Ciência e Tecnologia de Alimentos
Use of avocado peel (Persea americana) in tea formulation: a functional product containing phenolic compounds with antioxidant activity
Uso da casca do abacate (Persea Americana)na formulação de chá: um produto funcional contendo compostos fenólicos e atividade antioxidante
Use of avocado peel (Persea americana) in tea formulation: a functional product containing phenolic compounds with antioxidant activity
Acta Scientiarum. Technology, vol. 38, no. 1, pp. 23-29, 2016
Universidade Estadual de Maringá
Received: 26 September 2014
Accepted: 21 September 2015
Abstract: The peels of avocados, like other fruit peels, are commonly discarded, not knowing their potential use. In order to reuse avocado peel, the chemical and mineral compositions, total phenolic and flavonoid contents as well as antioxidant activities have been investigated by DPPH (1,1-diphenyl-2- picrylhydrazyl) and FRAP(ferric-reducing antioxidant power) methods in in natura and dehydrated avocado peel. Dehydrated avocado-peel tea was manufactured and the antioxidant activity was evaluated, as well as their flavonoid and phenolic compound contents, and compared with other teas marketed. Avocado peel, especially dried avocado peel, contains major phenolic compounds (10,848.27 ± 162.34 mg GAE kg-1) and flavonoids (1,360.34 ± 188.65 mg EQ kg-1). The avocado-peel tea showed antioxidant activity by DPPH (1,954.24 ± 87.92 e 2518.27 ± 192.59 mg TE L-1) and phenolic and flavonoids contents highest than apple tea. The avocado-peel tea showed good antioxidant activity and had good acceptability by sensory analysis as a promising product.
Keywords: avocado, fruit peels, DPPH, FRAP, sensorial analysis, functional foods.
Resumo: Cascas de frutas são comumente descartadas, assim como cascas de abacate, por desconhecimento do seu potencial uso. A fim de reutilizar a casca de abacate, determinou-se a composição química e de minerais, conteúdo de fenólicos totais e de flavonoides, bem como atividades antioxidantes por ensaios de DPPH (1,1-difenil-2-picrilhidrazil) e FRAP (poder antioxidante por redução do ferro) nas cascas in natura e desidratada. Formulou-se um chá com a casca de abacate, avaliou-se sua atividade antioxidante, bem como conteúdo de fenólicos e flavonoides e comparou-se com chás comercializados. Os resultados mostram que na casca de abacate desidratada contém compostos fenólicos (10.848,27 ± 162,34 mg EAG kg-1) e flavonoides (1.360,34 ± 188,65 mg EQ kg-1). O chá da casca de abacate desidratada apresentou atividade antioxidante por DPPH (1954.24 ± 87.92 e 2518.27 ± 192.59 mg ET L-1) superior ao chá de maçã, assim como maior conteúdo de fenólicos e flavonoides. O chá de casca de abacate apresentou boa atividade antioxidante e boa aceitação por análise sensorial, mostrando ser um produto promissor.
Palavras-chave: abacate, casca de frutas, DPPH, FRAP, análise sensorial, alimento funcional.
Introduction
Avocado (Persea americana) fruit has great nutritional importance as a source of carbohydrate, protein, and fiber and the avocado contains essential micronutrients for human consumption such as vitamins, minerals, and polyphenols (Harborne & Williams, 2000; Pennington & Fisher, 2009). The consumption of 3-4 fruit portions per day is recommended. The regular consumption of fruit (Barbosa et al., 2005), has been associated with the reduction of degenerative, cardiovascular (Ishida, Schubert, & Sagar, 2001; Abdille, Singh, Jayaprakasha, & Jena, 2005) and circulatory diseases (Scharamm & German, 1998). These effects have been attributed to the presence of phenolic compounds such as flavonoids, especially in fruit peels, which have antioxidant properties (Broiniz et al., 2007).
There is a lack of knowledge about fruit and vegetable nutrients, as well as their skins and stems, generating waste in tons that could be used as food. The same true for the avocado, because tons of this fruit are discarded in trash in Brazil. The oil of an avocado has medicinal properties (Lu et al., 2005) and its peel contains significant amounts of minerals (Gondin, Moura, & Dantas, 2005) in addition to compounds that prevent lipid oxidation (RodríguezCarpena, Morcuende, & Estévez, 2012). The leaves and peels could also be consumed as medicinal food (Marques, 2001).
