Biotecnologia
Effect of parameters on butyl butyrate synthesis using novel Aspergillus niger lipase as biocatalyst
Efeito de parâmetros na síntese de butirato de butila utilizando uma nova lipase de Aspergillus niger como biocatalisador
Effect of parameters on butyl butyrate synthesis using novel Aspergillus niger lipase as biocatalyst
Acta Scientiarum. Technology, vol. 40, 2018
Universidade Estadual de Maringá

Received: 13 March 2017
Accepted: 09 May 2017
Abstract: A novel “green” Aspergillus niger lipase, obtained from the fermentation of pumpkin seeds, was used in a free form and encapsulated in sol-gel matri x in butyl butyrate (pineapple flavor) synthesis. Esterification reactions were performed with varying substrate molar ratio (butanol: butyric acid) ranging between 1:1 and 5:1; temperature between 30 and 60°C and biocatalyst mass between 0 and 1g, respectively, according to experimental design 23 with 6 axial and 3 central points. Maximum butyl butyrate production was obtained when substrate molar ratio (butanol:butyric acid) 3:1, temperature at 60°C and 0.5 g free or encapsulated lipase as biocatalyst, were used. Temperature was the most significant parameter for production with the two biocatalysts, indicating that higher rates mean greater compound synthesis. Response surface plots showed that higher butyl butyrate production may be obtained with higher temperature and molar ratio rates (butanol:butyric acid) and with lower rates of biocatalyst mass in reactions catalyzed by free or encapsulated lipase. Aspergillus niger lipase obtained from agro-industrial waste could be employed as biocatalyst in esterification reactions in the production of natural aroma as butyl butyrate.
Keywords: lipases, aroma, esterification, agro-industrial residue.
Resumo: Neste estudo, utilizou-se uma nova lipase "verde" de Aspergillus niger obtida da fermentação de sementes de abóbora, em forma livre e encapsulada em matriz sol-gel para síntese de butirato de butila (aroma de abacaxi). As reações de esterificação foram realizadas variando a relação molar do substrato (butanol: ácido butírico) de 1: 1 a 5: 1, temperatura de 30 a 60°C e massa de biocatalisador de 0 a 1 g, respectivamente, de acordo com o modelo experimental 23 com seis pontos axiais e três pontos centrais. A produção máxima de butirato de butilo foi obtida quando se utilizou a razão molar de substrato (butanol: ácido butírico) de 3:1, temperatura de 60°C e 0,5 g de lipase livre ou encapsulada como biocatalisador. A temperatura foi o parâmetro mais significativo para a produção utilizando ambos biocatalisadores, para indicar que quanto maiores os valores, maior a síntese do composto. As superfícies de resposta demonstraram que maior produção de butirato de butila pode ser obtida em maiores valores de temperatura e razão molar (butanol: ácido butírico) e menores valores de massa de biocatalisador nas reações catalisadas por lipase livre ou lipase encapsulada. A lipase de Aspergillus niger obtida de um resíduo agroindustrial mostrou potencial para ser utilizada como biocatalisador em reações de esterificação de produção de aroma natural como butirato de butila.
Palavras-chave: lipases, aroma, esterificação, resíduo agroindustrial.
Introduction
Lipases (triacylglycerol hydrolase, E.C. 3.1.1.3) are enzymes that catalyze the hydrolysis of triacylglycerides into free fatty acids and glycerol at the lipid water interface (Gopinath, Anbu, Lakshmipriya, & Hilda, 2013). These enzymes are used in detergent, oleo-chemical, biofuel, food and dairy, agro-chemical, paper manufacturing, nutrition, cosmetics and pharmaceutical industries. Further, the enzymes are acknowledged industrial biocatalysts due to their ability to carry out several bioconversion reactions, such as esterification and transesterification (Gupta, Kumari, Syal, & Singh, 2015). Global market in 2015 for industrial enzymes has been estimated at $8.0 billion (BCC Research, USA), ranking lipases as the third most commercialized enzymes after proteases and carboxylases (Ray, 2012).
