Ciência, Tecnologia de Alimentos e Engenharia de Alimentos
Statistical modelling of the soaking kinetics of corn and soybean cultivars
Statistical modelling of the soaking kinetics of corn and soybean cultivars
Acta Scientiarum. Technology, vol. 41, 2019
Universidade Estadual de Maringá
Received: 26 February 2018
Accepted: 11 September 2018
Abstract: Consumption of cereals and legumes often requires that seeds are first hydrated to facilitate operations such as canning or cooking in order to decrease cooking time and increase the leaching of materials. This research aimed at evaluating the effect of temperature and time on soaking kinetics of corn and soybean cultivars, and apply different statistical models to describe the process. Hydration experiments were performed in temperatures of 25, 35, 45, 55 and 65ºC. Studies on immersion in water showed that the absorption rate was greater during initial phase of immersion and at higher temperatures. Peleg, Weibull and First-order kinetics models obtained the best fits to the experimental data. Weibull model is the one that best describes the soaking kinetics of corn and soybean in the investigated temperatures.
Keywords: Zea mays, Glycine max, water absorption, canned, models adjustments.
Introduction
Cereals and legumes are important dietary components, due to the fact that not only they contribute to the supply of energy, protein and carbohydrates, but also, they have relevant levels of calcium, iron and zinc, essential minerals to the body and cellular metabolism (Barrueto-Gonzalez, 2008).
According to Pastore, Oliveira, and Brumano (2014), the production of corn and soybeans have global economic importance due to its diversity of use. These grains are used from animal and human feeding to high-tech industry.
Soaking corn and soybeans is an essential step in the production of traditional products such as, canned corn and soy milk. This process is used to change characteristics in the texture of grains and facilitate the extraction of antinutritional components as well (Pan & Tangratanavalee, 2003).
The study of water absorption in grains is of great interest to the food industries, since the processing of grain requires that seeds are first hydrated to soften the cellular structure and reduce the cooking time, decrease losses and make operations such as canning and extraction of constituents easier (Wang, Swain, Hesseltinehd, & Heath, 1979; Maskan, 2002).
Statistical models are important tools for design and optimization of dehydration and soaking processes (Ansari, Maftoon-Azad, Hosseini, Farahnaky, & Asadi, 2015). According to Resende and Corrêa (2007), these tools are essential to simulate the behavior of materials subjected to the hydration process, being able to use theoretical and empirical models.
Among various models proposed to describe the food soaking kinetics, empirical equations are frequently used because they are simpler and easier to apply, since it is based on experimental data and dimensional analysis, as well as statistical analysis (Botelho, Corrêa, Goneli, Martins, & Baptestini, 2010; Cox, Gupta, & Abu-Ghannam, 2012).
The objective of this work was to study the soaking kinetics of corn and soybeans by applying empirical models such as the Peleg, Weibull, First-order Kinetic and Exponential.
Material and methods
Six grain cultivars were used: three cultivars of corn (UFT-1, UFT-2, UFT-3) donated by Genetic Improvement Program from UFT and three commercial soybean cultivars (M8766, M9144, BRS 33871) grown in Tocantins. Strange materials, broken and small grains were removed. The initial moisture content (decimal dry basis) of the samples was obtained by the stove method, 105 ± 1°C for 24 hours in three repetitions, until constant mass (AOAC, 1995).
For immersion tests, grains were soaked in distilled water (1:6 ratio of grain to water) (Bayram, Kaya, & Oner, 2004), and taken to the water bath, TECNAL TE-0541 model, at controlled temperatures of 25, 35, 45, 55 and 65°C for 12 hours. The soaking tests were performed in triplicates for each temperature.
The grains were removed from beakers, for approximately two minutes, and put over filter papers to eliminate water excess every 90 min. After that, they were weighed and put back to soaking (Resende & Corrêa, 2007).
