Mechanical Engineering

Recepción: 31 Marzo 2019
Aprobación: 23 Septiembre 2019
DOI: https://doi.org/10.4025/actascitechnol.v42i1.47262
Abstract: The aim of this study is to quantify the energy savings of a library in the city of Foz do Iguaçu/Brazil, through simulations in EnergyPlus. Due to the great participation of air conditioning in the electric consumption of the building under study, the following proposals were studied: the exchange of the current split air conditioning units by a Variable Refrigerant Flow (VRF) system; the application of solar control films on the glasses; and both options together. The methodology followed these steps: firstly, it was simulated the current electricity consumption and the results were validated with real measures; secondly, the retrofitting measures were sized and implemented in the program and the energy savings were quantified; finally, an economic analysis was performed in order to determine the feasibility of the proposals. As a result, the VRF system showed an annual saving in air-conditioning of 42.08% related to the mini-split system. The annual electricity savings were 32.01, 2.14 and 32.80% for the VRF, solar control films, and both options together, respectively. The feasibility analysis of the VRF, considering financing and for a scenario consistent with the historical average growth of the electricity prices and inflation rate, showed that the use of a VRF instead of the splits units recovers the initial investment in 14 years. The application of solar control films proved to be economically unfeasible.
Keywords: building simulation, energy-saving, mini-split air-conditioner, vrf, solar control films, feasibility analysis.
Introduction
In Brazil, half of the electricity consumption corresponds to buildings, whether residential, commercial or public (Empresa de Pesquisa Energética [EPE] & Ministério de Minas e Energia [MME], 2017) . According to the Brazilian Ministry of Mines and Energy (MME), for the existing Brazilian buildings it is estimated a potential energy saving of 30% and for those in construction 50% (Roméro & Reis, 2012). Additionally, air-conditioning corresponds to 12.6% of the Brazilian electric consumption (Centro Brasileiro de Informação de Eficiência Energética [ProcelInfo], 2020). The National Program of Conservation of Electric Energy (Procel) estimates that in public buildings, the electricity consumption in air-conditioning corresponds to 48%, followed by lighting with 23% and office equipment with 15% (ProcelInfo, 2020). Therefore, reducing the air-conditioning consumption is one of the keys to significantly reduce electricity consumption in the Brazilian public buildings.
In the building under study, the air-conditioning largely dominates the electric consumption, corresponding to 76.1% of the total, followed by lighting with 16.2%, and office equipment with 7.7%. Due to the large participation of air-conditioning, the aim of this work is to propose a more efficient air-conditioning system, as well as the use of solar control films to reduce the thermal load and consequently reduce air-conditioning consumption. To evaluate the savings of the proposed energy measures, computational simulations were carried out in EnergyPlus.
Facilities with thermal load up to approximately 100 TR are classified as small installations, above this value, they are classified as medium/large size. Typically, small installations use direct expansion air-conditioning systems, while medium/large ones use indirect expansion systems (Procel & Eletrobras, 2011) . The thermal load of the library is 87 TR, so it is a small installation for which it is recommended the use of a direct expansion air-conditioning system. In addition, the architecture of the building does not have the necessary space for the ducts and engine room required for the installation of an indirect expansion system (Quadri, 2001) . There are different types of direct expansion air-conditioning systems including window units, mini-split, self-contained, and variable refrigerant flow (VRF). At the present time, there are 43 mini-split air-conditioners installed in the building. Those equipment are more indicated for residential applications (Quadri, 2001) , when many units are used, this option becomes less effective because of the inability to modulate the capacity (Pita, 2002) . Regarding to the self-contained systems, their use would require the installation of ducts, and once again, the construction of the building was not designed for this purpose. Alternatively, a VRF system is suitable for the characteristics of the establishment.
