Ciência, Tecnologia de Alimentos e Engenharia de Alimentos
Influence of optimised commercial medium on bacteriocin production by Enterococcus faecium
Influence of optimised commercial medium on bacteriocin production by Enterococcus faecium
Acta Scientiarum. Technology, vol. 41, 2019
Universidade Estadual de Maringá
Received: 09 April 2018
Accepted: 25 October 2018
Abstract: Enterocins carry out antimicrobial activity on several pathogenic and spoilage bacteria in food. The objective of this work was to evaluate the production of enterocins, using Enterococcus faecium, and their stability under different culture conditions. The isolate was incubated in ManRogosa Sharpe (MRS) medium with pHs 4.5, 5.0, 5.5, 6.0 and 6.5, and supplemented with lactose, mannose, mannitol, glycerol, tween 20, and tween 80. The optimum pH of production was between 6.0 and 6.5. The enterocin produced in mix (lactose 20, glycerol 20, tween20 5.0 g L-1) was more efficient. None pH tested interfered with the reduction of the action of the enterocins. The thermal stability varied according to the isolate as well as the supplementation used. Tween 20 and 80 with regards to the stability to different chemical products of both isolates, presented reduction of the action. It was observed that the supplement mix had higher adsorption and that the bactericidal effect was observed within 2 hours of incubation. The results indicated that the different culture conditions did not affected the antagonistic action of enterocin.
Keywords: bioconservants, inhibition, Listeria innocua, chemical products.
Introduction
Research on antimicrobial metabolites produced by lactic acid bacteria (LAB) has progressed in recent decades. This was due to the emergence of potentially pathogenic microorganisms in food and the growing tendency of the food industry to substitute chemical additives (Yang, Lin, Sung, & Fang, 2014).
Bacteriocins are antimicrobial peptides, produced by LAB, that present antagonistic activity against several bacteria (Vuyst & Leroy, 2007). Several bacteriocins produced by LAB have been isolated from milk and dairy products, and they have a broad spectrum of activity, mode of action, genetic origin, molecular mass and biochemical properties (Schirru et al., 2012; Balciunas et al., 2013; Alvarez-Sieiro, Montalbán-López, Mu, & Kuipers, 2016).
The optimal production of bacteriocins has been a challenge, given that this is not always correlated with the increase in cell mass or growth rate of the producing species. Large amounts of bacteriocins can be produced in different nutrients, temperatures or pH conditions of the culture medium (Schirru et al., 2014).
Among the LAB, the genus Enterococcus (especially Enterococcus faecium and Enterococcus faecalis) is widely distributed in the environment, mainly in food products (Giraffa, 2003), and Enterococcus species commonly produce multiple bacteriocins (enterocins) (Nes, Diep, & Holo, 2007).
The protective action of enterocins has been described in several foods, such as the enterocin CCM 4231 in dairy products and fermented salami (Lauková, Mareková, & Javorský, 1993), enterocin RZS C13 and CCM 4231 in sausages (Callewaert, Hugas, & Vuyst, 2000). In addition, enterocin AS-48 used in dairy products (Muñoz et al., 2007), and enterocin B, protect foods against Gram-positive and Gram-negative bacteria (Aymerich, Garriga, Costa, Monfort, & Hugas, 2002), with antilisterial effect (Callewaert & Vuyst, 2000).
However, the isolation and characterization of new antimicrobial compounds produced by microorganisms isolated from food may indicate more effective industrial use (Yang et al., 2014). Experimentally and industrially, bacteriocins have been shown to protect food against frequent food contaminants, such as Listeria and Bacillus (Ramu, Shirahatti, Devi, & Prasad, 2015).
Although several enterocins have already been described, some constituents of the culture medium and culture conditions were evaluated in this study, to ascertain the best production of enterocins by E. faecium isolates.
In view of the above, the objective of this work was to evaluate the production and stability of enterocins of E.faecium isolates in the presence of several sugars and chemical products.
