Biotecnologia
High doses of potassium metabisulphite are required to control the growth of native bacteria and yeasts from sugarcane juice
High doses of potassium metabisulphite are required to control the growth of native bacteria and yeasts from sugarcane juice
Acta Scientiarum. Technology, vol. 41, 2019
Universidade Estadual de Maringá
Received: 18 April 2017
Accepted: 14 May 2017
Abstract: A major concern of ethanol production plants is the control of native microorganisms mainly derived from the sugarcane juice that may reduce the fermentative yield. In the wine industry, the sulphur dioxide (SO2) is commonly used to control the undesirable populations of yeast and bacteria, however, this substance has not been evaluated yet in the context of the ethanol industry. This study aimed to verify the effect of different concentrations and incubation times of potassium metabisulphite (PMB), as a source of SO2, with raw sugarcane juice in order to control the growth of native bacteria and yeasts. PMB was effective to control the growth of native yeasts and bacteria from the sugarcane juice at the concentration of 800 mg L-1, reducing almost one log cycle for yeasts and 1.9-2.9 log cycles for bacteria, with incubation times of 3 and 6-9 hours, respectively. Although PMB is effective in the context of wine fermentation, it was not appropriate to the fuel ethanol production especially due to the peculiar characteristics of the substrate and also to the cost in terms of high doses of the antimicrobial and the volumes of sugarcane juice to be treated daily.
Keywords: ethanol, sugarcane juice, microbial growth, bacteria, yeasts.
Introduction
Sugarcane juice, as the culture medium for alcoholic fermentation for fuel ethanol production, has a diverse composition that may affect several industrial operating parameters, especially the fermentative yield. Many factors define the final composition of the sugarcane juice, as the sugarcane variety, soil quality, fertilization method, climate conditions, sugarcane maturity, harvest type, the distance between the times of burning, cutting and processing, straw proportion, use of vinasse for irrigation and the type of juice extraction, by milling or diffuser (Basso, Basso, & Rocha, 2011).
After extraction, the impurities are removed from the sugarcane juice by sieving, heating, liming and flocculation with polymers in a process named clarification, before it proceeds to the sugar or ethanol production unities (Dias et al., 2015). However, the sugarcane juice is not subjected to any procedure to remove the microorganisms, carrying a contamination that will be harmful to the fermentative process. Bacteria and yeasts are the main microorganisms that enter the industrial process through the equipments (due to the lack of maintenance) or because they live inside the sugarcane (endophytic microorganisms).
The ethanol-producing plant commonly employs an acid treatment to control the microbial growth. This treatment is performed at the end of each fermentative cycle by adding sulphuric acid to decrease the flocculation caused by bacteria. It consists of the acid treatment of the yeast cells in an acid solution prepared with sulphuric acid at pH 1.8-2.5 for 2-3 hours. After that, the cell mass returns to the tank for a new round of fermentation (Amorim, Lopes, Oliveira, Buckeridge, & Goldman, 2011). Nonetheless, this treatment is not always effective against native yeasts or when the bacterial contamination is high.
The wineries use sulphur dioxide (SO2) as a control agent against bacteria and native yeasts belonging to non-Saccharomyces species, with minimum effect on Saccharomyces cerevisiae. It inhibits the microbial growth by interfering with intracellular processes and it binds to several metabolites and enzymes avoiding them to be used as energy sources (Divol, du Toit, & Duckitt, 2012).
SO2 is active against bacteria, yeasts and molds. Fungi are more resistant than bacteria and among them, the Gram-negative species are more susceptible. In wine fermentation, the fact that S. cerevisiae is tolerant to the concentration of 100 mg L-1 SO2 is well explored because this concentration is able to control the growth of native yeasts and acetic bacteria (Adams & Moss, 2008).
However, a little is known about the feasibility of using this substance in the fuel ethanol industry, in which contaminants similar to those found in winery also occur. The potassium metabisulphite (PMB) is an additive that renders about 50% of SO2 in aqueous solutions, with a complex equilibrium between several forms of sulphite according to the concentration, pH and temperature. The interaction between PMB and the medium in which it is diluted is influenced by pH, ethanol and sugar concentration (Divol et al., 2012). In this context, studies that evaluate the action of SO2 added in the form of PMB to the sugarcane substrates like sugarcane juice may contribute to increase the efficiency of bacterial and yeast removal from this fermentation substrate. Our contribution was to estimate the concentration and time of incubation of sugarcane juice with PMB to cause a reduction in the growth of native bacteria and yeast from the sugarcane juice in order to evaluate the feasibility of using this substance as an antimicrobial in the ethanol industry.
