Ciência da Computação
A framework for the consensus decision-making based on arguments and common knowledge formation
A framework for the consensus decision-making based on arguments and common knowledge formation
Acta Scientiarum. Technology, vol. 41, 2019
Universidade Estadual de Maringá
Received: 03 July 2017
Accepted: 16 February 2018
Abstract: In an argumentative dialogue, agents exchange arguments to approve or disapprove a decision alternative. The problem arises when a group of agents with incomplete information needs to reach consensus on the decision. This study proposes a framework for decision-making where the argumentative agents can build the necessary common knowledge to make a decision based on every formula of the exchanged arguments. Each formula receives votes indicating either support or rejection. When a formula receives more supporting votes than rejection ones, that is, it is accepted by the majority, it becomes common knowledge. In this case, there is a consensus about that information, which influences the strength of the argument comprising the formula. The framework for decision-making permits to analyze the arguments related to every decision alternative and rank them based on the strength of the arguments. This framework is an alternative for existing ones based on preferences expressed by numerical values, allowing agents to explain the rationale behind the decisions.
Keywords: dialogue, argumentation, formal logic, agents.
Introduction
When a group of agents have to decide collectively about a problem, choosing one alternative among others, they usually use an aggregation procedure to combine the individual preferences into a collective one. The aggregation of opinions occurs especially when there are divergences of opinions. The most common techniques for group decision applied to intelligent agents are majority vote, Borda count, Condorcet criterion, approval voting, judgement aggregation (Gehrlein, 2006; Grossi & Pigozzi, 2014), and a number of variations of these techniques. All of them use voting as the basic principle to find the preferred result. Besides that, all agents must vote, even when they do not have enough information. Such mechanisms do not take the whole process of consensus achievement into consideration, which includes the possibility for the participants to change their minds before voting and the reasons for the pros and cons votes. Therefore, a dialogue protocol allowing all participants to express their opinions and to share knowledge seems an important phase for reaching consensus.
Agreement about a decision implies common knowledge, it is a necessary requirement when a group of agents need to make decisions. In Fagin, Halpern, Moses, and Vardi (2004), common knowledge is defined as ‘the state of knowledge where everyone knows, everyone knows that everyone knows, everyone knows that everyone knows that everyone knows, etc.’. The definition of common knowledge is in accordance with what is needed for consensus decision-making since consensus occurs when all opinions are considered and evaluated by the group (Neary & Winn, 2017).
Arguments sent in a dialogue express points of view about the decision alternative in discussion or other counter-arguments. The strength of arguments can be obtained through the degree of consensus in their formulas, indicating to what extent that argument is considered accepted by the group. The goal of this paper is to present a framework to build common knowledge from information presented by agents in a decision-making dialogue. Whenever an argument is sent to the group, it is analyzed to what extent its formulas are known by the group and the agents’ belief sets are updated with the consented formula. In addition, it is proposed a method to analyze the arguments for or against a decision alternative, choosing the alternative preferred by the group.
In the next section, it is defined the framework for building common knowledge through the arguments in a dialogue, the argument strength calculation and the decision making. Next, it is presented a discussion about how the framework can be implemented and the results, following the conclusions and future work.
Material and methods
In this section, we introduce the fundamental background on knowledge representation and we focus on the agent architecture, the argumentative dialogue, and the process for (i) computing which piece of information in an argument should be accepted as common knowledge, (ii) computing the argument strength with the intrinsic and the overall strengths, and (iii) choosing the alternative preferred by the group.
Possible-world and knowledge representation
The classical model of reasoning about knowledge of a single agent is known as possible-world model. Possible-worlds represent the possible state of affairs (that is, there may be situations where a fact holds for a topic under discussion, but do not hold for another topic) (Fagin et al., 2004). An agent agi knows a fact if is necessarily true, i.e. it is true in all the possible worlds. The modal operators K1,…, Kn for n agents represent the knowledge of agent agi, i = 1, …, n. The formula K1p is read ‘agent ag1 knows p’, K1K2p is read ‘agent ag1knows that ag2 knows p’ and
is read ‘agent ag2 does not know that ag1 knows that ag3 knows r ’.
When the reasoning involves the knowledge of a set of agents AG, two modal operators can be defined (Fagin & Halpern, 1994): EAG (i.e., EAGr represents that every agent in the group knows r) and CAG(i.e., CAGr represents that every agents in the group knows r and they know that every agent in the group knows r, that is, r is common knowledge in the group).
