Química
Modelling of relative protection factor of antioxidants TBHQ, BHT and BHA in mixture with biodiesel
Modelagem do fator de proteção relativo dos antioxidantes TBHQ, BHT e BHA em mistura com biodiesel
Modelling of relative protection factor of antioxidants TBHQ, BHT and BHA in mixture with biodiesel
Acta Scientiarum. Technology, vol. 40, 2018
Universidade Estadual de Maringá

Received: 30 January 2017
Accepted: 19 September 2017
Abstract: Antioxidants are an alternative to prevent or retard the degradation of biofuels. In this study was utilized biodiesel obtained from the soybean oil transesterification, by methylic route, using sodium methoxide as catalyst. The synthetic antioxidants, butylhydroxyanisole (BHA), terc-butylhidroquinone (TBHQ) and butylhydroxytoluene (BHT) were added separately and in misture to the biodiesel. The induction period and the relative protection factor (RPF) were evaluated by the Rancimat method at temperatures 110, 115, 120 and 125ºC. The results showed that the highest RPF was for the tests containing the antioxidant TBHQ. The multi-response optimization indicated that the mixture containing only TBHQ was the condition with better performance on the RPF, with the predicted value of 31.27 at a temperature of 110°C. A similar value was obtained experimentally, showing the efficiency of design used and the validity of the obtained models confirmed by statistical analysis of the obtained data.
Keywords: oxidative stability, biofuels, synthetic antioxidants.
Resumo: Os antioxidantes são uma alternativa para prevenir ou retardar a degradação de biocombustíveis. Neste estudo foi utilizado um biodiesel obtido a partir da reação de transesterificação do óleo de soja refinado, por rota metílica, utilizando metóxido de sódio como catalisador. Foram adicionados ao biodiesel, separadamente e em misturas, os antioxidantes sintéticos butilhidroxianisol (BHA), terc-butilhidroquinona (TBHQ) e butilhidroxitolueno (BHT) e o período de indução e o fator de proteção relativo (FPR) foram avaliados pelo método Rancimat nas temperaturas de 110, 115, 120 e 125ºC. Os resultados obtidos mostraram que o FPR mais elevado foi para os ensaios contendo o antioxidante TBHQ. A otimização multirresposta indicou que a condição com melhor desempenho quanto ao FPR foi a mistura contendo apenas o TBHQ, com valor previsto de 31,31 na temperatura de 110ºC, mesmo valor obtido experimentalmente, que mostra a eficiência do delineamento utilizado bem como a validade dos modelos obtidos confirmados pela análise estatística dos dados obtidos.
Palavras-chave: estabilidade oxidativa, biocombustíveis, antioxidantes sintéticos.
Introduction
Biodiesel is classified as a secondary source of renewable energy and the main purpose of its production is the partial or total replacement of petroleum diesel in automotive vehicles. Whereas, mixtures of both fuels research have been carried out and has it reduces emissions of carbon monoxide, carbon dioxide and sulfur dioxide (Sendzikiene, Makareviciene, & Janulis, 2006; Chen & Luo 2011; Maia et al., 2011; Orives et al., 2014).
This biofuel is a mixture of mono-alkyl esters of saturated and unsaturated structures that can be obtained from animal fats, vegetable oils, waste fatty, waste oils and, depending on the raw material, can present high stability or being susceptible to the oxidation process (Karavalakis, Hilari, Givalou, Karonis, & Stournas 2011; Orives et al., 2014; Yang et al., 2014). Furthermore, the degree of oxidative degradation can be affected by several factors, such as the production method, storage conditions, manipulation and the presence of antioxidant additives (Pullen & Saeed, 2012).
According Spacino, Borsato, Buosi, and Chendynski (2015) most of the biodiesel produced uses soybean oil which has chemical characteristic that favors the process of oxidation, leading to peroxides and hydroperoxides formation. The oxidation reactions produce gums, decreasing its stability and difficult the storage. However, biodiesel obtained from this vegetable oil has a low cold filter plugging point, pour point and cloud point, however and high production yield which are desirable characteristics (Orives et al., 2014; Chendynski, Angilelli, Ferreira, & Borsato, 2016).