Originating from China, tea is a very popular drink that is widely consumed by many people around the world and currently, tea is receiving interest due to its beneficial health effects, which are being investigated for having antioxidant activity, mainly attributed to the high concentration of polyphenols (phenolic acids, flavonoids, and catechins) (Kodama, Gonçalves, Lajolo, & Genovese, 2010; Nishiyama et al., 2010; Oliveira, 2012). By definition, teas are products made from parts of plants (whole, fragmented, or ground) obtained by appropriate technological processes, each species is used exclusively in the preparation of food beverages by infusion or decoction in drinking water and may not have pharmacotherapeutic purposes (Brasil, 1998).
With the aim to inform people about the nutritional value of avocado peel and to reduce the perishable nature of this waste by processing, the present study examined the chemical and mineral composition of avocado peel in natura (INAP) and in dehydrated avocado peel (DAP) in order to provide a low-cost food for a healthy diet. After drying, an avocado-peel tea was developed and the chemical composition and antioxidant capacity of the food was studied, with the aim of identifying a way to reuse this waste.
Material and methods
Chemical reagents
The reagents were 1,1-diphenyl-2-picrylhydrazyl (DPPH), 6-hydroxy-2,5,7,8-tetramethyl chroman- 2-carboxylic acid (Trolox), 2,4,6-tris(2-pyridyl)-striazine (TPTZ), quercetin and Folin-Ciocalteu phenol reagent from Sigma-Aldrich (São Paulo, Brazil). Ferrous sulfate heptahydrate, iron chloride hexahydrate, aluminum chloride and gallic acid purchased from Vetec and sodium carbonate obtained from J. T. Baker were also used. All solvents and chemicals were of analytical grade.
Sample preparation
Twelve kilograms of avocados (P. americana) were acquired from trade Maringá, Paraná State, which were grown in Brazil and harvested in 2012. The fruits were washed with tap water, left for 10 min. in a solution of sodium hypochlorite. The different parts of the fruit were separated by a manual process into peel, pulp and seeds. A part of the avocado peels were maintained in natura and the others were chopped for drying in an oven at 60ºC for 24 hours before analysis. Sachets of green tea, apple tea, and mate tea were purchased from the local market in Maringá, Paraná State, for antioxidant activity analysis.
Proximal composition
The moisture, ash and crude protein levels were determined according to Association of Official Analytical Chemists (AOAC, 1998). The total lipids were extracted using a mixture of methanol, chloroform and water according to the method of Bligh & Dyer (1959).
The amount of crude fiber was determined by digestion, acid and basic, the according with Cecchi (1999). The total carbohydrates were obtained by difference calculation of other fractions [100 g – total g (moisture, ash, protein, and lipids)] and expressed as a Nifext (nitrogen-free extract) fraction. The energy was calculated by multiplying the amount (in kg) of protein, carbohydrate and lipid by 4.00, 3.75, and 9.00 kcal kg-1, respectively; the results were expressed in kcal Food and Agriculture Organization (FAO, 1985). The determination of minerals was performed by atomic absorption spectrometry, Analytik Jena novAA 300 (software winAAS) instrument.
Extraction of antioxidants and tea preparation sachets
The in natura avocado peel (INAP) and dehydrated avocado peel (DAP) extracts were prepared according to Ribeiro et al. (2013) using approximately 10 g of homogenized sample in 100 mL of methanol under magnetic stirring for 4h in dark room. After filtration, the extracts were concentrated under reduced pressure at 40ºC. The dried peels were ground in an analytical mill, sieved and forwarded to the preparation of sachet tea, which contained 2.2 g of dried avocado peel inside a filter paper. Some of the tea sachets were stored at room temperature for 45 days for shelf life analysis. At certain time periods (0 and 45 days after initial storage) the tea was prepared by infusing the sachet in 200 mL of hot water (96ºC) and leaving it to stand for 5 min. After that, the tea was cooled to 25ºC for analysis.
