Abstract: In this paper, homotopy analysis transform method and residual power series method for solving linear and nonlinear Schrödinger equations are introduced. Residual power series algorithm gets Maclaurin expansion of the numerical soliton solutions. The solutions of our equations are computed in the form of rapidly convergent series with easily calculable components by using mathematica software package. Reliability of methods are given graphical consequens and series solutions are made use of to illustrate the solution. The approximate solutions are compared with the known exact solutions.
Keywords:residual power series methodresidual power series method, homotopy analysis transform method homotopy analysis transform method, Schrödinger equations Schrödinger equations.
Matemática
On comparison of approximate solutions for linear and nonlinear schrodinger equations
Received: 07 April 2017
Accepted: 21 July 2017
The RPSM was produced as an efficient method for definite worths of coefficients of the power series solution for fuzzy differential equations (Arqub, 2013). The RPSM is constituted with an repeated algorithm. This method is effective and easily to obtain power series solution for forcibly linear and nonlinear equations lacking linearization, perturbation, or discretization. Unlike the other series method, the RPSM does not want to match the coefficients of the comparable conditions and a repeated connection is'nt needed. Present method calculates the coefficients of the power series by a bond of algebraic equations of some variables. Besides, the RPSM does not need any transforming while changing from the low-order to the higher-order; thus the present method can be worked straight to the given example by selecting an suitable initial estimate approximation. This method have tested to be powerful, effective, and can easily handle a broad class of linear and nonlinear problems (Arqub, El-Ajou, Bataineh, & Hashim, 2013;El-Ajou, Arqub, Al Zhour, & Momani, 2013; Arqub, El-Ajou, Al Zhour, & Momani, 2014; Arqub, El-Ajou, & Momani, 2015; El-Ajou, Arqub, & Momani, 2015; Ich, Körpınar, Al-Qurashi, & Baleanu, 2016; Tchier, Ich, Körpınar, & Baleanu, 2016; Mishra & Sen, 2016; Mishra, Agarwal, & Sen, 2016).
The homotopy analysis transform method (Hatm) is a compounding of the homotopy analysis method (HAM) and Laplace transform method (Khan, Gondala, Hussain, & Vanani, 2012; Gondal, Arife, Khan, & Hussain, 2011; Kumar, Singh, & Kumar, 2014; Kumar, Kumar, & Baleanu, 2016). The profit of this method is its potentiality of combination two powerful methods for finding exact and approximate analytical solutions for nonlinear equations. HATM solves nonlinear problems without using Adomian's polynomials and He's polynomials is a net profit of this method over the Adomian's decomposition method (ADM) and the homotopy perturbation transform method (HPTM).
The purpose of this work is to utilize RPSM and HATM to find the numerical solutions for the linear Schrodinger Equation 1 (Wazwaz, 2008).
(1)and the nonlinear Schrodinger Equation 2 (Wazwaz, 2008).
(2)where:
is a constant and
is a complex function. Equation 2 considers the time development of a free molecule. It is applied variational iteration method to handle approximate solutions of these equations by (Wazwaz, 2008). It is studied sine-cosine function method for nonlinear Schrodinger equation by (Jawad, Kumar, & Biswas, 2013).
The Schrodinger equations apply in several area of physics, containing nonlinear optics, plasma physics, superconductivity and quantum mechanics. The linear Schrodinger Equation 1 is commonly used by applying the spectral transform among other methods (Wazwaz, 2002).The nonlinear Schrodinger's Equation 2 acts a critical function in several fields of physical, biological, and engineering sciences. It seems in several applied fields, containing liquid dynamics, nonlinear optics, plasma physics, and proteinchemistry.
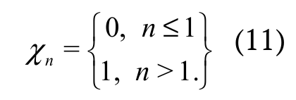
The outline of the remainder of this paper is as follows. In the next section, we explained Hatm. In Sections 3, we applied RPSM and Hatm for linear and nonlinear Schrodinger's Equations. In Sections 4, is formed graphics and is drew tables for reliable of obtained solutions in Figure 1-4. Finally, some concluding remarks are given.
