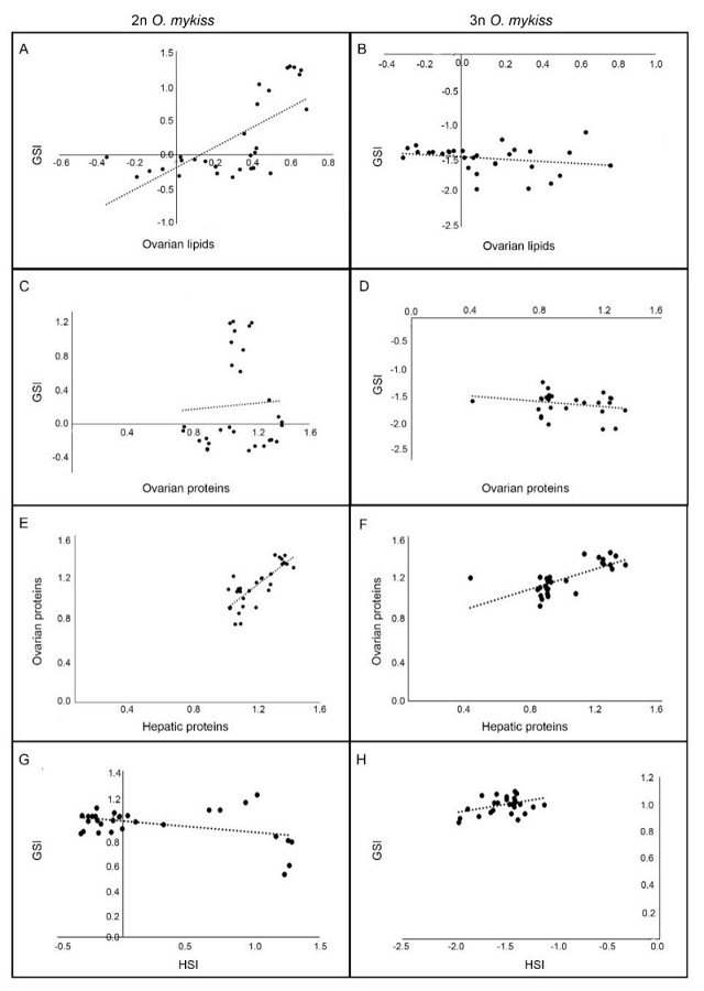
Ovarian lipids and protein content showed a positive correlation with GSI values in 2n females during the reproductive cycle (Pearson´s correlation coefficient, r = 0.4687 p = 0.68; r = 0.0032 p = 0.74, respectively; Figure 3 A and C). Additionally, the ovarian protein content correlated positively with hepatic protein in 2n females (r = 0.6235 p = 0.78; Figure 3E). This analysis showed no correlation in 3n females (Figure 3B and D), except for the positive correlation between ovarian and hepatic protein (r = 0.0559 p = 0.70; Figure 3F). Besides that, GSI values showed a moderate negative correlation with HSI in 2n females, and a positive correlation in 3n females (r = 0.4587 p = 0.38; r = 0.6238 p = -0.38; respectively; Figure 3G-H).

Discussion
The present study provides information about the influence of ploidy on the deposition of lipids and proteins in the main storage organs of O. mykiss female during their first reproductive cycle. In short, we identified a seasonal and similar pattern of metabolite deposition in different tissues analyzed in 2n and 3n females. However, the ovaries showed the greatest differences between ploidies with higher concentrations of metabolites in 2n females, especially during gonadal maturation stages. This result corroborated the GSI data previously published by our research group in Ribeiro et al. (2012), when the same animals were used for the two studies, concomitantly.
We verified a progressive increase in ovarian mass until ovulation in 2n females, and that there was no annual change in this index in 3n females due to the presence of rudimentary ovaries in these animals throughout the reproductive cycle (Figure 4). The similar maintenance of the lipid content in tissues in 2n and 3n females seems to be a consensus in literature, except for the ovaries, as recorded for Salmo salar (Taylor et al., 2013) and O. mykiss (Ozorio, Escorcio, Bessa, Ramos, & Gonçalves, 2012), including the present study.
Tissue lipid concentration showed a marked seasonal pattern in 2n and 3n females. There was a high concentration of this substrate mainly in the liver at initial stages of maturation, especially in the period of active vitellogenesis (Alabert & Jalabert, 2005). Then, there was an increase in the concentration of the final maturation period and after ovulation, thus indicating a possible mobilization to the ovaries.
Concomitantly with the content of energetic substrates, HSI is considered a good parameter for the observation of the mobilization of substrates among tissues during the reproductive cycle (Sayer, Gibson, & Atkinson, 1995).

In the present study, we observed seasonal changes in HSI in 2n females, but no correlation with the concentration of lipids and proteins found in this tissue. In addition, 3n females also exhibited changes in the concentration of hepatic lipid and protein, but no variation in the HSI throughout the year, showing even lower values than 2n females. The role of lipids from adipose tissue in the vitellogenin synthesis must be highlighted (Alabert & Jalabert, 2005).
