Engenharia Agrícola
Simtrac – an application for simulation of traction efficiency of agricultural tractors with front wheel assist
Simtrac – um aplicativo para a simulação da eficiência de tração de tratores agrícolas com tração dianteira auxiliar
Simtrac – an application for simulation of traction efficiency of agricultural tractors with front wheel assist
Acta Scientiarum. Technology, vol. 38, no. 4, pp. 423-430, 2016
Universidade Estadual de Maringá

Received: 17 September 2015
Accepted: 26 February 2016
Abstract: Process mechanization has contributed significantly to the increase of agricultural productivity, although the correct selection of machines must take into account a set of technical, administrative and economic parameters. Mathematical modeling of the soil and traction device interaction allows researchers and designers to analyze problems associated to traction performance in tractors and to optimize operational parameters. Mobile devices have currently dominated the technological market. Smartphones and tablets feature mobility and great processing capacity and these characteristics have favored the development and the insertion of applications in many fields. Current research developed an application to simulate the traction capacity of agricultural tractors with front wheel assist. The application was developed with Android platform, version 2.3 ‘Gingerbread’. The application is intuitive and easy to operate, besides showing great flexibility. It may be used in schools and in research to optimize agricultural operations. Concordance between simulated and observed results, obtained from validation process, demonstrated the prediction capacity of the traction efficiency of agricultural tractors. Further, it has been verified that input parameters associated to surface conditions are fundamental for the simulation of traction efficiency.
Keywords: modeling, mechanization, mobile technology.
Resumo: A mecanização de processos tem contribuído significativamente para o aumento da produtividade agrícola. A correta seleção de máquinas deve considerar um conjunto de parâmetros de natureza técnica, administrativa e econômica. Modelagem matemática da interação solo e dispositivo tração possibilita a pesquisadores e projetistas analisar problemas associados ao desempenho de tração de tratores e otimizar parâmetros operacionais. Atualmente, os dispositivos móveis têm dominado o mercado de tecnologia. Celulares inteligentes (smartphones) e tablets possuem características como mobilidade e grande capacidade de processamento, o que têm favorecido o desenvolvimento e a inserção no mercado de aplicativos destinados a diversas áreas. Este trabalho foi realizado com o objetivo de desenvolver um aplicativo para simular a capacidade de tração de tratores agrícolas com tração dianteira auxiliar. Para o desenvolvimento dos aplicativos, empregou-se a plataforma Android versão 2.3 ‘Gingerbread’. O aplicativo desenvolvido apresentou grande flexibilidade, sendo intuitivo e de fácil operação, podendo ser empregado para otimização da execução de operações agrícolas, para pesquisa e educação. A boa concordância entre os resultados observados e simulados, no processo de validação, demonstrou a capacidade de predição da eficiência de tração de tratores agrícolas. Adicionalmente, verificou-se que os parâmetros de entrada associados às condições de superfície são fundamentais para a simulação da capacidade de tração.
Palavras-chave: modelagem, mecanização, dispositivos móveis.
Introduction
Mechanization of agricultural processes is now commonplace and has contributed significantly for improving crop productivity. Increase of mechanization processes has required new investments in machinery, with greater power and embedded technology, to comply with the demands of the several sectors of the productive agricultural
chain (Hormozi, Asoodar, & Abdeshahi, 2012; Capaz, Carvalho, & Nogueira, 2013). However, the use of agricultural machines on field operations needs training of machine operators, control of work conditions and management of activities to improve productivity with costs reduction (Schlosser, Debiasi, Parcianello, & Rambo, 2002; Reis et al., 2005). Performance optimization of mechanized systems is associated to comprehension of the relations between technical and economic aspects involved in mechanization.