Material and methods
Sugarcane sampling and experimental setup
Sugarcane juice was sampled from Usina São João, Araras, State São Paulo, Brazil, in two distinct harvesting periods, 2015/2016 (12-Jul-2015 and 14-Oct-2015) and 2016/2017 (09-Nov-2016 and 16-Dec-2016). The raw juice (non-sterile) was collected in sterile screw-capped flasks and distributed in volumes of 50 mL in also sterile flasks in the laboratory under aseptic conditions. Aliquots of the stock solutions of PMB to final concentrations of 75, 150, 200, 400 and 800 mg L-1were added to the sugarcane juice, in duplicate for each concentration, and the flasks were maintained at 30ºC, 160 rpm, for 9 hours. Samples were withdrawn each 3 hours to estimate the number of bacteria and yeasts. For bacteria, PMB concentrations of 75, 150 and 800 mg L-1 were evaluated, and for yeasts, concentrations of 200, 400 and 800 mg L-1. Stock solutions of PMB (Dinâmica®) were prepared in sterile distilled water, filtered through 0.45 µm membrane and maintained in sterile Falcon tubes. Sugarcane juice without addition of PMB was also analyzed.
Microbiological analysis
The number of bacteria was determined by plating the sugarcane juice samples on Nutrient Agar medium (0.1% meat extract; 0.2% yeast extract; 0.5% peptone; 0.5% sodium chloride; and 2% Agar; nystatin to the final concentration of 50 mg L-1). The inoculated plates (duplicates for each of three dilutions) were maintained at 35ºC for 24 hours.
The number of yeasts was determined by plating the sugarcane juice samples on YPD medium (2% peptone; 2% glucose; 1% yeast extract; and 2% agar; with chloramphenicol and tetracycline to the final concentration of 50 mg L-1 each). The inoculated plates (duplicates for each of three dilutions) were maintained at 30ºC for 72 hours.
After the incubation period, the number of colonies was expressed as number of colony-forming units mL-1 (CFU mL-1).
Analysis of the results
The results of all four samples of sugarcane juice were analyzed by comparing the logarithmic reduction in the number of bacteria and yeasts for each sample. The initial CFU number (with no addition of PMB at the initial time) in relation to the final CFU number (in each sampling time, for each PMB concentration) was transformed into log and the logarithmic reduction was calculated as follows: log initial CFU – log final CFU.
Results and discussion
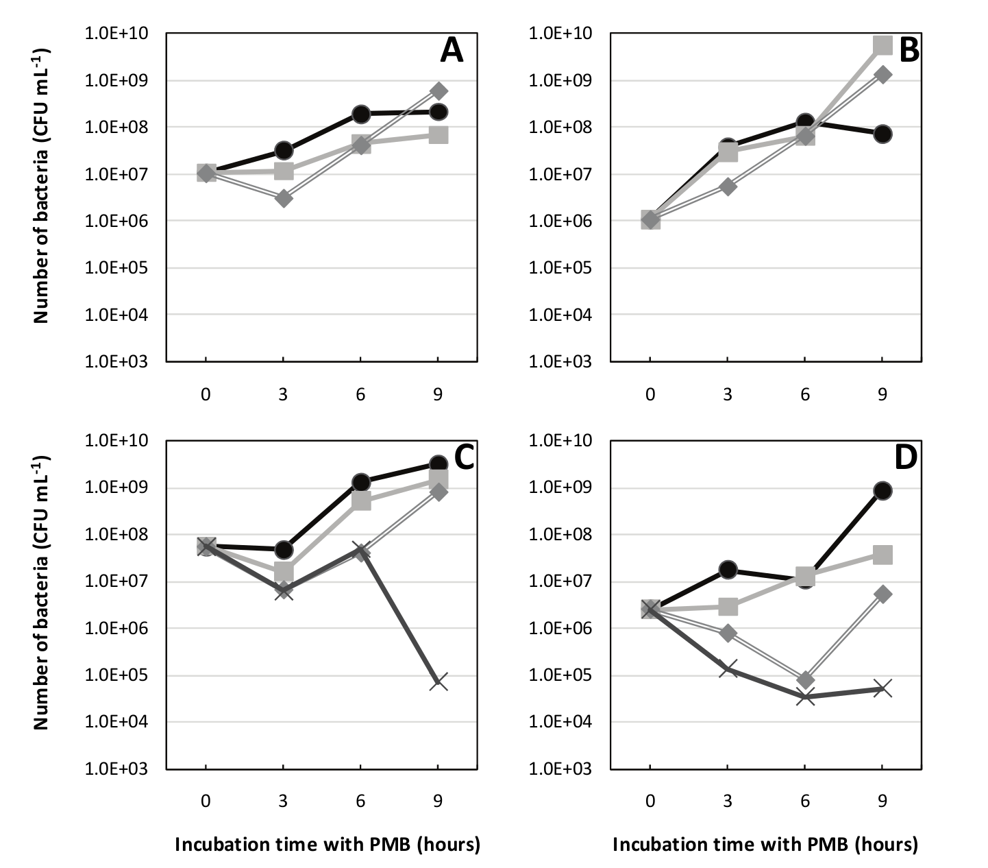
The results in Figure 1 show the evolution of bacterial growth along the incubation time with PMB at distinct concentrations. With the concentration of 75 mg L-1 PMB, there was a slower bacterial growth up to 9 hours, except for one sample (juice collected in Oct 2015, Figure 1B) in which the CFU was higher with PMB than without PMB at that time. With 150 mg L-1, there was a similar profile but this concentration was indeed effective in the juice sampled in Dec 2016 (Figure 1D). As the concentration of 150 mg L-1 did not cause a decrease in bacterial number in the juices sampled in 2015, a higher concentration (800 mg L-1) was evaluated with the samples collected in 2016. This concentration caused a remarkable decrease in CFU number along the time of incubation with PMB.