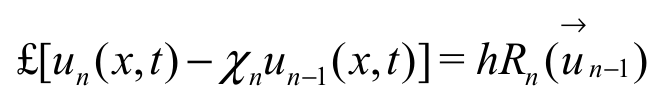
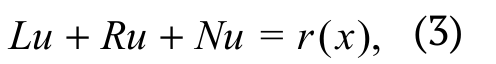
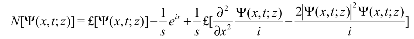
In N(u(x)) = r(x) equation, N a general ordinary or partial nonlinear differential operator containing every two cases. The linear case is L+R, where L is the greatest order linear operator and R is the resting of the linear operator. Thus, Equation 3,
(3)where:
Nu is the nonlinear cases. By using Laplace transform on both sides of
.
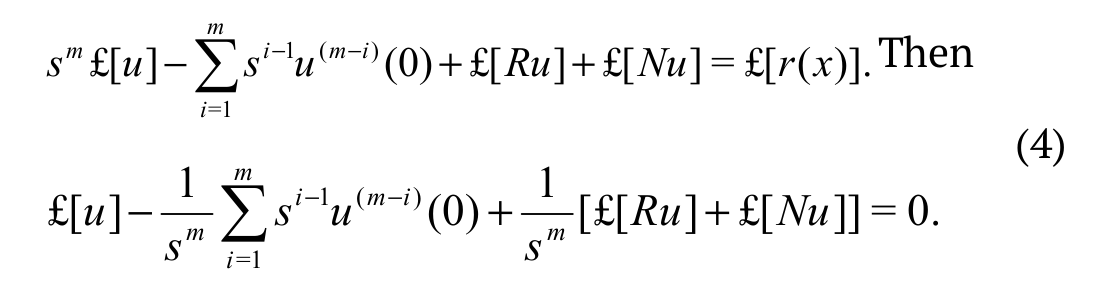
From the property of Laplace transform, we have Equation 4,
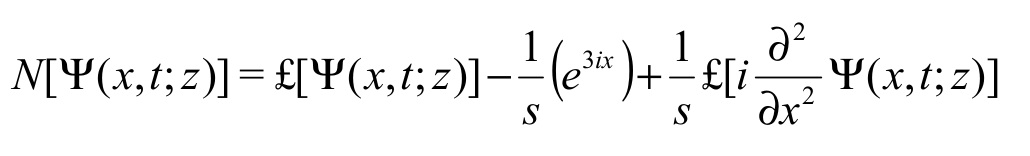
(4)We describe the nonlinear element:
where
is real functions of x, t and z on condition that
.
Now we make a homotopy, Equation 5:
(5)in Equation 5,
; Laplace transform,
; an assisting parameter,
; embedding parameter,
;
an assisting function,
; a unknown function and u0(x, t); an initial condition of u(x, t).
Then, for z = 0 and z = 1, it gives,
,
, respectively.
Thus, Equation 6:
(6)where, Equation 7,
(7)Then we have Equation 8,
(8)The present equation can be concluded from the 0th- order deformation.
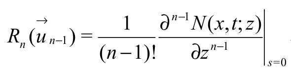
Describe the vector
.