The most investigated process is the auto oxidation of unsaturated fatty acid methyl esters (FAMEs) forming soluble polymers, organic compounds and intermediates as hydroperoxides which can cause problems in fuel injection equipment and the vehicle engine. Therefore, to maintain the quality of biodiesel as well as their stability, the most effective and economical method has been the addition of antioxidants, in order to retard the oxidation reaction of free radicals in biodiesel to form more stable compounds (Dunn, 2008; Karavalakis et al., 2011; Focke et al., 2012; Pullen & Saeed, 2012; Spacino et al., 2015).
Antioxidants are phenolic compounds which promote the removal or inactivation of free radicals produced, during the initiation and propagation reactions, through the donation of active hydrogen atoms which are removed by free radical more easily than the allylic protons of unsaturated molecules. Therefore, they form inactive species for the chain reaction and an inert radical coming from antioxidant. This stabilized radical does not have the ability to initiate or propagate the oxidation process, so the chain reaction is ceased, while the antioxidant is consumed (Ramalho & Jorge, 2006; Jain & Sharma, 2010; Rawat, Joshi, Lamba, Tiwari, & Kumar, 2015).
Normally it has been used some formulations that contain different combinations of antioxidants and chelating agents. This allows easier manipulation and the advantage of combining the different properties of the compounds. In antioxidant selection or antioxidant formulation, it should be examined first of all, the manufacturing conditions, power and management (Fattah et al., 2014). The most commonly antioxidants used in biodiesel production are synthetic, and they were: the terc-butylhydroquinone (TBHQ), the butylhydroxytoluene (BHT) and butylhydroxyanisole (BHA) due to the effectiveness in avoid the oxidation reaction (Maia et al., 2011).
The relative protection factor has been used in some studies to evaluate the efficiency of antioxidants and their mixtures on the inhibition of biodiesel and vegetable oils’ oxidation. Suja, Abraham, Thamizh, Jayalekshmy, and Arumughan (2004) used synthetic antioxidants in vegetable oil from soybean and sunflower comparing the oxidative stability obtained using as a comparative parameter the protection factor. Spacino et al. (2016) studied the relative protection factor of rosemary extracts formulations, oregano and basil on biodiesel obtained from soybean oil without addition of synthetic antioxidants.
The development of a product using formulations involving more than one ingredient requires some particular forms of experiments, as the mixtures design, where the responses depend only on the proportions of components. These procedures allow an analysis of individual behavior and interaction between the components, allowing to identify possible synergism or even antagonistic effects between them (Scheffe, 1963; Maia et al., 2011; Rawat et al., 2015; Spacino et al., 2015).
This work aims to study the relative protection factor and stability of biodiesel from soybean oil, with the addition of synthetic antioxidants BHA, BHT and TBHQ, through the oxidation reaction monitoring at different temperatures using the simplex-centroid mixture design.
Material and methods
Transesterification
The transesterification reaction of triglycerides from 500 g of refined commercial soybean oil free of synthetic antioxidants was carried out with absolute methanol, analytical grade, and sodium methoxide as a catalyst, at a concentration of 0.8 g 50 mL-1 of methyl alcohol, under reflux, heating at 60°C and stirred slow for 2 hours in a specific flask for synthesis according Angilelli, Ferreira, Silva, Chendynski, and Borsato (2017). The phases were separated in a separator funnel and to promote the separation of glycerol, triglycerides and alcohol residues from the results of transesterification, the esters was washed with acetic acid solution (0.01 mol L-1) and distilled water, both at 80ºC, until neutral pH, dehumidified with anhydrous sodium sulphate (Anidrol P. A., 99%) and vacuum filtered (Angilelli et al., 2017).
Antioxidants
As synthetic antioxidants were used butylated hydroxyanisole (BHA) (Synth, 98.50%) at a concentration of 0.1% m/m relative to the mass of biodiesel, butylated hydroxytoluene (BHT) (Synth, 99.00%) at a concentration of 0.13% m/m, and tert-butylhydroquinone (TBHQ) (Acros, 97.00%), at a concentration of 0.05% m/m. The antioxidants were added directly to biodiesel, before the evaluation of oxidative stability test (Maia et al., 2011). The amount of each antioxidant was based on previous studies and with the usual addition of 0.1% m/m relative to the mass of biodiesel.
Rancimat test
The determination of the oxidative stability of biodiesel samples containing synthetics antioxidants (TBHQ, BHA and BHT) was carried out by Rancimat model 873 (Metrohm® - Herisau/ Switzerland), in triplicate, at temperatures of 110, 115, 120 and 125°C, according to EN 14112 (2003).
