Engenharia Química
Analysis of carbon monoxide production in methanol steam reforming reactor for generating hydrogen
Analysis of carbon monoxide production in methanol steam reforming reactor for generating hydrogen
Acta Scientiarum. Technology, vol. 41, 2019
Universidade Estadual de Maringá
Received: 04 October 2017
Accepted: 29 November 2017
Abstract: Seeking renewable energy sources has been a very important aspect in the development of human society, with many authors regarding hydrogen as a rather promising energy source. There are several forms of obtaining hydrogen, including steam reforming of hydrocarbons, alcohols, and ethers. Some characteristics of methanol, such as processing at mild temperatures from 250 to 350oC under atmospheric pressure and production from biomass – no competition for food production – have distinguished it from other alcohols for steam reforming. The great disadvantage of this technology when applied in proton exchange membrane (PEM) fuel cells is that the process of methanol steam reforming involves not only hydrogen and carbon dioxide, but also the production of a small amount of carbon monoxide, which is sufficient to affect the functionality of the fuel cells. This work presents the characterization of the catalyst HiFUEL R120 and shows how water/methanol molar ratio in the feed stream of an integral methanol steam reforming reactor influenced the conversion and the hydrogen selectivity in relation to carbon monoxide. This made it possible to identify the best operational conditions for lowering carbon monoxide content in the reactor effluent, avoiding the use of a CO purification unit.
Keywords: steam reforming, methanol, hydrogen, fuel cells, renewable energy.
Introduction
Hydrogen was proved to be a promising energy source (Armor, 1999; Mastalir et al., 2007; Lenzi et al., 2010) , especially when used for electrical energy generation in fuel cells. Fuel cells are electrochemical equipment that converts the chemical energy in fuels directly into electrical energy with high efficiency and low environmental impact. By avoiding intermediate stages such as heat production and mechanical work, which are present in most typical energy generation methods, fuel cells present high performance in the conversion of chemical energy into electrical energy (30 to 40%). In this sense, they are better than energy generators that use internal combustion engines, 15 to 20% efficiency (Barlow, 1999; Trimm & Onsen, 2001; EG&G Technical Services, 2002; Avci, Önsan, & Trimm, 2003; Trimm, Adesina, & Cant, 2004).
A recent alternative is the use of methanol as the source of hydrogen. Methanol is a liquid with high hydrogen concentration (4 hydrogen atoms per carbon atom). This hydrogen can be made available through methanol steam reforming at relatively low temperatures (250 to 350oC) and atmospheric pressure. In addition, methanol can be obtained from biomass (Hamelinck & Faaij, 2002; Hasegawa, Yokoyama, & Imou, 2010; Yang & Chan, 2011; Yong, Ooi, Chai, & Wu, 2013), presenting a simple and economical alternative (Farrauto et al., 2003). The equations for the methanol steam reforming reaction and the reverse water gas shift reaction, as well as their respective enthalpies, are listed below (Purnama et al., 2004) Equation 1 and 2:
(1)
(2)Carbon monoxide is an unwelcome by-product of methanol steam reforming. Therefore, several processes of H2 purification are used to decrease the amount of CO contaminating the hydrogen that feeds a fuel cell and the effects of said CO. According to the literature (Narusawa, Hayashida, Kamiya, & Roppongi, 2003), the maximum allowed CO content is 50 ppm. Therefore, when integrating a fuel cell to a reforming reactor, maintaining acceptable levels of CO concentration in the reforming reactor effluent is a great challenge. Previous studies indicate that an increase in the amount of water combined with the methanol fed to the reactor decreases the resulting amount of carbon monoxide (Breen & Ross, 1999; Agrell, Birgersson, & Boutonnet, 2002; Lee, Ko, & Kim, 2004). Agrell et al. (2002) observed an increase in selectivity resulting from water/methanol molar ratio variation from 1.0 to 1.3. However, the authors did not assess the implications of the increased water content on conversion and composition of the reactor effluent stream. Despite a great number of studies on methanol steam reforming, the literature presents limited information on the operational conditions of the commercial catalyst HiFUEL R120. In this context, the proposal of this study was to characterize the commercial catalyst and to assess the use of water as a CO suppression agent, which is notably interesting for the production of H2 through methanol steam reforming, as low CO concentrations in the reactor effluent stream enable the direct feeding of PEM fuel cells, avoiding purification steps.