The moisture content for a given time after the beginning of the experiment was calculated based on the mass increase of samples in relation to initial mass.
The four most commonly described in the literature empirical models were used to describe the kinetics of water absorption of the samples, namely: Peleg, Weibull Distribution, First-order Kinetic and Exponential Model.
Peleg’s model is represented by Equation 1, where C1 and C2 refer to model constants (Peleg, 1988):
(1)where:
Ut is the moisture content at time t, (decimal d.b.), U0 is the initial moisture content (decimal d.b.), t is the soaking time (min.), C1 is the Peleg rate constant (min decimal d.b.-1) and C2 is Peleg capacity constant, (decimal d.b.-1). For a sufficiently long time of hydration, equilibrium moisture (Ueq) can be obtained by Equation 1 when the time tends to infinity resulting in Equation 2:
(2)In the Weibull distribution model, Ueq is considered as an additional parameter to be calculated (Weibull, 1939). Then, the Weibull Model is described as Equation 3:
(3)where:
α and β are the shape (dimensionless) and scale parameters (min.), respectively.
The first-order kinetic model is based on the diffusion model of second Flick’s law for different geometries and is expressed as follows (Krokida & Marinos-Kouris, 2003) Equation 4:
(4)where:
The model constant, k1, is the soaking rate (min. decimal d.b.-1).
Exponential model is represented by Equation 5. k2 is the constant model (min. decimal d.b.-1; Cox et al., 2012).
(5)The parameters of the models were estimated by performing a nonlinear regression by least squares method, with the aid of the STATISTICA 7.0® software system (Statsoft, 2004).
The degree of fit for each model considered the value of determination coefficient (R2), values of mean relative error (P) and estimated standard error (SE) were calculated by the following Equation 6 and 7:
(6)
(7)where:
Y is value experimentally observed,
is value calculated by the model, n is soaking number of experimental observations, GLR is degree of freedom of model (number of observations minus number of model parameters).
Results and discussion
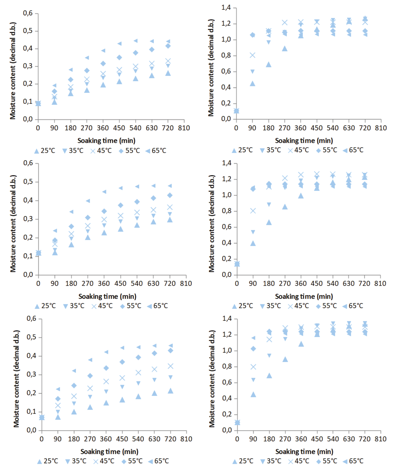
The kinetics of the moisture content of corn and soybean as a function of soaking time are shown in Figure 1. Corn and soybean cultivars showed similar behavior among each group in relation to grain soaking kinetics, and the format of the hydration curves shown is typical of agricultural products, in which there is an exponential trend with high water absorption rates in the beginning of the process. However, as time of hydration increases, grain moisture tends to equilibrium (Ansari et al., 2015, Vengaiah, Raigar, Srivastav, & Majumdar, 2012).
According to Bello, Tolaba, and Suarez (2004), Botelho et al. (2010) and Resende and Corrêa (2007), the quick rise of water absorption in the initial phase of hydration is mainly due to natural capillarity existent in outer layers of grains, and also by the gradient difference between grain tissues and external environment.

In hydration of corn grains (Figure 1), one can observe an increase in absorbed water content as it increases the soaking temperature during the whole process, whereas for soybean this increase occurred in the early hydration stages. This phenomenon can be connected to the high diffusion rate in water at a higher temperature.
For soybean at temperatures above 35°C there was a decrease in water absorption after the first hours of hydration compared to lower temperatures (Figure 1). According to Toledo (2008), soybeans are extremely susceptible to damage by soaking and can absorb water very quickly and cause breaks in their tissues, which is likely to have happened at temperatures of 45, 55 and 65°C after the first hours of hydration, leading to a decrease of water absorption, agreeing with Quicazán, Caicedo, and Cuenca (2012), when analyzing soybeans hydration observed that hydration rate at 80°C was lower than at 40°C.