Most lipases are extracellular and may be obtained either by submerged (SmF) or by solid-state fermentation (SSF) with oleaginous agro-industrial residues as substrate. The majority of industrial biocatalysts are produced by submerged fermentation (SmF), even though SSF has several advantages, such as less space for fermentation, simple medium and equipment, compactness of fermentation vessel due to smaller water volume, superior yields, lower energy demand and less capital investment (Contesini, Lopes, Macedo, Nascimento, & Carvalho, 2010). Previous studies carried out by our research group have reported that pumpkin seeds (Curcubita moschata), comprising approximately 43% lipids, are capable of producing lipase from Aspergillus niger by SSF (Santos, Araújo, Soares, & Aquino, 2012). The enzyme was efficiently encapsulated in a sol-gel matrix and showed maximum relative activity at pH 3.0 and thermal stability at 45 and 60°C, retaining around 85% of its relative activity after 120minincubation (Serra, Fuganti, & Brenna, 2005).
Lipases are highly relevant for the synthesis of natural flavor esters. The conventional catalysis is an efficient way of producing these esters by a proper inorganic catalyst at 200-250°C, considered ‘‘artificial flavors’’. According to International Legislation, ‘‘natural’’ flavor substances may only be prepared either by physical processes (extraction from natural sources) or by enzymatic or microbial processes. From the consumers’ perception, compounds labeled ‘‘natural’’ are more readily acceptable than products labeled ‘‘nature-identical’’ because the latter are associated to (and produced by) chemical methods. Consequently, many researchers have developed enzymatic processes for the production of aroma compounds, such as butyl butyrate, which has been widely used in food industry due to its pleasant pineapple flavor (Serra et al., 2005; Groussin & Antoniotti, 2012; Lorenzoni et al., 2012). In this context, reports by researchers below may be highlighted: Mendes, Castro, Andrade, Tardioli, and Giordano (2013) and Mendes, Castro, and Giordano (2014) who employed commercial lipases from Pseudomonas fluorescens and Thermomyces lanuginosus, immobilized covalently in glyoxyl-agarose beads and in epoxy–chitosan/alginate; Martins et al. (2013) used Thermomyces lanuginosus lipase immobilized on styrene-divinyl benzene beads; Silva et al. (2014) used commercial porcine pancreatic lipase immobilized on poly-hydroxybutyrate particles; Salihu Alam, Karim, and Salleh (2012) employed Candida cylindracea lipase obtained from the fermentation of palm oil mill effluent.
Few reports (Welsh, 1990; Chowdary & Prapulla, 2002; Veríssimo et al., 2015) are extant on the use of lipase from Aspergillus niger in butyl butyrate synthesis. To our knowledge, this is the first report on the use of Aspergillus niger lipase obtained from pumpkin seeds fermentation as biocatalyst in butyl butyrate synthesis. The optimization of esterification reactions catalyzed by the enzyme in the free and encapsulated form in sol-gel matrix is investigated.
Material and methods
Chemical reagents
Silane precursor tetra ethoxysilane (TEOS) was supplied by Acros Organic (New Jersey, USA). Ethanol (minimum 99%), ammonia (minimum 28%), hydrochloric acid (minimum 36%), poly (ethylene) glycol (PEG-1500) and gum arabic were obtained from Synth (São Paulo, Brazil). Olive oil was purchased on the local market and all the other reagents were analytical grade.