Experimental
Catalyst
The commercial catalyst HiFUEL R120 produced by Alfa Aesar was used for the methanol steam reforming tests. HiFUEL R120 is a copper-based mass catalyst. Its properties are described in Table 1.
Characterization
Specific surface area (B.E.T. analysis)
Porous properties such as specific surface area, mean pore diameter, and pore volume were determined using a Nova-1200 Quantachrome analyzer with N2 adsorption at -196,15ºC. To conduct this analysis, the whole pellet catalyst was used. Before the analysis, the samples were submitted to thermal treatment at 300ºC under vacuum for 8 hours to eliminate any existing water within the pores of the solids.
Temperature programmed reduction (TPR)
The measurements were conducted using a home-built TPR apparatus and a quartz tube with the catalyst sample. The samples (0.019 g) were heated from room temperature to 1000ºC at a heating rate of 10ºC min.-1 and a gas flow rate of 20 mL min.-1 (1.75% H2/98.25% Ar). The thermocouple was located in the central position of the bed.
X-ray diffraction
XRD measurements were performed using a D8 Advance BRUKER diffractometer with Cu-Kα radiation (λ = 1.5406 Å) at 40 kV and 40 mA. The obtained diffractograms were compared with diffraction patterns from the Joint Committee on Powder Diffraction Standards (JCPDS, 2003).
Thermogravimetric analysis (TGA)
A Shimadzu TGA-50 Thermogravimetric Analyzer was used to analyze a 10 mg catalyst sample at a heating rate of 10°C min-1 from room temperature to 800°C, under an inert gas flow (nitrogen) of 20 mL min-1.

Temperature programmed reduction of oxidized surfaces (s-TPR)
S-TPR measurements allow the calculation of copper dispersion (DCU) and average copper size (AV). The analyses were conducted using a Quantachrome ChemBETtm TPR/TPD equipment attached to a Pfeiffer Vaccumm Thermostar™ mass spectrometer. The catalyst was reduced under 1% H2/He mixture, flowing at 30 cm3 min.-1, using a heating rate of 10°C min.-1 from room temperature up to 350°C. The re-oxidation of the surface was then carried out under mild conditions with 30% N2O/He at 60°C. Reduction with 1% H2/He mixture flowing at 30 cm3 min.-1, as described in the literature, was the final step (Bond & Namijo, 1989; Guerreiro, Gorriz, Rivarola, & Arrfia, 1997; Sato, Takahashi, Sodesawa, Yuma, & Obata, 2000; Pernicone, Fantinel, Baldan, Riello, & Pinna, 2003; Jensen, Johannessen, & Livbjerg, 2004; Gervasini & Bennici, 2005; Maciel, Profeti, Assaf, & Assaf, 2011; Maciel, Silva, Hirooka, Belgacem, & Assaf, 2012a; Maciel, Silva, Profeti, Assaf, & Assaf, 2012b).
Catalytic test
Figure 1 is an illustration of the module used for all reaction tests. The solution of methanol (Nuclear) and water was stored in a graduated cylinder [A], so that the inlet flow rate could be assessed. The water used for steam generation had received prior treatment according to standard procedures. A peristaltic pump [B] took the solution (CH3OH/H2O) to the preheater [C], where it might or might not join the gases from the cylinders [D]. Nitrogen (N2) and Hydrogen (H2) used in the catalytic tests had over 99.9% purity (White Martins/Praxair). Steam reforming reaction was carried out under atmospheric pressure using a tubular fixed-bed stainless steel reactor – 0.0127 m internal diameter, 0.70 m long. The feed stream composition included methanol and deionized water according to reaction parameters listed in Table 2.