Agent architecture
Consensus is a dynamic and interactive group discussion process, generally coordinated by a moderator, that tries to help the group to make their opinions closer (Singh & Benyoucef, 2013). There are basically two types of agents involved: the argumentative and the mediator. An argumentative agent dialogues, builds arguments, and shares knowledge in some way so that the consensus can be achieved. The mediator agent is responsible for determining, by means of a consensus measure, which facts and rules should be accepted in the group.
Definition 1: Let AG be the set of argumentative agents. An agent
is a tuple
where:
is the knowledge base with
(Kiis a set of formulas representing beliefs about the environment, and KOi is a set of formulas gathered through communication of agi with AG\agi);
is the commitment store (CSi.S has arguments to be sent and CSi.A arguments to be analyzed when looking for counter-arguments).
The proposed framework to build common knowledge on the agents’ beliefs[1]
is based on argument exchange and voting. When an agent sends an argument, it
represents his opinion, point of view or a justification about the alternative under
discussion. In this paper,
has formulas in
propositional language and the arguments are built based on that formulas (Besnard & Hunter, 2014).
Besides that, is the classical inference, represents logical
equivalence, and _|_ represents
contradiction. An argument is formed by a pair
where
represents the support
(premises) and the claim of the
argument, such that: (1) is a
formula, (2)
(3)
(4)
, (5)
such that
. Arguments are created to justify a position against the
decision alternative or other arguments. The most common attack relations
between arguments are undercut and rebuttal (Parsons
& McBurney, 2003; Besnard & Hunter, 2014). Let
and
be two distinct
arguments: arg1 undercuts:
such that
, and arg1 rebuts
.
When an argumentative agent is requested to speak, he has to choose one
move among the following: propose
(send set of arguments), ‘vote’ for support and ‘vote’ for rejection (in the
formulas of the arguments). Whenever an argument is exposed, it is stored in CSi.A and
every agent votes supporting or rejecting each argument’s formula and tries to
find counter-arguments, storing them in the CSi.S to present them
on his turn. One supporting vote for a formula r in an argument means that agi knows r
(Kir), conversely, one rejection vote means that
If the
and
, he does not vote.
Let
be the set of all
arguments that can be built from
, be the subset of
arguments sent by an agent in a dialogue, and
, an argument. The following functions allow us to decompose
an argument into its formulas and atoms:
is a function that
returns the set of formulas in the premise of an argument arg,
is a function that
returns the claim of arg,
is a function that
returns the set of formulas in arg with
, and
is a function that
returns the set of atoms of a formula with
. Each formula of an argument can
receive votes of support and rejection from the participating agents. We refer
to Support[] (and Reject[]) as the set of agents that support (and reject) formula during the voting
stage.
Definition 2: A formula in an argument sent by
agi
is supported by agj if:
(1)
, or (2)
and
is a tautology. A
formula is rejected if:
and
is not a tautology.
The mediator is a special agent in charge of controlling the sequence of messages sent by the argumentative agents, including arguments and votes in a waiting time t, access the software artifacts used to synchronize the dialogues and the sequence of speech moves, and inform the agents about the actual state of the dialogue.
Definition 3: A mediator agent med is a tuple
where wb is a list of
argumentative agents registered to send new arguments, Agenda is a list that stores all arguments sent by an agent in a
round of dialogue, DT is a set of
dialogue tables (dt1, dt2, …) with a dialogue
table for each decision alternative, and is a threshold value
used to determine when a formula in an argument should be common knowledge.
The artifact wb is a coordination mechanism that emulates what happens in face-to-face meetings, when an agent wants to send an argument, he needs to ask for registration in a queue and wait for its turn. This queue guarantees that only registered agents receive the right to send arguments in a coordinated manner. The Agenda is a structure implemented as a queue, responsible for storing all arguments sent by the argumentative agents in each round of speak. Every argument in the Agenda needs to be verified (i.e., check if it is a valid counter-argument and check if this argument has not been already sent in the dialogue). Each dt1 DT is a table that is populated with the arguments provided in the dialogue moves. Every tuple of this table contains a sequential number y, the sender, the argument, and the list of formulas of the argument with the support/rejection votes.
