Tecnologia de Alimentos
Caviar substitute produced from roes of rainbow trout (Oncorhynchus mykiss)
Sucedâneo de caviar produzido com ovas de truta arco-íris (Oncorhynchus mykiss)
Caviar substitute produced from roes of rainbow trout (Oncorhynchus mykiss)
Acta Scientiarum. Technology, vol. 38, no. 2, pp. 233-240, 2016
Universidade Estadual de Maringá
Accepted: 27 October 2015
Abstract: The caviar substitute is obtained from processed fish roe, resulting in a product similar to the authentic caviar, prepared with sturgeon roe. The objective of this study was to develop a caviar substitute from roes of rainbow trout, Oncorhynchus mykiss. Four treatments were tested and we followed the steps of saline wash, drain, immersion in saline solution containing lactic acid for pH adjustment (4.3 to 4.5), salt addition (1.5 or 3%), traditional pasteurization or fast heat treatment, cooling and storage (0 to 4°C). The products were subjected to the physical, chemical, microbiological and sensory analyses and showed stability and safety for consumption up to 180 days in storage under refrigeration (0 to 4°C). Consumers showed preference for product containing 1.5% NaCl and subjected to fast heat treatment. The results suggest that caviar substitute developed with rainbow trout roes presents potential to production.
Keywords: heat treatment, safety for consumption, stability.
Resumo: O sucedâneo de caviar é obtido a partir de ovas de peixe processado, resultando em um produto análogo ao caviar legítimo, preparado com ovas de esturjão. O objetivo deste estudo foi desenvolver o sucedâneo de caviar de ovas de truta arco-íris, Oncorhynchus mykiss. Foram testados quatro tratamentos para o produto, seguindo as etapas de lavagem em solução salina, drenagem, imersão em solução salina adicionada de ácido lático para ajuste do pH (4,3 a 4,5), adição de sal (1,5 ou 3%), pasteurização tradicional ou tratamento térmico rápido, resfriamento e armazenamento (0 a 4°C). Os produtos, submetidos a análises físico-químicas, microbiológica e sensorial, apresentaram-se estáveis e seguros para o consumo até 180 dias, em estocagem sob refrigeração. Os consumidores apresentaram preferência pelo produto com 1,5% de NaCl e submetido ao tratamento térmico rápido. Os resultados sugerem que sucedâneo de caviar desenvolvido com ovas de truta arco-íris apresenta potencial para produção.
Palavras-chave: tratamento térmico, segurança para consumo, estabilidade.
Introduction
Considered a culinary delicacy, caviar consists of roes of sturgeon, treated with sodium chloride, subjected or not to pasteurization, and the beluga caviar (Huso huso) has the greatest commercial value (Wirth et al., 2000; Flynn, Matsuoka, Reith, Martin-Robichaud, & Benfey, 2006). Because of overfishing, most of important sturgeon species are framed as critically endangered in the IUCN Red List of Threatened Species, resulting in reduced supply of caviar and a higher price (Catarci, 2004).
Research on several fish species has been carried out looking for caviar substitutes, promoting alternative high-value added products, which are growing in international markets (Bledsoe, Bledsoe, & Rasco, 2003; Caprino et al., 2008). The use of roes from farmed rainbow trout (Oncorhynchus mykiss) to produce caviar substitute meets the demand on providing manufacture diversified products, and contribute to the strengthening of the Brazilian agribusiness sector.
The use of conservation techniques to reduce or eliminate chemical preservatives added to food is a current trend, and pasteurization (65 - 95°C) is an option for its efficiency in removing undesirable microorganisms (Silva & Gibbs, 2010). According to Miettinem, Arvola, and Wirtanem (2005), the pasteurization (62 - 65°C for 10 min) of rainbow trout roes stored at 3°C proved to be a suitable method to stabilize the sensory and microbiological quality of roes, evaluated after 6 months of storage. However, pasteurization alone does not sterilize the food and microbial spores may remain in the final product (Miettinem, Arvola, & Wirtanem, 2005), corroborated by Silva and Gibbs (2010), who claims that the spore of Clostridium botulinum is not destroyed only with pasteurization and can germinate causing intoxication. Thus, combinations with other techniques are necessary to ensure product stabilization and its commercial distribution (Silva & Gibbs, 2010).