Although stoichiometry suggests that a single mole of water per mole of methanol is required, excess steam should be used to reduce by-product carbon formation. Temperature was monitored at various catalyst bed locations using a multipoint thermocouple (Termopa Industrial Ltda), which is a 3 mm OD, 70 cm long stainless steel tube containing 11 thin type K thermocouples whose tips were spaced by 3 cm. In the inlet and outlet portions of the reactor, inert alumina spheres were used to homogenize the gaseous mixture. After being properly vaporized at 200oC in the preheater, the ethanol-water mixture entered the reactor inside an electric furnace [E]. The gases from the reactor (H2, CO2, H2O, CO, CH3OH) passed through a condenser [F] and a phase separator [G], from which the liquid product (CH3OH and H2O) was collected and the gas stream (H2, CO2, and CO) was submitted to chromatographic analysis [H]. The experimental tests were conducted as follows: after charging the integral reactor with 26.5 g of catalyst HiFUEL R120, it was activated with hydrogen and a long-term experiment was carried out in order to avoid the conclusion of the tests at the initial catalyst deactivation period. The total reaction time was 100 hours. After the catalyst was proved to be stable for conversion through chromatographic analyses - as reported in literature (Rostrup-Nielsen, 1997) – several tests were carried out at different operational conditions - Table 2. The products were continuously analyzed using on-line gas chromatography (Thermo Finnigan Trace GC-2000 equipped with thermal conductivity detector and two combined packed columns - Porapaq®-N and 13X molecular-sieve). The samples were automatically injected in the chromatograph using a 10-port gas-sampling valve (VICCI Valco). The parameters used to quantify the reactor performance (conversion and selectivity) are defined in Equation 3 and 4, in which FCO2 and FCO stand for the molar flow rate of carbon dioxide and carbon monoxide, respectively, at the reactor outlet. FCH3OH is the molar flow rate of methanol at the reactor inlet. CH2 and CCO represent the molar concentrations of hydrogen and carbon monoxide, respectively, at the reactor outlet.
(3)
(4)Results and discussion
Characterization
B.E.T. analyses indicate that the catalyst HiFUEL R120 has a surface area of 75 m2 gcat-1, which enables the reagents to access active sites in the catalytically active surface. The mean pore diameter is favorable for this reaction, since the average pore distribution is 4.3 Å and the effective diameter of the methanol molecule is 4.2 Å - slightly lower (Perera, Sokolic, & Zoranic, 2007). The value found for specific pore volume was 0.08 cm3 g-1. The temperature programmed reduction (TPR) profile of HiFUEL R120 (CuO/ZnO/Al2O3) (Figure 2A) shows a peak in the 200-300oC region. Some authors (Shishido et al., 2006; Yong et al., 2013) reported a gradual reduction of CuO as a shoulder around 200oC, followed by a clear reduction peak around 240oC. ZnO-rich samples revealed a weak peak around 220oC, with the addition of Cu. Subsequently, a new peak appeared around 240oC, when Cu/Zn ratio exceeded 50/50. Fierro et al. (1996) reported that Cu/ZnO/Al2O3 calcined at 400oC for 4 hours presented a single reduction peak centered at 223oC, which was assigned to the reduction of CuO to Cu. The hydrogen consumption between 400 and 700°C (Figure 2) could be attributed to Cu-Zn/Cu-Al interactions.
S-TPR results are shown in Figure 2B. Using equations from literature (Guerreiro et al., 1997; Sato et al., 2000; Jensen et al., 2004; Gervasini & Bennici, 2005; Maciel et al., 2011; 2012a), a specific copper surface area of 92 m² g-¹ and a volume-average diameter equal to 7 nm, with a copper dispersion of 0.08, were determined for the catalyst HiFUEL R120.
The thermogravimetric analysis of catalyst HiFUEL R120 (Figure 3A) has shown, in its TGA/DTGA profiles, mass loss from room temperature to 800°C, reaching around 20%. The weak peak at around 100°C was attributed to the physically adsorbed water (He, Cheng, Liang, Yu, & Zhao, 2013), while the peak between 100 and 200°C was attributed to structural water (Fu, Bao, Ding, Chou, & Li, 2011; He et al., 2013). Moreover, the peak at 240ºC could be related to the decomposition of Zn4Al2(OH)12(CO3).3H2O and subsequent liberation of compounds such as carbon dioxide and water. From 600 to 800°C, one could attribute the occurrence of gradual mass loss to the continuous release of residual bonding components resulting from the thermal decomposition of organic species.
