Soil Science and Plant Nutrition
Received: 16 March 2015
Accepted: 09 March 2016
DOI: 10.1590/0034-737X201663030018
ABSTRACT : The staple diet of most of the world population is provided by cereal, which present levels of iron (Fe) and zinc (Zn) below the nutritional demand of humans. Other factors that may substantially interfere for the low intake of Fe and Zn are the anti- nutritional factors present in the edible parts of plants, such as heavy metals and phytate. Hence, the objective of this study was to evaluate the genotypic variation in terms of yield (kg ha-1), plant height, insertion height of first pod, as well as concentrations of Fe, Zn, phosphorus (P) and the anti-nutrient phytate in grains of 24 soybean cultivars and to identify cultivars with potential for biofortification. The field experiment was conducted in Rio Verde, state of Goiás by the technological center of COMIGO. The experimental design used in the study was a randomized block design with 24 treatments and three replications. The results showed that there is genotypic variation for grain yield (kg ha-1), plant height, and insertion height of first pod, as well as for the concentrations of Zn, Fe, P and concentration of anti-nutient phytate in grains among the soybean cultivars. Non-significant or low correlations were found among the evaluated parameters except for the relationship between P and phytate (r=0.733). The diversity found among soybean cultivars offers genotypes such as 8197RR, M 7908RR and BRS 262 with potential to develop cultivars with better ability to accumulate nutrients in grains.
Key words: antinutrient, biofortification, Glycine max (L.) Merrill, micronutrients, nutritional quality.
RESUMO: A dieta básica de grande parte da população mundial é provida pelos cereais que, geralmente, apresentam teores de ferro (Fe) e zinco (Zn) aquém da demanda nutricional do homem. Outros fatores que podem contribuir, substancialmente, para a baixa ingestão de Fe e Zn são os fatores antinutricionais, presentes nas partes comestíveis das plantas, como os metais pesados e o fitato. Por essas razões, objetivou-se, com este trabalho, avaliar a variação genotípica quanto à produtividade de grãos (kg ha-1), à altura de plantas e à de inserção de primeira vagem, bem como aos teores de Fe, de Zn, de fósforo (P) e do antinutriente fitato nos grãos, de 24 cultivares de soja, além de detectar cultivares com potencial para biofortificação. O experimento de campo foi conduzido em Rio Verde, Goiás, pelo Centro Tecnológico da COMIGO. O delineamento experimental utilizado foi o de blocos ao acaso, com 24 tratamentos e três repetições. Os resultados mostraram que há variação genotípica para produtividade de grãos (kg ha-1), para alturas de plantas e de inserção de primeira vagem, bem como para os teores de Fe, Zn, P e do antinutriente fitato, nos grãos, entre os cultivares de soja. Verificaram-se correlações baixas ou não significativas entre as variáveis avaliadas, exceto para a relação entre P e fitato (r = 0,733). A diversidade encontrada entre os cultivares de soja oferece genótipos, como AS 8197RR, M 7908RR e FMS BRS 262, com potencial para desenvolver cultivares com maiores habilidades de acumular nutrientes em grãos.
Palavras-chave: biofortificação, antinutriente, micronutrientes, qualidade nutricional, Glycine max (L.) Merrill.
INTRODUCTION
The demand for food is increasing worldwide as the population has increased over the years. Thus, the agricultural sector needs to produce enough amount of food products to meet this demand. In addition, there is a growing demand for agricultural products of higher nutritional quality, in order to minimize the occurrence of nutritional deficiency. This nutritional deficiency in micronutrients such as iron (Fe) and zinc (Zn) have particularly affected, mainly in developing countries, pregnant women, adolescents and children (Mayer et al, 2008; Khush et al., 2012). It is estimated that more than 60% of the world population present Fe deficiency, and 30% or more present deficiency of Zn (White & Broadley, 2009; Souza et al., 2013).
Deficiency in Fe can cause nutritional anemia, problematic pregnancies, raquitism, and low resistance to infections, long-term mental impairment, decreased use and conversion of food energy and damages to the neuromotor development. Insufficient levels of zinc in the human body can cause growth retardation, delayed skeletal and sexual maturity, dermatitis, diarrhea, hair loss and damage to the immune system leading to increased susceptibility to infection (Welch, 2002). This is attributed to production of food in soils with low availability of these minerals to the plants and or diets based in foods with low levels of these minerals, generally low cost foods (for example, rice and cassava), and may be aggravated by the lack and, or, low intake of animal origin foods, which have higher levels of these micronutrients in their compositions (Cakmak, 2008; Velu et al., 2013).