Differentiating Equation 6n times with respect to the embedding parameter z and then setting z = 0 and finally dividing them by n!, we have the socalled nth-order deformation Equation 9:
(9)Using inverse Laplace transform, we obtain Equation 10,
(10)where:
, and Equation 11,
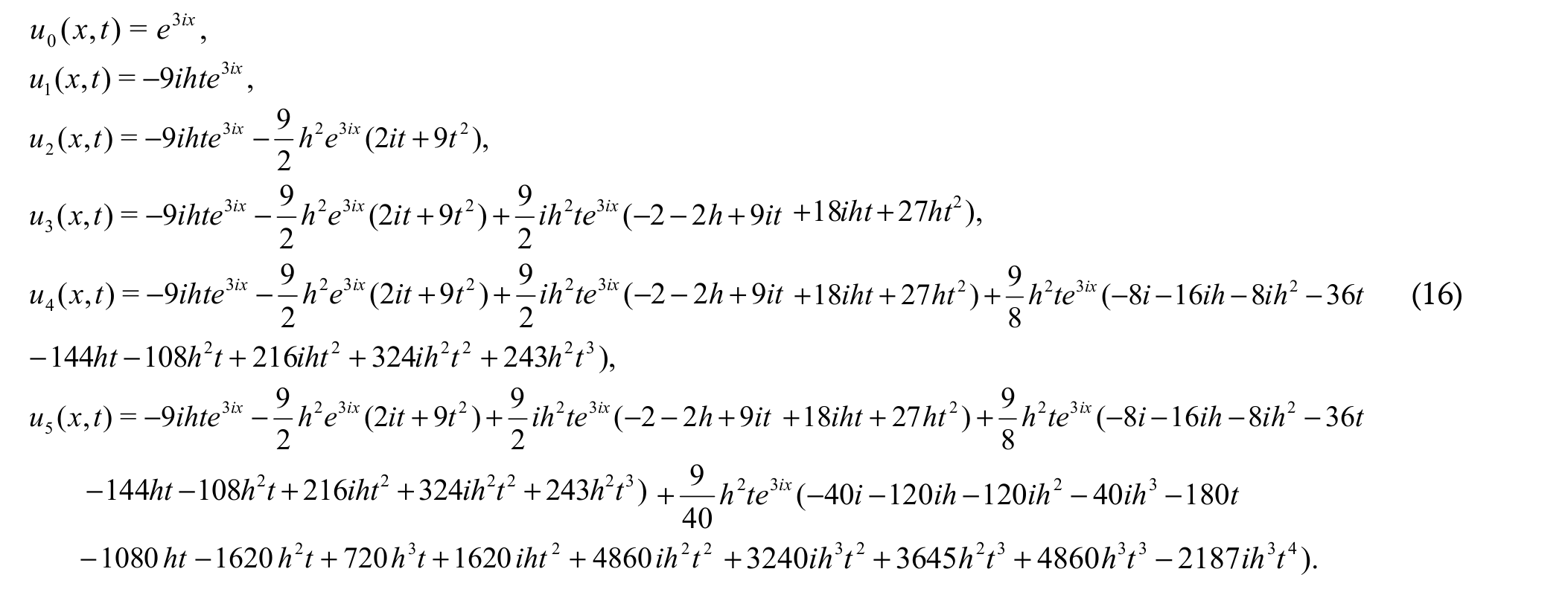
(11)Example 1: We first study the linear Schrodinger Equation 12,
(12)It isfound the exact solution for (Equation 12) as Equation 13:
(13)by (Jawad et al., 2013).
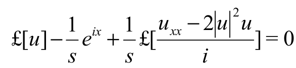
For applications of Hatm; applying the Laplace transform on both sides of Equation 12, we have 
We describe a nonlinear operator as
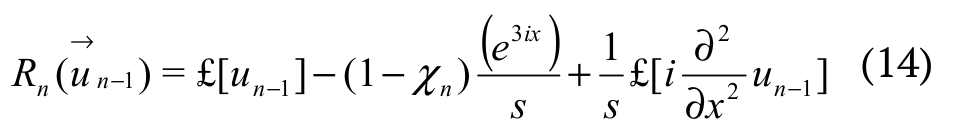
and thus Equation 14:
(14)The nth-order deformation equation is given by
. Applying the inverse Laplace transform,
we rewrite Equation 15:
(15)Solving Equation 14, for n = 1, 2, 3, ..., we get Equation 16:
(16)Hence, the 5th-order HATM solution (for h = -1) is given by Equation 17;
(17)For applications of RPSM;
We consider (Equation 12) equation and his initial condition. We apply the RPSM to find out series solution for this equation subject to given initial conditions by replacing its power series expansion with its truncated residual function. From this equation a repetition formula for the calculation of coefficients is supplied, while coefficients in PS expansion can be calculated repeatedly from the truncated residual function (El-Ajou et al., 2013; 2015).
Theorize that the solution yields the expanse form, Equation 18:
(18)Next, we let ukto denote k. truncated series of u, Equation 19:
(19)where:
u0 = f0(x) = u(x, 0) = f(x), Equation 19 can be written as Equation 20:
(20)At first, to find the value of coefficients
in series expansion of Equation 20, we
define residual function Res; for Equation
12 as Res = ut+ iuxx and the k-th residual function, Resk as follows Equation 21:
(21) (Arqub, 2013; Arqub et al., 2013; El-Ajou et al., 2013) show that Res = 0 and
for each
and
.