The effect of PMB on the bacterial growth was observed already after 3 hours of incubation with sugarcane juice, although the CFU number have increased afterwards, but at a slower rate compared to the sugarcane juice without PMB (Figure 1).
Maximum logarithmic reduction in bacterial number was achieved at the highest concentration of PMB in the juices sampled in 2016 (approximately 2 and 3 log cycles, with incubation times of 6 and 9 hours), as described in Table 1.
The number of bacterial CFU in sugarcane juice incubated with PMB was higher than the juice without PMB when concentrations of 75 and 150 mg L-1 were used, in two samples collected in 2015 (Figure 1A and 1B). When observing the morphology of colonies growing in the Petri dishes, a change in the colony types was found. In the sugarcane juice with no addition of PMB, there was more homogeneity in the morphology of bacterial colonies (data not shown). It is supposed to have distinct types of native bacteria in the sugarcane juice with different resistance patterns to PMB. As the PMB concentration increased, some sensitive types of bacteria should have died allowing the predominance of other more resistant types. These ones had their number increased probably due to the cell autolysis or diminished competition for nutrients.
When a microbial cell is subjected to a selective pressure, acclimation or adaptation of the cells to growing doses of the inhibitory substances (ethanol, SO2 or antibiotics) may occur. The resistant cells, which survive to the antimicrobial action, take numerical advantage. Besides, mutant cells that arise spontaneously due to the selective pressure of the antimicrobial survive and multiply (Delfini & Formica, 2001). This may have occurred in the present work.


Another explanation for the bacterial growth recovery is the occurrence of viable but non-culturable cell (VBNC), which is greatly studied in bacteria. In this condition, the bacteria are unable to grow on culture media but they are metabolic active yet. When the stress is alleviated, the culturability is regained (Oliver, 2010). Considering that SO2 effect is more efficient during short-term incubation periods rather than long-term incubation periods (Chandra, Oro, Ferreira-Dias, & Malfeito-Ferreira, 2015), as already observed in this study, due mainly to the loss of free sulfite during longer incubation (Chandra, Barata, Ferreira-Dias, Malfeito-Ferreira, & Loureiro, 2014), this condition might contribute to the growth recovery even in the sugarcane juice to which PMB was added.
