Biotechnology
Characterisation of a “green” lipase from Aspergillus niger immobilised on polyethersulfone membranes
Characterisation of a “green” lipase from Aspergillus niger immobilised on polyethersulfone membranes
Acta Scientiarum. Technology, vol. 42, 2020
Universidade Estadual de Maringá

Received: 06 September 2018
Accepted: 01 December 2018
Abstract: In this work, a “green” Aspergillus niger lipase obtained from the solid-state fermentation of Hancornia speciosa (“mangaba”) seeds was efficiently immobilised on polyethersulfone membranes (PES) by physical adsorption (PES-ADS-lipase) and covalent bonding (PES-COV-lipase) (immobilisation yields of 92 and 81%, respectively). The free lipase showed an optimum pH close to neutrality, while the biocatalysts displaced the pH to the alkaline region (optimum pH 9.0 and 11.0 for PES-ADS-lipase and PES-COV-lipase, respectively). The optimum temperature of free lipase was 55°C; however, a higher thermal stability occurred at 37°C. The PES-ADS-lipase and PES-COV-lipase showed lower optimum temperatures (37 and 45°C, respectively) but higher thermal stabilities at 45 and 55°C, respectively. The lower thermal inactivation constant and higher half-life of PES-COV-lipase at 55°C confirmed the efficiency of covalent bonding in maintaining the thermal stability of the enzyme. The Michaelis–Menten constant (K.) and maximum rate of reaction (Vmax) were also determined, and the biocatalysts showed higher affinities to substrates (lower K. values) than free lipase. In this work, the biocatalysts showed good catalytic properties with future potential applications in hydrolysis reactions. The use of a “green” lipase obtained from agroindustrial residue makes this product economically attractive from an industrial point of view.
Keywords: agroindustrial residue, enzyme, catalysis, polymeric supports.
Introduction
Lipases, or triacylglycerol hydrolases (EC 3.1.1.3), are enzymes with an inherent capability to catalyse carboxyl ester bond cleavage and produce tri-, di-, and monoacylglycerols and fatty acids. As a consequence, they can catalyse numerous reactions, such as hydrolysis, esterification, inter-esterification, transesterification, alcoholysis, and acidolysis (Gupta, Bhattacharya, & Murthy, 2013). Solid-state fermentation using agroindustrial residue as a substrate to obtain lipases is an interesting alternative to conventional submerged fermentation because it could reduce the cost of production since the culture medium usually represents 25–50% of the total cost. Oleaginous agricultural residues, such as wheat bran, rice bran, soybean bran, barley bran, soy oil cake, olive oil cake, gingelly oil cake, babassu oil cake, coconut oil cake, and sugarcane bagasse, have been used to obtain lipases (Salihu, Alam, Karim, & Salleh, 2012).
In terms of industrial applications, immobilised lipases are more attractive due to the increased stability of the biocatalyst and the reduction in operational costs by selecting an appropriate immobilisation method. There are many types of support for lipase immobilisation. Inorganic supports provide higher chemical resistance but have some limitations in terms of flexibility and mass transfer, while organic supports, such as polymer materials, are less resistant to the medium but they are cheaper and provide a wider variety of functionalities (Gupta et al., 2013).
Polymeric membranes have large surface areas and good porosities for efficient lipase immobilisation; substrates are easily accessible to lipases through the pores, which minimises diffusional limitations. They exhibit good mechanical strength and rigidity, they can be prepared in different geometrical configurations, and are easily modified by functional groups for covalent binding with lipases (Gupta et al., 2013). Some researchers have successfully immobilised lipases on polymers or membranes (Handayani, Loos, Wahyuningrum, Buchari, & Zulfikar, 2012; Gupta, Ingole, Singh, & Bhattacharya, 2012; Chen et al., 2012; Handayani et al., 2016; Sun et al., 2017). Particularly, polyethersulfone membranes have been used as supports for lipase immobilisation because they have good thermal stability and chemical and mechanical resistance (Handayani et al., 2012; Sewalt, Padt van der, & van’t Riet, 2000; Zhang, Qing, Ren, Li, & Chen, 2014). In this context, this paper reports the biochemical and physical–chemical aspects of Aspergillus niger lipase obtained from Hancornia speciosa seed fermentation and immobilisation on polyethersulfone membranes.
Material and methods
Polyethersulfone (PES) hollow-fibre membranes (external diameter between 0.8 and 0.9 mm, cut-off size of 50 kDa) were purchased from Pam-Membranes (Rio de Janeiro State, Brazil) and their chemical structure is shown in Figure 1. Gum Arabic was obtained from Synth (São Paulo State, Brazil). Olive oil was purchased at a local market. H. speciosa (“mangaba”) residues were acquired from the ‘Pomar do Brazil’ fruit pulp industry (Aracaju, Sergipe State, Brazil). All other reagents were of analytical grade.

Microorganism
The microorganism Aspergillus niger IOC 3677 was purchased from a collection of cultures from the Oswaldo Cruz Institute (Rio de Janeiro State, Brazil), preserved in tubes with slanted nutrient agar, and stored at 4°C.