This study aimed to develop the caviar substitute from rainbow trout roe, analyze its stability under refrigerated storage and elect the processing steps best evaluated in sensory characteristics, as well as consumers’ intention to purchase.
Material and methods
This research was approved by the Ethics Committee for Research with Human Beings – Instituto Adolfo Lutz – Cepial (Protocol Nº 025/2011) and the Ethics Committee for Research with Animals – Instituto de Pesca (Protocol Nº 03/2011).
During the reproductive period of 2012 4 kg of rainbow trout roes obtained by hand extrusion from 20 ripe two years old females, farmed at the Estação Experimental Ascânio de Faria/Apta-SAA – Campos do Jordão, São Paulo State, Brazil (22° 44′ 20″ S, 45° 35′ 27″ W) were used. In the process of excerption of the roes the bacteria on the surface of the fish may be transferred to the roes thus, bringing great risk for the finished product. (Altuga & Bayrakb, 2003). According to Lovatti (2004), it is necessary to apply methods such as GMP (Good Manufacturing Practices) and monitor the entire production process for an effective control of food quality. To minimize risk of contamination, immediately after the hand extrusion of trout roes (raw material), they were washed in saline solution (10 g NaCl L-1) to remove interfering substances such as the feces and blood, celomatic liquid, vitellogenic material and any microorganisms (Tabata & Portz, 2004).The collected eggs were washed in saline solution (10 g NaCl L-1), wrapped in plastic bags and transported in thermal boxes with ice (0 - 4°C) to the Unidade Laboratorial de Referência em Tecnologia do Pescado - ULRTP – Apta - SAA/Instituto de Pesca, Santos, São Paulo State, Brazil (23º 57' 39" S, 46º 20' 01" W). The remained samples were stored under refrigeration (0 - 4°C) overnight. The day after the collection, the cooled roes were divided into 1 kg batches and processed as caviar substitutes comprising four treatments (Table 1).

For processing the product, the procedures of Good Manufacturing Practices (GMP) were used. The preliminary steps involved the washing of eggs in saline solution (10 g NaCl L-1); drainage; immersion for 60 s in saline solution (10 g NaCl L-1) supplemented with lactic acid (1.2 mL L-1) to lower the pH between 4.3 and 4.5, and drainage. Lactic acid was provided by Quinabra Cia. Ltda - Brazilian Natural Chemical Ltd. (Purac - Eusfa specification concentration 75.5 - 84.5%), and was used salt specific for human consumption.
In the K and M treatments, which used traditional pasteurization, after salt addition (1.5 and 3.0% sodium chloride, respectively), the roes were packed in glass jars (40 g) and subjected to water bath (Novatécnica NT - 268) with internal circulation of water for 30 min at 70°C. During the process, the temperature distribution was assessed using temperature probes inserted into the middle of the glass containers. Next, they were cooled under running water until the product reached 25°C, and stored under refrigeration (0 - 4°C) as in Ferreira, Carbonera, and Santo (2011).
In the L and O treatments the roes were immersed in boiling saline solution (10 g NaCl L-1, 2 L of saline solution per kg of eggs) for 1 min. This method was adapted from procedure used by Japanese in the homemade ikura manufacture (Tsukamoto, 2012, personal communication,), and was named fast heat treatment in the current study. Afterwards the product was drained and salt was added (1.5 and 3% of sodium chloride, for treatement L and O, respectively). The product was packed in glass jars (40 g), cooled under running water until the product reached 25°C and stored under refrigeration between 0 - 4°C.
During the processing, the temperature was monitored with the thermograph data logger Testo 176 model. Drinkable water was used to prepare saline solutions and the glass jars were previously washed and dried in an oven (dry heat at 120°C). The salt used was the commercial. During storage under refrigeration, the temperature was monitored with an instrument of LogTag Trix-8 model. The operational flow chart of caviar substitute is shown in Figure 1.

Microbiological analyses (count of total and thermotolerant coliforms, Staphylococcus aureus positive coagulase and Salmonella spp) and the chemical analysis (reaction to sulphide gas, sodium chloride and titratable nitrogen) were carried out in two samples (40 g glass jars) of each treatment on days 1, 90 and 180 of storage (0 - 4°C), in accordance with the methods recommended by Downes and Ito (2001) for the microbiological tests and according to Brasil (2011) for the chemical analysis.