The correct choice of a tractor, machine or agricultural implement must take into account a set of technical, administrative and economic parameters (Mercante, Souza, Johann, Gabriel Filho, & Uribe-Pazo, 2010). The selection of mechanized systems for a farm may be a complex task due the several variables and parameters involved (Yanai, Silveira, Lanças, Corrêa, & Maziero, 1999; Duarte Júnior, Garcia, Coelho, & Amim, 2008; Silva et al., 2008; Peça et al., 2010). In this context, the use of mathematical models associated to development of softwares is a powerful tool for analysis, management and selection of agricultural machines and tools (Mercante et al., 2010; Baio, Rodrigues, Santos, & Silva, 2013). Through mathematical modeling, machine performance may be predicted and the behavior of the mechanized systems comprehended (Goering, Stone, Smith, & Turnquist, 2006), with the optimization of its efficiency.
Mathematical modeling for soil and traction device interaction makes researchers and designers to analyze problems associated to traction performance of agricultural tractors, to improve the design of tractors, to optimize operational parameters and to improve the performance of the tractor-implement systems (Tiwari, Pandey, & Pranav, 2010). The computational simulation of the traction performance favors the factors that interfere in the operational efficiency of agricultural tractors without field trials (Al-Hamed & Al-Janobi, 2001). Several researches have been carried out to develop models to predict traction efficiency and stability of tractor-implement set and for the development of computational simulation tools (Abu-Hamdeh & Al-Jalil, 2004; Catalán, Lineares, & Méndez, 2008; Sahu & Raheman, 2008; Tiwari et al., 2010).
Mobile devices have currently dominated the technological market. Smartphones and tablets have great processing capacity, with the handling of image files, audio files, the use of several tools available for internet and the execution of applications (Lantzos, Koykoyris, & Salampasis, 2013).
Features like mobility and processing capacity available on mobile devices have favored the development and the insertion of applications in many fields such as entertainment (Kurniati, Tanzil, & Purnomo, 2015), education (Chappel & Paliwal, 2014), health (Taylor, Abdulla, Helmer, Lee, & Blanchonette, 2011; Agarwal, Abhishek, Kumar, Prasad, & Singh, 2015) and agriculture (Gong, Yu, He, & Qiu, 2013; Lantzos et al., 2013; Sesma, Molina-Martínez, Cavas-Martínez, & Fernández-Pacheco, 2015; Vesali, Omid, Kaleita, & Mobli, 2015).
Since there is a great potential for the development of simulation computational tools for mobile devices, useful in several fields of application, current study developed, implemented and validated an application for Android platform, from a mathematical modeling, to simulate the traction efficiency of agricultural tractors 4x2 with front wheel assist.
Material and methods
The application, called Simtrac, was developed for Android platform, version 2.3 ‘Gingerbread’. A set of computational tools was employed for the development of the application: Android SDK (Standard Development Kit), Eclipse IDE (Integrated Development Environment) and Eclipse ADT Plug-in (Android Developer Tools Plug-in).
Modeling traction efficiency
Mathematical modeling of the traction efficiency of an agricultural tractor 4x2 with front wheel assist was carried out according to methodology by Goering, Stone, Smith, and Turnquist (2006). The tractor had to operate at constant velocity, with constant angular velocity of the wheels, characterizing a condition of static equilibrium of forces. Force reactions on front and rear wheels were calculated by Equations 1 and 2. The system of coordinates was defined by xyz axes, where x axis has the direction of the longitudinal line of the tractor passing through the center of the rear wheel; y axis has the direction of the transversal line of the tractor; and z axis has a downward direction on the surface direction.
[1]
[2]where:
Rf is the reaction on front wheels (N);
Rr is the reaction on rear wheels (N);
Wt is the total weight of the tractor (N);
P is the applied force on drawbar of the tractor (N);
β is the surface slope (rad);
α is the application angle of the force P relative to x axis (rad);
TFf is the rolling resistance of the front wheels (N);
TFr is the rolling resistance of the rear wheels (N);
rf is the rolling radius of the front tyres (m);
rr is the rolling radius of the rear tyres (m);
h1t is a line defined from center of gravity to the center of rear wheel (m);
θ1t is the angle defined between h1t line and the line passing through the center of gravity in a longitudinal direction of the tractor (i.e. parallel component of drawbar) (rad);
h3 is a line defined from center of gravity to the edge of the drawbar (m);
φ is the angle defined between h3 line and z axis (rad); and
C1, C2 and C3 are constants defined by, , and.