Total phenolic content (TPC)
The TPCs of the avocado-peel extracts and avocado-peel teas were analyzed using Folin-Ciocalteu reagent (Shahidi & Naczk, 1995).
The extract and tea solutions (250 μL) were mixed with the Folin-Ciocalteu (250 μL) reagent (diluted in distilled water, 1:1 v/v), saturated sodium carbonate solution (500 μL), and distilled water (4 mL). After 25 min. of incubation, the solution was centrifuged for 10 min. at 3,000 rpm and the absorbance was measured at 725 nm. The results were expressed as milligrams of gallic acid equivalents per kilogram avocado peel (mg GAE kg-1) and for tea were expressed per liter (mg GAE L-1).
Flavonoids (FLAV)
For the analysis of flavonoids (Eberlin, 2009), a solution (250 μL) of aluminum chloride 5% (v m-1) in methanol was added to the extract or tea (500 μL) and the volume was completed to 5 mL with methanol. After 30 min., the absorbance was measured at 425 nm. The results were expressed as milligrams of quercetin equivalents per kilogram of avocado peel (mg QE kg-1) and for the tea were expressed per liter (mg QE L-1).
Ferric-reducing antioxidant power (FRAP) assay
The FRAP assay was determined as described by Benzie & Strain (1996), with modifications. The FRAP reagent was prepared by mixing solutions of acetate buffer (0.3 mol L-1, pH 3.6), TPTZ (10.0 mmol L-1), and FeCl3(20.0 mmol L-1) in a 10:1:1 ratio. The extract solutions or tea (100 μL), distilled water (300 μL), and the FRAP reagent (3.0 mL) were combined in a tube test; the mixture was kept in the dark for 30 min. at 37ºC. The absorbance was measured at 593 nm. The results were expressed as micromoles of Fe2SO4.7H2O per gram of sample (μmol g-1) and for the tea were expressed per liter (μmol L-1).
DPPH• free-radical-scavenging assay
The DPPH• scavenging capacity was measured using the method described by Brand-Williams, Cuvelier, and Berset (1995) with modifications (Ma et al., 2011). Briefly, the avocado-peel extract solutions or teas (25 μL) were added to 6.25 × 10-5 mol L-1 methanolic DPPH• solution (2 mL). The solution was kept in the dark for 30 min. at room temperature, and the absorbance was then measured at 517 nm. The results were expressed as micromoles of Trolox equivalents per gram of sample (μmol TE g-1) and for the tea were expressed per liter (μmol TE L-1).
Microbiological assay and sensory analysis
The analysis of Salmonella spp. and thermo tolerant coliforms in avocado-peel tea was performed according to the Food and Drug Administration (FDA, 1995) on 0 and 45 days after the sachets were manufactured.
The DAP tea was prepared as described above and after tea infusion, sugar was added at a ratio of 5.0 g per 200 mL of tea (Brasil, 2013) which was maintained at a temperature between 60 and 70ºC in vacuum flasks before it was served to a volunteer.
The sensory evaluation was performed at the State University of Maringá in the Food laboratory, with a staff of 100 non-trained volunteer panelists and potential consumers of the avocado-peel tea. The participants in the sensory analysis received the DAP tea sample and a questionnaire containing two questions to answer. For the overall evaluation of the sample, the judges used the hedonic scale, anchored at the ends with ‘like extremely’ (9) to ‘dislike extremely’ (1) as the acceptance test (Queiroz & Treptow, 2006; Meilgaard, Civille, & Carr, 1991). Also, the purchase intent for the tea was evaluated, using a scale anchored between ‘certainly would buy’ (5) to ‘certainly would not buy’ (1).
Statistical analysis
Analysis of variance (ANOVA) was used to test the difference between the stages of development (means), which were analyzed by the Tukey test at a 95% (p < 0.05) significance level using STATISTIC software (StatSoft, 2004).
Results and discussion
Proximate composition
According to Table 1, the crude protein, fiber and Nifext contents of INAP were 21.62, 191.24 and 113.45 respectively. All these values were greater than those reported by Gondin et al. (2005) who analyzed five fruit peels (avocado, pineapple, banana, melon and passion fruit). The total lipids content found in INAP is significant as compared with other skins of fruits and vegetables (Rocha et al., 2008).