Enzyme production
The enzyme was obtained by solid state fermentation of pumpkin seeds using Aspergillus niger IOC 3677 (collection of cultures from the Oswaldo Cruz Institute, Rio de Janeiro State, Brazil), described by Zubiolo et al. (2014), with modifications. The fermentations were conducted in petri dishes with 10 g of pumpkin seed flour (70% moisture content) and a spore suspension of Aspergillus niger (105 spores g-1) at 30°C. Enzyme extraction was performed after 168h by adding sodium phosphate buffer (0.1 M, pH 7.0) at a 1:5 ratio (mass:volume), stirred at 30°C for 15 min. The material was then centrifuged (Eppendorf centrifuge 5804R) at 120 x g for 10 min., yielding the crude enzyme extract. The enzyme was precipitated with ammonium sulfate at 80% saturation and centrifuged at 120 x g for 10 min. The supernatant was filtered and dialyzed with membrane dialysis 25 cut-off 10,000-12,000 Da against ultra-pure water for 24h at 4°C and lyophilized (Wolski et al., 2009). The obtained enzymatic activity consisted of 235.7 U g-1 dry pumpkin seed flour.
Immobilization of lipase in a sol-gel matrix
The methodology previously established by Patent PI0306829-3 (INPI, 2003) and by Zubiolo et al. (2014) is briefly described: 30 mL of TEOS were dissolved in 36 mL of absolute ethanol at inert nitrogen atmosphere. After 5 min., 0.22 mL of hydrochloric acid (37%, P.A-ACS) dissolved in 5.0 mL of ultra-pure water was slowly added and the mixture was agitated (200 rpm) for 90 min. at 35ºC. Enzyme (2.7 g) and poly (ethylene) glycol solution (PEG 1500, 4% v/v) were added to 10 mL of ultra-pure water; at the same time, 1.0 mL of ammonium hydroxide (28-30%, P.A) dissolved in 6.0 mL of ethanol was added (hydrolysis solution) and the mixture was kept under static conditions for 24h to complete polycondensation (Pinheiro, Soares, Santos, Castro, & Zanin, 2008; Soares, Santos, Moraes, Castro, & Zanin, 2006). The bulk gel was washed with heptane and acetone and dried in vacuum at room temperature for 72h. The humidity of thesol-gelmatrix was determined by theKarl-Fisher method (Grobecker, Rückold, & Anklam, 1999). Immobilization yield in the sol-gel matrix reached 76%, following Soares, Castro, Moraes, and Zanin (1999).
Determination of hydrolytic activity
The enzymatic activity of free and immobilized lipases was determined by the hydrolysis method using olive oil, following procedure by Soares et al. (1999), with modifications. The substrate was prepared with 50 mL olive oil and 50 mL gum arabic solution (7% w/v). The reaction mixture containing 5 mL emulsion oil, 2 mL sodium phosphate buffer (0.1 M; pH 7.0) and free lipase (100 mg) or immobilized lipase (100 mg) was incubated in a thermosst at batch reactor for 5 min. (free lipase) or 10 min. (immobilized lipase) at 37°C. The reaction was stopped by the addition of 2 mL of acetone-ethanol-water solution (1:1:1). The liberated fatty acids were titrated with potassium hydroxide solution (0.04 M), using phenolphthalein as the indicator. All reactions were carried out in triplicate. One activity unit was defined in terms of the amount of enzyme required to release 1 μmol of fatty acid per min of reaction, at experimental conditions (37°C, pH 7.0, 150 rpm). A blank titration was done with a sample with distilled water instead of enzyme.
Butyl butyrate synthesis
Esterification reactions were carried out in 50-mL Erlenmeyer flasks containing butyric acid, butanol, biocatalyst mass (free lipase or encapsulated lipase) and 20 mg mL-1 of molecular sieve with heptane as organic solvent in a 20 mL reaction volume. Reactions were performed with substrate molar ratio (butanol: butyric acid) ranging between 1:1 and 5:1; temperature between 30 and 60°C and biocatalyst mass between 0 and 1g, following a central composite rotational design (CCRD) to obtain the best conditions for butyl butyrate production (Table 1). Butanol concentration was fixed at 0.3 M and the mixtures were incubated in orbital shaker at 200 rpm, at 30°C, for 24h. A second-order polynomial model for variables was given by Equation 1.