Dynamic loads acting over each tyre were calculated presuming that all tyres of the front wheels receive the same load, as well as for rear wheels, according to Equations 3 and 4.
[3]
[4]where:
Wf is the dynamic load acting over each front tyre (N);
Wr is the dynamic load acting over each rear tyre (N);
nf and nr are the number of tyres on front and rear axles, respectively.
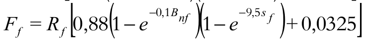
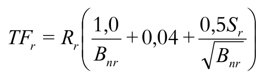
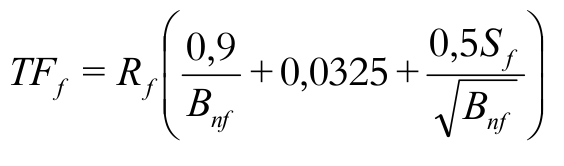
The rolling resistance forces TFr and TFf were determined by Equations 5 and 6 for bias-ply tyres and Equations 7 and 8 for radial tyres.
[5]
[6]
[7]
[8]where:
Bnf is the mobility index for the front wheels;
Bnr is the mobility index for the rear wheels;
Sf is the travel reduction ratio (slip) of the front wheels; and
Sr is the travel reduction ratio (slip) of the rear wheels.
The mobility indexes for front and rear tyres were calculated by Equations 9 and 10.
[9]
[10]where:
CI is the soil cone index in a layer from 0 to 0.15 m deep (Pa);
bf and br are front and rear tyres section width, respectively (m);
df and dr are front and rear tyres overall diameter (m);
hf and hr are front and rear tyres section height, respectively (m); and
and are front and rear tyres deflection (m), respectively.
Cone indexes were employed, as a simulation parameter, to characterize surface conditions, adapted by Brixius (1987). Simtrac application was used in four soil classes: soft, tilled, firm and hard, corresponding to soil cone indexes of 450, 900, 1200 and 1800 kPa, respectively. Consequently, the user selects the soil class to be employed in simulations from a specific menu which becomes easier as experience improves.
The raw traction forces for front and rear wheels were determined by Equations 11 and 12 for bias ply tyres and Equations 13 and 14 for radial tyres.
[11]
[12]
[13]
[14]where:
Fr and Ff are raw traction forces for front and rear wheels (N), respectively.
Equation 15 represents balance of forces on the displacement direction of the tractor.
[15]The available torque on axles of the front and rear wheels was calculated according to Equations 16 and 17.
[16]
[17]where:
Twf and Twr are the sum of the torques acting on the axles of the front and rear wheels (N m), respectively.
Torque required by tractor engine was calculated by Equation 18. The transmission ratios employed are associated to the selected gear during simulations. For simulations with a specific tractor, ratios should be obtained from the manufacturer's manual of the tractor or previously determined by measurements.
[18]where:
Te is the required torque by the engine (N m);
and are the power transmission efficiency between engine and wheels;
Gf is the ratio between engine rotation and front wheel rotation
; and
Gr is the ratio between engine rotation and rear wheel rotation
.
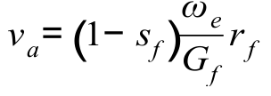
Traction efficiency of tractor was calculated by Equation 19.
[19]where:
is the traction efficiency;
is engine rotation (rad s-1);
va is the forward velocity of the tractor (m s-1) calculated by
.
For simulation, the user should consider a determined force applied to tractor drawbar, associated to a specific scenery, such as harrowing, plowing, subsoiling and others. From this input force, the Simtrac application will allow the user to calculate the travel reduction ratio (slip) of the drive wheels; torque on drive wheels; forward velocity of the tractor and traction efficiency. Figure 1 shows a flow diagram to illustrate the procedure adopted to determine traction efficiency of an agricultural tractor 4x2 with front wheel assist.