Material and methods
Bacterial strains
Bacteriocinogenic E. faecium strain Efm20 and strain Efm22 isolated from soft cheese were grown at 37°C for 18 hours in MRS broth (Himedia) (Furlaneto-Maia, Rocha, Henrique, Giazzi, & Furlaneto, 2014; Ogaki, Rocha, Terra, Furlaneto, & Maia, 2016). L. innocua CLIP 12612 was used as indicator strain. Both strains were stored at −20°C in presence of 20% (v v-1) glycerol.
Effect of ph and medium component on bacteriocin producing strain Efm20 and Efm22
The effect of pH and supplementation of the MRS medium on the production of enterocin was observed by a methodology described by Furtado, Todorov, Landgraf, Destro, and Franco (2014), with modifications. Supplementation of MRS medium is described in Table 1. These supplements were selected based on their previously reported influence on bacteriocin production (Todorov, 2008; Castro, Palavecino, Herman, Garro, & Campos, 2011).
An aliquot of 100 μL of inoculum (final cell concentration 1.5 x 108 CFU mL-1) was inoculated into 10 mL of pH adjusted MRS broth at 4.5, 5.0, 5.5, 6.0 or 6.5, and incubated at 37°C for 24 hours.
After incubation in all treatments, the cells were recovered by centrifugation at 8.000 g for 15 min. and the pH of the cell free supernatant (CFS) was adjusted to 6.5 and treated with catalase, to avoid the presence of H2O2 (Ogaki et al., 2016).
The CFS was sterilized by membrane filtration, using 0.22 μm pores with low protein binding capacity (Millipore®). The supplements with the greatest effect on the production of enterocins were tested against several variables, to evaluate their efficiency in front of the target cell.
Effect of ph, chemicals and temperature on stability of bacteriocin Efm20 and Efm22
Bacteriocin production was assessed in MRS broth (Himedia) supplemented with 20.0 lactose, 20.0 glycerol, and 5.0 g L-1 tween 20 (Synth). The effect of pH was measured adjusting the pH of 10 mL of CFS of the culture of E. faecium Efm20 and Efm22 to 3.0 to 9.0, with glycine 25 mM (pH 3), sodium citrate 25 mM (pH 5), sodium phosphate 25 mM (pH 7,2) e tris 25 mM (pH 9) and incubating at 30°C for 1 hour.

The effect of chemicals was tested adding 10 mg mL-1 Tween 20, Tween 80 (Synth), NaCl (Sigma), SDS (Sigma) or EDTA (Sigma) to supernatants and incubating for 30 min. at 37°C (Todorov, 2008).
The effect of temperature on activity was determined incubating supernatants at 40, 50, 60, 70, 80, 90 and 100°C for 30 min., and autoclaving at 121°C for 15 min. Before testing for activity, the pH of all samples was adjusted to 6.5. Activity was tested using L. innocua CLIP 12612.
Bacteriocin activity assays
The inhibitory spectrum of activity was obtained using the agar-well assay (Vuyst & Leroy, 2007) against Listeria innocua CLIP 12612, with modification. Brain Hearth Infusion (BHI) agar plates were overlaid with BHI soft agar (0.75%) seeded with actively growing cell of the test organism (1.2 x 108 cels mL-1), and wells were done with tips. Forty microliters of the CFS was added to the wells, and the plates were kept undisturbed for 3-4 hours for diffusion of CFS through agar and then incubated at 37°C for 24 hours. The sensitivity of the strain in question was evaluated by checking for clear zones around wells and then inhibition zones were scaled in millimeters (mm).
Determination of the bactericidal and/or bacteriostatic effect of bacteriocins
For the determination of the bactericidal effect of enterocins on the L. innocua indicator bacterium, a volume of 100 μL of the cell suspension was added in titration microplate. 100 μL of the CFS was also added. The spectrophotometer reading (DO660 nm) and determination of CFU were done every two hours for 8 hours incubation (Field, Connor, Cotter, Hill, & Ross, 2008).