The analysis of moisture, protein and ash contents of raw material and products storage time of a day only (0 - 4°C) were carried out as described in Brasil (2011); the lipids were determined in accordance with method of Bligh and Dyer (1959); the carbohydrate content was determined by difference: the percentage of moisture, proteins, lipids and ashes, subtracted from 100, according to Anvisa - RDC360/03 (Brasil, 2003). To calculate the caloric value, we used the Atwater coefficients, according to Watt and Merrill (1963), that is, 4 for proteins; 4 for carbohydrates and 9 kcal g-1 for lipids. The pH determination was carried out according to Brasil (2011).
According to the values of tolerance limit for microbiological standards established by RDC 12 (Brasil, 2001), immediately after the result of the analyses (10 and 180 days of storage), the samples were subjected to sensory analysis of 47 judges, usual fish consumers, using the criterion of 9-point hedonic scale with rates from “liked very much” to “disliked very much” to measure acceptance indexes (Stone & Sidel, 1993; Drake, 2008). The samples were assessed in the monadic method in individual cabins for sensory analysis. The attributes evaluated were appearance, color, consistency, odor and taste, as well as purchase intent. To calculate the product acceptance index, we adopted the expression: AI (%) = A x 100/B, where A = average rate for the product, and B = maximum rate for the product. The AI ≥ 70% was considered good acceptance (Teixeira, Meinert, & Barbeta, 1987).
The proximate composition data were tested by analysis of variance to determine possible differences in the samples K, L, M and O, with three replications, for Moisture, Total Lipid, Crude Protein, Carbohydrate and Energy value and, subsequently, the Dunnett test was applied to contrast the means with the control group (raw material), only for significant results (ANOVA: p < 0.05) (Bertoldo, Rocha, Coimbra, Zitterell, & Grah, 2007). The data of titratable nitrogen by formaldehyde were submitted to two-factor analysis of variance (two-way ANOVA) for the balanced experiment at 5% probability. The N amine (g) was the response variable and the samples and storage periods were the model factors and their interactions. The factors with significant differences (p < 0.05) were submitted to multiple comparisons in the Tukey test. Regarding the sensory analysis, to verify the statistical significance (p < 0.05) of the judges’ rates for the samples factors, the nonparametric tests of Kruskal-Wallis, according to Castilhos and Del Bianchi (2011) were applied.
Results and discussion
The raw material, as well as all the samples of caviar substitutes analyzed in this study are in accordance with the standards recommended by the RDC 12, item 7 paragraph F (Brasil, 2001) in terms of absence of Salmonella sp in 25 g of product, population of S. aureus is below 5 x 102 g-1, and the population of coliforms is at 45°C is below 102 g-1.
Salt is one of the most commonly used additives in the food industry because of its low cost and various properties. In addition to the antimicrobial effect, sodium chloride is a flavor enhancer because of its performance in different biochemical mechanisms (Albarracín, Sánchez, Grau, & Barat, 2011). In the current study, the NaCl was added to enhance flavor and characterize the product, and the mean values found in 100 g of sample were 0.5 g for the K and L treatments, and 2.3 g for the M and O treatments, containing respectively 1.5 and 3.0% sodium chloride in the formulation. According to the current legislation, canned caviar should not contain more than 10% of sodium chloride (Brasil, 1952).
Food industries attempt to replace or reduce the salt content in food due to harmful effects caused by excess sodium intake, closely associated with hypertension (Albarracín et al., 2011). According to Liem, Miremadi, and Keast (2011), low-sodium food is a challenge, because salt has specific functionality in taste and palatability of foods. Bledsoe, Bledsoe, and Rasco (2003) state that the market trend for salt reduced products raises concerns about food safety, given that maintenance of suitable storage is a critical point to stage for salt-reduced products such as Ikura. Nevertheless, these products can be considered safe under satisfactory refrigeration (Shin & Rasco, 2007), procedure also utilized in this study.
The pH of the raw rainbow trout roes ranged from 6.45 to 6.49. After the immersion of the roes in saline and lactic acid, the pH values were 4.3 and 4.5. However, the values rose to 6.3 - 6.5 after 180 days of storage. These values were similar to those obtained by Ferreira et al. (2011), who concluded that this condition could lead to the inhibition of the development of C. botulinum. In this study, we used an association of acidification, heat treatment, salt addition and refrigeration at 0 - 4°C, as suggested by Silva and Gibbs (2010).