The XRD diffractogram for the catalyst HiFUEL R120, presented in Figure 3B, revealed crystalline phases of zaccagnaite (Zn4Al2(OH)12(CO3) 3H2O), alumina (Al2O3), silicon Oxide (SiO2) and tenorite (CuO). The presence of zaccagnaite suggests a strong interaction between zinc and alumina species.
Catalytic tests
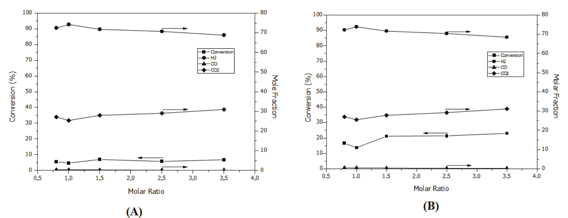
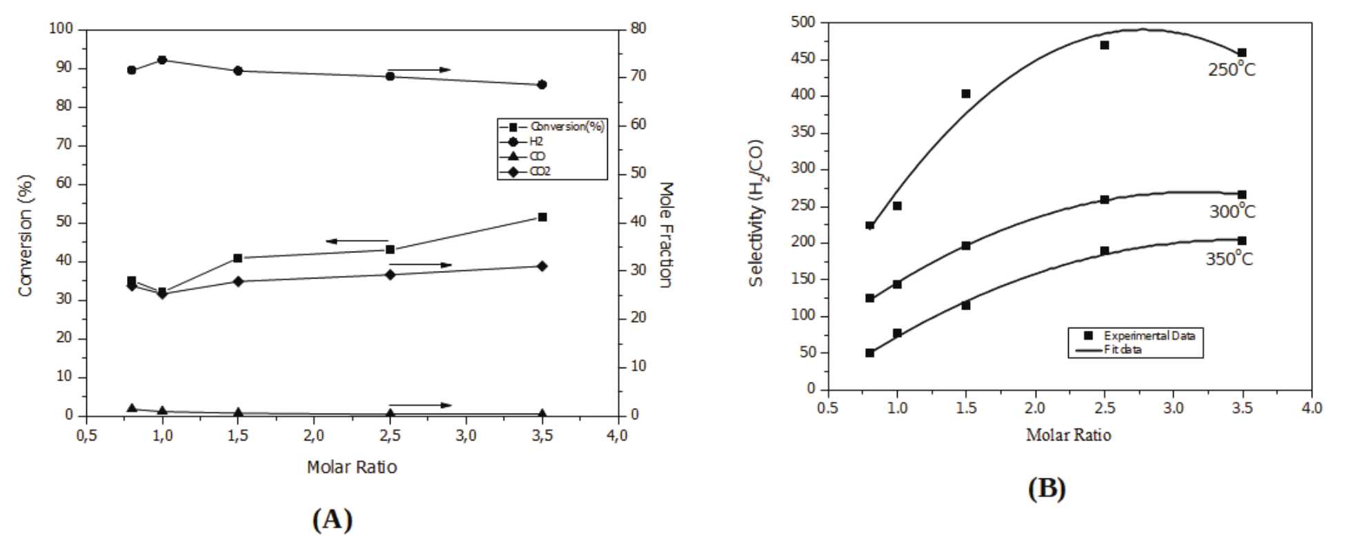
Through the assessment of the different water/methanol molar ratios at 250°C, the results indicated a slight variation in conversion – between 5 and 7% (Figure 4A). As for the mole fractions, a slight decrease was observed for CO and H2 with increasing water/methanol molar ratios, along with a small increase in CO2 mole fraction. The decrease in the H2 mole fraction was possibly a result of the lower methanol concentration feeding the reactor. Figure 4B illustrates that, as the reaction temperature was increased to 300°C, the conversion for molar ratios of 1.0 and 3.5 were of 13 and 23%, respectively. The hydrogen mole fraction presented a mild decrease, while CO dropped from 0.58 (molar ratio of 0.8) to 0.28% (molar ratio of 3.5). An increase in the CO2 mole fraction is also shown. As expected, the highest conversions were obtained at 350°C, since the methanol steam reforming reaction is endothermic, increasing as molar ratio is increased – the lowest being 32 (molar ratio 1.0) and the highest being 51% (molar ratio 3.5), according to Figure 4A. This emphasizes the influence of temperature and molar ratio on the methanol steam reforming reaction. The hydrogen mole fraction presented a mild decrease while that of CO presented a more significant decrease, dropping from 1.45 (molar ratio 0.8) to 0.34% (molar ratio 3.5) at 350oC. The CO2 mole fraction, on the other hand, increased with increasing molar ratio.