The INAP (P. americana) shows lipids, protein and ash contents that are comparable or better than other varieties of avocado reported in literature, of which the variety 'Hass' has 1.01 and 1.77% lipids and proteins, respectively, and the variety 'Fuerte' shows only 0.32% (Rodríguez-Carpena et al., 2012).
The dehydration process of the avocado peel was effective, with a loss of 93.5% water; in addition, it appears that the other constituents were concentrated, emphasizing the ash content, crude protein, total fat, energy, and Nifext compared to in natura avocado peel, with significant differences by Tukey Test (p < 0.05).
The DAP can be considered a source of crude fiber, with 415.00 ± 51.90 g kg-1; this value is greater than other raw materials used in tea preparation, such as yerba mate (14.49 per 100 g) (Esmelindro, Toniazzo, Wackuz, Dariva, & Oliveira, 2002) and inflorescence ginger (19.22 and 23.99 per 100 g) (Lucio, Freitas, & Waszczynsky, 2010). Also, DAP represents a source of protein and lipids with higher levels than those found in the mango peel flour (Aziz, Wong, Bhat, & Cheng, 2012).
The dehydrated peels contained significant ash levels that are nutritionally important macro and microminerals. These values demonstrate the nutritional potential of the avocado peel for human consumption.
Antioxidant activity and minerals
Spectrophotometric methods were used to evaluate the amounts of total phenolic compounds and flavonoids as well as the antioxidant activity by DPPH and FRAP applied in the fruit peels (Wolfe, Wu, & Liu, 2003; Abdullah, Zulkifli, Abdullah, Aziman, & Kamarudin, 2012; Barros, Ferreira, & Genovese, 2012). The results for TPC, FLAV, and antioxidant activity, evaluated by the DPPH and FRAP methods in INAP and DAP, are presented in Table 2. INAP showed significant levels of TPCs compared with reported by Peschel et al. (2006) for residues from apple, pear and strawberry juice production with 52.18 ± 4.80, 59.77 ± 4.24 and 18.41 ± 2.12 mg GAE g-1 dry extract, respectively, and the best values are also comparable with carambola peel (Shui & Leong, 2006). Concerning the amount of flavonoids found in INAP, it can be seen that the values were higher than previously reported for the soursop shell (8.2 mg EQ 100 g-1 of sample) (Loizzo et al., 2012).
DAP showed levels of TPCs (10848.27 ± 162.34 mg EAG kg-1) that were higher than dehydrated carrot peel (1017 mg EAG 100 g-1) (Chantaro, Devahastin, & Chiewchan, 2008). In DAP, a high value of FLAs (1360.34 ± 188.65 mg EQ kg-1) was found.
Antioxidant activity measured by the DPPH assay in INAP showed a higher value (16.10 μmol TE g-1) than citrus peel (6.00 to 8.50 μmol TE g-1) (Barros et al., 2012). In the antioxidant activity analysis of various fruit peel, using the FRAP method, INAP exhibited a higher antioxidant capacity than apricots (7.9 ± 0.7 μmol Fe2SO4.7H2O g-1), Hami melons (5.2 ± 0.7 μmol Fe2SO4. 7H2O g-1), and Duck pears (8.9 ± 0.8 μmol Fe2SO4.7H2O g-1) (Guo et al., 2003).
The results showed the presence of TPCs and FLAVs in avocado peel, which are responsible for the observed antioxidant properties, owing to their chemical constitution. The antioxidant properties have been widely studied, owing to their influence on the quality of food and the importance of these compounds in maintaining human health (Soares, 2002). After observing the potential antioxidant activity of avocado peel, especially the dehydrated peel, a tea was developed in order to assess whether the antioxidant properties of the DAP are transferred to the water after infusion.
The amount of sodium (Na) and potassium (K) found in DAP was 1.81 and 82.25 g kg-1 respectively and the amount of these minerals found in tea prepared with DAP was 0.81 and 8.55 mg L-1, respectively. All of these values are within the recommended values (FAO, 1985), which indicate that approximately 1 g sodium should be consumed per day and they advise that a daily potassium consumption of 3-4 g is enough to reduce blood pressure may lessen the risk of a stroke.