(1)where y is the predicted response (concentration of butyl butyrate); β0 is the global mean; βj is the linear coefficient; βij is the coefficient of interaction; βjj is the quadratic coefficient; ε is the error of the model; xi and xj are coded rates of independent variables. The coded and non-coded rates of variables are shown in Table 1. Experimental data were analyzed with Statistica 8.0 (Statsoft, Inc., Tulsa, OK, USA). Analysis of variance (ANOVA) tables were generated and the effect and regression coefficients of individual linear, quadratic and interaction terms were determined. The significances of all terms were judged statistically according to the p-value at 5% significance level. Fit quality of the model equation was expressed by the coefficient of determination R2 and its statistical significance was determined by F-test.
Quantification of butyl butyrate by gas chromatograph
Butyl butyrate was analyzed by Agilent GC-7890B gas chromatograph coupled to mass spectrometer (Agilent 5977) equipped with ana-polar HP-5 capillary GC column (30m x 0.25 mm x 0.25 µm, Agilent, USA). The mobile phase comprised helium at a flow rate of 1 mL min.-1 with delay of 2.5 min.; inlet port temperature of 220 C, split mode injection (1:100). The oven temperature was programmed as follows: initiation at 60°C, with an increase of 10°C min.-1 to 150°C; increased at 50°C min.-1 to 250°C, till the end of analysis. A calibration curve of butyrate butyl (Sigma, USA) in concentrations between 2.5 and 500 mg L-1 was obtained to quantify the yield compound.
Results and discussion
Butyl Butyrate synthesis using free and encapsulated lipase
Maximum production of butyl butyrate was obtained in esterification reactions with 3:1 substrate molar ratio (butanol:butyric acid), temperature at 60°C and 0.5 g free or encapsulated lipase as biocatalyst (Table 1). However, higher aroma production was obtained when the biocatalyst was encapsulated lipase. Immobilization techniques, such as encapsulation, are important in terms of stability, cost, recovery and denaturation of purified lipases after completion of the catalytic reaction. Thus, immobilization in solid matrices makes lipases insoluble in aqueous media (Kenedy & Cabral, 1987). Moreover, immobilized enzymes are thermostable and may be stored for longer periods than non-immobilized ones (Balcão, Paiva, & Malcata, 1996). Encapsulation in hydrophobic sol–gels is an asset for industrial applications since it induces interfacial activation, i.e., the lipase might remain in its active conformation and stable lipase preparations may beobtained (Hanefeld, Gardossi, & Magner, 2009).
Effect of parameters on the butyl butyrate synthesis
CCRD evaluated statistically the variables that influence butyrate butyl production using free and immobilized lipases as biocatalysts. Results showed that temperature had a positive effect on butyrate butyl production for free and encapsulated lipase, while molar ratio and biocatalyst mass had a negative effect (Table 2).
Table 2 shows the model coefficients for aroma compound production. Except biocatalyst mass, all variables were significant for compound production by free lipase (p < 0.05). Temperature was the most significant parameter, indicating that at higher temperatures, a higher production was reported. The substrate molar ratio and biocatalyst mass were also significant, with higher aroma production in higher and lower rates of these variables, respectively. In reactions where encapsulated lipase was used as biocatalyst, all the parameters were significant (p < 0.05), with temperature as the most influential for the aroma compound. The linear substrate molar ratio and biocatalyst mass also showed a positive and negative effect on aroma production. In esterification reactions, temperature exerts a direct influence on the reaction rate, on the enzyme’s stability and on the substrate’s solubility, which is improved by reducing mass transfer limitations (Facioli & Barrera, 2001).