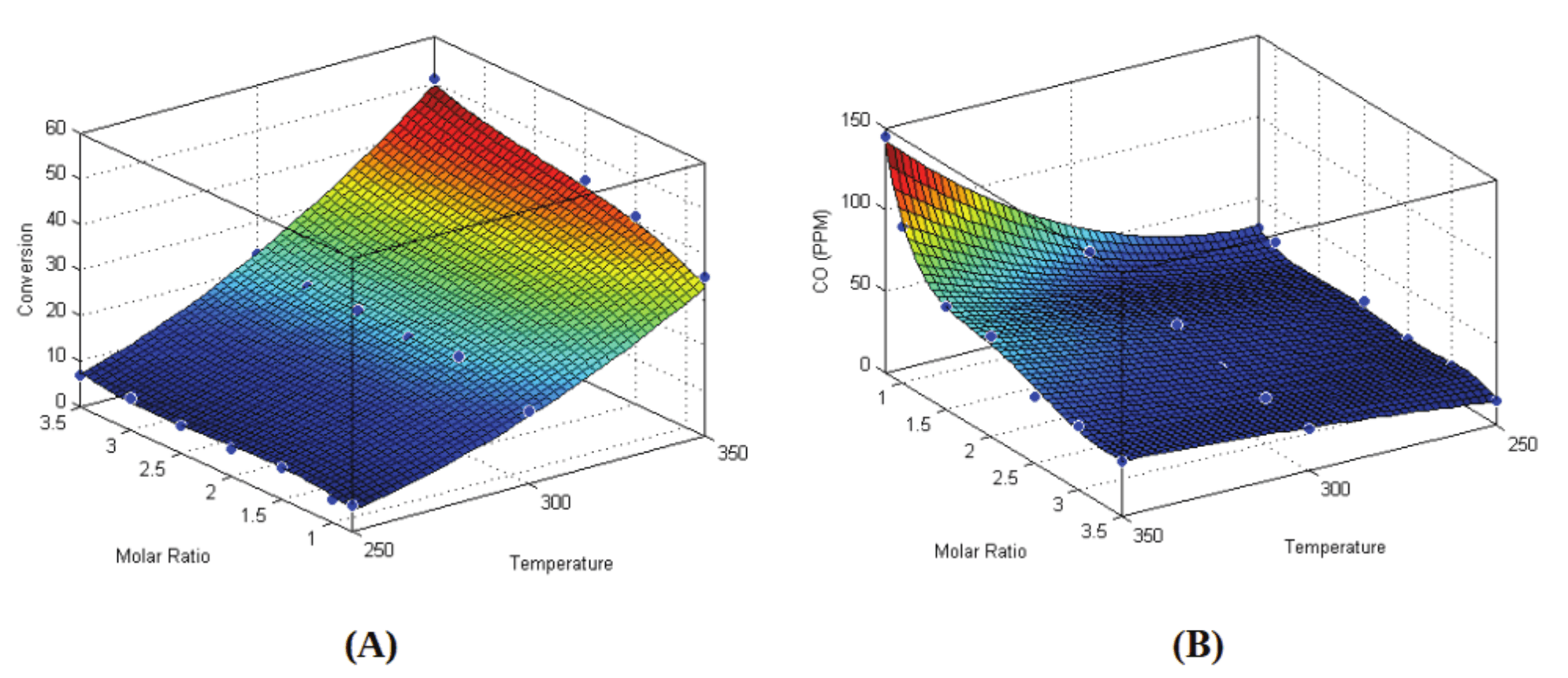
As for selectivity, Figure 5B shows that for all temperatures it increased as the water/methanol molar ratio in the solution fed to the reactor was increased up to 2.5. Above this level, the value became virtually stable. The increase in selectivity was sharper at 250ºC. It is also clear from Fig. 5B that selectivity decreases with increasing temperature. A higher temperature leads to a higher conversion, but it also favors the formation of CO. This increase in CO suggests that the reverse water gas shift reaction, which is endothermic, occurs simultaneously. Figure 6A shows that an increase in temperature favors conversion. Maximum conversion was obtained at 350ºC with a feed molar ratio of 3.5.