Other factors that may substantially interfere in the low intake of Fe and Zn are the anti-nutritional factors, such as heavy metals and phytic acid (PA). Phytic acid (myo-inositol 1,2,3,4,5,6-hexakisphosphate) is the principal storage form of phosphorus (P) in seeds of cereals and legumes, which are staples all over the world. Phytic acid is about 50 to 85% of the total phosphorus in seeds (Thavarajah et al., 2010; Golam Masum Akond et al., 2011). Normally, PA is deposited during development of the seed as a mixture of Fe phytate salt, Zn, calcium (Ca), magnesium (Mg) and potassium (K) (Doria et al., 2009, Thavarajah et al. , 2010), but it can also be found complexed to proteins and in free form. In addition to binding to essential elements such as Fe and Zn in seeds, phityc acid also forms complexes with micronutrients in other foods during intestinal digestion (Thavarajah et al., 2010). The complex formed (phytate) by PA and mineral ions is insoluble, which greatly affects the bioavailability of minerals (Ma et al., 2005; Golam Masum Akond et al, 2011). Low concentrations of phytate in the edible parts of the plants have the potential to improve their nutritional value (Yuan et al., 2009).
To remedy this situation, it has been targeted the production of biofortified foods, which is the increase in concentration of nutrients in the edible parts of plants, through their introduction in fertilization and breeding, in order to meet the human needs. The use of intra- and interspecific genotypic variation in plant breeding, aimed at biofortification, has aroused much interest in view of the potential in applying it to improve the quality of food (Ríos et al., 2008; Khush et al., 2012).
Different species of plants as well as cultivars of the same species have different capacities to absorb, translocate and accumulate nutrients such as Zn, Fe and P. This capability may also be influenced by several factors related to the environment and to the adaptation of species (Gregorio et al., 2000; White & Broadley, 2009). It can be found in the literature, information from a wide genetic variability for nutrient content present in the edible parts of crops, but this variability also exists for contents of anti-nutrients, for example, phytates, and these variations are an important strategy for plant breeding aimed at biofortification (Rios et al., 2009; White & Broadley, 2009).
The selection of cultivars with higher mineral content and reduced levels of antinutritional factors, and favorable agronomical characteristics would eventually increase the bioavailability of minerals and thus, it would be possible to produce biofortified foods (Amarakoon et al., 2012). Soybean is a food considered to be relatively complete since it presents, in its composition, protein (42%), carbohydrates (33%), lipids (20%) and residue (5%), besides vitamins and minerals (Amaral, 2006 ). As a result, its enrichment with Fe and Zn would be an alternative to fight malnutrition.
Thus, the objective of this study was to evaluate the genotypic variation for agronomic characteristics and for the contents of Fe, Zn and P and anti-nutrient phytate in grains of 24 soybean cultivars in addition to identifying cultivars with potential to biofortification.
Material AND METHODS
Plant growth and nutrient analysis
The experiment was conducted in the municipality of Rio Verde, state of Goiás at the Technological Center of COMIGO (CTCo), located in the southwest of Goiás (17º46'03''S, 51º01'50'' W; 836 m above sea level). The soil of the experimental area was classified as Red Latosol, with a background of use for grain crops.
It was used a random block experimental design with 24 treatments, which were composed by three conventional soybean cultivars (FM/BRS262, FM/BRS283 and FM/BRS284) and 21 transgenic soybean cultivars (5G770 RR, ANTA 82 RR, AS7307RR, AS8197 RR, BRS 7561 RR, BRS 7760 RR, BRS 7860 RR, BRS 8160 RR, CD241 RR, FM/BRS245RR, IGRA 626 RR, IGRA 818 RR, M-7211 RR, M-7639 RR, M-7908 RR, NA 7255RR, NA 7337 RR, P98Y11 RR, P98Y12 RR, P98Y30 RR and SYN 9078 RR), with three replicates. Each plot consisted of nine rows spaced by 0.5 m with 10 m in length, totaling an area of 40 m2 per plot. The useful area for sampling was represented by seven central rows, not using 0.5 m of each end.