Matte et al. (2016) also studied the influence of parameters (temperature, substrate molar ratio, enzyme content and added water) on butyl butyrate synthesis catalyzed by commercial Thermomyces lanuginosus lipase covalently immobilized on Immobead 150. The authors registered that temperature and amount of biocatalyst were the variables with the highest effect on the reaction. However, results contradicted those in current study, or rather, temperature showed negative linear effect. The above indicated that high temperatures negatively affected enzyme activity and an increase in biocatalyst content increased reaction yield. Salihu et al. (2012) investigated the influence of lipase concentration and substrate molar ratio (butanol:butyric acid) by response surface methodology on the butyl butyrate synthesis catalyzed by Candida cylindracea lipase obtained from palm oil mill effluent fermentation. These authors obtained an increase in esterification yield when the lipase concentration or molar ratio increased. Silva et al. (2014) also used response surface methodology to evaluate the effect of enzyme concentration, temperature and molecular sieve concentration on the esterification reaction using commercial porcine pancreatic lipase immobilized on poly-hydroxybutyrate particles as biocatalyst. Ester conversion increased with enzyme concentration, the most significant variable, and with temperature at 45°C. Veríssimo et al. (2015) obtained a positive effect with added water and substrate molar ratio and a negative effect with temperature on reactions with commercial lipase from Aspergillus niger.

Our results showed that butyl butyrate synthesis may be obtained with low amounts of a “green” lipase (obtained from pumpkin seeds agro-industrial residue fermentation) free or encapsulated in sol-gel matrix with high temperatures. Lipase has a thermophilic characteristic, as shown in studies by Zubiolo et al. (2014), where free enzyme maintained 45% of relative activity at 80°C. When encapsulated in a sol-gel matrix, the maximum rate of relative activity was obtained at 45ºC, with at least 70% activity was maintained up to a temperature of 80ºC.
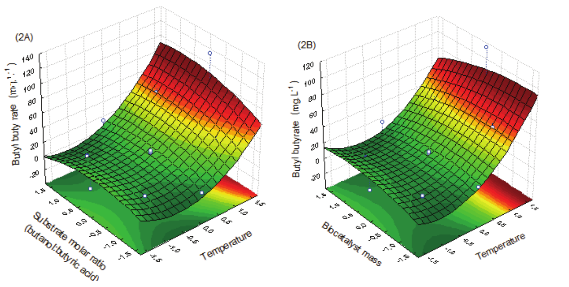
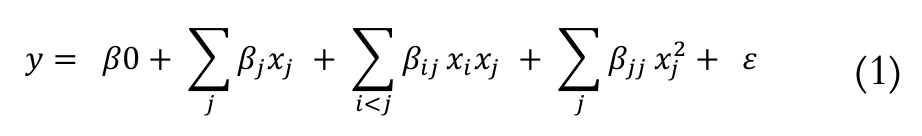
Second order models describing aroma production as a function of significant variables were established by Equation (2) for free and Equation (3) for encapsulated lipases. The statistical significance of the models was verified by F -test (ANOVA) (Table 3). The determination coefficients (R2) of 0.91 and 0.83 for aroma compound using free and encapsulated lipase, respectively, indicated a high degree of correlation between the experimental and fitted values. Further, F -test rates of 10.60 (free lipase) and 3.74 (encapsulated lipase) were higher than the tabulated F value (3.44 and 3.68), indicating that the models were predictive and described butyrate butyl production as a function of the variables analyzed. Therefore, the models expressed by the equations were used to generate the response surfaces. The plots indicated that the highest rate of butyl butyrate production may be obtained in reactions catalyzed by free lipase (Figure 1A and B) or encapsulated lipases (Figure 2A and B) using higher temperature and molar ratio (butanol:butyric acid) rates and lower biocatalyst mass rates.


(2)
(3)where X1 = temperature; X2 = molar ratio (butanol: butyric acid); X3 = biocatalyst mass


Conclusion
Aspergillus niger lipase, free or encapsulated in sol-gel matrix, was used as biocatalyst for the production of butyl butyrate. Encapsulated lipase was more efficient in synthesis since aroma production was 1.45 fold higher than that obtained by free lipase. Biocatalysts showed that the butyl butyrate synthesis may be obtained at higher temperature and substrate molar ratio rates and lower mass of biocatalyst. Given the growing demand for natural flavors, the “green” lipase obtained from pumpkin seeds fermentation may be a good alternative for esterification reactions in the production of butyl butyrate.