It is evident in Figure 6B that CO concentration depends on temperature and feed molar ratio. High temperatures favor CO production, since the reverse water gas shift reaction is exothermic. However, when the water/methanol molar ratio is higher than 2.5, the formation of CO is suppressed. This enables the attachment of a methanol steam reforming reactor to a fuel cell without any intermediate purification stages for CO removal. The fitting of the experimental data on CO concentration (CCO), temperature (T), and feed molar ratio (RM) to an equation like Equation 5 helps in decision making for the operation of a fuel cell. Equation 5 was adjusted from the experimental data presented in Figure 6B using code poly25, available for MATLAB®.
(5)By analyzing the experimental data, it is possible to state that a methanol steam reforming reactor can produce a hydrogen-rich stream with CO content lower than 50 ppm, enabling the reactor to be attached to a fuel cell without any purification stages. Still, at 300ºC and molar ratio of 3.5, the reactor does not reach a high conversion, which would imply further steps to separate the residual methanol, possibly through condensation, followed by re-feeding to the reactor, according to theoretical conclusions in a previous work (Menechini Neto, Santos, & Jorge, 2014).
Conclusion
The obtained results indicate that the water/methanol molar ratio has significant influence on CO production in methanol steam reforming, showing water to be a suppressant of CO in the process. The results point to a sharp increase in selectivity at molar ratios between 0.8 and 2.0, while in the interval from 2.0 to 3.5 the increase is minor. Considering the obtained results, it would be possible to generate a 420 mL min-1 stream with a CO content of 41 ppm, able to operate a 30 W fuel cell, using a reactor at 300ºC and methanol/water feed molar ratio of 2.5.
Acknowledgements
The authors would like to thank Fundação Araucária and Capes-Brazil for the financial support.
References
Agrell, J., Birgersson, H., & Boutonnet, M. (2002). Steam reforming of methanol over a Cu/ZnO/Al2O3 catalyst : a kinetic analysis and strategies for suppression of CO formation. Journal of Power Sources, 106(1-2), 249-257. doi: 10.1016/S0378-7753(01)01027-8
Armor, J. N. (1999). The multiple roles for catalysis in the production of H2. Applied Catalysis A: General, 176(2), 159-176. doi: 10.1016/S0926-860X(98)00244-0
Armor, J. N. (1999). The multiple roles for catalysis in the production of H2. Applied Catalysis A: General, 176(n. x), 159-176.
Barlow, R. (1999). Residential fuel cells: hope or hype? Home Power, (72), Aug/Sept., 20-29. Retrieved from https://www.homepower.com/
Bond, G. C., & Namijo, S. N. (1989). An Improved procedure for estimating the metal surface area of supported copper catalysts. Journal of Catalysis, 118(2), 507-510. doi: 10.1016/0021-9517(89)90339-4
Breen, J. P., & Ross, J. R. (1999). Methanol reforming for fuel-cell applications: development of zirconia-containing Cu–Zn–Al catalysts. Catalalysis Today, 51(3-4), 521-533. doi: 10.1016/S0920-5861(99)00038-3
EG&G Technical Services. (2002). Fuel cell handbook. Morgantown, VA: Department of Energy.