The DAP tea has significant quantities of TPCs, with 123.57 ± 4.64 and 110.20 ± 2.55 mg EAG L-1 on day 0 and 45, respectively, which are transferred to the water after infusion. The verified TPC content was higher than that found in apple tea (Table 3), chamomile tea (11.61 ± 12.32 mg GAE g-1), and anise tea (8.90 ± 1.26 mg GAE g-1) reported by Souza, Oldini, Cabral, and Alencar (2011) it was also similar to mate tea, which is widely marketed. The reported TPC values for mulberry leaf tea (11.64 ± 0.99 mg GAE g-1) and Bamboo leaf tea (11.50 ± 0.82 mg GAE g-1) reported by Oh, Jo, Cho, Kim, and Han (2013) are similar to the values found for DAP tea in this work.

Mean value ± standard deviation (n = 3). Results are expressed as g kg-1 avocado peel. * Energy values are expressed as kcal kg-1. Nifext = carbohydrate content by difference. A different letter in the same column shows significant difference at the 95% level by Tukey’s test (p < 0.05).

Mean value ± standard deviation (n = 3). Different letters in the same column shows significant difference at a 95% level by Tukey’s test (p < 0.05).

Mean value ± standard deviation (n = 3). Different letters in the same column indicate a significant difference at the 95% level by Tukey’s test (p < 0.05).
In order to compare the antioxidant activity of the avocado-peel teas with other marketed teas, the DPPH assay (through free radicals) was used, which showed that tea from the avocado peel is similar to mate tea, which is also consumed as it has antioxidant properties. When the avocado-peel teas were evaluated after different storage periods (0 and 45 days), the amount of TPCs and FLAV present in the teas showed no statistical difference, proving that the avocado-peel tea is stable in terms of product storage. There was no significant difference in the analysis of antioxidant activity by the FRAP and DPPH assays during the storage of the teas.
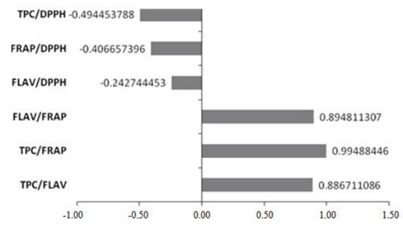
The correlation between the results of the DPPH and FRAP methods for the TPC and FLAV contents in some marketed teas and in the avocadopeel teas are shown in Figure 1. There is a positive correlation between FLAV/FRAP (0.8948), TPC/FRAP (0.9948), and TPC/FLAV (0.8867), which suggests that flavonoid compounds and phenolic compounds contribute towards the antioxidant activity seen by the FRAP assay.

Antioxidant capacity methods can be divided into two types based on hydrogen atom transfer (HAT) reactions and electron transfer (ET) reactions, depending on how the radicals are deactivated by the antioxidants (Huang, Ou, & Prior, 2005). For TPC determination by the Folin–Ciocalteu reagent, both the FLAV and FRAP methods are considered to be ET methods. This classification can explain the high correlation coefficients shown in Figure 1.
Microbiological control
According to Brasil (2001) in terms of the microbiological standards for foods, tea and others similar drinks should not contain any Salmonella spp. and can only include the maximum amount of 2.0 MPN (most probable number) mL-1 fecal coliforms. For both tea storage periods (0 and 45 days), the values of fecal coliforms were less than 0.3 Ml MPN and there was an absence of Salmonella spp in the samples. The results indicate that the processing and storage of the DAP sachets as proposed for the manufactured tea, provides a food that is free of microbial contamination and has a considerable shelf life (FDA, 1995).
Sensory analysis
The samples were presented to volunteers for sensory analysis and the acceptance test result was 7.00 ± 1.09, where (7) means 'like moderately'. A total of 66% of the panelists chose 'like' or 'like moderately' for the DAP tea, indicating that the product was not rejected by the panelists.
According to the purchase intention test, the result was 4.00 ± 0.87, where (4) indicates 'probably buy'. Further analysing the purchase intention test through Figure 2, it could be seen that, on average, 37% of the panelists might buy, 42% would probably buy, and 13% would certainly buy, indicating that tea from DAP has a potential market.