Experimental trials for Simtrac validation
Experimental trials for traction efficiency determination were carried out with a John Deere tractor, model 5705 (62 kW). A data acquisition system manufactured by HBM, model Spider 8 was configured for the tractor. Several sensors were linked to data acquisition system: velocity sensor, radar type, manufactured by Dickey-John, model RVS II; engine rotational speed sensor, manufactured by Schmersal, model IFL 2-8M-10St2P; drive wheels rotational speed sensors, manufactured by Schmersal, mode IFL-5-1811ZNG; force sensor, strain-gage type, for determination of the drawbar force, manufactured by Omega, model LCCA-5K. Data acquisition rate used was 800 Hz for all trials.
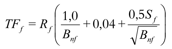
The experimental trials were performed to validate Simtrac application, submitting the tractor to actual traction conditions on rigid surfaces. The surfaces employed were an asphalt track and a dirt track. The selection of the asphalt track established a surface condition with minimal deficiency of traction. However, due the manner Simtrac is implemented, where the user selects the condition of surface based on information of the soil cone indexes (Brixius, 1987), some errors on simulation may be induced when the selected surface (such as the asphalt track) is not in the data bank of the application.
During the trials, a tractor Massey Ferguson, model 283 (63.3 kW) was used as ballast tractor. The following average forces applied to drawbar were considered for trials on asphalt track: 0 N (free condition or condition without ballast tractor); 8.5 and 17.5 kN. The following forces were employed for trials on dirt track: 0 N (free condition or condition without ballast tractor); 12.2 and 15.4 kN. Trials were performed with front wheel assist on and off.
All trials were carried out on tracks 10 long and 5 m wide, with 3 replicates. For the validation of the Simtrac application, simulated results were compared to observed results (experimental results obtained from field trials).
Results and discussion
The Simtrac application was developed for the simulation of traction efficiency of agricultural tractors 4x2 with front wheel assist. The application was implemented with tabs called: Início tab (‘Start’ - description of the application); Trator tab (‘Tractor’ - input data of the tractor); Pneus tab (‘Tyres’ - input data of tyres) and SIM tab (input data with parameter of simulation). Figure 2 shows the Início tab; from the button Sobre o Simtrac (‘About Simtrac’) in this tab, the user will have a description of the application features.
Figure 3 demonstrates the tabs of input data employed for the simulation of traction efficiency. The Trator (‘Tractor’) tab (Figure 3a) allows the user to set technical parameters of the tractor to be simulated: total weight; wheelbase; position of the center of gravity; nominal power; rotation at nominal power; power transmission efficiency; transmission ratio; and ballast.
The user will set information on the tyres from the Pneus (‘Tyres’) tab (Figure 3b): tyre type (radial or bias ply); number of tyres by axles; tyres section width; tyres overall diameter; rim diameter, and rolling radius of tyres.
In SIM (‘Simulation’) tab in Figure 3c, the user will set the last simulation parameters, such as: selection of surface type and, consequently, the cone index associated to soil class of the surface (Brixius, 1987); surface slope; angle of application of the force applied to drawbar; magnitude of the force applied to drawbar and the front wheel assist configuration (on or off).
After the configuration of the simulation parameters in the SIM tab, the user must perform the simulation using the Simular (‘Simulate’) button. Results are also given in the SIM tab, such as: travel reduction ratio (slip); raw traction force; forward velocity and traction efficiency (Figure 3c).

Simtrac application was development to simulate traction efficiency of agricultural tractors 4x2 with front wheel assist. The computational tool allows the user to generate and to study different scenarios related to tractor performance (Catalán et al., 2008; Sahu & Raheman, 2008). Several computational tools have been developed to analyze traction performance of the agricultural tractors. Tools are available for educational and research (Al-Hamed, Grisso, Zoz, & Von Bargen, 1994; Al-Hamed & Al-Janobi, 2001; Catalán et al., 2008; Sahu & Raheman, 2008). However, the main feature of the Simtrac application is based on the use of the mobile technologies, considering its computation capacity, mobility, portability and fast expansion on the market (Weng, Sun, & Grigsby, 2012; Lantzos et al., 2013; Confalonieri et al., 2013).