Treatment of H. speciosa seeds
H. speciosa seeds were initially sun-dried for two days, then dried in a dryer (Pardal-EP 100) at 60°C for 8h. They were then crushed in an industrial blender until the particles had an average diameter of 1.00 mm. The meal, which contained 26% lipids as determined by the Soxhlet method (Instituto Adolfo Lutz, 2008), was sterilised by autoclaving at 121°C for 15 min. (Santos, Soares, Lima, & Santana, 2017).
Solid-state fermentation
The enzyme was obtained through solid-state fermentation of H. speciosa seeds according to Santos et al. (2017) with some modifications. The fermentations were conducted in Petri dishes containing 10 g of residue (50% moisture content) and a spore suspension of A. niger of 105 spores g-1 at a temperature of 37°C (in triplicate). The enzyme was extracted from fermented residue after each 24h of fermentation using sodium phosphate buffer (0.1 M, pH 7.0) in a 1:5 ratio (mass residue/volume buffer) under agitation at 30°C for 15 min. Next, the crude enzyme extract (CEE) was obtained by centrifugation (Eppendorf centrifuge 5804R) at 120 × g for 10 min. The CEE was partially purified by precipitation using ammonium sulfate at 80% saturation and centrifuged at 120 × g for 10 min. The supernatant was filtered, dialysed using a membrane with a cut-off of 10,000–12,000 Da against sodium phosphate buffer (0.1 M, pH 7.0) for 24h at 4°C, and lyophilised.
Enzyme immobilisation on PES membranes by physical adsorption (ADS)
The enzyme immobilisation by physical adsorption was performed according to Santos et al. (2014). A mixture that contained 1 mL of enzymatic solution (300 mg mL-1) in sodium acetate buffer (0.2 M, pH 4.0), 9 mL of hexane, and 1 g of PES membrane was prepared and stirred for 3h. Then, the mixture was left for 24h at 4°C. The support with the immobilised enzyme was recovered by vacuum filtration and washed successively with hexane to remove the non-adsorbed lipase. The biocatalyst was defined as PES-ADS-lipase.
Enzyme immobilisation on PES membranes by covalent bonding (COV)
Initially, the PES membrane (1 g) was activated with 20 mL of 1% (v/v) glutaraldehyde that was stirred at 120 rpm and 30°C for 1h. The support was washed successively with distilled water to remove the excess glutaraldehyde until the pH of the washing water reached that of distilled water. The enzyme was then immobilised, and the biocatalyst was defined as PES-COV-lipase. The scheme of immobilisation is shown in Figure 2.

Immobilisation yield
The immobilisation yield on the PES membrane was calculated according to Equation 1 (Soares, Santos, Castro, Moraes, & Zanin, 2004b) as follows:
(1)where: US is the enzyme activity recovered on the dry support and Uo is the total enzyme unit offered for immobilisation.
Hydrolytic activity of lipase
The enzymatic activity of the free and immobilised lipase was determined by the hydrolysis method using olive oil, according to the procedure described by Soares et al. (2004a) with some modifications. An oil emulsion containing 50 mL of olive oil and 50 mL of gum Arabic solution (7% w/v) was prepared. Then, the oil emulsion (5 mL), 0.1 M sodium phosphate buffer (pH 7.0, 2 mL), and free lipase (100 mg) or immobilised lipase (100 mg) were mixed and incubated in a thermostated batch reactor for 5 min. at 37°C. An acetone–ethanol–water solution (1:1:1) (2 mL) was used to stop the reactions. The liberated fatty acids were titrated using a potassium hydroxide solution (0.04 M) with phenolphthalein as the indicator. All reactions were carried out in triplicate. One activity unit was defined as the amount of enzyme required to release 1 μmol of fatty acid per minute of reaction at 37°C, pH 7.0, and 150 rpm. In the blank sample, the enzyme was replaced with distilled water.
Effect of pH and pH stability
The effect of pH on the hydrolytic activity of free and immobilised lipases was determined through the hydrolysis of olive oil by varying the buffers as follows: 0.1 M sodium citrate buffer at pH 2.0, 3.0, 4.0, and 5.0; 0.1 M sodium phosphate buffer at pH 6.0, 7.0, and 8.0; and sodium carbonate–bicarbonate buffer at pH 9.0, 10.0, and 11.0. The stability was performed with pH values that provided higher hydrolytic activities in the experiment described above. For this, the hydrolytic activity of free and immobilised lipases was measured using the selected buffers and incubating for 5, 10, 15, 20, 30, 40, 60, 90, 120, 150, 180, 210, and 240 min. (Santos et al., 2017). All experiments were performed in triplicate.
Effect of temperature and thermal stability
The effect of temperature on hydrolytic activity of the biocatalysts was investigated at 30, 37, 40, 45, 50, 55, 60, 65, and 70°C using the buffer corresponding to the optimum pH. Then, the thermal stability was evaluated at the temperatures where higher hydrolytic activities were obtained. The residual activities were determined through the hydrolysis of olive oil at 37°C and incubated for 5, 10, 15, 20, 30, 40, 60, 90, 120, 150, 180, 210, and 240 min. (Santos et al., 2017). All experiments were performed in triplicate. The enzyme inactivation rate constant (kd) and half-life (t1/2) were calculated using Equations 2 and 3, respectively (Yang, Wu, Xu, & Yang, 2010), as follows:
(2)
(3)where: Ain is the residual lipase activity after thermal treatment (U) and Aino is the initial lipase activity (U).
