ARTÍCULOS ORIGINALES
Utilidad de diferentes puntajes de riesgo de mortalidad en pacientes con insuficiencia cardíaca. Estudio observacional retrospectivo
Usefulness of Different Mortality Risk Scores in Patients with Heart Failure. A Retrospective and Observational Study
Utilidad de diferentes puntajes de riesgo de mortalidad en pacientes con insuficiencia cardíaca. Estudio observacional retrospectivo
Revista Argentina de Cardiología, vol. 86, núm. 5, pp. 338-344, 2018
Sociedad Argentina de Cardiología

Recepción: 18 Mayo 2018
Aprobación: 08 Julio 2018
Resumen:
Introducción: El Cardiac and Comorbid Conditions Heart Failure (3C-HF) y el Meta-Analysis Global Groupin Chronic Heart Failure (MAGGIC) son dos sistemas de puntaje desarrollados para predecir la mortalidad en pacientes con insuficiencia cardíaca (IC). El desempeño de estos puntajes ha sido poco estudiado en nuestro medio.
Objetivo: Evaluar el desempeño del 3C-HF y del MAGGIC para predecir la mortalidad al año en una población de pacientes con IC.
Material y métodos: Se incluyeron pacientes con diagnóstico de IC ambulatorios y dados de alta luego de una internación por IC aguda atendidos en dos centros.Se calcularon los puntajes 3C-HF y MAGGIC. Se evaluó como punto final la mortalidad global al año. La capacidad de discriminación de estos puntajes se analizó a partir del cálculo del área bajo la curva (ABC) ROC, y la calidad de su calibración, aplicando el test de Hosmer-Lemeshow. Se compararon ambas ABC mediante el test de Hanley-Mc Neil.
Resultados: Se incluyeron 704 pacientes con una edad promedio de 73 ± 11 años, el 39,6% eran mujeres.La mortalidad al año fue del 12,4% (n = 87). Ambos puntajes fueron predictores independientes de mortalidad, con HR de 1,03 (IC95%1,008-1,06; p = 0,02) y 1,08 (IC95% 1,02-1,13; p = 0,004) para el puntaje 3C-HF y el MAGGIC, respectivamente. El 3C-HF presentó un ABC de 0,70 (IC95% 0,64-0,75) y el MAGGIC de 0,67 (IC95% 0,61-0,73), sin diferencias entre las ABC (p = 0,41). Ambos presentaron adecuada calibración (p = 0,06 y p = 0,32, respectivamente).
Conclusión: Los puntajes 3C-HF y MAGGIC fueron predictores de mortalidad a un año, con una moderada capacidad de discriminar eventos y una adecuada calibración. No hubo diferencias en la capacidad de discriminación entre ambos puntajes.
Palabras clave: Insuficiencia cardíaca, Pronóstico, Medición de riesgo.
Abstract:
Background: The Cardiac and Comorbid Conditions Heart Failure (3C-HF) and the Meta-Analysis Global Group in Chronic Heart Failure (MAGGIC) are two score models developed to predict mortality in patients with heart failure (HF). The performance of these scores has been little studied in our setting.
Objective: The aim of this study was to assess the performance of the 3C-HF and the MAGGIC scores to predict one-year mortality in a population of patients with HF.
Methods: Ambulatory HF patients discharged after hospitalization due to acute HF in two centers were included in the study. The 3C-HF and MAGGIC scores were calculated and one-year mortality was the study endpoint. The discrimination ability of the scores was analyzed from the calculated area under the ROC curve and their calibration quality was assessed applying the Hosmer-Lemeshow test. Both areas under the ROC curve were compared using the Hanley-McNeil test.
Results: A total of 704 patients with mean age of 73±11 years and 39.6% women were included in the study. One-yearmortality was 12.4% (n=87). Both scores were independent predictors of mortality, with HR of 1.03 (95% CI 1.008-1.06; p=0.02) and 1.08 (95% CI 1.02-1.13; p=0.004) for the 3C-HF and MAGGIC scores, respectively. The area under the ROC curve for the 3C-HF score was 0.70 (95% CI 0.64-0.75) and for the MAGGIC score 0.67 (95% CI 0.61-0.73), without significant differences between them (p=0.41). Both scores presented adequate calibration (p=0.06 and p=0.32, respectively).
Conclusion: The 3C-HF and MAGGIC scores were predictors of one-year mortality, with a moderate ability to discriminate events and adequate calibration. The discrimination ability between both scores was not significant.
Keywords: Heart failure, Prognosis, Risk Assessment.