Farrauto, R., Hwang, S., Shore, L., Ruettinger, W., Lampert, J., & Giroux, T. (2003). New material needs for hydrocarbon fuel processing: Generating hydrogen for the PEM fuel cell. Annual Review Materials Research, 33, 1-27. doi: 10.1146/annurev.matsci.33.022802.091348
Fierro, G., Lo Jacono, M., Inversi, M., Porta, P., Cioci, F., & Lavecchia, R. (1996). Study of the reducibility of copper in CuO-ZnO catalysts by temperature-programmed reduction. Applied Catalysis A: General, 137(2), 327-348. doi: 10.1016/0926-860X(95)00311-8
Fu, W., Bao, Z., Ding, W., Chou, K., & Li, Q. (2011). The synergistic effect of the structural precursors of Cu/ZnO/Al2O3 catalysts for water–gas shift reaction. Catalysis Communication, 12(6), 505-509. doi: 10.1016/j.catcom.2010.11.017
Gervasini, A., & Bennici, S. (2005). Dispersion and surface states of copper catalysts by temperature-programmed-reduction of oxidized surfaces (s-TPR). Applied Catalysis A: General, 281(1-2), 199-205. doi: 10.1016/j.apcata.2004.11.030
Guerreiro, E. D., Gorriz, O. F., Rivarola, J. B., & Arrfia, L. A. (1997). Characterization of Cu/SiO2 catalysts prepared by ion exchange for methanol dehydrogenation. Applied Catalysis A: General, 165(1-2), 259-271. doi: 10.1016/S0926-860X(97)00207-X
Hamelinck, C. N., & Faaij, A. P. (2002). Future prospects for production of methanol and hydrogen from biomass. Journal of Power Sources, 111(1), 1-22. doi: 10.1016/S0378-7753(02)00220-3
Hasegawa, F., Yokoyama, S., & Imou, K. (2010). Methanol or ethanol produced from woody biomass: which is more advantageous? Bioresource Technology, 101(1), S109-S111 doi: 10.1016/j.biortech.2009.05.008
He, L., Cheng, H., Liang, G., Yu, Y., & Zhao, F. (2013). Effect of structure of CuO/ZnO/Al2O3 composites on catalytic performance for hydrogenation of fatty acid ester. Applied Catalysis A: General, 452, 88-93. doi: 10.1016/j.apcata.2012.11.039
Jensen, J. R., Johannessen, T., & Livbjerg, H. (2004). An improved N2O-method for measuring Cu-dispersion. Applied Catalysis A: General, 266(1), 117-122. doi: 10.1016/j.apcata.2004.02.009
Joint Committee on Powder Diffraction Standards [JCPDS]. (2003). International Centre for Diffraction Data, powder diffration file, release 20. Newtown, CT: JCPDS-ICDD.
Lee, J. K., Ko, J. B., & Kim, D. H. (2004). Methanol steam reforming over Cu/ZnO/Al2O3 catalyst : kinetics and effectiveness factor. Applied Catalysis A: General, 278(1), 25-35. doi: 10.1016/j.apcata.2004.09.022
Lenzi, G. G., Lenzi, E. K., Fávero, C. V. B., Lenzi, M. K., Jorge, R. M. M., & Santos, O. A. A. (2010). Simulations studies of steam reforming of methane using Ni-Al2O3 catalysts. International Journal Chemical Reactor Engineering, 8(1), A35. doi: 10.2202/1542-6580.2110
Maciel, C. G., Profeti, L. P. R., Assaf, E. M., & Assaf, J. M. (2011). Hydrogen purification for fuel cell using CuO/CeO2–Al2O3 catalyst. Journal Power Sources 196(2), 747-753. doi: 10.1016/j.jpowsour.2010.07.061
Maciel, C. G., Silva, T. D. F., Hirooka, M. I., Belgacem, M. N., & Assaf, J. M. (2012a). Effect of nature of ceria support in CuO/CeO2 catalyst for PROX-CO reaction. Fuel, 97, 245-252. doi: 10.1016/j.fuel.2012.02.004