Determination of kinetic parameters
The kinetic parameters Km and Vmax of the Michaelis–Menten equation (Equation 4) were determined by varying the olive oil concentration from 1 to 70% in the enzymatic hydrolysis reaction (Santos et al., 2017).
(4)The variables ν and Vmax are the initial and maximum reaction rates, respectively, [S] is the substrate concentration, and Km is the Michaelis constant. The values were calculated from the Lineweaver-Burk plot for free and immobilised lipases, according to Equation 5, as follows:
(5)Operational stability
The operational stabilities of PES-COV-lipase and PES-ADS-lipase were assayed using immobilised lipase (100 mg) in successive batches of 5 min. carried out under hydrolysis reaction conditions at 37°C and at the optimum pH of each biocatalyst (in triplicate). Then, the biocatalyst was removed from the reaction medium and rinsed with hexane to extract any substrate or product that was retained in the support. This procedure was repeated for several cycles (Santos et al., 2017).
Statistical Analysis
The data was expressed as the mean±standard deviation (SD). One-way analysis of variance (one-way ANOVA) followed by Tukey’s test at a 5% significance level was performed using Statistic 7.0 software (StatSoft Inc., 2004).
Results and discussion
Immobilisation of lipase on PES membranes
In this paper, A. niger lipase was obtained from the solid-state fermentation of H. speciosa seeds, which have recently shown potential for use as substrates to produce this lipase (Santos et al., 2017). Lipase production was monitored during the fermentation process, where the hydrolytic activities values differed statistically between them (p < 0.05) each time, except for 120 and 192h of fermentation. The maximum enzyme production (92.0 U g-1 of dry residue) was obtained after 168h (Figure 3). The lipase of Aspergillus niger has been produced from agroindustrial residues by previous researchers, such as Contesini et al. (2009),Colla et al. (2010), and Santos, Araújo, Soares, and Aquino (2012), whose maximum production was 33.0 U g-1 (from a mixture of rice bran and wheat bran), 25.2 U g-1 (from soy bran), and 71.9 U g-1 (from pumpkin seeds), respectively. H. speciosa seeds have shown potential for obtaining A. niger lipase since production was higher than that reported in the literature. Santos et al. (2017) also used H. speciosa seeds to obtain A. niger lipase; however, the maximum production was 62.5 U g-1 at 30°C and 120h of fermentation using a residue with 30% initial moisture.
The partially purified enzyme was efficiently immobilised on PES membranes by covalent bonding and physical adsorption, obtaining immobilisation yields of 91.9 and 80.9%, respectively. This result was close to that obtained by Santos et al. (2017), who immobilised A. niger lipase obtained from H. speciosa seeds on a sol-gel matrix by covalent bonding with an immobilisation yield of 91.6%. However, these results were higher than those obtained by Santos et al. (2014), where the A. niger lipase obtained from pumpkin seeds was immobilised on a sol-gel matrix by covalent bonding (immobilisation yield 81.9%) and physical adsorption (immobilisation yield 58.2%).
In the case of physical adsorption, the interaction between lipase and PES is based on the inherent properties of the membrane material and can proceed via van der Waals forces and hydrophobic–hydrophilic or ionic interactions. The advantages of this technique include the support and enzyme not suffering any specific modification, so the enzyme activity is not damaged (Bickerstaff, 1997), as well as the large lipase loading capacity of membranes and the large superficial area of the substrate during the enzymatic reaction (Gupta et al., 2013). However, a relevant disadvantage is that when the enzyme is immobilised by adsorption it tends to leach readily from the carrier when used in aqueous media. This problem does not occur if organic solvents are used due to the intrinsic insolubility of enzymes in such media (Hanefeld, Gardossi, & Magner, 2009). The activity of lipases after adsorption can be high if the active sites are exposed to the substrate, or activity can be partially or totally lost when the enzyme adsorbs using the active sites (Gupta et al., 2013).
In covalent bonding, the lipase is attached to the modified membrane surface. This method is indicated when enzymatic reactions occur in an aqueous solution or in the presence of denaturing factors. In addition, the glutaraldehyde used as a spacer can confer greater thermal stability because it restricts enzyme mobility and prevents unfolding (Hanefeld et al., 2009). The orientation of the lipases is not influenced during immobilisation because the binding of lipases to the membrane surface is not site-specific (Mozhaev, 1993).