The flavor and taste of teas were considered essential for the quality attributes of the product in order for the teas to be marketed (Sinija & Mishra, 2011). Sensory analysis was needed to verify the responsiveness of the new product by consumers, because sensory analysis is the final criterion for acceptance or rejection of food (Falade & Omojola, 2010).
According to the acceptance test, there was no rejection of the DAP tea among the panelists, who also showed intent to purchase a new product if it was to be marketed.
Conclusion
Fruit peels, such as avocado peel, are not generally consumed and are therefore discarded. After an investigation on the properties avocado peel, it was noted as a source of nutrients and subsequently, a tea formulation was suggested as a way of reusing these discarded peels. Phenolic and flavonoid compounds were present in the avocado peel and the notable antioxidant activity of this tea resembles the widely marketed mate tea. Sensory analysis of the avocado-peel tea indicated that it has promising effect on the consumer market.
Acknowledgements
The authors acknowledge Conselho Nacional de Desenvolvimento Científico e Tecnológico (CNPq) for financially supporting this research.
References
Abdille, M. H., Singh, R. P., Jayaprakasha, G. K., & Jena, B. S. (2005). Antioxidant activity of the extracts from Dilleniaindica fruits. Food Chemistry, 90(4), 891-896.
Abdullah, N., Zulkifli, K. S., Abdullah, A., Aziman, N., & Kamarudin, W. S. S. (2012) Asesment on the antioxidant and antibacterial activities of selected fruit peels. International Journal of Chemtech Research, 4(1), 1534-1542.
Association of Official Analytical Chemistry (AOAC). (1998). Official Methods of Analysis (16th ed.). Washington, DC: AOAC.
Aziz, N. A. A., Wong, L. M., Bhat, R., & Cheng, L. H. (2012). Evaluation of processed Green and ripe mango peel and pulps flours (Mangiferaidnica var. Chokanan) in terms of chemical composition, antioxidant compounds and functional properties. Journal of the Science of Food and Agriculture, 92(3), 557-563.
Barbosa, R. M. S., Croccia, C., Carvalho, C. G. N., Franco, V. C., Salles, C. R., & Soares, E. A., (2005). Consumo alimentar de crianças com base 4 na pirâmide alimentar brasileira infantil. Revista de Nutrição, 18(3), 633-641.
Barros, H. R. M., Ferreira, T. A. P. C., & Genovese, M. I. (2012). Antioxidant capacity and mineral content of pulp and peel from commercial cultivars of citrus from Brazil. Food Chemistry, 134(4), 1892-1898.
Benzie, I. F. F., & Strain, J. J. (1996).The ferric reducing ability of plasma (FRAP) as a measure of “Antioxidant Power”: the FRAP assay. Analytical Biochemistry, 239(1), 70-76.
Bligh, E. G., & Dyer, W. J. (1959). A rapid method of total lipid extraction and purification. Canadian Journal of Biochemistry and Physiology, 37(8), 911-917.
Brand-Williams, W., Cuvelier, M. E., & Berset, C. (1995). Use of free radical method to evaluate antioxidant activity. LWT- Food Science and Technology, 28(1), 25-30.
Brasil (1998). Ministério da Saúde, Agência Nacional de Vigilância Sanitária. Portaria n.º 519, de 26 de junho de 1998. Regulamento técnico para fixação de identidade e qualidade de chás-plantas destinadas à preparação de infusões ou decocções. Diário Oficial da República Federativa do Brasil, Brasilia, DF, Brasil.
Brasil (2001). Ministério da Saúde, Agência Nacional de Vigilância Sanitária. Resolução RDC n.º 12, 2 de janeiro de 2001. Aprova o Regulamento Técnico sobre padrões microbiológicos para alimentos. Diário Oficial da República Federativa do Brasil, Brasilia, DF, Brasil.
Brasil (2013). Ministério da Agricultura, Pecuária e Abastecimento. Instrução normativa n.º 17, 19 de junho de 2013. Preparado sólido para refresco e preparado sólido para bebida composta. Diário Oficial da República Federativa do Brasil, Brasilia, DF, Brasil.