The fertilizer used at planting was 400 kg ha-1 of 02-20-18 formulated. The cultural practices were carried out according to CTCo protocol. Composite sample of soil was collected at 20 cm depth, to characterize the chemical and physical properties (Table 1), according to the methodology described by Souza et al., 2011. The rainfall during the experiment was 1,042 mm.

When soybean plants reached full maturity of grain, ten plants were collected from the useful area in each block, where plant height, insertion height of first pod were measured with metal tape measure in centimeters. The grain yield was determined at the end of the harvest and, moisture was standardized at 13%.
After the aforementioned evaluations, samples of plants were collected and taken to the Department of Soil Science at the Federal University of Lavras. For analysis of nutrients in the grain, samples were dried in an oven at 65°C to constant weight. Then, they were ground in a stainless steel Wiley type mill equipped with 0.38 mesh sieve and submitted to nitric-perchloric digestion for analysis of Fe, Zn and P as described by Malavolta et al., ( 1997). The reading of P was performed by colorimetry, and determination of Zn and Fe by submitting samples to extraction in microwave oven (CEM(r)), by the USEPA 3051ª method (U.S. Environmental Protection Agency - USEPA, 2007), using Tomato Leaves, NIST 1573rd as control.
Phytate analysis in the grains
The extraction was performed according to Nappi et al. (2006) with modifications. It was weighed 0.5 g of grain sample (13% moisture) ground (diameter ≤0.7mm) in a centrifuge tube and 10 mL of 0.5 M HCl were added, submitting this material to mechanical stirring for two hours under room temperature. After this period, the suspension was centrifuged at 1,500 rpm for 15 minutes and temperature at 10°C; subsequently a 2.5 mL aliquot of supernatant was taken, to which 22.5 mL of ultra-pure water was added, making up a total of 25 mL.
Samples were purified, using SAX column according to Nappi et al. (2006) with modifications. The 25 mL extract was transferred to the SAX column. Subsequently, the column was washed with 2 mL of ultra-pure water. Finally, the phytate was eluted with 2 mL 2M HCl and collected in centrifuge tubes.
Concentration of phytate was quantified according to Blair et al, 2012, with adaptations. The pH of the samples was adjusted to 3 with NaOH, and after this procedure, the eluate volume was completed to 3 mL with 2 mol L-1 HCl solution with pH equal to 3. Then, 1 mL of reagent Wade (0.03% FeCl3.6H2O and 0.3% sulfosalicylic acid in ultrapure water) was added to the solution, agitated in a vortex for five seconds, then allowed to rest for five minutes, and reading was performed in spectrophotometer at 500 nm using ultra-pure water for calibrating the apparatus.
Statistical analysis
Data were submitted to analysis of variance and means of treatments were compared by the test of Scott-Knott, at 5% of significance with the statistical program R development core team (2010), with which figures were constructed.
Set of data derived from agricultural experiments can be analyzed with specific techniques of bioinformatics, among them the Self-organizing Kohonen map. Commonly used in data clusters, this neural net proposes a classification for the input data. Based on their similarity, the network "analyzes" the sets of data presented, determines some of their properties and "learns" to reflect these properties in its output. The network uses patterns, regularities and correlations to group sets of data into classes. It converts the non-linear relationship of input data into simple geometric relationships between the points of its image, usually a grid or a two-dimensional lattice (Barbosa, 2011).
RESULTS AND DISCUSSION
Agronomic characteristics
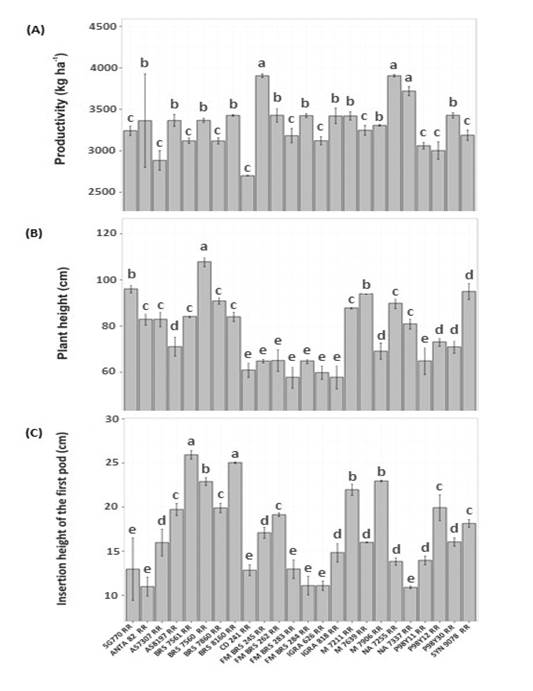
It is observed in Figure 1, a genotypic variation in grain yield (kg ha-1), height (cm) and the height of insertion of the first pod (cm) among the studied soybean cultivars.