Effect of pH and temperature on enzymatic activity of biocatalysts
The relative activities of free lipase, PES-COV-lipase, and PES-ADS-lipase were determined by varying the pH of the reaction medium from 2.0 to11.0, as shown in Figure 4. The relative activities of the biocatalysts were statistically different (p < 0.05) among pH values of 2–6, 10, and 11. However, the relative activities were not statistically different (p > 0.05) between PES-COV-lipase and free lipase at pH values of 7.0 and 8.0 or between PES-COV-lipase and PES-ADS-lipase at pH 9.0. The maximum relative activity (100%) of the free lipase was at pH 6.0, and the lowest value (65%) was obtained at pH 2.0. This result is in accordance with the literature since lipases from Aspergillus spp. have shown an optimum pH between 2.5 and 6.0 (Contesini, Lopes, Macedo, Nascimento, & Carvalho, 2010;Zubiolo et al., 2014; Santos et al., 2017). After immobilisation, the biocatalysts PES-ADS-lipase and PES-COV-lipase showed optimum alkaline pH values of 9.0 and 11.0, respectively. This shift in the pH to the alkaline region can be explained by the fact that the active sites of immobilised lipases become more exposed to buffer than free lipases, so as a result, proton transfer to the amino acid residues at the active sites becomes less hindered (Ye, Jiang, & Xu, 2007). Other researchers also have obtained optimum alkaline pH values, such as Gupta et al. (2008) for Candida cylindracea lipase immobilised on PES membranes (pH 8.0) and Cui, Li, Chen, and Tan (2013) for lipase from Yarrowia lipolytica immobilised on polyethyleneimine-coated polyurethane foam (pH 8.0).

The effect of temperature on the relative activity of free lipase, PES-ADS-lipase, and PES-COV-lipase was evaluated at the optimum pH of each biocatalyst, which was 6.0, 9.0, and 11.0, respectively (Figure 5). The relative activities of the biocatalysts were statistically different (p < 0.05) at each temperature, except at 65°C, where the relative activity of the free enzyme was not statistically different from that obtained for PES-COV-lipase and PES-ADS-lipase. The maximum relative activities (100%) were at 55, 37, and 45°C for free lipase, PES-ADS-lipase, and PES-COV-lipase, respectively. Similar results were obtained by Gupta et al. (2008) with Candida cylindracea lipase immobilised by cross linking on PES membranes, for which the optimum temperature was 37°C.

Stability on pH and Stability on temperature
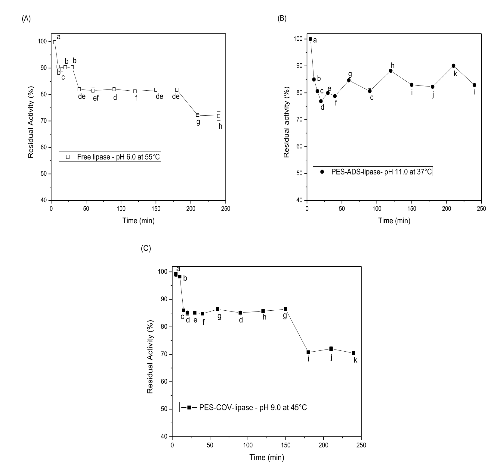
The stabilities of free lipase, PES-ADS-lipase, and PES-COV-lipase were evaluated for 240 min. at pH 6.0, 9.0, and 11.0 (optimum pH values), respectively. The enzymatic reactions were carried out at the optimum temperature for each biocatalyst. The residual activities of free lipase at pH 6.0 were not statistically different (p > 0.05) between them for almost all incubation times, exception for 5, 210, and 240 min. (Figure 6A). The residual activities of PES-ADS-lipase differed statistically (p < 0.05) during the incubation time in pH 11.0, with an exception of 150 and 240 min. (Figure 6B). For PES-COV-lipase, it was observed that residual activities also differed statistically among them (p < 0.05), except for at 60 and 150 min. of incubation (Figure 6C). In general, the residual activity was maintained above 70% for free lipase and PES-COV-lipase, while that for PES-ADS-lipase was more stable above 85% up to 240 min. of incubation. Candida rugosa lipase immobilised on polysulfone or polyvinyl alcohol/polyethersulfone membranes by covalent bonding also showed higher stability in alkaline pH (Gupta et al., 2012; Zhang et al., 2014).

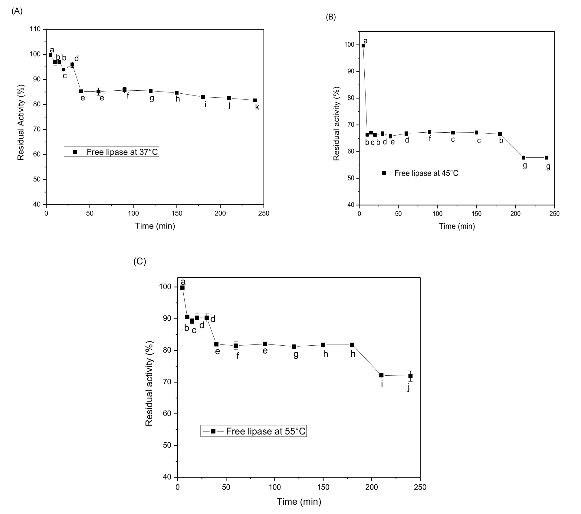
The thermal stability of the biocatalysts was evaluated during incubating for 240 min. at 37, 45, and 55°C. The major residual activities of free lipase differed statistically among them (p < 0.05) during the incubation at 35°C. However, significant differences were not observed (p > 0.05) when the enzyme was incubated at 10 and 15 min.; 40 and 60 min. (Figure 7A). During the incubation at 45°C, the residual activities of free lipase were not statistically different (p > 0.05) at 15 and 20 min.; 40 and 60 min.; 120 and 150 min.; and 210 and 240 min. of incubation (Figure 7B). When this enzyme was incubated at 55°C, the residual activities were not statistically different (p > 0.05) at 20 and 30 min.; 40 and 90 min.; and 150 and 180 min. of incubation (Figure 7C). Although the optimum temperature of free lipase was 55°C, this biocatalyst showed higher thermal stability at 37°C, with residual activity around 80% up to 240 min. of incubation.