Adsorption of bacteriocin to the producer cells and L. Innocua
Adsorption of enterocin Efm20 and Efm22 to the target pathogen and producer cells was tested using the method described by Todorov (2008) and Furtado et al. (2014), respectively. The strains were grown overnight in BHI broth (L. innocua) or MRS (E. faecium) at 37°C, and centrifuged at 8000 x g, 15 min., at 4°C. Cells were washed twice and re-suspended to the original volume with sterile 5 mM phosphate buffer (pH 6.5). Each cell suspension was mixed with an equal volume of bacteriocin-containing filter-sterilized supernatant (pH 6.5) and incubated at 37°C for 1 hour. The cells were removed at 8000 x g, 15 min., at 4°C, and the activity of unbound bacteriocin in the supernatant was determined as previously described. The percentage of bacteriocin adsorption to target cells was calculated according to Furtado et al. (2014).
Statistical analysis
All experiments were performed in triplicate and with 2 replicates. The analysis of variance (ANOVA) was applied to verify significant differences (p < 0.05) between the values obtained in each experiment, using Tukey's test with the assistance of the Assistat 7.7 Beta Program.
Results and discussion
The antagonistic effect of enterocins, produced by enterococci from dairy foods, on pathogenic and/or spoilage bacteria may be a potential applicant of food bio conservation. In this study, the E. faecium isolates, called Efm20 Efm22, from cheese were evaluated. The incubation time and temperature parameters were maintained in all treatments. Many different bacteriocins have been described in enterococci, which are of great interest for food preservation against food borne pathogenic and spoilage bacteria. In recent years, several E. faecium and E. faecalis strains from dairy products displaying antibacterial activity have been isolated (Folquie-Moreno, Sarantinopoulos, Tsakalidou, & Vuyst, 2006).
Environmental factors such as temperature, pH and media composition can influence the level of bacteriocin produced (Abo-Amer, 2011).Certain components, such as carbohydrates, salts, surfactants or oxygen tension reducing agents added to the MRS broth can interfere with bacteriocin production (Vázquez, Cabo, González, & Murado, 2004; Castro et al., 2011).
The isolates Efm20 and Efm22 were previously reported, by our group, to be good enterocin producers (Ogaki et al., 2016), which inhibits several pathogenic food bacteria, including several species of Listeria (unpublished data).
To determine the best pH for enterocin production, the isolates were inoculated in the presence of the MRS broth at different pH values. The results showed that there was no significant difference (p < 0.05) in the production of enterocins at pHs 6.0 and 6.5 among the isolates evaluated. However, these values were better when compared to the production of enterocins at pHs 5.0 and 5.5 (p < 0.05). At pH 4.5, no antagonistic action was detected against the test bacterium. From this result, pH 6.5 was chosen for the subsequent assays.
In the tests performed with various components and concentrations of the medium, it was observed that the supplementation of lactose in the concentration 20.0, glycerol 20.0, and tween20 5.0 g L-1, when evaluated separately, were the ones that positively influenced the production of enterocin (Table 1) in both isolates the most. On the other hand, the other supplements with yeast extract, mannitol, mannose, and tween 80, did not alter the production of enterocins; presenting production similar to the control (MRS medium), with no significant difference.
The enterocin production analyses were also performed in MRS medium containing 20.0 lactose, 20.0 glycerol, and 5.0 g L-1 tween 20. The mix, which presented high production of enterocins when compared with the MRS medium, was named.
The pH values and the supplements of the medium, that provided the best results for the production of enterocins, were selected to evaluate their viability over several variables.
The activities of the enterocins were not affected by the different pHs. On the other hand, there was a significant difference, which was dependent on the supplementation of the medium. The enterocin produced by the Efm20 isolate in the Mix medium presented greater stability, when compared to the enterocins obtained by the other treatments. On the other hand, the enterocin produced by the Efm22 isolate presented greater stability at pH 7 and 9, independent of the medium supplementation (Figure 1).