The Brazilian technical standard NBR 16401-1 defines this type of equipment as a central system in which a set of direct expansion air treatment units (known as internal units), each operated and controlled independently, is supplied with refrigerant fluid at a variable flow rate by a central, externally installed, condenser unit (known as external unit) (Associação Brasileira de Normas Técnicas [ABNT], 2008) . Basically, a VRF is a system that adjusts the flow of refrigerant to each indoor evaporator continually, with the help of a variable speed compressor and electronic expansion valves located in each internal unit (Alahmer & Alsaqoor, 2018) . Nowadays, this type of system has been calling more attention, due to its efficient operation and improvement of the thermal comfort of the environments (Liu et al., 2015) . The major energy saving of VRF systems comes from the following factors: (i) the use of variable speed air cooled compressors; (ii) the elimination of ductwork; (iii) the use of refrigerant instead of water, which requires less energy to transfer the fluids heat; and finally, (v) the use of outside air systems with energy recovery (Alahmer & Alsaqoor, 2018) . However, the main disadvantages are the high initial cost and the inability to renew indoor air (Alahmer & Alsaqoor, 2018) .
As follows, some works comparing the use of VRF systems with other types of air-conditioners are reported. Khatri and Joshi (2017) compared the performance of a VRF with a constant volume air-conditioner, using the field performance testing under various ambient conditions. It was found that the saving from the VRF technology is in range of 10-40% and that its energy-saving capability largely depends on the time span when it operates at part load. Aynur, Hwang, and Radermacher (2009) compared through simulations in EnergyPlus the performance of two widely used air conditioning systems, variable air volume (VAV) and VRF. The study was carried out in a building in Maryland (USA), during the summer season. It was found that the VRF system promises energy saving potentials between 27.1 and 57.9%, depending on the configuration and the indoor and outdoor conditions. Sun, Hong, Zhu, Yu, and Yan (2016) investigated VAV and VRF systems in five typical office buildings in China, and compared their cooling energy use. The data normalized by climate and operating hours indicated that the cooling energy consumed by VRF systems was up to 70% lower than that consumed by VAV systems. The simulation results showed that the VRF operation mode required much lower cooling load when compared to the VAV operation mode. Zhou, Wu, Wang, and Shiochi (2007) compared the energy consumption of a VRF system with a VAV and a fan-coil plus fresh air (FPFA) systems. The research was performed in an office building in Shanghai, China. Simulation results show that the energy-saving potentials of the VRF system are expected to achieve 22.2 and 11.7%, compared with the VAV system and the FPFA system, respectively.
Regarding the application of solar control films, Bahadori-Jahromi, Rotimi, Mylona, Godfrey, and Cook (2017) simulated the impact of applying solar control films in a hotel in the UK. The window films simulated were 3M, Prestige 70 and Prestige 40. The study resulted in a reduction in annual electric consumption of 2%; however, the cooling consumption was reduced by 35%. Li, Tan, Chow, and Qiu (2015) developed and experimentally validated a model in EnergyPlus to evaluate the potential electricity savings through the application of solar control films in Hong Kong. In general, the best combination was the one that used clear glass and solar control film with total solar transmittance equal to 34% applied on the inner face. This arrangement resulted in a reduction in air-conditioning consumption of 13.1%. Wang, Wang, Liu, and Shi (2017) evaluated the energy consumption of an Institute of Art in Chicago. Among the proposals to optimize the energy performance of the building, the use of solar control films was simulated. The base model used glass with SHGC equal to 0.40; when Low-E solar films with SHGC equal to 0.15 were applied, an energy saving of 3,7% was obtained.
Material and methods
The first stage of the work consisted of creating a model of the building in EnergyPlus that simulates the behavior of the electricity consumption throughout the year. The accuracy of the simulations was validated by comparison with real measurements of consumption. The second stage consisted in sizing the new VRF air-conditioning system and choosing the solar control films, to finally quantify the energy savings. Lastly, an economic analysis was carried out to determine if the application of this type of solutions, still sophisticated for Brazil, is feasible.
The library has a floor area of 2,263 m2, is located in the city of Foz do Iguaçu, in the Brazilian state of Paraná, and is oriented to the north with 0º azimuth. According to the classification of Köppen-Geiger, the climate in Foz do Iguaçu is subtropical without dry season - Cfa. According to the Brazilian technical standard NBR 15220 part 3, the city is placed in the bioclimatic zone 3 (ABNT, 2005) . The weather file used in the simulations is the Typical Meteorological Year (TMY), its data comes from the meteorological station located at the airport of Foz do Iguaçu, code 86925, and was registered by Inmet (National Institute of Meteorology) in the period 2001-2010 (Department of Energy [DOE], Building Technologies Office [BTO], & National Renewable Energy Laboratory [NREL], 2019) .