In order to describe the hydration kinetics of corn and soybean, four experimental models were applied. Table 1 and 2 show constants obtained from the used models and the predicted values of the equilibrium moisture (Ueq).
The values of the constant C1Peleg’s model decreased with the increase of temperature indicating that there is a higher rate of water absorption at higher temperatures for the studied grains. Similar behavior was found by other authors (Kashiri, Kashaninejad, & Aghajani, 2010; Vengaiah et al., 2012).


According to Khazaei and Mohammadi (2009), the constant C2 of the Peleg’s model is inversely related to the absorption ability of foods. For soybean, the constant C2 (Table 2) increased as the temperature was raised. This can be explained by the fact that soybeans soaked at a high temperature from the first hours of hydration begin to suffer physical changes in its structure, reducing the ability to absorb water.
To cultivars of corn, constant C2 (Table 1) was not dependent on the hydration temperature, agreeing with Sopade and Obekpa (1990). The authors point out that this fact can be explained when, during the hydration, there is not a considerable loss of solids with increasing temperature, and C2 constant becomes an independent variable of temperature.
Table 1 and 2 also show values of the parameters α and β from the Weibull model. The constant α did not present linear temperature dependence for all corn grains and soybean studied, agreeing with the what was found by Ansari et al. (2015).
The constant β represents the time required for grains to reach approximately 63% of the total absorption capacity (Machado, Oliveira, & Cunha, 1999) and in this study the β values decrease as the temperature increases. This dependence is in line with what was observed by Machado et al. (1999) and Ansari et al. (2015).
Constants of the first-order kinetic model (k1) and the Exponential Model (k2) increased with the elevation of hydration temperature for corn grains and soybean. Similar dependence was found by Yildirim, Bayram, and Öner (2012), studying chickpeas, and by Ajala and Ajala (2015), with green banana chips. According to Ansari et al. (2015), the greater the values of k1 and k2, the larger the hydration speed.
In relation to the effect of temperature on equilibrium Moisture content, Ueq, predicted values from the four models decreased with increasing temperature to soybean, disagreeing with studies conducted with beans (Abu-Ghannam & Mckenna, 1997) and chickpeas (Turhan, Sayar, & Gunasekaran, 2002; Yildirim et al., 2012).One of the explanations can be due to the occurrence of loss of soluble solids to the extent that it increases the hydration temperature (Abu-Ghannam & Mackenna, 1997).
There was no dependency between the equilibrium moisture content and temperature of soaking for corn grain. Peleg’s model presented Ueq values higher when compared to other models for corn and soybean, in line with Ansari et al. (2015) studies.
Values of the coefficients of determination, mean relative error and estimated standard error for the four models adjusted during the hydration of corn grains and soybean are shown in Table 3 and 4.
According to Mohapatra and Rao (2005) and Cunningham, McMinn, Magee, and Richardson (2007), high values of the determination coefficient (higher than 79%, in a comparison scale from 0 to 100%) and reduced the standard error of estimate values (near zero) and the mean relative error (less than 10%) indicate a satisfactory fit of the model to experimental data.
It can be observed that models of Peleg, Weibull and First-order showed a good fit to experimental data obtained reduced SE and P values and R² values greater than 97 and 89% for corn and soybean, respectively (Table 3 and 4). The Exponential model presented SE values higher than other models, P values above 11% and R² between 70 to 96% for the corn grains and 97 to 99% for soybean, not indicating a satisfactory fit of the model, and agreeing with Ajala and Ajala (2015), where the Exponential model obtained the lowest value of R2 (65%) among other models studied for soaking of green banana chips.