Inanli, Oksuztepe, Ozpolat, and Coban (2011) used different concentrations of acetic acid in rainbow trout caviar, and concluded that it does not affect the sensory characteristics and showed antimicrobial activity. The action of lactic acid in the current study, and the pH reduction may also have influenced the low microbial development and consequent stability of the trout caviar substitute in all treatments. Al-Holy, Lin, and Rasco (2005) investigated the effect of nisin in combination with heat treatments or antimicrobials (such as lactic acid, chlorous acid and sodium hypochlorite) on the inhibition of Listeria monocytogenes and total mesophiles in caviar and concluded that there was no synergistic effect due to the combination of nisin with lactic acid. However, the lactic acid (1 - 3%) caused a slight reduction (1 log unit) on the microbial load during 6 days under storage at 4°C. The low microbial counts as observed in this study suggest appropriate handling practices of raw materials and during the entire process (Farias & Freitas, 2008).
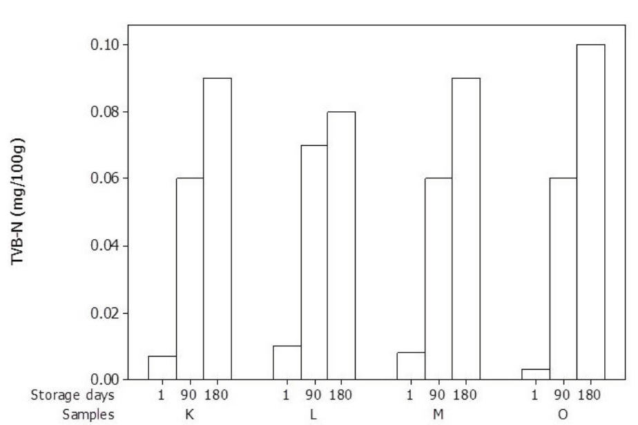
Canned caviar substitute must not produce reaction of hydrogen sulfide gas and titratable nitrogen levels must not exceed 0.05% (Brasil, 1952). The chemical analyses of products prepared in this study were negative for reaction of hydrogen sulphide gas. The titratable nitrogen analysis by formaldehyde evaluates the release of amino acids due to the protein hydrolysis by proteolytic enzymes. According to Kopylenko and Rubtsova (2004), pasteurization of salmon roes in 100 g flasks for 90 min (65 - 70°C) resulted in complete inactivation of proteinase in pH 6.2 to 6.4, which allowed the storage time of 4 to 8 months at 2-4°C. In the current study, the titratable nitrogen values by formaldehyde on days 1 and 90 after processing remained within the parameters required by the Brazilian legislation (Brasil, 1952), below 0.05%. On day 180 of storage (0 - 4°C), values ranged from 0.03 to 0.05%, for both treatments (Figure 2).

The data analysis of titratable nitrogen by formaldehyde indicates statistical significance only for the storage periods (F = 56.97; DF = 2; p = 0.000; r2 = 0.82), and the samples and the interaction among factors (periods) were not significant (p > 0.05). The multiple comparison detected greater significant difference (p < 0.001) only for storage of one day in relation to the other periods.
The results for proximate composition are described in Table 2. The samples were significant (ANOVA: p < 0.05) among the parameters, except carbohydrate (ANOVA: p = 0.052). The Dunnett test showed significant differences (p < 0.05) compared to the raw material, for moisture: K, L, M, and O samples; ash content: M and O samples; lipids: K and L samples; protein content: K and O samples and energy value: M and O samples, indicating that the different treatments affected the original composition of the roes, with highlight for the ash content that was higher for M and O samples due to the higher NaCl amount used in the formulation (3%). Compared with the raw material, the moisture value was reduced for all samples, due the immersion of the roes in saline, and NaCl used in the formulation. The other parameters can be explained by mass transfer phenomena during the osmotic process, proportional to the concentration of NaCl used.
However, if taking into consideration the ANOVA model, samples only (without the raw material), the means were statistically significant (ANOVA: p < 0.05), except for carbohydrate (ANOVA: p = 0.348) and protein (ANOVA: p = 0.055). Tukey’s test indicated all means of samples showed significant differences (p < 0.05) for Moisture; samples M and O for Ash, K for lipid and K and L for Energy value. In this study the different percentages of NaCl and heat treatments used did not change the Carbohydrate and Protein values of the samples. However, the levels of moisture were different for all samples. The rapid heat treatment and 3% of NaCl may have contributed to the lower moisture content, resulting in the highest concentration of ash and energy content in the sample O.