In the proposed framework, every argumentative agent has a value that represents his degree of expertise in the group. This value represents in what extent each information in an argument should be considered as accepted by the group.
Definition 4: A Framework for Common Knowledge formation
is a tuple
where: AG = {ag1, …, agn} with n
> 1 is the set of argumentative agents; TS
= {ts1, …, tsn} with
and ts1 + … + tsn = 1 is the
expertise of the agents about the alternative under discussion where agi has
expertise value tsi;
D = {d1, …, dm}
with m1 is the set of decision
alternatives to be discussed; med is the mediator agent; and t is the waiting time
used to coordinate the votes and send arguments in a dialogue.
Example 1: Let
,
,
,
,
,
,
,
,
. At some point
in the dialogue, agent ag5 sends argument
. We have that Support[a] = {ag1, ag3,
ag6}, Reject[a] = {ag2},
,
, Support[b] = {}, and Reject[b] = {ag2, ag3, ag4}.
Building common knowledge
In
a group decision-making, support and rejection votes for a formula are weighted
by the agents’ expertise, so if it is the case that the supporting score is
greater than the rejection score, that formula is taken as true by the group
and it is included in each
by means of a belief
update function. If rejection score is greater than supporting score, the
negation of the formula is then included in
. The belief update function buf computes the consensus level
and detect which formulas should be accepted. Equation 1 shows how the buf value is
obtained. We refer to agi as the issuing agent.
(1)The result of the function buf indicates when the
group should consider or
accepted based on a
threshold value[2].
This result can be obtained with:
.
Having the consensus theory in mind, whenever
, formula should be accepted and
consented by the group. When
, there is no consensus about and this formula is
not considered. For
, it stands that the group rejects , thus accepting its negation. Whenever a formula is consensually
accepted, the group updates the
with that formula and an
annotation containing the decision alternative in discussion with the consensus
degree, like [di(buf)]. If there
is already a formula in the Ki base of the argumentative
agents, only the annotation is updated for that formula. Otherwise, the formula
with its annotation has to be included in the KOi. When there is no
consensus, only the agents that knows or
update the formula with the
annotation [di(0)].
In the dialogue, for some next alternative, consider Ki = {a, b[d2(0.3)]} and
. Agent agi always believes in , but for decision d1
he considers
. The same occurs for b.
As agi
knows nothing about c, he considers
it for every possible dialogue since it is common knowledge. So, if is presented in
another argument and the knowledge base of an argumentative agent is
inconsistent, this agent firstly checks if has any annotation for
the current alternative. Otherwise, the voting for support or rejection on uses preferentially the K base. Again, a new annotation has to be added in the
formula for the new current alternative with its consensus level.
Example 1 (cont.): Let = 0.1, we have in Formula 1: buf(a) = 0.13 and
denoting that formula = a should be accepted by the group for issue d1. Agents with no knowledge or rejecting (ag2, ag4) must now accept ;
denoting that
should be accepted for
issue d1; buf(b) = -0.53 denoting that
should be accepted for
issue d1. The group of
agents should update their knowledge bases K
or KO with the formulas annotated [d1(0.13)],
and
.
Proposition 1: For every
and
, we can represent the knowledge of the
agents or ignorance using the modal operators Ki, EAG
and CAG.
For two knowledge bases
and
, the modal operator
indicates that agent ag1 knows formula
, that is,
. The modal operator EAGa indicates that agents ag1 and ag2 knows formula , that is,
and
. The modal operator
indicates that formula
has already been
presented and discussed, becoming a common knowledge. The modal operators
,
and
represent ignorance or
missing information, where ag1 does not know formula
, the group is unaware of g
and formula
is not common
knowledge for the group of agents.
Proposition 2: Formulas with no annotation are considered acceptable for an agent in all the possible worlds. The annotation [di(buf)] represents common knowledge in a possible world, that is, the issue under discussion.
Proposition 3: Formulas that have been accepted as common knowledge and have not been rejected by the agent do not cause inconsistency of the Knowledge Base. Those formulas are then considered true for all the possible worlds.
A consensually accepted formula is stored in the knowledge base in every agent, so that formulas with annotations are known by every agent and every agent knows that the other agents know that formula, that is, this formula is common knowledge. Thus, the framework for building common knowledge satisfies the complete axiomatization for language of knowledge and common knowledge.