Thermogravimetric analysis (TGA)
The thermal characterization of the synthetic antioxidants was performed on Thermometric Analyser Perkin-Elmer equipment, TGA 4000 Model, which makes the TG (Thermogravimetry) and DTG (derivative thermogravimetry). An approximate mass of 18 mg of sample was analyzed in N2 atmosphere, flow of 20.0 mL min-1 at 25 to 350°C, with heating rate of 10°C min-1.
Determination of relative protection factor
The relative protection factor (RFP) was determined from the ratio between the oxidative stability of the biodiesel containing the antioxidant and the control sample and mass of the antioxidant (Equation 1).
(1)Experimental mixture design
A simplex-centroid design for mixtures (Figure 1), with 2q – 1 combinations, where q is the number of components with sum equal a 1 or 100%, as applied with two replications at the central point (Maia et al., 2011).
Matemathical model
The function applied is described as follows Equation 2:
(2)where:
Y is the response function of the experimental data, x1, x2 and x3 are the independent variables and correspond, respectively, to the synthetic antioxidants proportions: TBHQ, BHT and BHA and the regression coefficients (Cornell, 1990).
Statistical analysis
The regression coefficients, tests of means and analysis of variance were obtained using the software Statisticav.9.0 (Statistica, 2009).
Results and discussion
Table 1 shows the values of induction period for biodiesel obtained at different test temperatures, containing synthetic antioxidant TBHQ, BHT and BHA. The tests 2 and 3 were the only ones that comply with the oxidative stability parameter to 110°C established by the EN 14214 (2008) in 6 hours. It is noteworthy that the concentration of these antioxidants was the double that the used in test 1, containing TBHQ. In all tests set by mixture design, the induction periods were higher than those observed for the control sample, indicating the importance of adding antioxidants to preserve biodiesel, especially those obtained from raw materials containing high levels of unsaturation (Galvan et al., 2014; Orives et al., 2014; Spacino et al., 2015).


By the ratio between the values of the induction periods, control sample and mass of antioxidants, at the temperatures 110, 115, 120 and 125ºC, the relative protection factor (RPF) for each assay was determined (Table 2). The protection factor did not change significantly with increasing temperature, except for the tests with only TBHQ. In addition, the essay containing only TBHQ showed higher protection factor, followed by the binary mixture of TBHQ and BHA. The ternary mixture was the one that presented less variation in protection factor with increasing temperature although there is, according to Tukey's test, significant differences between the assays at 110 and 125°C (p = 0.002) and tests at 115 and 125°C (p = 0.032) with no significant Levene's test (p = 0.81).

At the highest temperature, the antioxidant with the best efficiency in the biodiesel’s protection was the TBHQ. Compared to other antioxidants, showed RPF of 27.77, followed by the binary mixture containing TBHQ and BHA with 21.61 of RPF. The less protection was observed at the tests containing only BHT and at the binary mixture of BHT and BHA.
Figure 2 shows the thermogravimetric analysis, TG and DTG, where it is possible to observe the decay curve of the used synthetic antioxidants.
TBHQ’s thermogravimetric analysis showed that the temperature of the first decomposition event occurred at 207°C corresponding to a mass loss of 36.83% and a second one, at 240.50°C with 63.07% of mass loss. BHT showed a mass loss of 25.99% in the first event, at 173.18°C, and 73.94% at 212.78°C. BHA showed a mass loss of 38.07% in the first event at 196.59°C, and 61.08% at 225.48°C. This analysis showed that the antioxidants used do not undergo significant decomposition at the temperatures of oxidative stability test by Rancimat accelerated method.
At 125°C the relative protection factor of BHA and BHT had lower values than at 110°C. At the start of thermal decomposition of BHT and BHA (Figure 2), the temperatures were approximately 112 and 121°C respectively, so in the test at 125°C was a little mass loss of these antioxidants thus reducing their protective effect against oxidation. The lowest protection factor found for the BHA (Table 2) is justified by their lower thermal stability. For TBHQ, the mass loss begins at about 140°C (Figure 2), much higher value than the last test temperature (125°C).