Development of the model
Geometric model
The geometric model of Figure 1 was created in the EnergyPlus, entering the coordinates of the vertices of each surface. To construct it, there were used the architectural plans and sections, and considered the shading elements (purple color). The building floor plan was divided into 41 thermal zones, in accordance with the array of the air-conditioners currently installed.
After the construction of the geometric model, the properties of the building materials were introduced in the program. Table 1 shows the thermal transmittance of the main building constructions, for their calculation the thermal properties of the materials were taken from the Ashrae Handbooks (American Society of Heating, Refrigerating and Air-Conditioning Engineers [Ashrae], 2005; 2009) . Table 2 shows the thermo-optical properties of glass surfaces, which were taken from the program WINDOW 7.5 (Lawrence Lab, 2019) . Additionally, in the construction of the model were entered the frames, crossbars, and horizontal sunscreens that the side walls of the cupolas have installed.



Internal heat gains
The occupation of people in the place was established through counting in situ. The metabolic rates adopted were 108, 117 and 207 W, for a person sitting, typing, and walking, respectively (Department of Energy [DOE], 2016) .
The number of lamps was counted from the lighting design plan, there are three different types of lamps: fluorescent tube, compact fluorescent, and led reflectors. To determine the time at which the bulbs are lit in each zone of the building, the year was divided into periods according to the sunset. Regarding the electric equipment, for office computers and notebooks, we adopted the Watts per person input method; the percentage of people using them was established based on the in situ counting. For simplicity, the consumption of the rest of electric equipment was calculated and added as a fixed portion to the simulated monthly consumption.
Concerning the infiltration rate, in conditioned environments it was used the value of 3.0 m3 hour-1 per meter of air gap for tilting windows, and 6.5 m3 hour-1 per meter of air gap for well-adjusted doors (ABNT, 2008) . For doors with flow of people the rate of 4 m3 hour-1 per person was used (ABNT, 2008) .
Air-conditioners
The air-conditioners currently installed were entered in the category HVACTemplate: System: Unitary, indicated for modeling residential mini-split systems (DOE, 2016) . The data entered in EnegyPlus to model the mini-splits air-conditioners is in Table 3, that information was taken from the manufacturer's catalog; for the other required information, the standard values suggested by the program were used. The temperature of the thermostats was estimated based on the average temperature of use of the air-conditioners, and considered to be constant during certain periods of the year; the established values vary between 18 and 21ºC. It was considered that the air-conditioners are working during the opening hours of each space; except for winter months, June and July, in which they are operating from 1:00 p.m. to 6:00 p.m.
Results of the simulation for the base model and validation
The simulation of the base model, constructed as previously described, resulted in the monthly consumptions presented in Table 4.
To validate the model, the simulated and the measured consumptions were compared. The measurements available are from November 2016 to May 2017. The measurements taken are the sum of the consumption of the simulated building with the consumption of the teachers' and students' offices, which are arranged in two blocks at the front of the building (Figure 1, purple color). It was decided to separate the offices from the main building because they were under renovation. To quantify the energy consumption of these offices, there were made three models: one for the students' office, one for the teachers' office before renovation, and another for the teachers' office after renovation.
During the taking of measurements some events happened, such as, employees’ strike, students' offices closed for renovation, teachers’ strike, working hours changed by book inventory, among others. Correcting the base model according to the events occurred, and adding to its results, the results of the simulation of the outside offices, finally it is possible to compare the values obtained with the measured data; this comparison is shown in Table 5.
It should be emphasized that the retrofits measures were applied to the principal building, without considering the exterior offices. Additionally, as the events occurred during 2016/2017 will not be repeated in the future, for the energy saving calculations, the base model was employed, which does not consider these events and neither the consumption of the exterior offices.