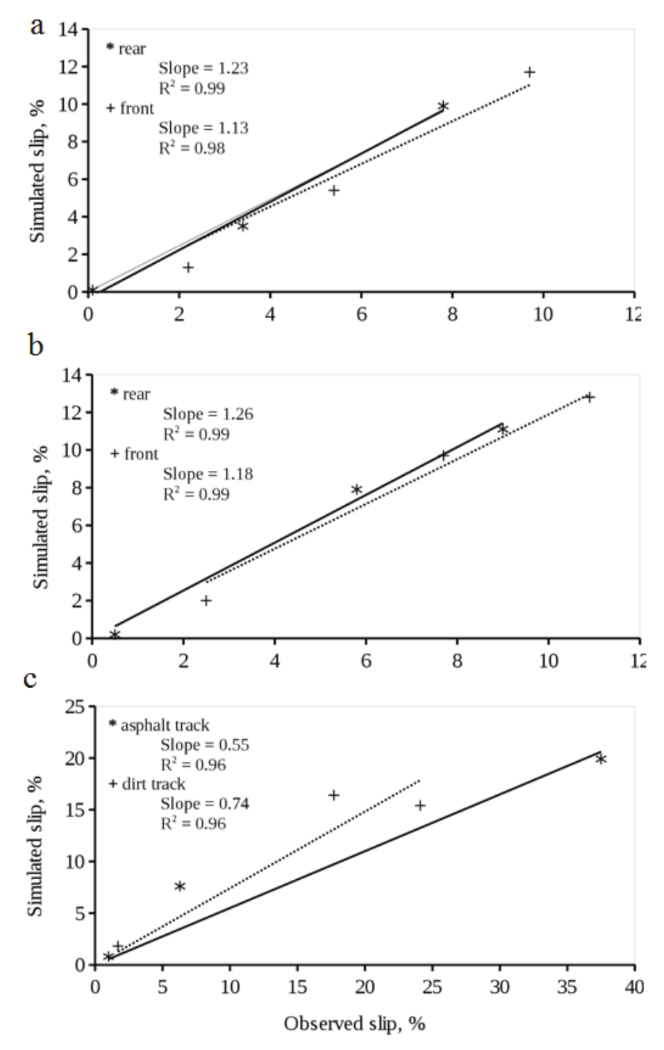
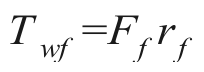
Figure 4 presents the results related to the validation of the Simtrac application. The trials were carried out on asphalt and dirt tracks. The loads on the tractor drawbar were obtained from a ballast tractor, with the following loads: 0 N; 8.5 and 17.5 kN.

Although surface conditions may change significantly the traction capacity of the agricultural tractors (Yanai et al., 1999; Gabriel Filho, Silva, Modolo, & Silveira, 2004; Gabriel Filho, Lanças, Leite, Acosta, & Jesuino, 2010), no significant differences for the trials performed were observed for results between asphalt (Figure 4a) and dirt tracks (Figure 4b). For the proposed scenarios, a good concordance between simulated and observed results was reported, indicated by slopes less than 1.25 and determination coefficients close to 1. The low variation between simulated and observed results for the validation process suggests the capacity of prediction of the application (Sahu & Raheman, 2008). It has been reported that model implemented in Simtrac application would predict the slip with a less than 30% average (absolute) variation for asphalt track and less than 15% for dirt track.
For null load (0 N), the employed model in Simtrac application tended to underestimate the results, although results in Figures 4a and 4b showed that for loads 8.5 and 17.5 kN the application overestimated the tractor slip, perhaps associated to surface conditions. The surface conditions and the loads applied to the drawbar must change significantly the tractor behavior as a function of slip (Sahu & Raheman, 2008; Gabriel Filho et al., 2010; Tiwari et al., 2010).