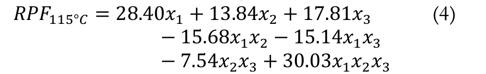
The simplex-centroid experimental design, consisting of 7 assays with two replicates at the central point, was used to assess the RFP on the synthetic antioxidant TBHQ (x1), BHT (x2) and BHA (x3) added to the biodiesel obtained from refined soybean oil without synthetic antioxidant. The responses of the mixture design are in Table 2. The cubic models with only significant terms, represented by Equations 3, 4,5 and 6 were obtained by applying the simplex-centroid design, at the test temperatures 110, 115, 120 and 125°C, respectively. The adjusted coefficients of determination (R2aj) for the equations were 0.9981, 0.9972, 0.9975 and 0.9991, respectively.
(3)
(4)
(5)
(6)The high values of the determination coefficient and the analysis of variance 7.8x10-4 ≤ p ≤ 2.08x10-3) showed that the models are significant at the 5% level, and the equations can be used for predictive purposes (Spacino et al., 2015).
The regions of combination of the three variables x1, x2 and x3, wich represent the proportions of TBHQ, BHT E BHA in the biodiesel, can be observed by the surface response, obtained by the proposed
mathematical equations, in Figure 3a, b, c, and d corresponding responses FPR at temperatures of 110, 115, 120 and 125°C, respectively.
The regions of optimal formulation (Figure 3) tend to use only TBHQ. As the assay temperature increases the optimum region begins to shift showing a tendency to use a ternary mixture of the antioxidants employed, however, with a higher proportion of TBHQ.
The figure 4 shows the multiresponse optimization of the relative protection factor of TBHQ, BHT and BHA at the temperatures established by the experimental design. The optimal mixture, for a better biodiesel protection at all temperatures, contains only TBHQ, highlighting the treatment 110°C, which showed the highest RPF, 31.27. The similar value was obtained experimentally, that shows the efficiency of mixture design and the validity of the obtained models.


Conclusion
The relative protection factor proved to be a suitable parameter to analyze the efficiency of TBHQ, BHA and BHT. The antioxidant TBHQ showed the highest relative protective factor against oxidation reaction of B100 biodiesel. Modeling with the simplex-centroid mixture design is very useful in the research and development of biofuels, showing to be efficient and relatively simple as optimization strategy of antioxidant formulations for B100 biodiesel. The antioxidants used exhibit high thermal stability and can be used at temperatures above 170°C without suffering decomposition or loss of antioxidant capacity.
References
Angilelli, K. G., Ferreira, B. A. D., Silva, L. R. C., Chendynski, L. T., & Borsato, D. (2017). Evaluation of the kinetic and thermodynamic parameters of oxidation reaction in biodiesel from a quaternary mixture of raw material. Acta Scientiarum. Technology, 39(2), 241-248. doi 10.4025/actascitechnol.v39i2.28656
Chen, Y., & Luo, Y. (2011). Oxidation stability of biodiesel derived from free fatty acids associated with kinetics of antioxidants. Fuel Processing Technology, 92(7), 1387-1393. doi 10.1016/j.fuproc. 2011.03.003
Chendynski, L. T., Angilelli, K. G., Ferreira, B. A. D., & Borsato, D. (2016). Modelagem matemática aplicada a síntese do produtos da reação de transesterificação a partir de gordura animal e óleo vegetal. Revista Virtual de Química, 8(3), 823-837. doi 10.5935/1984-6835. 20160060
Cornell, J. A. (1990). Experiments with mixtures - designs, models and the analysis of mixture data. New York, NY: John Wiley and Sons.
Dunn, R. O. (2008). Effect of temperature on the oil stability index (OSI) of biodiesel. Energy and Fuels, 22(1), 657-662. doi 10.1021/ef700412c
EN 14112. (2003). Fat and oil derivatives – Fatty Acid Methyl Esters (FAME) – Determination of oxidation stability (accelerated oxidation test). Berlin: German. European Committee for Standardization.