Broiniz, P. R. B., Andrade-Wartha, E. R. S., Silva, A. M. O., Novoa, A. J. V., Torres, R. P., Azeredo, H. M. C., ... Mancini-Filho, J. (2007). Avaliação da atividade antioxidante dos compostos fenólicos naturalmente presentes em subprodutos do pseudofruto de caju (Anacardiumoccidentale L.). Ciência e Tecnologia de Alimentos, 27(4), 902-908.
Cecchi, H. M. (1999). Fundamentos teóricos e práticos em análise de alimentos. Campinas, SP: Unicamp.
Chantaro, P., Devahastin, S., & Chiewchan, N. (2008). Production of antioxidant high dietary fiber powder from carrot peels. LWT- Food Science and Technology, 41(10), 1987-1994.
Eberlin, M. N. (2009). Composição química e atividade biológica de extrato oleoso de própolis: uma alternativa ao extrato etanólico. Química Nova, 32(2), 296-302.
Esmelindro, M. C., Toniazzo, G., Waczuk, A., Dariva, C., & Oliveira, D. (2002). Caracterização físico-química da erva-mate: influência das etapas do processamento industrial. Ciência e Tecnologia de Alimentos, 22(2), 193-204.
Falade, K., & Omojola, B. S. (2010). Effect of processing methods on physical, chemical, rheological, and sensory properties of Okra (Abelmoschusesculentus). Food and Bioprocess Technology, 3(3), 387-394.
Food and Agriculture Organization (FAO). (1985). Energy and protein requirements. (WHO Technical Report Series n. 724). Geneva, Switzerland: World Health Organization.
Food and Drug Administration (FDA). (1995). Bacteriological analytical manual association of official analytical. Arlington, VA: International.
Gondim, J. A. M., Moura, M. F. V., & Dantas, A. S. (2005). Composição centesimal e de minerais em cascas de frutas. Ciência e Tecnologia de Alimentos, 25(4), 825-827.
Guo, C., Yang, J., Wei, J., Li, Y., Xu, J., & Jiang, Y. (2003). Antioxidant activities of peel, pulp and seed fractions of common fruits as determined by FRAP assay. Nutrition Research, 23(12), 1719-1726.
Harborne, J. B., & Williams, C. A. (2000). Advances in flavonoid research since 1992. Phytochemistry, 52(6), 48-504.
Huang, D., Ou, B., & Prior, R. L. (2005). The chemistry behind antioxidant capacity assays. Journal of Agricultural and Food Chemistry, 53(6), 1841-1856.
Ishida, K., Schubert, D., & Sagar, Y. (2001). Flavonoids protect neuronal cells from oxidative stress by three distinct mechanisms. Free Radical Biology & Medicine, 30(4), 433-446.
Kodama, D. H., Gonçalves, A. E. S., Lajolo, F. M., & Genovese, M. I. (2010). Flavonoids, total phenolics and antioxidant capacity: comparison between commercial green tea preparations. Ciência e Tecnologia de Alimentos, 30(4), 1077-1082.
Loizzo, M. R., Tundis, R., Bonesi, M., Menichini, F., Mastellone, V., Avallone, L., & Menichini, F. (2012). Radical scavenging, antioxidant and metal chelating activities of Annonacherimola Mill. (cherimoya) peel and pulp in relation to their total phenolic and total flavonoid contents. Journal of Food Composition and Analysis, 25(2), 179-184.
Lu, Q. Y., Artega, J. R., Zhang, Q., Huerta, S., Go, V. L. W., & Heber, D. (2005). Inhibition of prostate cancer cell growth by an avocado extract: role of lipid-soluble bioactive substances. Journal of Nutritional Biochemistry, 16 (1), 23-30.
Lucio, I. B., Freitas, R. J. S., & Waszczynsky, N. (2010). Composição físico-química e aceitação sensorial da inflorescência de gengibre orgânico (Zingiber officinale Roscoe). Ciência e Tecnologia de Alimentos, 30(3), 652-656.
Marqués, C. A. (2001). Importância econômica da família Lauraceae Lindl. Floresta e Ambiente, 8(3), 196-206.
Ma, X., Wu, H., Liu, L., Yao, Q., Wang, S., Zhan, R.,… Yigang, Z. (2011). Polyphenolic compounds and antioxidant properties in mango fruits. Scientia Horticulturae, 129(1), 102-107.