Acknowledgments
The authors would like to thank the Coordination the Upgrading of Education Personnel (CAPES, Brazil) for the scholarship. Thanks are also due to the Foundation for Research and Technological Innovation of the state of Sergipe (FAPITEC/SE) for its financial support.
References
Balcão, V. M., Paiva, A. L., & Malcata, F. X. (1996). Bioreactors with immobilized lipases: state-of-the-art. Enzyme Microbial and Technology, 18(6), 392-416.
Chowdary, G. V., & Prapulla, S. G. (2002) The influence of water activity on the lipase catalyzed synthesis of butyl butyrate by transesterification. Process Biochemistry, 38(3), 393-397.
Contesini, F. J., Lopes, D. B., Macedo, G. A., Nascimento, M. G., &Carvalho, P. O. (2010). Aspergillus sp. Lipase: potential biocatalyst for industrial use. Journal of Molecular Catalysis B: enzymatic, 67(3-4), 163-171.
Facioli, N. L., & Barrera, A. D. (2001). Optimization of enzymatic esterification of soybean oil deoderiser distillate. Journal of the Science of Food and Agriculture, 81(12), 1193-1198.
Gopinath, S. C. B., Anbu, P., Lakshmipriya, T., & Hilda, A. (2013). Strategies to characterize fungal lipases for applications in medicine and dairy industry. BioMed Research International, 2013, Article ID 154549. doi: 10. 1155/2013/154549
Grobecker, K. H., Ruckold, i S., & Anklam, E. (1999). Determination of the water content in milk powder: report of a collaborative study performed in the period of June-July 1999 (Report of the European Commission, EUR 19005 EN). European Commission.
Groussin, A-L., & Antoniotti, S. (2012) Valuable chemicals by the enzymatic modification of molecules of natural origin: terpenoids, steroids, phenolics and related compounds. Bioresource Technology, 115(1), 237-243.
Gupta, R., Kumari, A., Syal, P., & Singh, Y. (2015). Molecular and functional diversity of yeast and fungal lipases: Their rolein biotechnology and cellular physiology Progress. Lipid Research, 57(1), 40-54.
Hanefeld, U., Gardossi, L., & Magner, E. (2009). Understanding enzyme immobilization. Chemical Society Reviews, 38(1), 46-53.
Instituto Nacional da Propriedade Industrial [INPI]. (2003). Patent submission No. PI0306829-3, September 11, 2003.
Kennedy, J. F., & Cabral, J. M. S. (1987). Enzyme immobilization. In J. F. Kennedy (Ed.), Biotechnology. Enzyme technology (p. 247-404). New York: VCH Publishers.
Lorenzoni, A. S. G., Graebin, N. G., Martins, A. B., Fernández-Lafuente, R., Ayub, M. A. Z., & Rodrigues, R. C. (2012). Optimization of pineapple flavour synthesis by esterification catalysed by immobilized lipase from Rhizomucor miehei. Flavour Fragrances Journal, 27(2), 196-200.
Martins, A. B., Friedrich, J. L. R., Cavalheiro, J. C., Garcia-Galan, C., Barbosa, O., Ayub, M. A. Z.,... Rodrigues, R. C. (2013). Improved production of butyl butyrate with lipase from Thermomyces lanuginosus immobilized on styrene–divinylbenzene beads. Bioresource Technology, 134(1), 417-422.
Matte, C. R., Bordinhão, C., Poppe, J. K., Rodrigues, R. C., Hertz, P. F., & Ayub, M. A. Z. (2016). Synthesis of butyl butyrate in batch and continuous enzymatic reactors using Thermomyces lanuginosus lipase immobilized in Immobead 150. Journal of Molecular Catalysis B: enzymatic, 127, 67-75.