EN 14214. (2008). Automotive fuels. Fatty Acid Methyl Esters (FAME) for diesel engines, requirements and test methods. Berlin, DE. European Committee for Standardization
Fattah, I. M. R., Masjuki, H. H., Kalam, M. A., Hazrat, M. A., Masum, B. M., Imtenan, S., & Ashraful, A. M. (2014). Effect of antioxidants on oxidation stability of biodiesel derived from vegetable and animal based feedstocks. Renewable Sustainable Energy Review, 30(2), 356-360. doi 10.1016/j.rser.2013.10.026
Focke, W. W., Westhuizen, I., Grobler, A. B. L., Nshoane, K. T., Reddy, J. K., & Luyt, A. S. (2012). The effect of synthetic antioxidants on the oxidative stability of biodiesel. Fuel, 94(4), 227-233. doi 10.1016/j.fuel. 2011.11.061
Galvan, D., Orives, J. R., Coppo, R. L., Silva, E. T., Angilelli, K. G., & Borsato, D. (2014). Determination of the kinetics and thermodynamics parameters of biodiesel oxidation reaction obtained from an optimized mixture of vegetable oil and animal fat. Energy and Fuels, 27(11), 6866-6871. doi 10.1021/ef401927x
Jain, S., & Sharma, M. P. (2010). Stability of biodiesel and its blends: A review. Renewable Sustainable Energy Review, 14(2), 667-678. doi 10.1016/j.rser.2009.10.011
Karavalakis, G., Hilari, D., Givalou, L., Karonis, D., & Stournas, S. (2011). Storage stability and ageing effect of biodiesel blends treated with different antioxidants. Energy, 36(1), 369-374. doi 10.1016/j.energy. 2010.10.029
Maia, E. C. R., Borsato, D., Moreira I., Spacino, K. R., Rodrigues, P. R. P., & Gallina, A. L. (2011). Study of the biodiesel B100 oxidative stability in mixture with antioxidants. Fuel Processing Technology, 92(9), 1750-1755. doi 10.1016/j.fuproc.2011.04.028
Orives, J. R., Galvan, D., Coppo, R. L., Rodrigues, C. R. F., Angilelli, K. G., & Borsato, D. (2014). Multiresponse optimisation on biodiesel obtained through a ternary mixture of vegetable oil and animal fat: Simplex-centroid mixture design application. Energy Conversion and Management, 79(3), 398-404. doi 10.1016/j.enconman.2013.12.033
Pullen, J., & Saeed, K. (2012). An overview of biodiesel oxidation stability. Renewable Sustainable Energy Reviews, 16(8), 5924-5930. doi 10.1016/j.rser.2012.06.024
Ramalho, V. C., & Jorge, N. (2006). Antioxidants used in oils, fats and fatty foods. Química Nova, 29(4), 755-760. doi 10.1590/S0100-40422006000400023
Rawat, D. S., Joshi, G., Lamba, G. Y., Tiwari, A. K., & Kumar, P. (2015). The effect of binary antioxidant proportions on antioxidant synergy and oxidation stability of Jatropha and Karanja biodiesels. Energy, 84(C), 643-645. doi 10.1016/j.energy.2015.03.024
Scheffe, H. (1963). The simplex-centroid design for experiments with mixtures. Journal of the Royal Statistical Society, 25(2), 235-243.
Sendzikiene, E., Makareviciene, V., & Janulis, P. (2006). Influence of fuel oxygen content on diesel engine exhaust emissions. Renewable Energy, 31(15), 2505-2512. doi 10.1016/j.renene.2005.11.010
Spacino, K. R., Borsato, D., Buosi, G. M., & Chendynski, L. T. (2015). Determination of kinetic and thermodynamic parameters of the B100 biodiesel oxidation process in mixtures with natural antioxidants. Fuel Processing Technology, 137(9), 366-370. doi 10.1016/j.fuproc.2015.05.006
Spacino, K. R., Silva, E. T., Angilelli, K. G., Moreira, I., Galão, O. F., & Borsato, D. (2016). Relative protection factor optimisation of natural antioxidants in biodiesel B100. Industrial Crops Products, 80(2), 109-114. doi 10.1016/j.indcrop.2015.11.034
Statistica (2009). Statistica for Windows Software v.9.0. Tulsa, OK: Statsoft Inc.
Suja, K. P., Abraham, J. T., Thamizh, S. N., Jayalekshmy, A., & Arumughan, A. C. (2004). Antioxidant efficacy of sesame cake extract in vegetable oil protection. Food Chemistry, 84(3), 393-400. doi 10.1016/S0308-8146(03) 00248-6
Yang, Z., Hollebone, B. P., Wang, Z., Yang, C., Brown, C., & Landriault, M. (2014). Storage stability of commercially available biodiesels and their blends under different storage conditions. Fuel, 115(1), 366-377. doi 10.1016/j.fuel.2013.07.039
Notes
Author notes
dborsato@uel.br