The VSI can be a very clear reflection of the mobilization of substrates during vitellogenesis. The highest lipid content was found in 2n females at stage 5-6, when the active mobilization of tissue substrates occurs, for example, from the adipose tissue for the synthesis of vitellogenin in the liver (Alabert & Jalabert, 2005). The decrease in the VSI at stage 7 and the increase in GSI and ovarian lipids may indicate a substantial contribution of adipose tissue during the final period of vitellogenesis. Moreover, 3n animals showed no pattern of seasonal variation in this index, with large amounts of adipose tissue throughout the experimental period, which was also demonstrated by Tiwary, Kirubagaran, and Ray (2004).
Pearson correlation between GSI and VSI clearly showed these features, with positive values for 2n and negative for 3n females. Additionally, the seasonal variation in ovarian lipids showed differences between ploidies. On the one hand, 2n females showed a progressive increase in ovarian lipids, closing at a large peak during ovulation, probably due to vitellogenin incorporation in oocytes, and a sharp decrease in these values after spawning. In the 1970s, the studies of Takashima (1971) showed a clear lipid mobilization, predominantly from the neutral fraction (triacylglycerol and free fatty acids) among adipose tissue, liver, plasma, and ovaries in rainbow trout females during gonadal maturation.
Furthermore, 3n females apparently presented the same pattern of increase in ovarian lipid levels, mainly at early stages, but with lower values than those of 2n females. At stage 7, when the oocytes are completely developed and rich in yolk, only 2n females showed high lipid concentration in ovaries.
There was also a seasonal pattern in the concentration of total protein in the liver and ovaries, with the highest values occurring at early stages of both ploidies. These data indicate a possible deposition of proteins in oocytes at the beginning of vitellogenesis. An early event of gonadal maturation is the appearance of cortical alveoli in the oocyte periphery, which is stained with dyes used for protein and carbohydrate (Lubzens, Young, Bobe, & Cerdà, 2010). In the following stages, this deposition decreased in both ploidies but remained high in 2n females, due to the uptake of vitellogenin synthesized in the liver (Alabert & Jalabert, 2005; Lubzens et al., 2010), a process that does not occur in 3n females. Muscle proteins seem to have a low contribution to the process of vitellogenin synthesis (Nassour & Léger, 1989) which was corroborated in the present study.
Protein and lipid mobilization from the muscle to the gonadal tissue during the reproductive period greatly affects the fillet quality of captive animals, which reduces the quality of the final product marketed (Davidson & Stabenfeldt, 2014). As 3n animals do not mobilize muscle proteins to the ovaries (Maxime, 2008), it is likely that they maintain a higher concentration of protein in the muscle than 2n females. However, in the present study, it was not possible to observe a great difference between ploidies, because the analyzed animals were in their first reproductive cycle and the major differences between them usually start at the second gonadal maturation cycle (Schafhauser-Smith & Benfey, 2001).
The same occurred with muscle lipid levels, which did not show differences between groups. However, Ribeiro et al. (2012) found an increase in omega 3 polyunsaturated fatty acids, especially docosahexaenoic acid, in the muscle of 3n females during the intermediary maturation period. This finding showed that the absence of ovarian development (Figure 4) did not alter the concentration of total lipids in the muscle; nonetheless, it seems to improve fillet quality during the first reproductive cycle.
Conclusion
Regardless of the apparent reproductive dysfunction in O. mykiss triploid females, with absence of changes in the somatic pattern, it was possible to identify a seasonal arrangement in the deposition of tissue lipids and proteins, mainly in the liver and ovaries at early stages of gonadal maturation.
References
Alabert, B. J., & Jalabert, B. (2005). Particularities of reproduction and oogenesis in teleost fish compared to mammals. Reproduction Nutrition Development, 45(3), 261-279. doi: 10.1051/rnd,2005019
Association of Official Analytical Chemists [AOAC]. (2010) Official Methods of Analysis (18th ed.). Washington, DC: AOAC International.
Benfey, T. J., Dye, H. M., Solar, I. I., & Donaldson, E. M. (1989). The growth and reproductive endocrinology of adult triploid Pacific salmonids. Fish Physiology and Biochemistry, 6(2), 113-120. doi: 10.1007/BF01875483
Bromage, N., & Cumaranatunga, R. (1988). Egg production in the rainbow trout Recent Advances in Aquaculture (pp. 63-138). Dordrecht, NT: Springer.
Davidson, A. P., & Stabenfeldt, G. H. (2014). Controle do desenvolvimento gonadal e dos gametas. In B. G. Klein (Ed.), Tratado de Fisiologia Veterinária (Cunningham) (pp. 408-415). Rio de Janeiro, RJ: Elsevier.
Folch, J., Lees, M., & Sloane-Stanley, G. H. (1957). A simple method for the isolation and purification of total lipids from animal tissues. Journal of Biological Chemical, 226(1), 497-509.