In relation to the stability of varied pHs, a study by Rodrı́guez, González, Gaya, Nuñez, and Medina (2000) showed that E. faecium TAB 7 were not inactivated at pH 6, 7, and 9, except at pH 2.0. In addition to the temperature, it is desirable for enterocins to exhibit antimicrobial activity at various pH levels, allowing their use in various foods, especially in foods with low pH (Franz, Schillinge, & Holzapfel, 1996).
Based on the pH data, the production of enterocin in the presence of other sources of carbon and protein was analyzed. This resulted in significant production once the MRS medium was supplemented with 20.0 lactose, 20 glycerol and 5.0 g L-1 tween20, either separately or in mix. The supplementation with a nitrogen source did not increase the production of enterocins, diverging from the data obtained by some authors Kim, Hall, and Dunn (1997) and Iyapparaj et al. (2013). Furthermore, both isolates of these study have 3 enterocin-producing genes, which are entA, entB, and entP (Ogaki et al., 2016). They can be expressed differently in each treatment performed.
Furtado et al. (2014), Todorov and Dicks (2006), and Aasen, Moretro, Katla, Axelsson, and Storro (2000) demonstrated that the presence of 20.0 g L-1 of lactose increases the production of bacteriocin produced by Lactococcus, sakacin P, and nisin, respectively, thus, corroborating the results of this study. Todorov and Dicks (2006) state that the production of enterocin also is related to substrate and consequently to cell growth. Though this study did not focus on crop development, it was deduced that some specific amounts of substrate may have contributed to the development of the crop.
In this study, the stability of enterocin at different temperatures was evaluated. The supernatant was heated to 40, 50, 60, 70, 80, 90, and 100°C for 30 min. and to 121°C, in autoclave, for 15 min. As shown in Figure 2 (A, B and C), the enterocins Efm20 and Efm22 presented thermo resistance. However, the stability varied according to the isolate and the supplementation to which the enterocin was produced. In fact, it was observed that depending on the temperature, there was a 150% increase in the antagonistic activity. When the enterocin was submitted to autoclaving (121°C, 1 atm for 15 min.), the bioactivity decreased; however, it was isolated and condition-dependent.
It was verified in the study that the pH variation did not interfere in the action of the enterocin, since the action of the temperature was affected in a variable way. This is because, CFS coming from some conditions showed bigger activities after the heating. Regardless of the results, the data of these study revealed that the enterocins tested were thermostable.
Bacteriocins of class II have in their structure, a disulfide bridge between two cysteines; which plays an important role in the antimicrobial activity and makes it resistant to high temperatures (Fimland, Johnsen, Dalhus, & Nissen-Meyer, 2005; Richard et al., 2006). A number of authors have reported the thermostable characteristic of Enterococcus (Nes et al., 1996) and E. faecium (Todorov & Dicks, 2006).


The ability of bacteriocins to withstand high temperatures is desirable since it allows their application in food, because they will not be impacted when subjected to the heat treatment step; while maintaining their antimicrobial properties Todorov and Dicks (2009) and Moreno et al. (2002). An interesting result obtained in this study was that, in some temperatures, the antagonistic activity was higher when compared to the control. This suggests that the high temperature activates the action of the enterocin.
The stability of the enterocins against the chemicals, tween20, tween80, NaCL, EDTA and SDS, were evaluated, since such products may be present in food processing. The bioactivity was reduced in the presence of tween20 and 80, but there was no total loss. The sensitivity of enterocin in these products was isolated-condition-dependent, and it was affected by the experimental conditions (Figure 3).
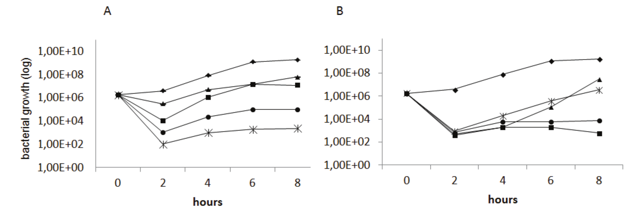
The bactericidal effect of the CFS from the Efm20 and Efm22 isolates was observed during the first 2 hours of incubation (Figure 4).