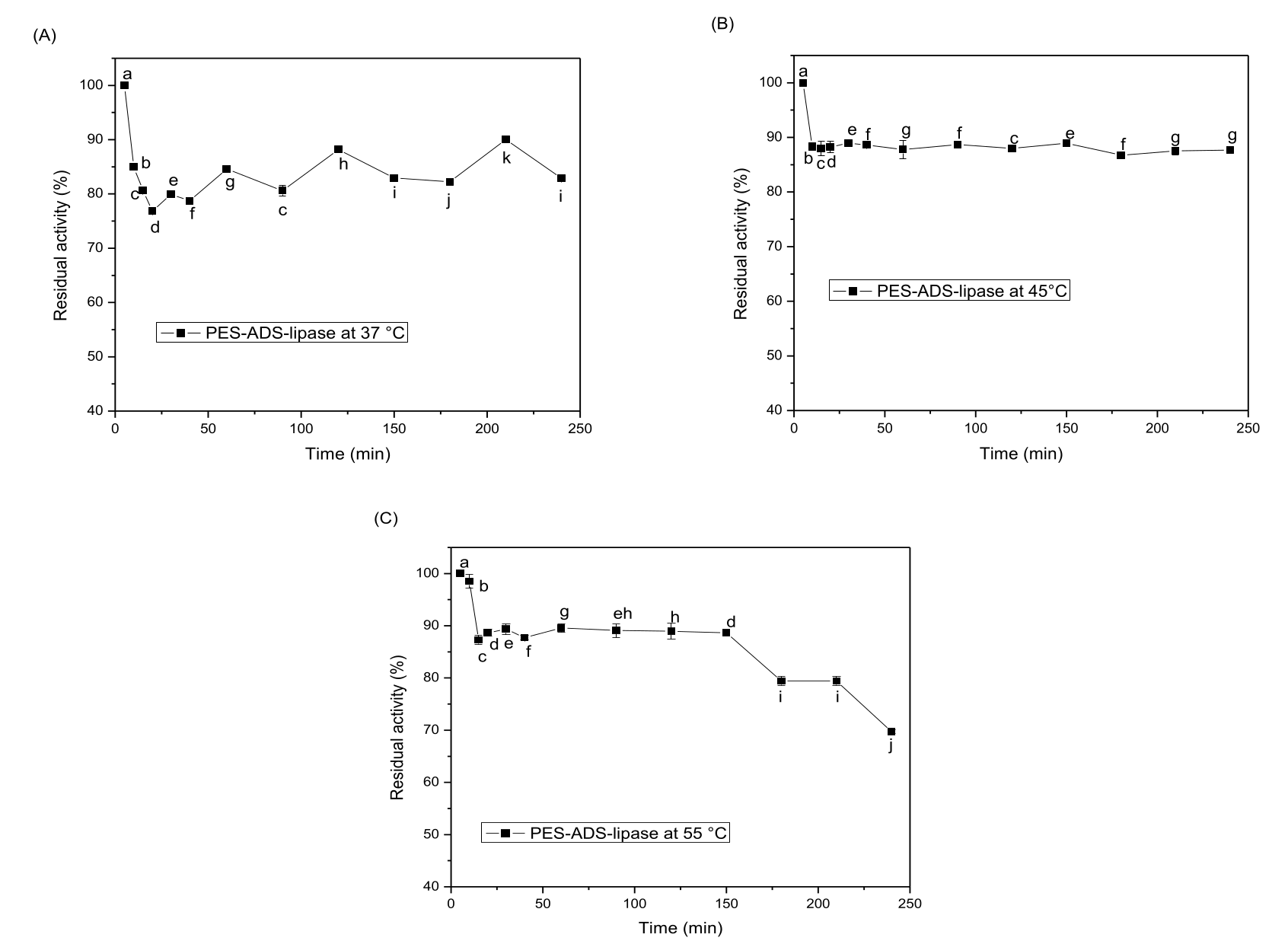
The residual activities of PES-ADS-lipase at 37°C was not statistically different (p > 0.05) at 150 and 240 min. of incubation (Figure 8A). The same result was obtained at 45°C for incubated times of 15 and 120 min.; 40 and 90 min.; 30 and 150 min.; 90 and 180 min.; 210 and 240 min. (Figure 8B) and when incubated at 55°C for 20 and 30 min.; 40 and 90 min.; 150 and 180 min. (Figure 8C). The residual activities of PES-COV-lipase were not statistically different (p > 0.05) for 150 and 240 min. of incubation at 37°C (Figure 9A) or for 15 and 120 min.; 40 and 90 min.; 30 and 150 min.; 90 and 180 min.; 210 and 240 min. of incubation at 45°C (Figure 9B).