According to the correspondence graphics between the values of the water content, experimental and estimated by models (Figure 2), Weibull model was considered the best fit to the experimental data, it had the lowest standard error values estimate (SE), for all the cultivars of corn and soybean, followed by the model of the First-order, Peleg and Exponential.
Authors such as Cunningham et al. (2007) and Ansari et al. (2015) also reported great fit of the Weibull model. Peleg’s model and Weibull were the most accurate to describe the water absorption of almond (Khazaei, 2008).



Conclusion
Peleg’s model, Weibull model and First-order kinetic model are those to best describe the soaking kinetics of corn and soybean, however Weibull model obtains the best fit compared to the others, in the immersion conditions studied by this project.
Acknowledgements
To CNPq (Conselho Nacional de Desenvolvimento Científico e Tecnológico) for the first author’s awarded scholarship.
References
Abu-Ghannam, N., & Mckenna, B. (1997). Hydration kinetics of red kidney beans (Phaseolus vulgaris L.). Journal of Food Science, 62(3), 520-523. doi: 10.1111/j.1365-2621.1997.tb04420.x
Ajala, A. S., & Ajala, F. A. (2015). Water absorption characteristics and modelling of unripe plantain chips. International Journal of Scientific & Engineering Research, 6(5), 29-37.
Ansari, S., Maftoon-Azad, N., Hosseini, E., Farahnaky, A., & Asadi, G. (2015). Modeling the rehydration behavior of dried figs. Journal of Agricultural Science and Technology, 17(1), 133-144.
Association of Official Analytical Chemists [AOAC]. (1995). Official methods of analysis (16th ed.). Washington, DC: AOAC.
Barrueto-Gonzalez, N. B. (2008). Biodisponibilidade de minerais das fontes leguminosas. Revistasimbio-logias, 1(1), 174-183. doi: 10.32905/1983-3253/2008.01.01p174
Bayram, M., Kaya, A., & Oner, M. D. (2004). Changes in properties of soaking water during production of soy-bulgur. Journal Food Engineering, 61(2), 221-230. doi: 10.1016/S0260-8774(03)00094-3
Bello, M., Tolaba, M. P., & Suarez, C. (2004). Factors affecting water uptake of rice grain during soaking. Lebnsmittel Wissenschaftund Technologie, 37(8), 811-816. doi: 10.1016/j.lwt.2004.02.014
Botelho, F. M., Corrêa, P. C., Goneli, A. L. D., Martins, M. A., & Baptestini, F. M. (2010). Análise da hidratação do arroz na parboilização. Ciência e Tecnologia de Alimentos, 30(3), 713-718. doi: 10.1590/S0101-20612010000300023
Cox, S., Gupta, S., & Abu-Ghannam, N. (2012). Effect of Different rehydration temperatures on the moisture, content of phenolic compounds, antioxidant capacity and textural properties of edible irish brown seaweed. LWT - Food Science and Technology, 47(2), 300-307. doi: 10.1016/j.lwt.2012.01.023
Cunningham, S. E., Mcminn, W. A. M., Magee, T. R. A., & Richardson, P. S. (2007). Modelling water absorption of pasta during soaking. Journal of Food Engineering, 82(4), 600-607. doi: 10.1016/j.jfoodeng.2007.03.018
Kashiri, M., Kashaninejad, M., & Aghajani, N. (2010). Modeling water absorption of sorghum during soaking. Latin American Applied Research, 40(4), 383-388.
Khazaei, J. (2008). Characteristics of mechanical strength and water absorption in almond and its kernel. Cercetări Agronomiceîn Moldova, 41(1), 37-51.