Then,
when t = 0 for each
. To determine f1(x), we write k = 1 in Equation 21, Equation 22:
(22)where:
u1 = f(x) + tf1(x) for u0 = f0(x) = f(x) = u(x, 0) = e3ix.
From Equation 22 we deduce that Res1 = 0 (t = 0) and thus, Equation 23:
(23)Therefore, the -st RPS approximate solutions are Equation 24:
(24)Similarly, to find out the form of the second
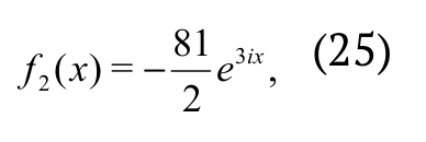
unknown coefficient f2(x), we write u2 = f(x) + tf1(x) + t2f2(x) in Res2.
(t = 0) and thus, Equation 25:
(25)Therefore, the 2-st RPS approximate solutions are Equation 26:
(26)Similarly, we write u4 = f(x) + tf1(x) + t2f2(x) + t3f3(x) + t4f4(x) in Res4.
(t = 0) nd thus, acoording Equation 27:
(27) Therefore, the 4-st RPS approximate solutions are
.
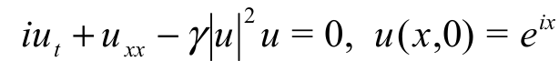
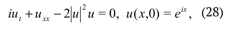
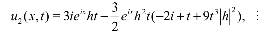
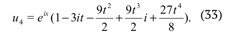
Example 2: We now study the cubic nonlinear Schrodinger Equation 28,
(28)The exact solution for (Equation 28) is (Wazwaz, 2008), acoording Equation 29.
(29) For applications of Hatm; applying the Laplace transform on both sides of Equation 28, we have
.
We describe a nonlinear operator as
and
thus.
The nth-order deformation equation is given by
.
Applying the inverse Laplace transform, we have Equation 30:
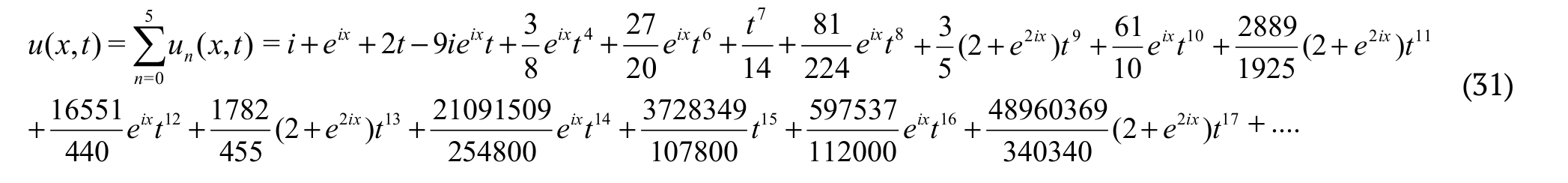
(30) Solving Equation 30, for n = 1, 2, 3, ..., we get u0(x, t) = eix, u1(x, t) = 3ieixht
.
Hence, the 5th-order Hatm solution (for h = -1) is given by Equation 31:
(31)For applications of RPSM;
We the cubic (Equation 28) nonlinear Schrodinger equation and his initial condition.
If we apply the RPSM, we can write, Equation 32:
(32)Therefore, the 4-st RPS approximate solutions are Equation 33:
(33)








In this section, we formed graphics and drew tables for reliable to above obtained solutions.
Table 1-4 clarify the convergence of the approximate solutions to the exact solution. In these tables, comparison among approximate solutions with known results is made. These results obtained by using RPSM and Hatm.
In this work we have demonstrated efficiency of the Homotopy analysis transform method (Hatm) and Residual power series method (RPSM) for finding series solutions of linear and nonlinear Schrödinger equations. These methods are applied successfully and series solutions are compared known exact solutions. Graphical and numerical consequences are introduced to illustrate the solutions. The solution finded by using RPSM is more convenient as compared to Hatm solution.Thus, it is concluded that the RPSM becomes powerful and efficient in finding numerical solutions than Hatm by assuming h = -1. We conclude that consequences emphasizes the powers of these methods in handling a wide variety of nonlinear problems.
zelihakorpinar@gmail.com