INTRODUCCIÓN
A pesar de los importantes avances en el tratamiento de la insuficiencia cardíaca (IC), esta afección continúa presentando una elevada morbimortalidad. Su prevalencia viene creciendo en las últimas décadas y se estima que el 1-2% de la población general padece algún grado de IC. (1) La mortalidad anual de la IC en diferentes estudios poblacionales y registros varía entre 10% y 40%. (2, 3, 4,5) Ante esta variabilidad, establecer el pronóstico de cada paciente individual es importante para guiar el tratamiento y el seguimiento.
Se han identificado numerosos factores que se asocian a un peor pronóstico entre los que se destacan la edad avanzada; la clase funcional de la New York Heart Association (CF); la presencia de insuficiencia renal asociada, de diabetes y de enfermedad coronaria; la fracción de eyección del ventrículo izquierdo (FE); entre otros. En los últimos años se han desarrollado varios modelos de riesgo para predecir el pronóstico en la IC. (2, 3, 6, 7, 8, 9)
El Cardiac and Comorbid Conditions Heart Failure (3C-HF) (9) es un puntaje desarrollado a partir de una cohorte de pacientes tanto ambulatorios como internados en unidades de cardiología y clínica médica.Se basa en variables clínicas que se obtienen rutinariamente de la historia clínicay tuvo buen desempeño para predecir la mortalidad al año en la cohorte de validación. Por otro lado, el Meta-Analysis Global Group in Chronic Heart Failure (MAGGIC) (8)es un puntaje desarrollado a partir de datos individuales de casi 40.000 pacientes enrolados en 30 estudios, entre los que había ensayos clínicos aleatorizados y estudios observacionales. Este puntaje presentó un buen desempeño para predecir la mortalidad al año y a los 3 años; ha sido validado con una gran cohorte de más de 50.000 pacientes(10) y es uno de los modelos de riesgo más utilizados. El desempeño de estos puntajes ha sido poco estudiado en nuestro medio.
El objetivo del presente trabajo fue evaluar el desempeño de ambos puntajes para predecir la mortalidad al año en una cohorte de pacientes con insuficiencia cardíaca en dos centros de la República Argentina.
MATERIAL Y MÉTODOS
Se incluyeron pacientes con diagnóstico de IC al alta de una internación por IC aguda y ambulatorios, tomados de un registro de dos centros de la Ciudad de Buenos Aires que cubría el período enero de 2012 a junio de 2017. El cálculo de los puntajes se realizó utilizando los algoritmos disponibles en línea en http://www.heartfailurerisk.org/ (MAGGIC) y http://www.3chf.org/site/index.php (3C-HF). (8, 9) Para calcular el puntaje MAGGIC, los datos se obtuvieron en forma retrospectiva de 340 pacientes incluidos entre julio de 2012 y julio de 2014; los datos de los pacientes restantes se analizaron en forma prospectiva. Se determinó el puntaje y el riesgo predicho de mortalidad al año según se informa en los calculadores en línea. El cálculo del puntaje 3C-HF se realizó en forma retrospectiva en la totalidad de los pacientes. Se estableció el puntaje aditivo(en adelante, “puntaje”) a partir del algoritmo disponible en http://www.3chf.org/site/additive.php y el puntaje logístico, donde se establece el riesgo de mortalidad al año, con el correspondiente algoritmo (http://www.3chf.org/site/logistic.php).
El seguimiento se realizó en forma telefónica o mediante controles médicos programados. Se consideró el punto primario de muerte por cualquier causa al año de seguimiento.
Variables de los puntajes
El puntaje MAGGIC (8) considera las siguientes variables: edad, sexo, fracción de eyección del ventrículo izquierdo (FE), presión arterial sistólica (PAS), índice de masa corporal(IMC), clase funcional de la New York Heart Association (CF), creatininemia, diagnóstico de enfermedad pulmonar obstructiva crónica (EPOC), tabaquismo actual, uso de fármacos inhibidores de la enzima convertidora de angiotensina II (IECA) o del receptor de la angiotensina II (ARA) y de betabloqueantes (BB), y el diagnóstico de IC en los últimos18 meses.
El puntaje 3C-HF (9) toma en cuenta las siguientes variables: edad,CF >III-IV, FE < o > 20%, valvulopatía grave, no uso de IECA/ARA o de BB, antecedente de fibrilación auricular (FA), insuficiencia renal crónica (definida como creatininemia > 2 mg/dL), diabetes con daño órgano blanco (diabetes con retinopatía, neuropatía, nefropatía, enfermedad coronaria o vascular periférica), anemia (definida como hemoglobina < 11 g/dL) e hipertensión arterial(definida como PA > 140/90mm Hg). Esta última variable resta puntaje por considerarse factor asociado a mejor pronóstico. En el caso del puntaje logístico, la creatininemia y la FE intervienen como variables continuas.