The average grain yield of cultivars was 3,307 kg ha-1, ranging from 2,700 to 3,904 kg ha-1 (Figure 1A). The cultivars that presented the highest productivity were FM BRS 245 RR, NA IN 7255 RR and NA 7337 RR, being this variation of about 31%. Brazilian soybean productivity in 2014 was approximately 2,880 kg ha-1 (USDA, 2015).
In Figures 1B and 1C, it can be seen that the soybean plants exhibited an average height of 77 cm, varying from 58 to 108 cm, or 46% at the same time that the insertion height of the first pod varied from 11 to 26 with an average of 17 cm. However, the targeted soybean cultivars are those with higher yields, plant height of 60 to 80 cm and insertion height of the fist pod above 10 cm. Therefore, the most recommended cultivars are FM BRS 245 RR and NA 7337 RR. Plant height and first pod insertion height have direct and indirect effects on productivity because there is a tendency of higher plants and with shorter first pod insertion height to present higher number of pods. Plants taller than 80 cm and insertion of the first pod shorter than 10 cm may suffer losses during mechanical harvesting (Pires et al., 2012).
Concentrations of Fe, Zn, P and phytate
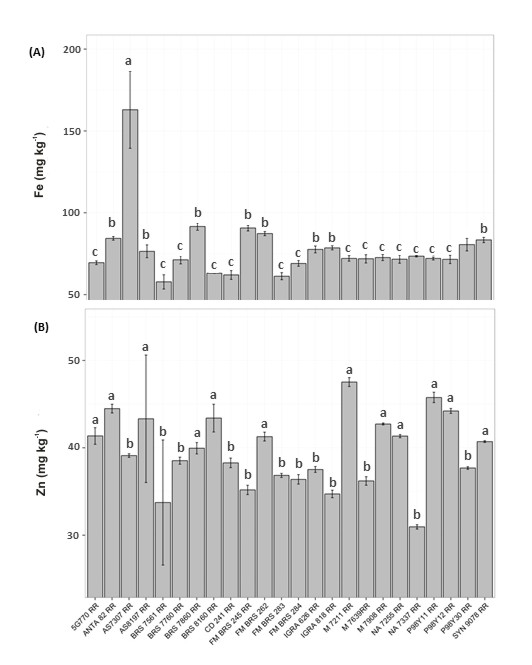
It is observed from Figures 2 and 3 that there was genotypic variation for the content of nutrients (Fe, Zn and P) and for the anti-nutrient phytate in grains of the soybean cultivars.
The average content of Fe found in grains of different soybean cultivars was 78 mg kg-1, with values varying by approximately 64%, from 58 to 163 mg kg-1 (Figure 2A), while the average content of Zn was 40 mg kg-1, ranging from 31 to 48 mg kg-1 (Figure 2B), that is, a difference of about 35% among cultivars. Wiersma & Moraghan (2013) found in soybeans an average content of Fe and Zn (70 and 34 mg kg-1) lower than those observed in this study, which may indicate that the values found in this study may promote biofortification.

For adequate Fe nutrition, for example, for women aged between 19 and 50, it is recommended an intake of 15 mg day-1 (Welch, 2002). The daily recommendation for zinc intake is 12 mg day-1 for adult women and 15 mg day-1 for adult men (Zou et al., 2014). The basic diet for a large portion of the world population is provided by cereals. It has been reported that cereals and vegetables are rich in minerals such as Fe and Zn, but the availability of these minerals is usually low because of the presence of anti-nutritional factors such as phytate(Cakmak, 2008; Velu et al., 2013).