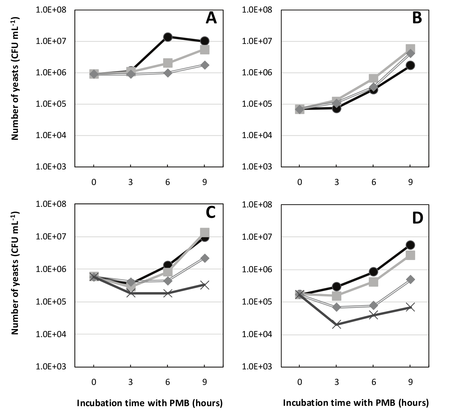
Regarding the native yeasts from the sugarcane juice, a higher resistance to PMB was verified compared to the native bacteria (Figure 2). At the concentration of 200 and 400 mg L-1, a slower growth was observed compared to the sugarcane juice without PMB, except for the sample collected in Oct 2015, in which no difference was detected between the concentrations (Figure 2B). This result may be attributed to the yeast composition of the juice, which is known to vary along the sugarcane maturation. Saccharomyces yeasts are more resistant to PMB than non-Saccharomyces yeasts (Divol et al., 2012; Bassi, Paraluppi, Reis, & Ceccato-Antonini, 2015) and the proportion between Saccharomyces and non-Saccharomyces in the sugarcane juice oscillates according to the sugarcane maturation (Martini, Margarido, & Ceccato-Antonini, 2010).The sugarcane juice has a diversity of bacteria and fungi that can compete with the starter yeast S. cerevisiae and affect the fermentative yield. Genera as Candida, Debaryomyces, Hanseniaspora, Meyerozyma, Wickerhamiella and Zygosaccharomyces were observed to constitute 11.9% of the yeasts present in the sugarcane stalks, and Candida represents the major fraction (Souza et al., 2016).
Maximum logarithmic reduction in yeast number was also achieved at the highest concentration of PMB in the juices sampled in 2016 (approximately 0.5 and one log cycle, with incubation times of 3 and 6 hours), as described in Table 2. This result reflects higher resistance to PMB in yeasts than in bacteria.
Considering all four sugarcane juices together regarding the distinct PMB concentrations and incubation times towards the efficiency of the antimicrobial agent to reduce the microbial load in the substrate, two points have arisen:
- PMB was more effective against bacteria and yeasts in the samples collected in 2016 than in 2015: the variation in the microbial diversity or in the initial microbial number from one year to the next may affect PMB efficiency;
- PMB was more effective to reduce the number of native bacteria than native yeasts from the sugarcane juice: concentrations of 150 and 800 mg L-1 were required to cause a bacterial logarithmic reduction of 1.5 and 2.9 in incubation times of 6 and 9 hours with PMB while for yeasts only at the concentration of 800 mg L-1 a reduction of less than 1 log cycle was achieved after 3 hours of incubation with PMB.
Two characteristics of the sugarcane juice should be highlighted to explain the high doses of PMB required to achieve a microbial logarithmic reduction of at least one log cycle, that is the pH of the juice (around 5.0-5.5) and the presence of sugars like glucose (Martini et al., 2010).The efficiency of PMB decreases with the increase in pH (Divol et al., 2012). Oliva-Neto and Yokoya (2001) verified that the minimum inhibitory concentration of sodium sulphite to lactic bacteria increased around 15 times when the pH of the medium varied from 4.5 to 6.5. SO2 binds to reducing sugars (Guido, 2016) deviating it from the microbial energy pathways but also alleviating its effect on the microorganisms. Thus, a high dose of PMB is required in order to have effect on the bacterial and yeast growth in sugarcane juice, what makes infeasible the use of PMB by the industry due to high cost considering the volume of sugarcane juice to be treated every day in an ethanol-producing unit. Although a substantial reduction in microbial number (especially bacteria) was obtained (higher than 90%), it should be considered that native microorganisms would be still alive in the sugarcane juice and could grow in the fermentation tank. The use of PMB for juice treatment aiming at the microbial load removal is not indicated under the conditions studied herein.