Wirth et al. (2000) evaluated the composition of caviar from roes of wild and farmed sturgeons, resulting in protein contents of 26.2 to 31.1% and lipids of 19.4% to 10.9. The lowest values were found in caviar from roes of farmed sturgeons. The authors obtained 45% moisture levels for salmon roes. Bledsoe et al. (2003) obtained lipid contents ranging from < 5 to 20% with an average of 10% for salmon roes.
The chemical composition of fish roe differs among species and differences are also observed during the gonadal maturation cycle. The low lipid contents obtained in the current study may be related to the diet composition, with 45% crude protein and 10% crude fat. The protein contents for the raw material and treatments are similar to those obtained by Wirth et al. (2000) for caviar of farmed sturgeon. Caloric values obtained are within the limits proposed by Brunner, Marx, and Stolle (1995) for roes of various species, between 130 and 280 kcal 100 g-1.
Cantoni, Bianchi, Renon, and Beretta (1975) stated that salmon roes showed high protein contents, and this composition suits particularly for human and animal consumption, and this statement was also corroborated by Bledsoe et al. (2003). Fish roes offer quality protein with high biological value and are a rich source of glutamic acid, lysine, serine, and aspartic acid (Bledsoe et al., 2003; Mol & Turam, 2008). According to Moriya et al. (2007), salmon roes contain significantly more docosahexaenoic acid (DHA) and eicosapentaenoic acid (EPA) than tuna and sardine oils. Moreover, they show a higher oxidative stability, probably due to the phospholipid contents.
The statistical data obtained in the sensory analysis showed significant difference among samples (Kruskal-Wallis: p < 0.001) and the highest rates show that consumers preferred the L sample, containing 1.5% of NaCl, subjected to fast heat treatment and 180 days of storage under refrigeration, suggesting that the traditional pasteurization process may have influenced negatively the sensory characteristics during storage (Figure 3).
The lowest scores were obtained in the treatments containing 3% of NaCl, indicating the preference for low-salt amounts. According Teixeira, Meinert, and Barbeta (1987), only products with values ≥ 70% are considered to be well accepted. The present study showed acceptance rate of 70.33%, therefore, within the parameters recommended by that author.
The selection and consumption of foods are a complex phenomenon and the sensory properties of color, flavor, odor and texture are considered as determinant factors for the consumer’s choice to purchase a product (Dantas, Deliza, Minim, & Hedderley, 2005; Osório, Osório, & Sañudo, 2009). Color is the first quality parameter evaluated by consumers, and it is critical to product acceptance (Leon, Mery, Pedreschi, & Leon, 2006). However, additional factors such as the product name, brand and label, availability of information, nature, as well as the user’s familiarity with the product play an important role in its acceptance and purchase choice. Many consumers avoid certain products due to lack of familiarity or information about them (Ahenkora & Sobotie, 2005).
We observed a 25% intention to purchase the rainbow trout caviar in our study. The judges that showed no interest to purchase the caviar substitute justified their opinions by the lack of familiarization with the product, the expected high prices associated with caviar and the lack of consumption habit. However, we observed that even among the judges that do not appreciate the product, some would purchase it to use in preparation of more elaborated or sophisticated dishes. To afford good results in the acceptance and sales of rainbow trout caviar, it is essential to develop a marketing strategy as suggested by Finco, Deliza, Rosenthal, and Silva (2010) and create an orientation program to consumers.


Conclusion
The product acceptability, the food safety, and shelf life up to 180 days obtained in this work, suggested that caviar substitute developed with rainbow trout roes presents commercial potential to production.
Acknowledgements
Authors would like to express deep gratitude to Marcos Guilherme Rigolino, in memoriam, for encouragement and commitment towards the execution of this project. We kindly thank Rosana A. da Silva, Luis Roberto da Silva, and Antonio D. da Silva for assistance in maintaining the brood stocks. We also acknowledge Conselho Nacional de Desenvolvimento Científico e Tecnológico (CNPq), for the financial support (Process Nº 475433/2010-6) and Quinabra - Química Natural Brasileira Ltda. for providing the lactic acid.