When this biocatalyst was incubated at 55°C, the residual activities were maintained around 85%, with no statistical difference (p > 0.05) among them during the time of incubation (Figure 9C). The PES-ADS-lipase and PES-COV-lipase were more stable at 45 and 55°C, respectively (Figure 7B and C). This result was better than that obtained by Osuna et al. (2015), who obtained higher thermal stability at 30°C for A. niger lipase immobilised by covalent bonding on chitosan-coated magnetic nanoparticles. In general, the main factors responsible for the thermal stability of enzymes are protein hydrophobicity, the number of hydrogen and disulfide bonds, amino acid composition, and intermolecular interactions of the protein (Yu, Tan, Xiao, & Xu, 2012). The kd values determined at 55°C for free lipase, PES-COV-lipase, and PES-ADS-lipase were 0.06, 0.05, and 0.08h–1, and t1/2 values were 12.0, 13.0, and 9.0h, respectively. The lower thermal inactivation constant and higher half-life of PES-COV-lipase when compared to free lipase and PES-ADS-lipase confirmed the efficiency of immobilisation by covalent bonding in maintaining the thermal stability of the enzyme at a temperature of 55°C.



Kinetic parameters
The Michaelis–Menten constant (Km) and maximum rate of reaction (Vmax) of the free and immobilised lipases were calculated from the Lineweaver–Burk plot, as shown in Table 1. The immobilised lipases showed lower Km values than free lipase, indicating a higher affinity for the substrate. On the other hand, the Vmax values were similar for both immobilised lipases and lower than the free lipase. Probably, the decrease in Vmax values for immobilised lipases could be due to limited access to active sites of the enzyme by the substrate or to large areas of contact between the enzyme and the membrane (Keerti, Gupta, Kumar, Dubey, & Verma, 2014). Besides, the immobilisation process does not control the orientation of the enzyme immobilised on the support. Consequently, an inappropriate bonding might change the lipase conformation and/or hinder the active site of the immobilised lipase molecules, hindering access by the substrate (Zhao et al., 2010).
Lipases immobilised on polymeric supports have shown varying values of kinetic parameters. Chen et al. (2012) obtained lower affinity to the substrate (higher Km values) and lower Vmax values for Candida rugosa lipase immobilised on polyvinylidene fluoride membranes by physical adsorption than they did for the free lipase. Gupta et al. (2012) obtained lower Km and Vmax values for C. rugosa lipase immobilised on polysulfone membranes, meaning higher affinity to the substrate, and Zhang et al. (2014) obtained higher Km and Vmax values for C. rugosa lipase immobilised on active membrane than for free lipase.
| Parameters | ||
| Km (mM) | Vmáx (U mg-1) | |
| Free lipase | 34.6 | 2,000.0 |
| PES-ADS-lipase | 20.0 | 1,666.7 |
| PES-COV-lipase | 17.3 | 1,666.7 |
Operational stability
The reuse of immobilised biocatalysts was evaluated for olive oil hydrolysis at 37°C at the optimum pH for each biocatalyst (11.0 and 9.0 for PES-ADS-lipase and PES-COV-lipase, respectively). The relative activity of PES-ADS-lipase and PES-COV-lipase was up 50 and 30% for three cycles of reuse, respectively (Figure 10). The results were similar to those obtained by Handayani et al. (2012) for Mucor miehei lipase immobilised on polyethersulfone membranes, which showed 5 cycles of reuse. However, C. rugosa lipase immobilised on polysulfone, polyvinylidene fluoride, or catalytically active membranes showed relative activities above 80% higher for 5, 11, and 8 cycles of reuse, respectively (Gupta et al., 2012; Chen et al., 2012;Zhang et al., 2014). A factor that may have contributed to the loss of activity during reuse of the immobilised biocatalyst may be enzyme desorption from the support during the recovery stages (leaching effect) (Hanefeld et al., 2009; Zhao et al., 2010).

Conclusion
In this work, Aspergillus niger lipase was obtained from the fermentation of H. speciosa seeds and immobilised efficiently on PES membranes by physical adsorption and covalent bonding. The biocatalysts PES-ADS-lipase and PES-COV-lipase showed the ability to catalyse the hydrolysis of olive oil at alkaline pH values (optimum pH values of 9.0 and 11.0, respectively) and had good stability at relatively high temperatures (45 and 55°C, respectively). In particular, PES-COV-lipase showed higher thermal stability at 55°C than the other biocatalysts, yet both immobilised biocatalysts showed higher affinity for the substrate than did the free lipase. For the first time, an Aspergillus niger lipase that was obtained from the fermentation of an agroindustrial residue was immobilised on PES membranes and showed properties close to the other types of lipases immobilised on polymeric supports. However, future studies are necessary to improve the operational stability of the supports.