Proposal measures
Variable Refrigerant Flow Air-conditioner
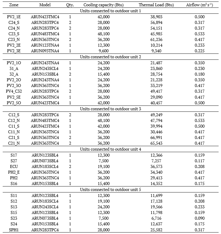
To size the system, the VRF was simulated in auto size mode, this way, the maximum cooling capacity and the maximum heating capacity for each thermal zone were obtained. This simulation was run using the design days defined by Ashrae (Ashrae, 2013) . The winter design day is June 21, and the summer design days are December 21, January 21, and March 21, due to the different solar positions (ABNT, 2008) . The annual cumulative frequency of occurrence chosen was 0.4 for summer, and 99.6% for winter, which is recommended for high level facilities. As the heating thermal load is much lower than the cooling thermal load, the evaporators have been selected from the maximum cooling capacity. The units chosen were from LG, their main characteristics are shown in Table 6, next to the thermal load of each space.



The connection of the internal units to the external unit considered the Corrected Capacity Ratio - CCR (Equation 1), the Combination Ratio - CR (Equation 2), the proximity of the units, the reliability of the system, and the same opening times of the spaces. Figure 2 exhibits the division of the building into thermal zones and the position of the condensing units.


Table 7 summarizes the characteristics of the external units selected, the parameters used to verify the correct system design (CCR and CR), and the thermal load. It should be noted that in the case of multi-split systems, the thermal load of the central system is the maximum simultaneous load of the set of units served by the system, and it is not necessarily the sum of the maximum of the zones, which may not occur simultaneously (ABNT, 2008) . The correction factors were obtained from the Performance Data Manual (LG Electronics, 2015b) based on the refrigerant line length and elevation difference.
Once the commercial equipment was chosen, the auto size model was completed with the manufacturer's catalog data and the EnergyPlus models available in the Building Component Library of the National Renewable Energy Laboratory (National Renewable Energy Laboratory [NREL], 2019) , which contains the performance curves at full and partial load, for cooling and heating operation.


Solar window films
The control solar films chosen were from 3M, because of the brand's reliability and for being commercialized in Brazil. Three different series were chosen: Prestige, Ceramic and Neutral (3M, 2012) . The Prestige model offers the best relation between daylight pass and heat reduction, having the least reflectance. The Ceramic does not reject as much energy as the first and is more reflective. The Neutral model is the traditional film with metals in its composition and is the one that offers the lowest transmission of visible light. The optical properties of the films were obtained from the library of the program WINDOWS 7.5 (Lawrence Lab, 2019) . Table 8 summarizes these properties along with the thermal and physical properties of the solar control window films.
The films were placed in the zones located on the back of the building, in the panes of the windows and skylights oriented to the east, north, and west. The zones facing the north were left out due to the presence of several shading elements, and the south façade, for being the one that receives less insolation.
VRF system and solar control films together
The VRF system was simulated together with the solar control films in the chosen glazed area. It was chosen to work with the model Neutral 35 because it is cheap and transmits an acceptable amount of visible light.
Results and discussion
Figure 3 shows the monthly electric consumption of the base model and the three proposals suggested.
Current system: split air-conditioners
The graph of Figure 4 shows the monthly electric consumption broken down by service, for the base model. The air-conditioning consumption is given by the sum of the cooling, heating, and fans. It is observed that in hot months the participation of air-conditioning is much superior to the rest of the services. In January and February consumption is lower than the other summer months, due to the fact that the building opening time is shorter in these two months, therefore the month with the highest consumption is March with 17,027 kWh, from which 14,257 kWh (86.7%) corresponds to air-conditioning. As most of the split air-conditioners are only for cooling, and as in the cooler months, June and July, it was established that the air-conditioning operates during half of the day (1:00 p.m. to 6 p.m.), energy consumption in winter months drops abruptly. The month with the lowest consumption is June totaling 4,771 kWh, from which 1,727 kWh (36%) corresponds to air-conditioning.
Figure 5 depicts the participation of each final use in the total annual consumption (130,179 kWh). Again, it is observed the great portion of the air-conditioning, which corresponds to 76.07% (refrigeration, heating, and fans) of the total.
Proposal 1: VRF air-conditioner
As shown in Figure 6, the consumption profile is the same as in the base model, but with the replacement of the split system by the VRF, it was obtained an energy saving in the air-conditioning of approximately 50% for hot months, decreasing to approximately 20% for colder months. The month with the highest consumption is still March with 10,120 kWh, from which 7,350 kWh corresponds to the air-conditioning (72.6%), showing that way a reduction of 40% in relation to the base model. The month of the lowest consumption continues to be June with 4,485 kWh, from which 1,441 kWh (32%) corresponds to air-conditioning. The reduction in air-conditioning consumption in June was only 16.7%, due to the fact that the VRF system operates in cooling and heating modes. Although the system also operates in heating mode, consumption is still low due to the operating schedule (1:00 p.m. to 6:00 p.m.), during that period of use, the average temperature of the climatic file is close to the thermostat set point, and as a consequence, the consumption is low.