In the case of trials performed with front wheel assist off, the tractor slip increased as Figure 4c shows. Although the highest deviations between simulated and observed results were registered for the asphalt track, results obtained from the trial on dirt track indicated that Simtrac application presented a good concordance for results in the validation process, with a slope greater than 0.70 and determination coefficient of 0.96. Simulation parameters related to surface conditions, specifically soil cone index, are fundamental for the determination of traction efficiency (Raheman & Jha, 2007; Sahu & Raheman, 2008; Gabriel Filho et al., 2010; Tiwari et al., 2010).
Results obtained showed clearly the capacity of Simtrac application to predict the main variables associated to traction efficiency of the agricultural tractors considering different scenarios. This feature emphasizes that the application may be used for optimizing agricultural operations, education and research.

Conclusion
The application developed for mobile devices presented great flexibility; it is also highly intuitive and easy to use. These features emphasize that the application may be employed to optimize agricultural operations, education and research.
The main feature of the application is based on the use of mobile technologies, considering their computation capacity, mobility and fast expansion on the market.
Good concordance between simulated and observed results, from the validation process, demonstrated that the application is quite suitable to predict the traction efficiency of the agricultural tractors.
The input parameters associated to surface conditions are fundamental for the success of simulation in traction efficiency.
Acknowledgements
The authors would like to thank the National Council for Scientific and Technological Development (CNPq) for funding current study.
References
Abu-Hamdeh, N. H., & Al-Jalil, H. F. (2004). Computer simulation of stability and control of tractor-trailed implement combinations under different operating conditions. Bragantia, 63(1), 149-162.
Agarwal, A., Abhishek, K., Kumar, V., Prasad, N., & Singh, M. P. (2015). Dr. eye: an android application to calculate the vision acuity. Procedia Computer Science, 54(1), 697-702.
Al-Hamed, S. A., & Al-Janobi, A. A. (2001). A program for predicting tractor performance in Visual C++. Computers and Electronics in Agriculture, 31(2), 137-149.
Al-Hamed, S. A., Grisso, R. D., Zoz, F. M., & Von Bargen, K. (1994). Tractor performance spreadsheet for radial tyres. Computer and Electronics in Agriculture, 10(1), 45-62.
Baio, F. H. R., Rodrigues, A. D., Santos, G. S., & Silva, S. P. (2013). Modelagem matemática para seleção de conjuntos mecanizados agrícolas pelo menor custo operacional. Engenharia Agrícola, 33(2), 402-410.
Brixius, W. W. (1987). Traction prediction equations for bias ply tyres. St. Joseph, MI: Asae.
Capaz, R. S., Carvalho, V. S. B., & Nogueira, L. A. H. (2013). Impact of mechanization and previus burning reduction on GHG emissions of sugarcane harvesting operations in Brazil. Applied Energy, 102(1), 220-228.
Catalán, H., Lineares, P., & Méndez, V. (2008). Tractor_PT: A traction prediction software for agricultural tractors. Computers and Electronics in Agriculture, 60(2), 289-295.
Chappel, R., & Paliwal, K. (2014). An educational platform to demonstrate speech processing techniques on Android based smart phones and tablets. Speech Communication, 54(1), 13-38.
Confalonieri, R., Foi, M., Casa, R., Aquaro, S., Tona, E., Peterle, M., … Acutis, M. (2013). Development of an app for estimating leaf area index using a smartphone. Trueness and precision determination and comparison with other indirect methods. Computers and Electronics in Agriculutre, 96(1), 67-74.
Duarte Júnior, J. B., Garcia, R. F., Coelho, F. C., & Amim, R. T. (2008). Desempenho de trator-implemento na cana-de-açucar em sistemas de plantio direto e convencional. Revista Brasileira de Engenharia Agrícola e Ambiental, 12(6), 653-658.
Gabriel Filho, A., Lanças, K. P., Leite, F., Acosta, J. J. B., & Jesuino, P. R. (2010). Desempenho de um trator agrícola em três superfícies de solo e quatro velocidades de deslocamento. Revista Brasileira de Engenharia Agrícola e Ambiental, 14(3), 333-339.