Conclusion
Potassium metabisulphite is effective to control the growth of native bacteria and yeasts from the sugarcane juice at the concentration of 800 mg L-1 reducing almost one log cycle for yeasts and 1.9-2.9 log cycles for bacteria, with incubation times of 3 and 6-9 hours, respectively. The utilization of this substance in ethanol-producing units is not viable due to the cost in terms of high doses of the antimicrobial and the volumes of sugarcane juice to be treated daily.
Acknowledgements
The authors wish to acknowledge the financial support of Fundação de Amparo a Pesquisa do Estado de São Paulo (process number 2014/17794-2).
References
Adams, M. R., & Moss, M. O. (2008). Food microbiology. Cambridge, UK: Royal Society of Chemistry.
Amorim, H. V., Lopes, M. L., Oliveira, J. V. C., Buckeridge, M. S., & Goldman, G. H. (2011). Scientific challenges of bioethanol production in Brazil. Applied Microbiology and Biotechnology, 91(5), 1267-1275. doi: 10.1007/s00253-011-3437-6
Bassi, A. P. G., Paraluppi, A. L., Reis, V. R., & Ceccato-Antonini, S. R. (2015). Potassium metabisulphite as a potential biocide against Dekkera bruxellensis in fuel ethanol fermentations. Letters in Applied Microbiology, 60(3), 248-258. doi: 10.1111/lam.12363
Basso, L. C., Basso, T. O., & Rocha, S. N. (2011). Ethanol production in Brazil: the industrial process and its impact on yeast fermentation. In M. A. S. Bernardes (Ed.), Biofuel production: recent developments and prospects (p. 85-100). Rijeka, CR: IntechOpen.
Chandra, M., Barata, A., Ferreira-Dias, S., Malfeito-Ferreira, M., & Loureiro, V. (2014). A Response Surface Methodology study on the role of factors affecting growth and volatile phenol production by Brettanomyces bruxellensis ISA 2211 in wine. Food Microbiology, 42, 40-46. doi: 10.1016/j.fm.2014.03.002
Chandra, M., Oro, I., Ferreira-Dias, S., & Malfeito-Ferreira, M. (2015). Effect of ethanol, sulfur dioxide and glucose on the growth of wine spoilage yeasts using response surface methodology. PLoS One, 10(6), e0128702. doi: 10.1371/journal.pone.0128702
Delfini, C., & Formica, J. V. (2001).Wine microbiology: science and technology. New York, NY: Science and Technology.
Dias, M. O. S., Maciel Filho, R., Mantelatto, P. E.,Cavalett, O., Rossell, C. E. V., Bonomi, A., & Leal, M. R. V. (2015). Sugarcane processing for ethanol and sugar in Brazil. Environmental Development, 15, 35-51. doi: 10.1016/j.envdev.2015.03.004
Divol, B., du Toit, M., & Duckitt, E. (2012). Surviving in the presence of sulphur dioxide: strategies developed by wine yeasts. Applied Microbiology and Biotechnology, 95(3), 601-613. doi: 10.1007/s00253-012-4186-x
Guido, L. F. (2016). Sulfites in beer: reviewing regulation, analysis and role. Scientia Agricola, 73(2), 189-197. doi: 10.1590/0103-9016-2015-0290
Martini, C., Margarido, L. A. C., & Ceccato-Antonini, S. R. (2010). Microbiological and physicochemical evaluations of juice extracted from different parts of sugar cane stalks from three varieties cultivated under organic management. Ciência e Tecnologia de Alimentos, 30(3), 808-813. doi: 10.1590/S0101-20612010000300037
Oliva-Neto, P., & Yokoya, F. (2001). Susceptibility of Saccharomyces cerevisiae and lactic acid bacteria from the alcohol industry to several antimicrobial compounds. Brazilian Journal of Microbiology, 32(1), 10-14. doi: 10.1590/S1517-83822001000100003
Oliver, J. D. (2010). Recent findings on the viable but nonculturable state in pathogenic bacteria. FEMS Microbiology Reviews, 34(4), 415-425.doi: 10.1111/j.1574-6976.2009.00200.x
Souza, R. S. C., Okura, V. K.,Armanhi, J. S. L., Jorrín, B., Lozano, N., Silva, M. J., … Arruda, P. (2016). Unlocking the bacterial and fungal communities assemblages of sugarcane microbiome. Science Reports, 6, 28774. doi: 10.1038/srep28774, 2016
Author notes
antonini@ufscar.br