Figure 7 shows the new participation of each final use in the total annual consumption (88,508 kWh). In this case, the portion of the air-conditioning decreased to 67.8%. The total annual electricity consumption was reduced by 32%, while the total annual air-conditioning consumption decreased by 42.08%.


Proposal 2: Solar control films
The simulation using the solar control films of Table 8 resulted in the monthly consumption shown in the graph of Figure 8. In descending order, the films that provided the greatest annual savings in air-conditioning were Neutral 20 (2.65%), Prestige 40 (2.31%), Ceramic 30 (2.23%), Neutral 35 (2.14%), and Prestige 70 (1.96%), according to the thermal reduction that each one of them offers. The better the quality of the film, it will provide the same thermal reduction than a less quality film but allowing more visible light to pass through (lighter colors). This can be appreciated by comparing the Prestige 40 and Neutral 20 models, both films resulted in the largest reductions in consumption since both of them offer a similar thermal reduction, 50 and 53%, respectively. However, the Prestige 40 allows the passage of much more visible light than the Neutral 20, 42 and 15%, respectively (3M, 2012) .
Since the solar control films were placed in the zones located on the back of the building, it is interesting to analyze the results only for the thermal zones influenced by the change. Performing that analysis, the most favorable result was for the Neutral 20 film, which provided the maximum reduction in air-conditioning of 7.31% in the month of September. The annual reduction in air-conditioning was 4.59, 4.00, 3.87, 3.71, and 3.4% for the Neutral 20, Prestige 40, Ceramic 30, Neutral 35, and Prestige 70 films, respectively.
The results obtained suggest that the use of solar control films does not provide a significant reduction in consumption. However, to make more accurate conclusions, the orientation and area of the glass panes should be considered. Due to the correct design of the library, the largest glazed area is located in the south façade, and this area was not considered in the simulations because of the low insolation. Except for the windows of the internal courtyards, the north and west facing façades, which are those that have the highest thermal gains, have little glazed area, and in addition, the domed geometry causes shadows between the skylights.




Proposal 3: VRF air-conditioner and solar control films
In Figure 3 the monthly electric consumption of this alternative is compared with the other proposals. Since the VRF air-conditioning system is much more efficient than the Splits, the reduction in the annual electric consumption provided by the films (neutral 35), in this case, is lower than when they were used with the split system, 1.16 and 2.14%, respectively.
Economic analysis
In order to adopt a premise for the projection of the electricity tariff, the history of tariff adjusts of Copel (Companhia Paranaense de Energia) were divided into three periods. In the period from 1999 to 2004, electricity tariffs rose above the inflation index, in the period from 2005 to 2013, they grew below inflation, and from 2014 to 2015, they grew well above inflation, falling in 2016. Table 9 shows the geometric mean of the growths of the electricity tariff and the inflation (IPCA - Extended Consumer Price Index) for those periods.
In accordance with Table 9, three scenarios were set up: reference scenario, in which the electric tariff increases 3% above inflation, consistent with the geometric mean of the difference of the whole period considered. Good scenario, in which the electric tariff grows 9% above inflation, according to the period from 1999 to 2004. And counterproductive scenario, in which inflation grows above the energy tariff by 3%, similar to the period from 2005 to 2013. To establish the inflation rate, the projection made by the Bradesco Bank up to 2023 was used; the average of this projection corresponds to 4.33% per year (Bradesco, 2015) . Table 10 summarizes the assumptions for each scenario.