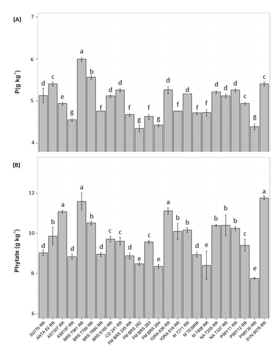
It was also evaluated the concentration of P in the soybean cultivars in the study because of the existence of a high correlation between the concentration of total P and phytate in seeds, as evidenced by Raboy et al., 1984; Raboy & Dickinson, 1993. It is noted in Figure 3 that among cultivars, genotypic variation in the phosphorus concentration in the grains was approximately 27% (from 4.35 to 6.00 g kg-1) with average values 4.99 g kg-1 of P in the grains.

The variation in phytate content of the grains among soybean cultivars was 7.7 to 11.8 g kg-1, where the variation of these values is 35%, and 10 g kg-1 is the average content of phytate (Figure 3B). The low phytate content found in grains of different soybean cultivars has the potential to improve their nutritional value (Yuan et al., 2009) so the results of this study provide information for this purpose.
Correlations among agronomic characteristics, nutrients and phytate
It is observed, in Table 2, low or no significant correlations among the evaluated variables, except for the relationship between P and phytate (r = 0.733), which is a value below those (r = 0.94) and (r = 0.99) found by Lolas et al., (1976), and Raboy et al., (1984) in soybean seeds. This relatively high correlation is possibly due to the fact that phytate represent 50-85% of total phosphorus in seeds (Thavarajah et al., 2010; Golam Masum Akond et al., 2011).

The low and non-significant correlations among the contents of phytate and Fe and Zn in soybean grains presented in this study (Table 2) are in agreement with what has been found in grains and seeds of many species such as sorghum (Reddy et al., 2005), beans (Cichy et al., 2005; Golam Masum Akond et al., 2011) and soybean (Raboy et al., 1984) as well.
The productive capacity of the edible parts of plants among the different genotypes and their influence on concentration of nutrients are extremely important when the objective is biofortification. In this study, despite being low and not significant, a negative correlation was found between grain yield and nutrient content (Table 2). According to White & Broadley (2009), recently, studies have focused on the effects of increased productivity, either by breeding or by agronomic practices, in the mineral concentrations in the product, which is usually the edible part of the plant, and a variety of studies have shown that concentrations of several minerals are low in most productive genotypes. However, this reduction in nutrient levels often coincides with the increase in the weight of dry mass of grain, concluding that, in great part, this decrease may be derived from the "dilution effect" (Faquin, 2005).
One can cite the low and negative correlation found between seed yield and Fe and Zn concentrations in sorghum genotypes (Reddy et al., 2005). In wheat crop, for example, many authors report similar and negative relationship between the concentrations of Fe, Zn, Mg, Se and P, with the productivity of grains observed among genotypes (Monasterio & Graham, 2000; Garvin et al., 2006; McDonald et al, 2008); although this relationship is strongly influenced by the environment. However, not always negative correlation between the contraction of edible parts of nutrient and productivity is observed among genotypes of crop plants (White & Broadley, 2009).
Identification of cultivars with potential for biofortication
Overall, it can be noted the existing variabididade among 24 soybean cultivars for agronomic characteristics, nutrient content and of anti-nutrients, so information can be provided for the selection of genetic material for biofortification purposes. It is known that the 'ideal' cultivar for Biofortification purposes is one that has high levels of micronutrients such as Fe and Zn, and low anti-nutrients content (for example, phytate), and also presents desirable agronomic characteristics. There is a high ratio between the total concentration of P and the antinutrient phytate in seeds (Raboy et al., 1984). In this context, it is necessary to use tools that enable the evaluation of these variables, concomitant for selection of cultivars with potential for biofortification.
Thus, it is observed, in Figure 4, that when evaluating simultaneously the genotypic variation among soybean cultivars for agronomic characteristics (yield, plant height, insertion height of the first pod) and for the nutrient content (Fe, Zn and P) and antinutrient phytate, it was possible to identify three soybean cultivars that best meet the above mentioned requirements and, hence, have the potential for biofortification, which are these two transgenic soybean cultivars Roundup Ready(r) (AS 8197RR and M 7908RR) and a conventional soybean (FMS BRS 262.