The levels of the enterocin adsorption by L. innocua, according to the experimental conditions, are presented in Table 2. The effect of each factor on the adsorption level varied according to the supplement added to the MRS medium. The best result of Adsorption was presented at the time enterocin was obtained with the Mix of supplements.
The presence of the chemicals, such as SDS, EDTA, tween20, tween80, and NaCl, affected the action of the enterocin in an isolated-condition-dependent manner. However, it did not cancel out the antilisterial effect of the enterocin. Tween20 and tween80 surfactants negatively affected the antagonistic action of enterocin the most. Although the presence of tween may alter the surface tension of the enterocin-producing cell, facilitating its release into the extracellular and interfering with its action against the indicator bacterium (Verellen, Bruggeman, Van Reenen, Dicks, & Vandamme, 1998). These results validate several studies confirming that the presence of these substances affects the action of bacteriocins, depending on the isolates tested (Strompfova & Laukova, 2007; Furtado et al., 2014). It is known that bacteriocins may differ in their chemical nature (Mojgani, Hussaini, & Vaseji, 2015).
According to a study by Von Mollendorff, Todorov, and Dicks (2007), the production of enterocins by the E. faecalis HV219 isolate was detected in the presence of several chemical compounds, such as triton, b-mercaptoethanol, ethanol, methanol chloroform, NaCl, KCl, KH2PO4, K2HPO4, MgCl, and sodium.
The bactericidal effect of CFS from different substrates was confirmed in this study, showing its efficiency in the first hours of incubation. The growth of L. innocua with CFS occurred non-expressively in the hours studied, as the surviving cells resumed their growth. One hypothesis to this fact was the addition of low concentrations of enterocin for the total inhibition of this microorganism. In order to have an inhibitory effect of microorganisms in foods, it is necessary to add higher concentrations of bacteriocins in relation to the amount used to obtain the effect in the culture medium. The mode of action of bacteriocins depends on several factors, including their concentration. Inhibition of cells persists as long as there is active bacteriocin residual in the bacterial growth (Gálvez, Abriouel, López, & Omar, 2007).
In relation to the enterocin adsorption by the target cell, this work showed that the highest percentage of adsorption occurred when the enterocin was produced in the Mix, reaching 60% for the enterocin Efm20 and 65% for Efm22. The adsorption test demonstrates the ability of the enterocin to act on the target cell membrane, causing cell lysis (Yang et al., 2014). The main target of enterocines is the cytoplasmic membrane of the target cell, where they form pores in the membrane, causing exhaustion of the intracelular environment, thus, resulting in cell death (Cleveland, Montville, Nes, & Chikindas, 2001).



Conclusion
The condition of bacterial growth is fundamental for the production of enterocin. Supplementation of the MRS medium with lactose, glycerol, and tween20 was shown to be ideal for the production of enterocins, using the isolates Efm20 and Efm22. Also, the enterocin produced by these isolates showed antilisterial effect, besides being thermostable and stable in a wide range of pH and concentration of NaCl. These parameters are fundamental for the optimization and production of bacteriocins, such as bio preservation for the food industry. Similarly, the bacteriocins produced by lactic acid isolated from dairy products should be studied as bio preservatives, since they are adapted to the environmental conditions of these foods.
Acknowledgements
This study was supported by the Conselho Nacional de Desenvolvimento Científico e Tecnológico (CNPq) – Brazil, Fundação Araucária/Governo do Paraná, Brazil and UTFPR-Brazil. Kátia Real Rocha, Márcia Regina Terra and Giovanna Santana were a fellowship-holder of Coordenação de Aperfeiçoamento de Pessoal de Nível Superior (Capes) –Brazil.