Maciel, C. G., Silva, T. F., Profeti, L. P. R., Assaf, E. M., & Assaf, J. M. (2012b). Study of CuO/CeO2 catalyst with for preferential CO oxidation reaction in hydrogen-rich feed (PROX-CO). Applied Catalysis A: General, 431-432, 25-32. doi: 10.1016/j.apcata.2012.04.004
Mastalir, Á., Patzkó, Á., Frank, B., Schomäcker, R., Ressler, T., & Schlögl, R. (2007). Steam reforming of methanol over Cu/ZnO/Al2O3 modified with hydrotalcites. Catalysis. Communication, 8(11), 1684-1690. doi: 10.1016/j.catcom.2007.01.031
Menechini Neto, R., Santos, O. A. A., & Jorge, L. M. M. (2014). Modeling and simulation of an isothermal reactor for steam reforming of methanol. Acta Scientiarum. Technology, 36(2), 295-301. doi: 10.4025/actascitechnol.v36i2.18850
Narusawa, K., Hayashida, M., Kamiya, Y., & Roppongi, H. (2003). Deterioration in fuel cell performance resulting from hydrogen fuel containing impurities: poisoning effects by CO, CH4, HCHO and HCOOH. JSAE Review, 24(1), 41-46. doi: 10.1016/S0389-4304(02)00239-4
Perera, A., Sokolic, F., & Zoranic, L. (2007). Microstructure of neat alcohols. Physics Review E., 75(6 Part 1), 1-4. doi: 10.1103/PhysRevE.75.060502
Pernicone, N., Fantinel, T., Baldan, C., Riello, P., & Pinna, F. (2003). On the measurement of copper surface area by oxygen chemisorption. Applied Catalysis A: Geneneral, 240(1-2), 199-206. doi: 10.1016/S0926-860X(02)00425-8
Purnama, H., Ressler, T., Jentoft, R., Soerijanto, H., Schlögl, R., & Schomäcker, R. (2004). CO formation/selectivity for steam reforming of methanol with a commercial CuO/ZnO/Al2O3 catalyst. Applied Catalysis A: General, 259(1), 83-94. doi: 10.1016/j.apcata.2003.09.013
Rostrup-Nielsen, J. R. (1997). Industrial relevance of coking. Catalysis Today, 37(3), 225-232. doi: 10.1016/S0920-5861(97)00016-3
Sato, S., Takahashi, R., Sodesawa, T., Yuma, K., & Obata, Y. (2000). Distinction between surface and bulk oxidation of Cu through N2O decomposition. Journal of Catalysis, 196(1), 195-199. doi: 10.1006/jcat.2000.3028
Shishido, T., Yamamoto, M., Li, D., Tian, Y., Morioka, H., & Honda, M. (2006). Water-gas shift reaction over Cu/ZnO and Cu/ZnO/Al2O3 catalysts prepared by homogeneous precipitation. Applied Catalysis A: General, 303(1), 62-71. doi: 10.1016/j.apcata.2006.01.031
Trimm, D. L., & Onsen, Z. I. (2001). On board fuel conversion for hydrogen fuel cell driven vehicles. Catalysis Reviews Science and Engineering, 43(1-2), 31-84. doi: 10.1081/CR-100104386
Trimm, D. L., Adesina, A. A., & Cant, N. W. (2004). The conversion of gasoline to hydrogen for on-board vehicle applications. Catalysis Today, 93-95, 17-22. doi: 10.1016/j.cattod.2004.05.018
Yang, H.-M., & Chan, M.-K. (2011). Steam reforming of methanol over copper–yttria catalyst supported on praseodymium–aluminum mixed oxides. Catalysis Communication, 12(15), 1389-1395. doi: 10.1016/j.catcom.2011.05.022
Yong, S. T., Ooi, C. W., Chai, S. P., & Wu, X. S. (2013). Review of methanol reforming-Cu-based catalysts, surface reaction mechanisms, and reaction schemes. International Journal of Hydrogen Energy, 38(22), 9541-9552. doi: 10.1016/j.ijhydene.2013.03.023
Avci, A. K., Önsan, Z. Í., & Trimm, D. L. (2003). On-board hydrogen generation for fuel cell-powered vehicles : the use of methanol and propane. Topics in Catalalysis, 22(3), 359-367. doi: 10.1023/A:1023504826480
Author notes
gianeg@utfpr.edu.br