Proposal 1: VRF air-conditioner
Table 11 resumes the input variables required in the analysis. The MRA (minimum rate of attractiveness) used corresponds to the composition of the geometric mean of the net remuneration rate of the popular Brazilian saving account (P) in the last 10 years (Associação Brasileira das Entidades de Crédito Imobiliário e Poupança [Abecip], 2019) , with the inflation. To make the composition, the formula (1 + MRA) = (1 + i) * (1 + P) was used. The electricity price adopted is the current value of Copel’s conventional tariff (Copel, 2018b) . The value of the investment in the VRF corresponds to the average Brazilian price for equipment of this type, estimated from units of equal power to those of the proposed system (Cype, 2019) . For the split air-conditioners, it was used the average market price of the models currently installed in the building. The exchange rate used to convert Real (BRL) into Dollar (US$) was 3.75 USL/BRL, corresponding to the medium value of the last year.
The economic feasibility study of this proposal will be approached from the proposition of which of the air-conditioning systems under study is the most beneficial. Considering the input variables of Table 11, the cash flows were mounted for each proposed scenario. Table 12 summarizes the results obtained for the Net Present Value (NPV), Internal Rate of Return (IRR), Discounted Payback Period (DPP) and Equivalent Annual Cost (EAC). It is noticed that the installation of the VRF system instead of the splits is more advantageous in the reference and good scenarios; for the counterproductive scenario, the VRF turns out to be the most expensive option.
Proposal 2: Solar control films
The value of the square meter of solar control film was obtained through a budget with a company of the range, the area in which the films were placed corresponds to 239.9 m2. Table 13 shows the investment and the results for the good scenario. As the results show that this proposal is not economically feasible for any type of film used, it is not necessary to repeat the analysis for the rest of the scenarios.





Conclusion
The case study demonstrated that the use of a VRF system instead of the mini-splits units can provide an annual air-conditioning saving of 42.08%. In addition, the solar control film that provided the greatest energy saving showed a reduction in air-conditioning consumption of 4.59%, relative to the consumption of the thermal zones in which the films were installed. The economic analysis showed that the investment in a VRF system is recovered in 14 years; while the use of solar films is non-viable, due to the high investment and low energy savings provided.
Acknowledgements
The authors would like to thank Itaipu Technological Park (PTI) for providing technical data for the case study project, and the Laboratory of Automation and Simulation of Electrical Systems (Lasse) for providing the equipment for the electricity measures.
References
3M. (2012). Window film manual. St. Paul, MN: 3M Renewable Energy Division.
Alahmer, A., & Alsaqoor, S. (2018). Simulation and optimization of multi-split variable refrigerant flow systems. Ain Shams Engineering Journal, 9(4), 1705-1715. doi: 10.1016/j.asej.2017.01.002
American Society of Heating, Refrigerating and Air-Conditioning Engineers [ASHRAE]. (2005). ASHRAE Handbook: fundamentals SI edition. Atlanta, GA: Ashrae.
American Society of Heating, Refrigerating and Air-Conditioning Engineers [ASHRAE]. (2009). ASHRAE Handbook: fundamentals SI edition. Alanta, GA: Ashrae.
American Society of Heating, Refrigerating and Air-Conditioning Engineers [ASHRAE]. (2013). Climatic Design Information. In ASHRAE Handbook: fundamentals SI edition (p. 288-305). Atlanta, GA: Ashrae.
Associação Brasileira das Entidades de Crédito Imobiliário e Poupança [ABECIP]. (2019). Caderneta de poupança índices mensais. Retrieved from https://goo.gl/5IoenZ
Associação Brasileira de Normas Técnicas [ABNT]. (2005). NBR 15220-3: Desempenho térmico de edificações - Parte 3: Zoneamento bioclimático brasileiro e diretrizes construtivas para habitações unifamiliares de interesse social. Rio de Janeiro, RJ: ABNT.
Associação Brasileira de Normas Técnicas [ABNT]. (2008). NBR 16401-1: Instalações de ar-condicionado - Sistemas centrais e unitários - Parte 1: Projetos das instalações. Rio de Janeiro, RJ: ABNT.