References
Aasen, I. M., Moretro, T., Katla, T., Axelsson, L., & Storro, I. (2000). Influence of complex nutrients, temperature and pH on bacteriocin production by Lactobacillus sakei CCUG 42687. Applied Microbiology and Biotechnology, 53(2), 159-166. doi: 10.1007/s002530050003
Abo-Amer, A. E. (2011). Optimization of bacteriocin production by Lactobacillus acidophilus AA11, a strain isolated from Egyptian cheese. Annals of Microbiology, 61(3), 445-452. doi: 10.1007/s13213-010-0157-6
Alvarez-Sieiro, P., Montalbán-López, M., Mu, D., & Kuipers, O. P. (2016). Bacteriocins of lactic acid bacteria: extending the family. Applied Microbiology and Biotechnology, 100(7), 2939-2951. doi: 10.1007/s00253-016-7343-9
Aymerich, M. T., Garriga, M., Costa, S., Monfort, J. M., & Hugas, M. (2002). Prevention of ropiness in cooked pork by bacteriocinogenic cultures. International Dairy Journal, 12(2-3), 239-246. doi: 10.1016/S0958-6946(01)00143-1
Balciunas, E. M., Martinez, F. A. C., Todorov, S. D., Franco, B. D. G. M., Converti, A., & Oliveira, R. P. S. (2013). Novel biotechnological applications of bacteriocins: a review. Food Control, 32(1), 134-142. doi: 10.1016/j.foodcont.2012.11.025
Callewaert, R., & Vuyst, L. (2000). Bacteriocin production with Lactobacillus amylovorus DCE 471 is improved and stabilized by fed-batch fermentation. Applied and Environmental Microbiology, 66(2), 606-613. doi: 10.1128/AEM.66.2.606-613.2000
Callewaert, R., Hugas, M., & Vuyst, L. (2000). Competitiveness and bacteriocin production of Enterococci in the production of Spanish-style dry fermented sausages. International Journal of Food Microbiology, 57(1-2), 33-42. doi: 10.1016/S0168-1605(00)00228-2
Castro, M. P., Palavecino, N. Z., Herman, C., Garro, O. A., & Campos, C. A. (2011). Lactic acid bacteria isolated from artisanal dry sausages: characterization of antibacterial compounds and study of the factors affecting bacteriocin production. Meat Science, 87(4), 321-329. doi: 10.1016/j.meatsci.2010.11.006
Cleveland, J., Montville, T. J., Nes, I. F., & Chikindas, M. L. (2001). Bacteriocins: safe, natural antimicrobials for food preservation. International Journal of Food Microbiology, 71(1), 1-20. doi: 10.1016/S0168-1605(01)00560-8
Field, D., Connor, P. M., Cotter, P. D., Hill, C., & Ross, R. P. (2008). The generation of nisin variants with enhanced activity against specific gram-positive pathogens. Molecular Microbiology, 69(1), 218-230. doi: 10.1111/j.1365-2958.2008.06279.x
Fimland, G., Johnsen, L., Dalhus, B., & Nissen‐Meyer, J. (2005). Pediocin‐like antimicrobial peptides (class IIa bacteriocins) and their immunity proteins: biosynthesis, structure, and mode of action. Journal of Peptide Science: an Official Publication of the European Peptide Society, 11(11), 688-696. doi: 10.1002/psc.699
Folquie-Moreno, M. F., Sarantinopoulos, P., Tsakalidou, E., & Vuyst, L. (2006). The role and application of enterococci in food and health. International Journal of Food Microbiology, 106(1), 1-24. doi: 10.1016/j.ijfoodmicro.2005.06.026
Franz, C. M. A. P., Schillinger, U., & Holzapfel, W. H. (1996). Production and characterization of enterocin 900, a bacteriocin produced by Enterococcus faecium BFE 900 from black olives. International Journal of Food Microbiology, 29(2-3), 255-270. doi: 10.1016/0168-1605(95)00036-4