Conclusions
Variability occurs in yield (kg ha-1), plant height, insertion height of the first pod, as well as for the contents of iron, zinc, phosphorus and anti-nutrient phytate in the grains among the 24 soybean cultivars.
Considering grain yield (kg ha-1), plant height, insertion height of the first pod, concentrations of iron, zinc, phosphorus and antinutrient phytate in grains, simultaneously, cultivars AS 8197RR, M 7908RR and BRS 262 FMS were more suitable for biofortification.
ACKNOWLEDGEMENTS
The authors thank CNPq, CAPES, FAPEMIG and EMBRAPA, for granting scholarship and for the financial support. To Centro Tecnológico of COMIGO and EMBRAPA, for granting materials and sharing important information for the realization of this study and also for the partnership in the research, mainly field work.
References
Amarakoon D, Thavarajah D, McPhee K & Thavarajah P (2012) Iron-, zinc-, and magnesium-rich field peas (Pisum sativum L.) with naturally low phytic acid: A potential food-based solution to global micronutrient malnutrition. Journal of Food Composition and Analysis, 27:08-13.
Amaral VMG (2006) A importância da soja como alimento funcional para qualidade de vida e saúde. Dissertação de Mestrado. Universidade Estadual de Campinas, Campinas. 71p.
Barbosa CD (2011) Rede neural artificial aplicada à agricultura. Vértices, 13:161-170.
Blair MW, Herrera AL, Sandoval TA, Caldas GV, Filleppi M & Sparvoli F (2012) Inheritance of seed phytate and phosphorus levels in common bean (Phaseolus vulgaris L.) and association with newly-mapped candidate genes. Molecular Breeding, 30:1265-1277.
Cakmak I (2008) Enrichment of cereal grains with zinc: agronomic or genetic biofortification? Plant and Soil, 302:01-17.
Cichy KA, Forster S, Grafton KF & Hosfield GL (2005) Inheritance of seed zinc accumulation in navy bean. Crop Science, 45:864-870.
Doria E, Galleschi L, Calucci L, Pinzino C, Pilu R, Cassani E & Nielsen E (2009) Phytic acid prevents oxidative stress in seeds: evidence from a maize (Zea mays L.) low phytic acid mutant. Journal of Experimental Botany, 60:967-78.
Faquin V (2005) Nutrição mineral de plantas. Lavras, UFLA/FAEPE. 183p.
Garvin DF, Welch RM & Finley JW (2006) Historical shifts in the seed mineral micronutrient concentration of US hard red winter wheat germplasm. Journal of the Science of Food and Agriculture, 86:2213-2220.
Golam Masum Akond ASM, Crawford H, Berthold J, Talukder ZI & Hossain K (2011) Minerals Zn Fe Ca and Mg and antinutrient (Phytic Acid) constituents in common bean. Journal of Food Techonology, 6:235-243.
Gregorio GB, Senadhira D, Htut H & Graham RD (2000) Breeding for trace mineral density in rice. Food and Nutrition Bulletin, 21:382-386.
Khush GS, Lee S, Cho JI & Jeon JS (2012) Biofortification of crops for reducing malnutrition. Plant Biotechnology Reports, 6:195-202.
Lolas GM, Palamidis N & Markakis P (1976) The phytic acid-total phosphorus relationship in barley, oats, soybeans, and wheat. Ceral Chemistry, 53:867-871.
Ma G, Jin Y, Piao J, Kok F, Guusje B & Jacobsen E (2005) Phytate, calcium, iron, and zinc contents and their molar ratios in foods commonly consumed in China. Journal of Agricultural and Food Chemistry, 53:10285-10290.
Malavolta E, Vitti GC & Oliveira SA (1997) Avaliação do estado nutricional das plantas: princípios e aplicações. 2a ed. Piracicaba, Potafós. 319p.
Mayer JE, Pfeiffer WH & Beyer P (2008) Biofortified crops to alleviate micronutrient malnutrition. Current Opinion in Plant Biology, 11:166-170.
Mcdonald GK, Genc Y & Graham RD (2008) A simple method to evaluate genetic variation in grain zinc concentration by correcting for differences in grain yield. Plant Soil, 306:49-55.
Monasterio I & Graham RD (2000) Breeding for trace minerals in wheat. Food and Nutrition Bulletin , 21:392-396.