Gabriel Filho, A., Silva, S. L., Modolo, A. J., & Silveira, J. C. (2004). Desempenho de um trator operando em solo com diferentes tipos de cobertura vegetal. Engenharia Agrícola, 24(3), 781-789.
Goering, C. E., Stone, M. L., Smith, D. W., & Turnquist, P. K. (2006). Off-road vehicle engineering principles. American Society of Agricultural Engineers. St. Joseph, MI: Asae.
Gong, A., Yu, J., He, Y., & Qiu, Z. (2013). Citrus yield estimation based on images processed by an Android mobile phone. Biosystems Engineering, 115(2), 162-170.
Hormozi, M. A., Asoodar, M. A., & Abdeshahi, A. (2012). Impact of mechanization on technical efficiency: A Case Study of rice farmers in Iran. Procedia Economics and Finance, 1(1), 176-185.
Kurniati, A., Tanzil, F. N., & Purnomo, F. (2015). Game development “Tales of Mamochi” with role playing game concept based on android. Procedia Computer Science, 59(1), 392-399.
Lantzos, T., Koykoyris, G., & Salampasis, M. (2013). FarmManager: an Android application for the management of small farms. Procedia Technology, 8(1), 587-592.
Mercante, E., Souza, E. G., Johann, J. A., Gabriel Filho, A., & Uribe-Pazo, M. A. (2010). PRAPRAG – Software para planejamento de máquinas agrícolas. Engenharia Agrícola, 30(2), 322-333.
Peça, J. O., Serrano, J. M., Pinheiro, A., Carvalho, M., Nunes, M., Ribeiro, L., & Santos, F. (2010). Speed advice for Power efficient drawbar work. Journal of Terramechanics, 47(1), 55-61.
Raheman, H., & Jha, S. K. (2007). Wheel slip measurement in 2WD tractor. Journal of Terramechanics, 44(1), 89-94.
Reis, G. N., Lopes, A., Furlani, C. E. A., Silva, R. P., Grotta, D. C. C., & Câmara, F. T. (2005). Manutenção de tratores agrícolas e condição técnica dos operadores. Engenharia Agrícola, 25(1), 282-290.
Sahu, R. K., & Raheman, H. (2008). A decision support system on matching and field performance prediction of tractor-implement system. Computers and Electronics in Agriculture, 60(1), 76-86.
Schlosser, J. F., Debiasi, H., Parcianello, G., & Rambo, L. (2002). Caracterização dos acidentes com tratores agrícolas. Ciência Rural, 31(6), 977-981.
Sesma, J., Molina-Martínez, J. M., Cavas-Martínez, F., & Fernández-Pacheco, D. G. (2015). A mobile application to calculate optimum drip irrigation laterals. Agricultural Water Management, 151(1), 13-18.
Silva, R. P., Reis, L. D., Reis, G. N., Furlani, C. E. A., Lopes, A., & Cortez, J. W. (2008). Desempenho operacional do conjunto trator-recolhedora de feijão. Ciência Rural, 38(5), 1286-1291.
Taylor, K., Abdulla, U. A., Helmer, R. J. N., Lee, J., & Blanchonette, I. (2011). Activity classification with smart phones for sports activities. Procedia Engineering, 13(1), 428-433.
Tiwari, V. K., Pandey, K. P., & Pranav, P. K. (2010). A review on traction predictions equations. Journal of Terramechanics, 47(3), 191-199.
Vesali, F., Omid, M., Kaleita, A., & Mobli, H. (2015). Development of an android app to estimate chlorophyll content of corn leaves based on contact imaging. Computers and Electronics in Agriculture, 116(1), 211-220.
Weng, Y., Sun, F., & Grigsby, J. D. (2012). GeoTools An android phone application in geology. Computers & Geology, 44(1), 24-30.
Yanai, K., Silveira, G. M., Lanças, K. P., Corrêa, I. M., & Maziero, J. V. G. (1999). Desempenho operacional de trator com e sem acionamento da tração dianteira auxiliar. Pesquisa Agropecuária Brasileira, 34(8), 1427-1434.
Author notes
fabio.santos@deg.ufla.br