Khazaei, J., & Mohammadi, N. (2009). Effect of temperature on hydration kinetics of sesame seeds (Sesamumindicum L.). Journal of Food Engineering, 91(4), 542-552. doi: 10.1016/j.jfoodeng.2008.10.010
Krokida, M. K., & Marinos-Kouris, D. (2003). Rehydration kinetics of dehydrated products. Journal of Food Engineering, 57(1), 1-7. doi: 10.1016/S0260-8774(02)00214-5
Machado, M. F., Oliveira, F. A. R., & Cunha, L. M. (1999). Effect of milk fat and total solids concentration on the kinetics of moisture uptake by ready-to-eat breakfast cereal. International Journal of Food Science and Technology, 34(1), 47-57. doi: 10.1046/j.1365-2621.1999.00238.x
Maskan, M. (2002).Effect of processing on hydration kinetics of three wheat products of the same variety. Journal of Food Engineering, 52(4), 337-341. doi: 10.1016/S0260-8774(01)00124-8
Mohapatra, D., & Rao, P. S. (2005). A thin layer drying model of parboiled wheat. Journal of Food Engineering, 66(4), 513-518. doi: 10.1016/j.jfoodeng.2004.04.023
Pan, Z., & Tangratanavalee, W. (2003). Characteristics of soybeans as affected by soaking conditions. Lebensmittel Wissenschaft und Technologie, 36(1), 143-151. doi: 10.1016/S0023-6438(02)00202-5
Pastore, S. M., Oliveira, W. P., & Brumano, G. (2014). Mercado de milho, farelo de soja e ovos no Brasil de 2010-2013. Revista Eletrônica Nutri Time, 11(1), 2982-3006.
Peleg, M. (1988). An empirical model for the description of moisture sorption curves. Journal of Food Engineering, 53(4), 1216-1219. doi: 10.1111/j.1365-2621.1988.tb13565.x
Quicazán, M. C., Caicedo, L. A., & Cuenca, M. (2012). Applying peleg's equation to modelling the kinetics of solid hydration and migration during soybean soaking. Ingeniería e Investigación, 32(3), 53-57.
Resende, O., & Corrêa, P. C. (2007). Modelagem matemática do processo de hidratação de sementes de feijão. Acta Scientiarum. Agronomy, 29(3), 373-378. doi: 10.4025/actasciagron.v29i3.387
Sopade, P. A., & Obekpa, J. A. (1990). Modelling water absorption in soybean, cowpea and peanuts at three temperatures using Peleg’s equation. Journal of Food Science, 55(4), 1084-1087. doi: 10.1111/j.1365-2621.1990.tb01604.x
Statsoft Inc. (2004). Statistica: data analysis software system, version 7. Tulsa, OK: Statsoft Inc.
Toledo, M. Z., Cavariani, C., França-Neto, J. B., & Nakagawa, J. (2010). Imbibition damage in soybean seeds as affected by initial moisture content, cultivar and production location. Seed Science and Technology, 38(2), 399-408. doi: 10.15258/sst.2010.38.2.13
Turhan, M., Sayar, S., & Gunasekaran, S. (2002). Application of peleg model to study water absorption in chickpea during soaking. Journal of Food Engineering, 53(2), 153-159. doi: 10.1016/S0260-8774(01)00152-2
Vengaiah, P. C., Raigar, R. K., Srivastav, P. P., & Majumdar, G. C. (2012). Hydration characteristics of wheat grain. Agricultural Engineering International: CIGR Journal, 14(1), 116-119.
Wang, H. L., Swain, E. W., Hesseltinehd, C. W., & Heath, H. D. (1979). Hydration of whole soybeans affects solids losses and cooking quality. Journal of Food Science, 44(1), 1510-1513. doi: 10.1111/j.1365-2621.1979.tb06474.x
Weibull, W. A. (1939). Statistical theory of the strength of materials. Ingeniors Vetenskaps Akademien, 151(3), 45-55.
Yildirim, A., Bayram, M., & Öner, M. D. (2012). Hydration kinetics of ultrasound treated chickpeas (Cider arietinum l.) during soaking. Journal of the Faculty of Agriculture, 16(4), 26-36.
Author notes
lorenabritom@gmail.com