The dialogue process
The dialogue process is presented in Table 1. Agent med conducts and synchronizes the speech order, as well as computes the preferences of the group. The functions defined for the med with their relations in the argumentative agents are:
In the beginning of the dialogue, med initializes the structures needed to conduct the messages exchange, as the wb [createWhiteboard()], the dialogue table for the current decision alternative [createDialogueTable(di)], the agenda [createAgenda()], and the initial argument
[createInitialArgument(di)].
The messages are broadcasted to all the argumentative agents, as to inform the current argument to be discussed with its corresponding line in the dialogue table [broadcastArgument(arg,y)], ask the agents to find counter-arguments considering the current decision alternative [broadcastAttack(di)], ask for voting supporting and rejecting a formula [broadcastAskVotingAgreement(f), broadcastAskVotingRejection(f)], inform that a formula must be learned or unconsented [broadcastLearn(f,b,di), broadcastInform(f,0,di)], and ask the agents with arguments to be sent [broadcastAskSpeak()].

To manage the wb, the functions are: add argumentative agents that has arguments to be sent [addWhiteboard(wb,broadcastAskSpeak())], update the wb enabling the next agent in the list to send arguments [updateWhiteboard(wb)], get the first agent in the list [getWhiteboard(wb,0)], and check if the list is empty [emptyWhiteboard(wb)]. Other functions are: ask the enabled agent to send his arguments [askSendArguments(ag)], validate the arguments sent by the enabled agent to guarantee that they are counter-arguments, unique, and with formulas that are not rejected nor unconsented [validateArguments(listArgs, dtm)], and fill the agenda with only the valid arguments [fillAgenda(agenda,listArgs)].
The argumentative agents have some functions in response to the requests of med. Table 2 lists this correspondence.
Consensus decision-making process
During the dialogue, agents can send their arguments or counter-arguments (Besnard & Hunter, 2014). After the dialogue, a set of arguments ARGS = {arg1, …, argz} with > 0 was presented. Hereupon, ARGS is then mapped to a graph of arguments. One of the best known abstract argumentation frameworks that uses graph of arguments was proposed by Dung (1995) and it is formed by a pair AF =
ARGS, R
where ARGS is the set of arguments and R is a binary relation that represents attacks between arguments with
. We use notation R(arg1, arg2) to represent that an argument arg1 attacks arg2.
Having an argumentation graph, the consensus decision-making process has two additional stages to suggest the decision alternative that is preferred by the group: compute the strength of arguments and determine to what extent one alternative is preferred to another.
Argument strength
Arguments sent in a dialogue about some decision alternative receive supporting and rejection votes in every formula. These votes are the base for determining the consensus level, which provides the argument intrinsic strength (Cayrol & Lagasquie-Schiex, 2005).
Definition 4: The intrinsic strength is a value obtained by the agent expertise and the concept of group majority knowledge, which express to what extent an argument is reliable based on its formulas.
Let split(argi) be a function that returns the formulas (premises and claim) of argi and length(argi) be a function that returns the size of argi (number of formulas). The intrinsic strength of an argument is obtained according to Equation 2.
(2)Proposition 4: The total acceptance of the argument results in is(argi) = 1, while the total rejection[3] of the argument results in is(argi) = 0.
While the intrinsic strength considers the supporting and rejection votes for the formulas of one argument, the overall strength copes with attack relations among arguments. Both the rejections in the formulas and the counter-arguments portray a negative effect, weakening the arguments. The overall strength of an argument considers its attackers (the counter-arguments), attackers of their attackers (the defenders), and so on.

Definition 5: The overall strength of an argument is a score that represents its importance when compared to the other arguments in an argumentation graph.
Let attack(argi) be a function that returns the set of arguments that attack argi in R, that is,
. To compute the overall strength, it is considered the intrinsic strength of argi and the overall strength of each
, according to Equation 3.
(3)To solve the entire system of argumentation with strength in the arguments, we resort to the iterative method[4]. We denote by time0 the initial overall strength calculation for each argument, and times the overall strength calculation obtained after the sth iteration. An iteration in times is carried out by computing a new overall strength times+1 for all arguments in ARGS. We refer to os(argi)s the process of computing the overall strength of argi in iteration s. The solution to the iterative method is obtained when os(argi)s = os(argi)s+1 for all arguments and the result is independent of argument processing order.