Furlaneto-Maia, L., Rocha, K. R., Henrique, F. C., Giazzi, A., & Furlaneto, M. C. (2014). Antimicrobial resistance in Enterococcus sp isolated from soft cheese in Southern Brazil. Advances in Microbiology, 4(03), 175-181. doi: 10.4236/aim.2014.43023
Furtado, D. N., Todorov, S. D., Landgraf, M., Destro, M. T., & Franco, B. D. (2014). Bacteriocinogenic Lactococcus lactis subsp. lactis DF04Mi isolated from goat milk: characterization of the bacteriocin. Brazilian Journal of Microbiology, 45(4), 1541-1550. doi: 10.1590/S1517-83822014000400052
Gálvez, A., Abriouel, H., López, R. L., & Omar, N. B. (2007). Bacteriocin-based strategies for food biopreservation. International Journal of Food Microbiology, 120(1-2), 51-70. doi: 10.1016/j.ijfoodmicro.2007.06.001
Giraffa, G. (2003). Functionality of enterococci in dairy products. International Journal of Food Microbiology, 88(2-3), 215-222. doi: 10.1016/S0168-1605(03)00183-1
Iyapparaj, P., Maruthiah, T., Ramasubburayan, R., Prakash, S., Kumar, C., Immanuel, G., & Palavesam, A. (2013). Optimization of bacteriocin production by Lactobacillus sp. MSU3IR against shrimp bacterial pathogens. Aquatic Biosystems, 9(1), 12. doi: 10.1186/2046-9063-9-12
Kim, W. S., Hall, R. J., & Dunn, N. W. (1997). The effect of nisin concentration and nutrient depletion on nisin production of Lactococcus lactis. Applied Microbiology and Biotechnology, 48(4), 449-453. doi: 10.1007/s002530051078
Lauková, A., Mareková, M., & Javorský, P. (1993). Detection and antimicrobial spectrum of a bacteriocin‐like substance produced by Enterococcus faecium CCM4231. Letters in Applied Microbiology, 16(5), 257-260. doi: 10.1111/j.1472-765X.1993.tb01413.x
Mojgani, N., Hussaini, F., & Vaseji, N. (2015). Characterization of indigenous Lactobacillus strains for probiotic properties. Jundishapur Journal of Microbiology, 8(2), e17523. doi: 10.5812/jjm.17523
Moreno, M. R. F., Leisner, J. J., Tee, L. K., Ley, C., Radu, S., Rusul, G., ... Vuyst, L. (2002). Microbial analysis of Malaysian tempeh, and characterization of two bacteriocins produced by isolates of Enterococcus faecium. Journal of Applied Microbiology, 92(1), 147-157. doi: 10.1046/j.1365-2672.2002.01509.x
Muñoz, A., Ananou, S., Gálvez, A., Martínez-Bueno, M., Rodríguez, A., Maqueda, M., & Valdivia, E. (2007). Inhibition of Staphylococcus aureus in dairy products by enterocin AS-48 produced in situ and ex situ: bactericidal synergism with heat. International Dairy Journal, 17(7), 760-769. doi: 10.1016/j.idairyj.2006.09.006
Nes, I. F., Diep, D. B., & Holo, H. (2007). Bacteriocin diversity in Streptococcus and Enterococcus. Journal of Bacteriology, 189(4), 1189-1198. doi: 10.1128/JB.01254-06
Nes, I. F., Diep, D. B., Håvarstein, L. S., Brurberg, M. B., Eijsink, V., & Holo, H. (1996). Biosynthesis of bacteriocins in lactic acid bacteria. Antonie van Leeuwenhoek, 70(2-4), 113-128. doi: 10.1007/BF00395929
Ogaki, M. B., Rocha, K. R., Terra, M. R., Furlaneto, M. C., & Maia, L. F. (2016). Screening of the enterocin-encoding genes and antimicrobial activity in Enterococcus species. Journal Microbiology Biotechnoly, 26(6), 1026-1034. doi: 10.4014/jmb.1509.09020
Ramu, R., Shirahatti, P. S., Devi, A. T., & Prasad, A. (2015). Bacteriocins and their applications in food preservation. Critical Reviews in Food Science and Nutrition, 20, 1-43. doi: 10.1080/10408398.2015.1020918