Mendes, A. A., Castro, H. F., & Giordano, R. L. C. (2014). Covalent attachment of lipases on glyoxyl-agarose beads: Application in fruit flavour and biodiesel synthesis. International Journal of Biological Macromolecules, 70(1), 78-85.
Mendes, A. A., Castro, H. F., Andrade, G. S. S., Tardioli, P. W., & Giordano, R. L. C. (2013). Preparation and application of epoxy–chitosan/alginate support in the immobilization of microbial lipases by covalent attachment. Reactive and Functional Polymers, 73(1), 160-167.
Pinheiro, R., Soares, C., Santos, O. A., Castro, H. F., & Zanin, G. M. (2008). Influence of gelation time on the morphological and physicochemical properties of the sol–gel entrapped lipase. Journal of Molecular Catalysis B: enzymatic, 52-53(1), 27-33.
Ray, A. (2012) Application of lipase in industry. Asian Journal of Pharmaceutical Technology and Innovation, 2(2), 33-37.
Salihu, A., Alam, M. Z., Karim, I. A., & Salleh, H. M. (2012). Lipase production: an insight in the utilization of renewable agricultural residues. Resources, Conservation and Recycling, 58(1), 36-44.
Santos, R. C. A., Araújo, K. B., Soares, C. M. F., & Aquino, L. C. L. (2012). Evaluation of temperature and moisture response surface on the fermentation of lipase pumpkin seeds using Aspergillus niger. Acta Scientarium Technology, 34(3), 255-260.
Serra, S., Fuganti, C., & Brenna, E. (2005). Biocatalytic preparation of natural flavours and fragrances. Trends Biotechnology, 23(4), 193-198.
Silva, N. A. C., Miranda, J. S., Bolina, I. C. A., Silva, W. C., Hirata, D. B., Castro, H. F., & Mendes, A. A. (2014). Immobilization of porcine pancreatic lipase on poly-hydroxybutyrate particles for the production of ethyl esters from macaw palm oils and pineapple flavor. Biochemical Engineering Journal, 82(1), 139-149.
Soares, C. M. F., Castro, H. F., Moraes, F. F., & Zanin, G. M. (1999) Characterization and utilization of Candida rugosa lipase immobilized on controlled pore silica. Applied Biochemistry and Biotechnology, 77-79(1), 745-758.
Soares, C. M. F., Santos, O. A., Moraes, F. F., Castro, H. F., & Zanin, G. M. (2006) Characterization of sol–gel encapsulated lipase using tetraethoxysilane as precursor. Journal of Molecular Catalysis B Enzymatic, 39(1-4), 69-79.
Veríssimo, L. A. A., Soares, W. C. L., Mol, P. C. G., Minim, V. P. R., Silva, M. C. H., & Minim, L. A. (2015). Optimization of flavour ester synthesis catalysed by Aspergillus niger lipase. African Journal of Microbiological Research, 9(13), 922-928.
Welsh, F., Search for: Williams R. (1990) Lipase-mediated production of ethyl butyrate and butyl butyrate in non-aqueous systems: Enzyme Microbial Technology, 12(1), 743-748.
Wolski, E., Menusi, E., Remonatto, D., Vardanega, R., Arbter, F., Rigo, E., … Treichel, H. (2009). Partial characterization of lipases produced by a newly isolated Penicillium sp. in solid state and submerged fermentation: a comparative study. Food Science and Technology, 42(1), 557-1560.
Zubiolo, C., Santos, R. C. A., Carvalho, N. B., Soares, C. M. F., Lima, A. S., & Santana, L. C. L. A. (2014). Encapsulation in a sol–gel matrix of lipase from Aspergillus niger obtained by bioconversion of a novel agricultural residue. Bioprocess and Biosystems Engineering, 37(9), 1781-1788.
Notes
Author notes
aquinoluciana@hotmail.com