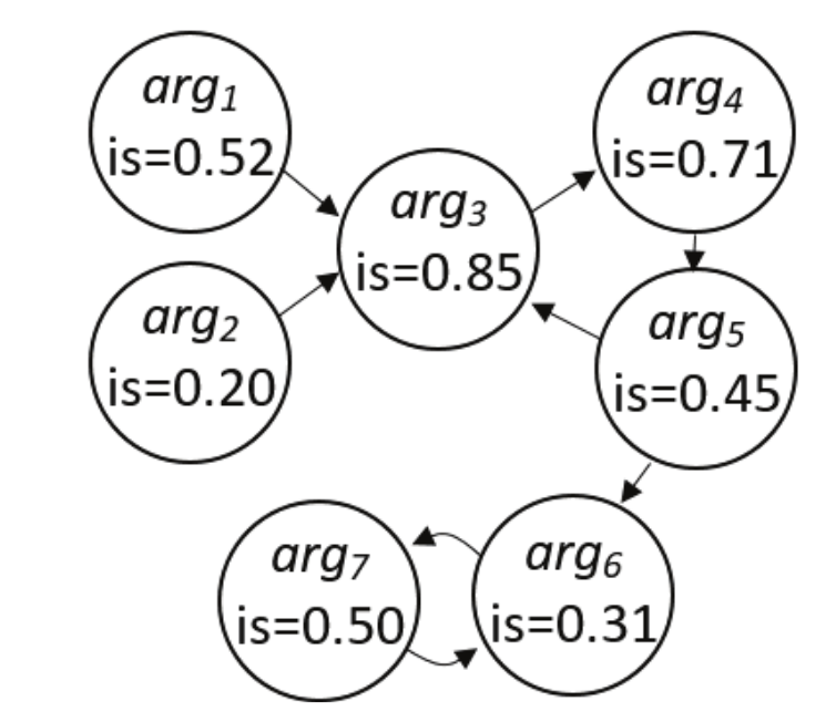
Example 2: Let an argumentation framework AF = {arg1,arg2,arg3,arg4,arg5,arg6,arg7}, {(arg1, arg3), (arg2, arg3), (arg5, arg3), (arg3, arg4), (arg4, arg5), (arg5, arg6), (arg6, arg7), (arg7, arg6)} with arguments having intrinsic strengths as in Figure 1. The iterations to obtain the overall strength for every argument is presented in Table 3. The ordering used to calculate follows from arg1 to arg7 and the initial overall strength is 0 for all arguments in time0.
Making decisions
An argumentation graph represents the dialogue about every alternative in FCK. To establish the preference order on the set of alternatives, we count the arguments that defend the alternative (PRO arguments) and those that reject it (CON arguments).
Let PRO : D 2Arg+ be a function that returns all arguments with an even distance in a simple path to the node that represents the decision alternative, and CON : D > 2Arg- a function that returns all arguments with an odd distance in a simple path to the node that represents the decision alternative. To compute the level of preference for a decision alternative, we use the Equation 4.
(4)


Having two decision alternatives d1 and d2, and their respective level of preference pref(d1) and pref(d2): (i) if pref(d1) = pref(d2) then d1 is as preferable as d2; (ii) if pref(d1) > pref(d2) then d1 is preferable to d2; (iii) if pref(d1) < pref(d2) then d2 is preferable to d1.
Results and discussion
In this section, a practical example applying the framework for consensus decision-making is presented to discuss the results obtained, followed by the related works.
Practical example
Let
and med with = 0.5. The problem is a discussion among three agents trying to
decide if a robot should rescue a human being in a disaster situation. The
robot has a stretcher that can carry only one person at a time. There are two
possible decision alternatives for the robot: recharge its battery (x) and make a rescue and take him to
the hospital (y). The initial formulas for the agents before the dialogue are:

The atoms in the formulas represent the sentences: = the battery has less than 70% charge; b = the person is very far from the robot; c = the risk of death is 9 ([0..10] where 10 the person is dead); d = the person is alive.
Agent med creates the initial argument to
begin the dialogue for the first decision alternative
. This argument is informed to the group in CSi.A.