References
Ahenkora, K., & Sobotie, S. (2005). Consumer expectancies and acceptance of novel foods. Ghana Journal of Agricultural Science, 1, 169-173.
Albarracín, W., Sánchez, I. C., Grau, R., & Barat, J. M. (2011). Salt in food processing; usage and reduction: a review. International Journal of Food Science and Technology, 46(7), 1329-1336.
Al-Holy, M., Lin, M., & Rasco, B. (2005). Destruction of Listeria monocytogenes in sturgeon (Acipenser transmontanus) caviar by a combination of nisin with chemical antimicrobials or moderate heat. Journal of food protection, 68(3), 512-520.
Altuga, G., & Bayrakb, Y. (2003). Microbiological analysis of caviar from Russia and Iran. Food Microbiology, 20, 83-86.
Bertoldo, J. G., Rocha, F., Coimbra, J. L. M., Zitterell, D., & Grah, V. F. (2007). Teste de comparação de médias: dificuldades e acertos em artigos científicos. Revista Brasileira de Agrociência, 13(4), 441-447.
Bledsoe, G. E., Bledsoe, C. D., & Rasco, B. (2003) Caviar and fish roe products. Critical Reviews in Food Science and Nutrition, 43(3), 317-356.
Bligh, E. G., & Dyer, W. J. (1959). A rapid method of total lipid extraction and purification. Canadian Journal of Biochemistry and Physiology, 37(8), 911-917.
Brasil. (1952). Ministério da Agricultura. Regulamento de inspeção industrial e sanitária de produtos de origem animal. Decreto n.º 30.691 de 29 de março de 1952. Diário Oficial da União, Brasília, DF.
Brasil. (2001). Ministério da Saúde. Agência Nacional de Vigilância Sanitária. Resolução – RDC 12 de 2 de janeiro de 2001. Padrões microbiológicos e sanitários para alimentos. Diário Oficial da União, Brasília, DF.
Brasil. (2003). Ministério da Saúde. Agência Nacional de Vigilância Sanitária. Resolução – RDC 360 de 23 de dezembro de 2003. Regulamento técnico sobre rotulagem nutricional de alimentos embalados. Diário Oficial da União, Brasília, DF.
Brasil. (2011). Ministério da Agricultura, Pecuária e Abastecimento. Instrução normativa n.º 25 de 2 de junho de 2011. Métodos analíticos oficiais físico-químicos para controle de pescado e seus derivados. Diário Oficial da União, Brasília, DF.
Brunner, B., Marx, H., & Stolle, A. (1995). Aspects of composition and hygiene relevant to caviar from the market. Archiv fur Lebensmittel-hygiene, 46(4), 80-85.
Cantoni, C., Bianchi, M. A., Renon, P., & Beretta, G. (1975). Caviar, substitutes and gonads of salmonid fishes. Archivio Veterinario Italiano, 26(5-6), 181-187.
Caprino, F., Moretti, V. M., Bellagamba, F., Turchini, G. M., Busetto, M. L., Giani, I., ... Pazzaglia, M. (2008). Fatty acid composition and volatile compounds of caviar from farmed white sturgeon (Acipenser transmontanus). Analytica Chimica Acta, 6(17), 139-147.
Castilhos, M. B. M., & Del Bianchi, V. L. (2011) Caracterização físico-química e sensorial de vinhos brancos da região noroeste de São Paulo. Holos Environment, 4, 148-58.
Catarci, C. (2004). Sturgeons (Acipenseriformes). In C. Catarci (Ed.), World markets and industry of selected commercially-exploited aquatic species with an international conservation profile (p. 1-58). Rome, IT: FAO.
Dantas, M. I. S., Deliza, R., Minim, V. P. R., & Hedderley, D. (2005) Avaliação da intenção de compra de couve minimamente processada. Food Science and Technology, 25(4), 762-67.
Downes, F. P., & Ito, K. (2001). Compendium of methods for the microbiological examination of foods (4nd ed.). Washington, DC: Edwards Brothers.
Drake, M. A. (2008). Sensory analysis of dairy foods. Journal of Dairy Science, 90, 4925-4937.
Farias, M. C. A., & Freitas, J. A. (2008) Qualidade microbiológica de pescado beneficiado em indústrias paraenses. Instituto Adolfo Lutz, 67(2), 113-117.