Frings, C. S., Fendley, T. W., Dunn, R. T., & Queen, C. A. (1972). Improved determination of total serum lipids by the sulfo-phospho-vanillin reaction. Clinical Chemistry, 18(7), 673-674.
Lowry, O.H., Rosebrough, N.J., Farr, A.L., Randall, R.J. (1951). Protein measurement with the Folin phenol reagent. The Journal of Biological Chemistry, 193(1), 266-275.
Lubzens, E., Young, G., Bobe, J., & Cerdà, J. (2010). Oogenesis in teleosts: how fish eggs are formed. General and comparative endocrinology, 165(3), 367-389. doi: 10.1016/j.ygcen.2009.05.022
Manor, M. L., Cleveland, B. M., Weber, G. M., & Kenney, P. B. (2015). Effects of sexual maturation and feeding level on fatty acid metabolism gene expression in muscle, liver, and visceral adipose tissue of diploid and triploid rainbow trout, Oncorhynchus mykiss. Comparative Biochemistry and Physiology Part B: Biochemistry and Molecular Biology, 179(1), 17-26. doi: 10.1016/j.cbpb.2014.09.003
Maxime, V. (2008). The physiology of triploid fish: current knowledge and comparisons with diploid fish. Fish and Fisheries, 9(1), 67-78. doi: 10.1111/j.1467-2979.2007.00269.x
Milligan, C. L., & Girard, S. S. (1993). Lactate metabolism in rainbow trout. Journal of Experimental Biology, 180(1), 175-193.
Nassour, I., & Léger, C. L. (1989). Deposition and mobilisation of body fat during sexual maturation in female trout (Salmo gairdneri Richardson). Aquatic Living Resources, 2(3), 153-159. doi: 10.1051/alr,1989018
Ozorio, R. O. A., Escorcio, C., Bessa, R. J. B., Ramos, B., & Gonçalves, J. F. M. (2012). Comparative effects of dietary l‐carnitine supplementation on diploid and triploid rainbow trout (Oncorhynchus mykiss). Aquaculture Nutrition, 18(2), 189-201. doi: 10.1111/j.1365-2095.2011.00888.x
Penman, D. J. (2004). Aquaculture and fisheries biotechnology: Genetic approaches. Journal of Fish Diseases, 27(11), 677-677. doi: 10.1111/j.1365-2761.2004.00584.x
Ribeiro, C. S., Gomes, A. D., Vieira, V. A. R. O., Tabata, Y. A., Takahashi, N. S., & Moreira, R. G. (2012). The effect of ploidy on the fatty acid profile during the reproductive cycle of female rainbow trout (Oncorhynchus mykiss). Aquaculture International, 20(6), 1117-1137. doi: 1137.10.1007/s10499-011-9468-2
Sayer, M. D. J., Gibson, R. N., & Atkinson, R. J. A. (1995). Growth, diet and condition of goldsinny on the west coast of Scotland. Journal of Fish Biology, 46(2), 317-340. doi:10.1111/j.1095-8649.1995.tb05972.x
Schafhauser-Smith, D., & Benfey, T. J. (2001). The reproductive physiology of three age classes of adult female diploid and triploid brook trout (Salvelinus fontinalis). Fish Physiology and Biochemistry, 25(4), 319-333. doi: 10.1023/A,1023285008072
Tabata, Y. A., Rigolino, M. G., & Tsukamoto, R. Y. (1999). Production of all female triploid rainbow trout, Oncorhynchus mykiss (Pisces, Salmonidae). III. Growth up to first sexual maturation. Boletim do Instituto de Pesca Sao Paulo, 25, 67-76.
Takashima, F. (1971). Endocrinological studies on lipid metabolism in rainbow trout. I. Differences in lipid content of plasma, liver and visceral adipose tissue between sexually immature and mature females. Nippon Suisan Gakkaishi, 37(4), 307-311. doi: 10.2331/suisan.37.307
Taranger, G. L., Carrillo, M., Schulz, R. W., Fontaine, P., Zanuy, S., Felip, A., ... Norberg, B. (2010). Control of puberty in farmed fish. General and Comparative Endocrinology, 165(3), 483-515. doi: 10.1016/j.ygcen.2009.05.004
Taylor, J. F., Sambraus, F., Mota-Velasco, J., Guy, D. R., Hamilton, A., Hunter, D., ... Migaud, H. (2013). Ploidy and family effects on Atlantic salmon (Salmo salar) growth, deformity and harvest quality during a full commercial production cycle. Aquaculture, 410, 41-50. doi: 10.1016/j.aquaculture.2013.06.004
Tiwary, B. K., Kirubagaran, R., & Ray, A. K. (2004). The biology of triploid fish. Reviews in Fish Biology and Fisheries, 14(4), 391-402. doi: 10.1007/s11160-004-8361-8
Author notes
*Author for correspondence. E-mail: cristiele.ribeiro@unesp.br