Acknowledgements
The authors thank the Coordination of Improvement of Personal Level Foundation (CAPES, Brazil) for the graduate scholarship granted, and the Foundation for Research and Technological Innovation of Sergipe State (FAPITEC/SE) for financial support.
References
Bickerstaff, G. F. (1997). Immobilization of enzymes and cells-methods in biotechnology. v. 1. New Jersey, US: Humana Press.
Chen, G. J., Kuo, C. H., Chen, C. I., Yu, C. C., Shieh, C. J., & Liu, Y. C. (2012). Effect of membranes with various hydrophobic/hydrophilic properties on lipase immobilized activity and stability. Journal of Bioscience and Bioengineering, 113(2), 166-172. DOI : 10.1016/j.jbiosc.2011.09.023
Colla, L. M., Rizzardi, J., Pinto, M. H., Reinehr, C. O., Bertolin, T. E., & Costa, J. A. V. (2010). Simultaneous production of lipases and biosurfactants by submerged and solid state bioprocess. Bioresource Technology, 101(21), 8308-8314. DOI: 10.1016/j.biortech.2010.05.086
Cui, C., Li, T. L., Chen, B., & Tan, T. (2013). Improving the activity and stability of Yarrowialipolytica lipase Lip2 by immobilization on polyethyleneimine-coated polyurethane foam. Journal of Molecular Catalysis B: Enzymatic, 91(1), 59-66, 2013. DOI: 10.1016/j.molcatb.2013.03.001
Contesini, F. J., Da Silva, V. C. F., Maciel, R. F., Lima, R. J., Barros, F. F. C., & Oliveira, P. O. J. (2009). Response surface analysis for the production of an enantioselective lipase from Aspergillus niger by solid-state fermentation. Journal of Microbiology, 47(5), 563-571. DOI: 10.1007/s12275-008-0279-8
Contesini, F. J., Lopes, D. B., Macedo, G. A., Nascimento, M. G., & Carvalho, P. O. (2010). Aspergillus sp. Lipase: potential biocatalyst for industrial use. Journal of Molecular Catalysis B: Enzymatic, 67(1), 163-171. DOI: 10.1016/j.molcatb.2010.07.021
Gupta, S., Singh, Y., Javiya, S., Bhambi, M., Pundir, C. S., Singh, K., & Bhattacharya, A. (2008). Comparative study of performances of lipase immobilized asymmetric polysulfone and polyethersulfone membranes in olive oil hydrolysis. International Journal of Biological Macromolecules, 42(2), 145-151. DOI: 10.1016/j.ijbiomac.2007.10.018
Gupta, S., Ingole, P., Singh, K., & Bhattacharya, A. (2012). Comparative study of the hydrolysis of different oils by lipase-immobilized membranes. Journal of Applied Polymer Science, 124(S1), 17-26. DOI: 10.1002/APP.35400
Gupta, S., Bhattacharya, A., & Murthy, C. N. (2013). Tune to immobilize lipases on polymer membranes: Techniques, factors and prospects. Biocatalysis and Agricultural Biotechnology, 2(3), 171-190. DOI: 10.1016/j.bcab.2013.04.006
Handayani, N., Loos, K., Wahyuningrum, D., Buchari, N. V., & Zulfikar, M. A. (2012). Immobilization of Mucor miehei lipase onto macroporous aminated polyethersulfone membrane for enzymatic reactions. Membranes, 2(2), 198-213. DOI: 10.3390/membranes2020198
Handayani, N., Wahyuningrum, D., Zulfikar, M. A., Nurbaiti, S., Radiman, C. L., & Buchari, N. V. (2016). The synthesis of biodiesel catalyzed by Mucor mieheilipase immobilized onto aminated polyethersulfone membranes. Bioresource and Bioprocessing, 3(22), 1-11. DOI: 10.1186/s40643-016-0098-4
Hanefeld, U., Gardossi, L., & Magner, E. (2009) Understanding enzyme immobilization. Chemical Society Reviews, 38(2), 453-468. DOI: 10.1039/b711564b
Instituto Adolfo Lutz (2008). Métodos físico-químicos para análise de alimentos. São Paulo, SP: Instituto Adolfo Lutz.