Ferreira, F. A., Carbonera, N., & Santo, M. L. P. E. (2011). Influência do teor de NaCl no caviar à base de ovas de tainha (Mugil platanus). Instituto Adolfo Lutz, 70(1), 35-40.
Finco, F. D. B. A., Deliza, R., Rosenthal, A., & Silva, C. H. O. (2010). The effect of extrinsic product attributes of pineapple juice on consumer intention to purchase. Journal of Food & Agribusiness Marketing, 22, 125-142.
Flynn, S. R., Matsuoka, M., Reith, M., Martin-Robichaud, D. J., & Benfey, T. J. (2006). Gynogenesis and sex determination in shortnose sturgeon (Acipenser brevirostrum). Aquaculture, 253, 721-727.
Inanli, A. G., Oksuztepe, G., Ozpolat, E., & Coban, O. E. (2011). Effects of acetic acid and different salt concentrations on the shelf life of caviar from rainbow trout (Oncorhynchus mykiss W.1972). Journal of Animal and Veterinary Advances, 10(23), 3172-3178.
Kopylenko, L. R., & Rubtsova, T. E. (2004). Effect of pasteurization on the activity of proteinases in salmon roe. Applied Biochemistry and Microbiology, 40(5), 441-444.
Leon, K., Mery, D., Pedreschi, F., & Leon, J. (2006). Color measurement in L*a*b inits from RGB digital images. Food Research International, 39, 1084-1091.
Liem, D. G., Miremadi, F., & Keast, R. S. J. (2011). Reducing sodium in foods: the effect on flavor. Nutrients, 3(6), 694-711.
Lovatti, R. C. C. (2004) Gestão de qualidade em alimentos: uma abordagem prática. Higiene Alimentar, 18(122), 26-31.
Miettinem, H., Arvola, A., & Wirtanem, G. (2005) Pasteurization of rainbow trout roe: Listeria monocytogenes and sensory analyses. Journal of Food Protection, 68(8), 1641-1647.
Mol, S., & Turam, S. (2008). Comparison of proximate, fatty acid and amino acid compositions of various types of fish roes. International Journal of Food Properties, 11(3), 669-677.
Moriya, H., Kuniminato, T., Hosokawa, M., Fukunaga, K., Nishiyama, T., & Miyshita, K. (2007). Oxidative stability of salmon and herring roe lipids and their dietary effect on 406 plasma cholesterol level of rats. Fisheries Science, 73(3), 668-674.
Osório, J. C. S., Osório, M. T. M., & Sañudo, C. (2009). Características sensoriais da carne ovina. Revista Brasileira de Zootecnia, 38, 292-300.
Shin, J. H., & Rasco, B. A. (2007). Effect of water phase salt content and storage temperature on Listeria monocytogenes survival in chum salmon (Oncorhynchus keta) roe and caviar (ikura). Journal of Food Science, 72(5), 160-165.
Silva, F. V. M., & Gibbs, P. A. (2010). Non-proteolytic Clostridium botulinum spore in low-acid cold-distributed foods and design of pasteurization processes. Trends in Food Science & Technology, 21(2), 95-105.
Stone, H. S., & Sidel, J. L. (1993). Sensory evaluation practices. San Diego, CA: Academic Press.
Tabata, Y. A., & Portz, L. (2004). Truticultura nos trópicos. In: J. E. P. Cyrino, E. C. Urbinati, D. M. Fracalossi, N. Castagnoli. (Org.), Tópicos especiais em piscicultura de água doce (p. 309-342). Jabotical, SP: Sociedade Brasileira de Aquicultura e Biologia Aquática.
Teixeira, E., Meinert, E., & Barbeta, P. A. (1987). Análise sensorial dos alimentos. Florianópolis, SC: UFSC.
Watt, B., & Merrill, A. L. (1963). Composition of foods: raw, processed, prepared: Consumer and foods Economics Research Service. Washington, DC: Agriculture Handbook.
Wirth, M., Kirschbaum, F., Gessner, J., Kruger, A., Patriche, N., & Billard, R. (2000). Chemical and biochemical composition of caviar from different sturgeon species and origins. Nahrung-Food, 44(4), 233-237.
Author notes
thaismoron@pesca.sp.gov.br