Aynur, T. N., Hwang, Y., & Radermacher, R. (2009). Simulation comparison of VAV and VRF air conditioning systems in an existing building for the cooling season. Energy and Buildings, 41(11), 1143-1150. doi: 10.1016/j.enbuild.2009.05.011
Bahadori-Jahromi, A., Rotimi, A., Mylona, A., Godfrey, P., & Cook, D. (2017). Impact of window films on the overall energy consumption of existing UK hotel buildings. Sustainability (Switzerland), 9(5), 1-23. doi: 10.3390/su9050731
Bradesco. (2015). Projeções Bradesco longo prazo. Retrieved from https://bit.ly/2KB5EF6
Centro Brasileiro de Informação de Eficiência Energétcia [ProcelInfo]. (2020). SINPHA - Sistema de Informação de Posses e Hábitos de Uso de Aparelhos Elétricos. Retrieved from http://bit.ly/2sQMs2s
Companhia Paranaense de Energia [COPEL]. (2018a). Alterações tarifárias. Retrieved from https://goo.gl/iPCAhP
Companhia Paranaense de Energia [COPEL]. (2018b). Tarifa convencional - subgrupo B3. Retrieved from https://goo.gl/JE2fXG
Cype. (2019). CYPE ingenieros, S.A.: gerador de preços para construção civil. Retrieved from https://goo.gl/3dTAun
Department of Energy [DOE], Building Technologies Office [BTO], & National Renewable Energy Laboratory [NREL]. (2019). Weather data by location. Retrieved from https://energyplus.net/weather
Department of Energy [DOE]. (2016). Input output reference energyplus. Washington, DC: EnergyPlus, U.S./Department of Energy’s.
Empresa de Pesquisa Energética [EPE] & Ministério de Minas e Energia [MME]. (2017). Brazilian energy balance. Rio de Janeiro, RJ: Empresa de Pesquisa Energética.
Instituto Brasileiro de Geografia e Estatística [IBGE]. (2017). IPCA. Retrieved from https://goo.gl/jQTPVG
Khatri, R., & Joshi, A. (2017). Energy performance comparison of inverter based variable refrigerant flow unitary AC with constant volume unitary AC. Energy Procedia, 109, 18–26. doi: 10.1016/j.egypro.2017.03.038
Lawrence Lab. (2019). WINDOW software downloads. Retrieved from https://windows.lbl.gov/tools/window/software-download
LG Electronics. (2015a). MULTI V IV engineering manual. Atlanta, GA: LG Electronics.
LG Electronics. (2015b). MULTI V IV performance data manual. Atlanta, GA: LG Electronics.
Li, C., Tan, J., Chow, T.-T., & Qiu, Z. (2015). Experimental and theoretical study on the effect of window films on building energy consumption. Energy and Buildings, 102, 129-138. doi: 10.1016/j.enbuild.2015.04.025
Liu, C., Yang, X., Chen, T., Zhang, J., Zhao, T., Li, X., & Xu, M. (2015). Operational electricity consumption analyze of vrf air conditioning sys-tem and centralized air conditioning system based on building energy monitoring and management system. Procedia Engineering, 121, 1856-1863. doi: 10.1016/j.proeng.2015.09.167
National Renewable Energy Laboratory [NREL]. (2019). Building component library. Retrieved from https://bcl.nrel.gov/
Pita, E. G. (2002). Air conditioning principles and systems (4th ed.). Trenton, NJ: Prentice Hall.
Procel & Eletrobras. (2011). Manual de sistemas de ar condicionado. Rio de Janeiro, RJ: Procel.
Quadri, N. (2001). Sistemas de aire acondicionado, calidad del aire interior. Buenos Aires, AR: Alsina.
Roméro, M. d. A., & Reis, L. B. d. (2012). Eficiência energética em edifícios. São Paulo, SP: Manole.
Sun, K., Hong, T., Zhu, D., Yu, X., & Yan, D. (2016). Comparative study of the cooling energy performance of variable refrigerant flow systems and variable air volume systems in office buildings. Applied Energy, 183, 725-736. doi: 10.1016/j.apenergy.2016.09.033
Wang, X., Wang, N., Liu, X., & Shi, R. (2017). Energy-saving analysis for the Modern Wing of the Art Institute of Chicago and green city strategies. Renewable and Sustainable Energy Reviews, 73, 714-729. doi: 10.1016/j.rser.2017.01.155
Zhou, Y. P., Wu, J. Y., Wang, R. Z., & Shiochi, S. (2007). Energy simulation in the variable refrigerant flow air-conditioning system under cooling conditions. Energy and Buildings, 39(2), 212-220. doi: 10.1016/j.enbuild.2006.06.005
Notas de autor
eng.melanie.gamarra@gmail.com