Keerti, A., Gupta, V., Kumar, A., Dubey, A. K., & Verma, A. K. (2014). Kinetic characterization and effect of immobilized thermostable β-glucosidase in alginate gel beads on sugarcane juice. ISRN Biochemistry, ID178498, 1-8. DOI: 10.1155/2014/178498
Mozhaev, V. V. (1993). Mechanism-based strategies for protein thermostabilization. Trends in Biotechnology, 11(3), 88-95. DOI: 10.1016/0167-7799(93)90057-G
Osuna, Y., Sandoval, J., Saade, H., López, R. G., Martinez, J. L., Colunga, E. M., Cruz, G. L., Segura, E. P., & Arévalo, F. J. (2015). Immobilization of Aspergillus niger lipase on chitosan-coated magnetic nanoparticles using two covalent-binding methods. Bioprocess Biosystems Engineering, 38(8), 1437-1445. DOI: 10.1007/s00449-015-1385-8
Salihu, A., Alam, M. Z., Karim, I. A., & Salleh, H. M. (2012). Lipase production: An insight in the utilization of renewable agricultural residues. Resource, Conservation and Recycling, 58(1), 36-44. DOI: 10.1016/j.resconrec.2011.10.007
Santos, R. C. A., Araújo, K. B., Soares, C. M. F., & Aquino, L. C. L. (2012). Evaluation of temperature and moisture response surface on the fermentation of lipase pumpkin seeds using Aspergillus niger. Acta Scientarium. Technology, 34(3), 255-260. DOI: 10.4025/actascitechnol.v34i3.1249
Santos, R. C. A., Araujo, K. B., Zubiolo, C., Soares, C. M. F., Lima, A. S., & Aquino, L. C. L. (2014). Microbial lipase obtained from the fermentation of pumpkin seeds: Potential of immobilization in hydrophobic matrices. Acta Scientarium. Technology, 36(2), 193-201. DOI: 10.4025/actascitechnol.v36i2.18275
Santos, E. A. L., Soares, C. M. F., Lima, A. S., & Santana, L. C. L. A. (2017). Lipase from Aspergillus niger obtained from mangaba residue fermentation: biochemical characterization of free and immobilized enzymes on a sol-gel matrix. Acta Scientarium. Technology, 39(1), 1-8. DOI: 10.4025/actascitechnol.v39i1.29887
Sewalt, J. J., Padt van der, A., & van’t Riet, K. (2000). Potential effect of the membrane potting on the long-term performance during hydrolysis of edible oil. Journal of Membrane Science, 164(2), 79-88. DOI : 10.1016/S0376-7388(99)00205-7
Soares, C. M. F., Santos, O. A. A., Olivo, J. E., Castro, H. F., Moraes, F. F., & Zani, G. M. (2004a). Influence of alkyl-substituted silane precursors of silica gels on the enzymatic activity of immobilized microbial lipase from Candida rugosa. Journal of Molecular Catalalysis B: Enzymatic, 29(1-6), 69-79. DOI: 10.1016/j.molcatb.2004.02.014
Soares, C. M. F., Santos, O. A. A., Castro, H. F., Moraes, F. F., & Zanin, G. M. (2004b). Studies on lipase immobilization in hydrophobic sol-gel matrix. Applied Biochemistry and Biotechnology, 113(1-3), 307-319. DOI: 10.1385/ABAB:113:1-3:307
Statsoft Inc. (2004). Statistica: data analysis software system, version 7. Tulsa. OK: StatSoft Inc.
Sun, J., Yendluri, R., Liu, K., Guo, Y., Lvov, Y. ,& Yan, X. (2017). Enzyme-immobilized clay nanotube–chitosan membranes with sustainable biocatalytic activities. Physical Chemistry Chemical Physics, 19(1), 562-567. DOI: 10.1039/C6CP07450B
Yang, G., Wu, J., Xu, G., & Yang, L. (2010). Comparative study of properties of immobilized lipase onto glutaraldehyde-activated amino-silica gel via different methods. Colloids and Surfaces B: Biointerfaces, 78(2), 351-356. DOI: 10.1016/j.colsurfb.2010.03.022
Ye, P., Jiang, J., & Xu, Z. K. (2007). Adsorption and activity of lipase from Candida rugosa on the chitosan-modified poly(acrylonitrile-co-maleic acid) membrane surface. Colloids and Surfaces B: Biointerfaces, 60(1), 62-67. DOI: 10.1016/j.colsurfb.2007.05.022
Yu, X. W., Tan, N. Y., Xiao, R., & Xu, Y. (2012). Engineering a disulfide bond in the lid hinge region of Rhizopus chinesis lipase: increased thermostability and altered acyl chain length specifity. PloS ONE, 7(10), 1-7. DOI : 10.1371/journal.pone.0046388
Zhang, W., Qing, W., Ren, Z., Li, W., & Chen, J. (2014). Lipase immobilized catalytically active membrane for synthesis of lauryl stearate in a pervaporation membrane reactor. Bioresource Technology, 172(1), 16-21. DOI: 10.1016/j.biortech.2014.08.019
Zhao, Q., Hou, Y., Gong, G. H., Yu, M. A., Jiang, L., & Liao, F. (2010). Characterization of alcohol dehydrogenase from permeabilized Brewer’s yeast cells immobilized on the derived attapulgite nano fibers. Applied Biochemistry and Biotechnology, 160(8), 2287-2299. DOI: 10.1007/s12010-009-8692-y
Zubiolo, C., Santos, R. C. A., Carvalho, N. B., Soares, C. M. F., Lima, A. S., & Santana, L. C. L.A. (2014). Encapsulation in a sol-gel matrix of lipase from Aspergillus niger obtained by bioconversion of a novel agricultural residue. Bioprocess Biosystems Engineering, 37(1), 1781-1788. DOI 10.1007/s00449-014-1151-3