Meilgaard, M., Civille, G. V., & Carr, B. T. (1991). Sensory evaluation techniques. (2a ed.). Boca Raton: CRC Press.
Nishiyama, M. F., Costa, M. A. F., Costa, A. M., Souza, C. G., Boer, C. G., Bracht, C. K., & Peralta, R. M. (2010). Chá verde brasileiro (Camelliasinensis varassamica): efeitos do tempo de infusão, acondicionamento da erva e forma de preparo sobre a eficiência de extração dos bioativos e sobre a estabilidade da bebida. Ciência e Tecnologia de Alimentos, 30(1), 191-196.
Oh, J., Jo, H., Cho, A. R., Kim, S. J., & Han, J. (2013). Antioxidant and antimicrobial activities of various leafy herbal teas. Food Control, 31(2), 403-409.
Oliveira, R. M. M. (2012). Quantificação de catequinas e cafeína do chá verde (Camellia sinensis) infusão, extrato e bebida pronta. Ciência e Tecnologia de Alimentos, 32(1), 163-166.
Pennington, J. A. T., & Fisher, R. A. (2009). Classification of fruits and vegetables. Journal of Food Composition and Analysis, 22, 23-31.
Peschel, W., Sánchez-Rabaneda, F., Diekmann, W., Plescher, A., Gartzía, I., Jiménez, D., Lamuela-Ravebtós, R., Codina, C. (2006). An industrial approach in the search of natural antioxidants from vegetable and fruit wastes. Food Chemistry, 97(1), 137-150.
Queiroz, M. I., & Treptow, R. O. (2006). Análise sensorial para a avaliação da qualidade dos alimentos. Rio Grande, RS: Furg.
Ribeiro, A. B., Bonafé, E. G., Silva B. C., Montanher, P. F., Santos-Júnior, O. O., Boeing, J. S., & Visentainer, J. V. (2013). Antioxidant capacity, total phenolic content, fatty acids and correlation by principal component analysis of exotic and native fruits from Brazil. Journal of the Brazilian Chemical Society, 24(5), 797-804.
Rocha, A. S., Lima, G. P. P., Lopes, A. M., Borguini, M. G., Ciccone, V. R., & Beluta, I. (2008). Fibras e lipídios em alimentos vegetais oriundos do cultivo orgânico e convencional. Revista Simbio-Logias, 1(2), 1-9.
Rodríguez-Carpena, J. G., Morcuende, D., & Estévez, M. (2012). Avocado, sunflower and olive oils as replacers of pork back-fat in burger patties: effect on lipid composition, oxidative stability and quality traits. Meat Science, 90(1), 106-115.
Scharamm, D. D., & German, J. B. (1998). Potential effects of flavonoids on the etiology of vascular disease. The Journal of Nutritional Biochemistry, 9(10), 560-566.
Shahidi, F., & Naczk, M. (1995). Food phenolics: sources, chemistry, effects and applications. Lancaster, PA: Technomic Publishing Company Inc.
Shui, G., & Leong, L. P. (2006). Residue from star fruit as valuable source for functional food ingredients and antioxidant nutraceuticals. Food Chemistry, 97(2), 277-284.
Sinija, V. R., & Mishra, H. N. (2011). Fuzzy analysis of sensory data for quality evaluation and ranking of instant green tea powder and granules. Food and Bioprocess Technology, 4(3), 408-416.
Soares, S. E. (2002). Ácidos fenólicos como antioxidantes. Revista de Nutrição, 15(1),71-81.
Souza, R. A. M., Oldini, T. L. C., Cabral, I. S. R., & Alencar, S. M. (2011). Compostos fenólicos totais e atividade antioxidante de chás comercializados no Brasil. Boletim do Centro de Pesquisa de Processamento de Alimentos, 29(2), 229-236.
StatSoft. (2004). Statistica 7.0 [Software]. Tucksa: Statsoft.
Wolfe, K., Wu, X., & Liu, R. H. (2003). Antioxidant activity of apple peels. Journal of Agriculture and Food Chemistry, 51(3), 609-614.
Author notes
jvvisentainer@uem.br