For this argument, we have Support[]
= {ag1} where ag1 has the argument
supporting it with buf() = 0.4. Agent ag3 has the counter-argument
in CS3.S and he is inserted into
the wb.
When enabled to speak, the arguments in CS3.S
is sent and then emptied. The mediator validates the arguments to ensure that
all formulas are possibly accepted for the current dialogue (arguments are not
repeated and formulas are not rejected nor unconsented). With a valid argument,
the dialogue table is updated, the group is informed with the new argument, and
the voting stage results in Support[c]
= {ag2}, Reject[c] = {ag1},
, buf(c) = 0.2,
,
, and
. All formulas are updated with the corresponding label.
Agent ag1 has two counter-arguments[5]
and
and
he is inserted into the wb.
In arg3 we have with
. Agents ag2
and ag3 has a
counter-argument
but c[x(0)]
was presented in a previous argument and was not accepted, making this argument
invalid. In arg4, we have Support[a]
= {ag2} with buf(a) = 0.7 indicating that a
was accepted by the group, where ag3
updates his KO base with the unknown
information.
Agent ag2 has a valid counter-argument
with
and
, with
. As wb
and Agenda are empty, the dialogue is
completed. Agent med starts the
dialogue again for the next decision alternative y. Table 4 shows the dialogue table for decision alternatives x and y. The corresponding argumentation graphs are shown in Figure 2.
The strength of an argument is based on a social model of dialogue, where the more the argument is known, the stronger it becomes, and also the stronger the attacks are. The decision is made by the aggregation of the pros and cons arguments. We have PRO(x) = 1.34 and CON(x) = 0.85 with pref(x) = 0.49, whereas PRO(y) = 0.72 and CON(y) = 2.15 with pref(y) = -1.43. With a negative result, the group, by consensus, has a position that is contrary to the choice of y. As pref(x) > pref(y), in the moment of the dialogue, recharge the battery is preferred by the group considering the current knowledge in each agent.
After all dialogues, the knowledge bases of the agents are:




Considering the
threshold , the formulas that were consensually accepted are:
,
, and
. There were no rejected formulas. Unconsented formulas are: b,
, c,
,
,
, and
. Formulas that were not presented in the dialogues are:
and
. From the consented formulas, we can observe that the
battery does not have enough power to make a rescue, so it is preferred by the group
to recharge the battery instead of making a rescue and taking the injured
person to the hospital. It is important to note that the result shows the
preference of the group over a decision alternative. By adopting one of them, a
set of actions may be related. For example, when choosing x, some actions could be: choose the closest location to recharge,
send a message to an emergency center, help other robots, among others.
Other characteristics of the framework
The proposed framework presents the essential characteristics for the language of knowledge and common knowledge, like those in Fagin et al. (2004):
Proposition 5:
, if
, then the axiom
holds for = r.
Proposition 6:
,
, if
with buf > 0, then
the axiom ‘
' holds for
.
Proposition 7:
, if
with buf > 0, then
the axiom ‘
’ holds for = r, indicating that is consensually
accepted.
Proposition 8:
, if
, when is sent in an argument
during the dialogue, we get buf()= 1, then the axiom ‘From
infer
’ holds.
As a result of our framework, we may present some comments:
· In a knowledge base
, we have that an agent considers as true for all
possible worlds;
is also true for all
possible worlds, since there is not another in ; is true for all
possible worlds, except for world d which
has
; and
is true for all
possible worlds. The framework also represents information that is common
knowledge in the group of agents, like ,
and ;
· The framework acts as a partial belief model, being able to represent the different belief states for every formula in every possible world;
· Arguments are built and stored in CSi.S to attack the current argument in the CSi.A. It is important to consider only information the agents have in that moment;
· Every argument in the Agenda should be an attack relation (undercut or rebuttal) and it may not have already been presented in the current DT. It is necessary to ensure that all arguments are related to each other and are sent only once in a dialogue avoiding repetitions;
· The result of the framework for consensus decision-making indicates the decision alternative that is preferred by the group, not necessarily the optimal one;
· The framework does not allow the blocking of a decision alternative. Blocking is a situation where an agent is not sure to accept an argument, formula, or result of the decision, or then when to implement the decision, there are insufficient resource available;
· The initial knowledge base for each argumentative agent are defined by the application designers.