Nappi GU, Ribeiro-Cunha MR, Coelho JV & Jokl L (2006) Validação de métodos para determinação dos ácidos fítíco e oxálico em multimistura. Ciência Tecnologia Alimentos, 26:811-820.
Pires LPM, Peluzio JM, Cancellier LL, Ribeiro GR, Colombo GA & Afférri FS (2012) Desempenho de genótipos de soja, cultivados na região centro-sul do estado do tocantins, safra 2009/2010. Bioscience Journal, 28:214-223.
R development core team (2010) R: A Language and enviroment for statistical computing. Vienna, R Foundation for Statistical Computing. Disponível em: <Disponível em: http://www.r-project.org >. Acessado em: 17 de fevereiro de 2015.
Raboy V & Dickinson DB (1993) Phytic acid levels in seeds of Glycine max and G . soja by phosphorus status. Crop Science , 33:1300-1305.
Raboy V, Dickinson DB & Below FE (1984) Variation in seed total phosphorus, phytic acid, zinc, calcium, magnesium, and protein among lines of Glycine max and G. soja. Crop Science , 24:431-434.
Reddy BV, Ramesh S & Longvah T (2005) Prospects of breeding for micronutrients and β -carotene-dense sorghums. In: International Sorghum and Millets Newsletter, Italy. Anais, SICNA/ICRISAT. p. 10-14.
Ríos JJ, Rosales MA, Blasco B, Cervilla LM, Romero L & Ruiz J M (2008) Biofortification of Se and induction of the antioxidant capacity in lettuce plants. Scientia Horticulturae, 116:248-255.
Rios SDA, Alves KR, Maria N & Costa B (2009) Biofortificação: culturas enriquecidas com micronutrientes pelo melhoramento genético. Revista Ceres, 56:713-718.
Souza GA, Carvalho JG, Rutzke M, Albrecht JC, Guilherme LRG & Li L (2013) Evaluation of germplasm effect on Fe, Zn and Se content in wheat seedlings. Plant Science: An International Journal of Experimental Plant Biology, 210:206-213.
Souza RF, Ávila FW, Faquin V, Aziz A, Pozza A, Carvalho JG & Evangelista AR (2011) Carbonate-silicate ratio for soil correction and influence on nutrition, biomass production and quality of palisade grass. Scientia Agricola, 68:526-534.
Thavarajah D, Thavarajah P, See C & Vandenberg A (2010) Phytic acid and Fe and Zn concentration in lentil (Lens culinaris L.) seeds is influenced by temperature during seed filling period. Food Chemistry, 122:254-259.
USEPA - U.S. Environmental Protection Agency (2007) Microwave assisted acid digestion of sediments, sludges, soils, and oils. Disponível em: <Disponível em: https://www.epa.gov/sites/production/files/2015-12/documents/3051a.pdf >. Acessado em: 02 de fevereiro de 2015.
USDA - United States Department of Agricultur (2015) World agricultural production. Disponível em: <Disponível em: http://apps.fas.usda.gov/psdonline/circulars/production.pdf >. Acessado em: 02 de fevereiro de 2015.
Velu G, Ortiz-Monasterio I, Cakmak I, Hao Y & Singh RP (2013) Biofortification strategies to increase grain zinc and iron concentrations in wheat. Journal of Cereal Science, 59:365-372.
Welch RM (2002) The impact of mineral nutrients in food crops on global human health. Plant and Soil , 247:83-90.
White PJ & Broadley MR (2009) Biofortification of crops with seven mineral elements often lacking in. New Phytologist, 182:49-84.
Wiersma JV & Moraghan JT (2013) Within-seed distribution of selected mineral elements among soybean genotypes that vary in iron efficiency. Crop Science , 53:2051-2062.
Yuan FJ, Zhu DH, Deng B, Fu XJ, Dong DK, Zhu SL & Shu QY (2009) Effects of two low phytic acid mutations on seed quality and nutritional traits in soybean (Glycine max L. Merr). Journal of Agricultural and Food Chemistry , 57:3632-3638.
Zou T, Xu N, Hu G, Pang J & Xu H (2014) Biofortification of soybean sprouts with zinc and bioaccessibility of zinc in the sprouts. Journal of the Science of Food and Agriculture , 94:3053-3060.
Author notes
*Corresponding author: nilmaportelaoliveira@gmail.com