Richard, C., Cañon, R., Naghmouchi, K., Bertrand, D., Prévost, H., & Drider, D. (2006). Evidence on correlation between number of disulfide bridge and toxicity of class IIa bacteriocins. Food Microbiology, 23(2), 175-183. doi: 10.1016/j.fm.2005.02.001
Rodrı́guez, E., González, B., Gaya, P., Nuñez, M., & Medina, M. (2000). Diversity of bacteriocins produced by lactic acid bacteria isolated from raw milk. International Dairy Journal, 10(1-2), 7-15. doi: 10.1016/S0958-6946(00)00017-0
Schirru, S., Favaro, L., Mangia, N. P., Basaglia, M., Casella, S., Comunian, R., Todorov, S. D. (2014). Comparison of bacteriocins production from Enterococcus faecium strains in cheese whey and optimised commercial MRS medium. Annals of Microbiology, 64(1), 321-331. doi: 10.1007/s13213-013-0667-0
Schirru, S., Todorov, S. D., Favaro, L., Mangia, N. P., Basaglia, M., Casella, S., & Deiana, P. (2012). Sardinian goat’s milk as source of bacteriocinogenic potential protective cultures. Food Control, 25(1), 309-320. doi: 10.1016/j.foodcont.2011.10.060
Strompfova, V., & Laukova, A. (2007). In vitro study on bacteriocin production of Enterococci associated with chickens. Anaerobe, 13(5-6), 228-237. doi: 10.1016/j.anaerobe.2007.07.002
Todorov, S. D. (2008). Bacteriocin production by Lactobacillus plantarum AMA-K isolated from Amasi, a Zimbabwean fermented milk product and study of the adsorption of bacteriocin AMA-K to Listeria sp. Brazilian Journal of Microbiology, 39(1), 178-187. doi: 10.1590/S1517-83822008000100035
Todorov, S. D., & Dicks, L. M. (2009). Bacteriocin production by Pediococcus pentosaceus isolated from marula (Scerocarya birrea). International Journal of Food Microbiology, 132(2-3), 117-126. doi: 10.1016/j.ijfoodmicro.2009.04.010
Todorov, S. D., & Dicks, L. M. T. (2006). Screening for bacteriocin-producing lactic acid bacteria from boza, a traditional cereal beverage from Bulgaria: Comparison of the bacteriocins. Process Biochemistry, 41(1), 11-19. doi: 10.1016/j.procbio.2005.01.026
Vázquez, J. A., Cabo, M. L., González, M. P., & Murado, M. A. (2004). The role of amino acids in nisin and pediocin production by two lactic acid bacteria: a factorial study. Enzyme and Microbial Technology, 34(3-4), 319-325. doi: 10.1016/j.enzmictec.2003.11.005
Verellen, T. L., Bruggeman, G., Van Reenen, C. A., Dicks, L. M., & Vandamme, E. J. (1998). Fermentation optimization of plantaricin 423, a bacteriocin produced by Lactobacillus plantarum 423. Journal of Fermentation and Bioengineering, 86(2), 174-179. doi: 10.1016/S0922-338X(98)80057-3
Von Mollendorff, J. W., Todorov, S. D., & Dicks, L. M. T. (2007). Factors affecting the adsorption of bacteriocins to Lactobacillus sakei and Enterococcus sp. Applied Biochemistry and Biotechnology, 142(2), 209-220. doi: 10.1007/s12010-007-0024-5
Vuyst, L., & Leroy, F. (2007). Bacteriocins from lactic acid bacteria: production, purification, and food applications. Journal of Molecular Microbiology and Biotechnology, 13(4), 194-199. doi: 10.1159/000104752
Yang, S. C., Lin, C. H., Sung, C. T., & Fang, J. Y. (2014). Antibacterial activities of bacteriocins: application in foods and pharmaceuticals. Frontiers in Microbiology, 5, 241-250. doi: 10.3389/fmicb.2014.00241
Author notes
lucianamaia@utfpr.edu.br