Related works
Dung (1995) proposed some semantics to determine the admissibility of the arguments, that is, a formal framework to identify conflict outcomes, like preferred or grounded semantics. The idea is to specify sets of acceptable arguments, or extensions. An extension is a set of arguments which can be accepted together. These semantics are used to select arguments without considering support or rejection about a decision alternative or group decision.
In Coste-Marquis, Konieczny, Marquis, and Ouali (2012), there is an argumentation graph with weights in the attack relations and apply Dung’s semantics. The authors can determine the last attacked or best defended extensions. Our proposal deals with arguments that receive strengths represented as numeric values, and is applied when a group of agents intends to select the preferred alternative considering the opinions of all the agents.
Pereira et al. (2011) use a belief revision using argumentation that assigns a fuzzy labeling to every argument, permitting to change the agent’s mind without removing the previous information forever, allowing recovery when this information turns out to be wrong. In our work, the evaluation is done based on the set of formulas of the argument, all arguments are evaluated, and the agents keep all the information that is acceptable to every possible-world in their knowledge base.
Conclusion
A framework to build common knowledge in a group of agents by using consensus on the formulas of an argument was proposed. The framework uses logical arguments in the message exchange, voting system to identify the consensus level and the argument strength. Semantics were proposed to determine the most preferred alternative. The next step is to compare our results with other frameworks that make use of weighted arguments, since they do not represent the consensus level of a group. Another direction is to work with the expertise value that reflects the subdomains of knowledge in which agents are experts in.
References
Besnard, P., & Hunter, A. (2014). Constructing argument graphs with deductive arguments: a tutorial. Argument & Computation, 5(1), 5-30. doi: 10.1080/19462166.2013.869765
Cayrol, C., & Lagasquie-Schiex, M. C. (2005). Graduality in argumentation. Journal Of Artificial Intelligence Research, 23(1), 245-297. doi: 10.1613/jair.1411
Coste-Marquis, S., Konieczny, S., Marquis, P., & Ouali, M. A. (2012). Selecting extensions in weighted argumentation frameworks. Frontiers in Artificial Intelligence and Applications, 245(1), 342-349. doi: 10.3233/978-1-61499-111-3-342
Dung, P. M. (1995). On the acceptability of arguments and its fundamental role in nonmonotonic reasoning, logic programming and n-person games. Artificial Intelligence, 77(2), 321-357. doi: 10.1016/0004-3702(94)00041-X
Fagin, R., & Halpern, J. Y. (1994). Reasoning about knowledge and probability. Journal of the ACM, 41(2), 340-367. doi: 10.1145/174652.174658
Fagin, R., Halpern, J. Y., Moses, Y., & Vardi, M. Y. (2004). Reasoning about knowledge. London, GB: MIT Press. doi: 10.1023/A:1008224520671
Gehrlein, W. V. (2006). Condorcet’s paradox. New York, NY: Springer-Verlag Berlin Heidelberg. doi: 10.1007/3-540-33799-7
Grossi, D., & Pigozzi, G. (2014). Judgment aggregation: a primer. In R. Brachman, F. Rossi, & P. Stone (Eds.), Synthesis lectures on artificial intelligence and machine learning (p. 1-151). Williston, Vermont: Morgan & Claypool. doi: 10.2200/S00559ED1V01Y201312AIM027
Neary, M., & Winn, J. (2017). Beyond Public and Private: A Framework for Co-operative Higher Education. Open Library of Humanities, 3(2), 1-36. doi: 10.16995/olh.195/
Parsons, S., & McBurney, P. (2003). Argumentation-based dialogues for agent co-ordination. Group Decision and Negotiation, 12(5), 415-439. doi: 10.1023/B:GRUP.0000003742.50038.d3
Pereira, C. C., Tettamanzi, A. G. B., & Villata, S. (2011). Changing one’s mind: Erase or rewind? Possibilistic belief revision with fuzzy argumentation based on trust. IJCAI International Joint Conference on Artificial Intelligence, 1, 164-171. doi: 10.5591/978-1-57735-516-8/IJCAI11-039
Singh, R. K., & Benyoucef, L. (2013). A consensus based group decision making methodology for strategic selection problems of supply chain coordination. Engineering Applications of Artificial Intelligence, 26(1), 122-134. doi: 10.1016/j.engappai.2012.03.013
Notes
Author notes
possebom@gmail.com