Análisis estadístico
Las variables continuas se expresan como media ± desvío estándar y las categóricas como porcentaje. Para las comparaciones entre los grupos que presentaron el evento (mortalidad) respecto de los queno lo presentaron en lo referido a variables continuas, se utilizó el test t de Student si la distribución era normal y el test de Mann-Whitney cuando la distribución no era normal. Las variables categóricas se compararon mediante el test de chi cuadrado o exacto de Fisher,si alguna variable presentaba frecuencia < 5.
Se realizó el análisis univariado mediante regresión Cox utilizando la mortalidad global como variable dependiente y cada puntaje como variable independiente. En una etapa posterior se realizó un análisis multivariado explorando ambos puntajes simultáneamente en un modelo de regresión Cox. El puntaje MAGGIC se analizó como variable continua y dividido en los 6 grupos de riesgo definidos en el trabajo original: 1 (0 a 16), 2 (17 a 20), 3 (21 a 24), 4 (25 a 28), 5 (29 a 32) y 6 (≥ 33). A su vez, el 3C-HF se analizó como variable continua y dividido en los 8 grupos definidos en el trabajo original: < 5, entre 5 y 8, entre 9 y 11, entre 12 y 15, entre 16 y 19, entre 20 y 24, entre 25 y 31, y > 31.
Para valorar la calibración de ambos modelos de riesgo, se utilizó la prueba de bondad de ajuste de Hosmer Lemeshow, la cual determina cuánto se acerca la incidencia predicha de eventos a la incidencia observada. Un valor de p >0,05 define una adecuada calibración entre la mortalidad predicha y la encontrada.
A fin de determinar el poder de discriminación de ambos puntajes, se construyeron las curvas ROC (receiver operating characteristic) para establecer el área bajo la curva(ABC) con su correspondiente intervalo de confianza del 95% (IC95%). Se compararon las ABC de ambospuntajes mediante el test de Hanley-Mc Neil.
Por último, se realizó el análisis de sobrevida mediante el método de Kaplan-Meier aplicando ambos puntajes como variables dicotomizadas, utilizando el punto de corte obtenido mediante el análisis de la curva ROC. Se consideró significativo un valor de p< 0,05. Para el análisis se utilizó el software Statistix 7 y Med Calc versión 17.9.2.
Consideraciones éticas
protocolo
El protocolo fue evaluado y aprobado por el Comité de Ética Institucional
RESULTADOS
De 815 pacientes, 111 fueron excluidos por no disponerse de ciertos datos necesarios para el cálculode los
puntajes, por lo que finalmente se incluyeron un total de 704 pacientes, 350 de ellos habían sido dados de alta luego de una hospitalización y 354 eran pacientes ambulatorios. La edad promedio fue de 73 ± 11 años y el 39,6% fueron mujeres. El 52,2% de los pacientes (n = 367) presentó IC con fracción de eyección reducida (IC-FEr); el 27,3% (n = 192), IC con fracción de eyección conservada (IC-FEc), y el 20,6% (n = 145), IC con fracción de eyección intermedia (IC-FEi). El 32,6% (n=230) presentó etiología isquémico-necrótica. Las variables con las que se calcularon los puntajes se muestran en la Tabla 1.
| Variable | Total (n = 704) | Con evento (n = 87) | Sin evento (n = 617) | p |
| Edad (años) | 73 ± 11 | 78 ± 9 | 72 ±11 | < 0,001 |
| Mujeres - n (%) | 281 (39,6) | 28 (32,1) | 253 (41) | 0,114 |
| HTA - n (%) | 580 (82,3) | 75 (86,2) | 505 (81,8) | 0,132 |
| Diabetes mellitus (DM) n (%) | 171 (24,3) | 20 (22,9) | 151 (24,4) | 0,782 |
| DM con daño de órgano blanco - n (%) | 130 (18,4) | 16 (18,3) | 114 (18,4) | 0,872 |
| Tabaquismo actual - n (%) | 96 (13,6) | 14 (16) | 82 (13,2) | 0,498 |
| Fibrilación auricular - n (%) | 224 (31,8) | 32 (36,7) | 192 (31,1) | 0,212 |
| EPOC - n (%) | 75 (10,7) | 7 (8,0) | 68 (11,0) | 0,321 |
| Valvulopatía grave - n (%) | 96 (13,6) | 22 (25,2) | 74 (11,9) | < 0,001 |
| Clase funcional - n (%) | 0,006 | |||
| I | 180 (25,5) | 8 (9,1) | 172 (27,8) | |
| II | 408 (57,9) | 47 (55,1) | 361 (58,5) | |
| III | 111 (15,7) | 27 (31,0) | 84 (13,6) | |
| IV | 5 (0,9) | 5 (5,7) | 0 (0) | |
| PAS (mm Hg) | 113 ± 16 | 111 ± 18 | 116 ± 16 | 0,223 |
| Hematocrito (%) | 38 ± 6 | 36 ± 5 | 39 ± 6 | < 0,001 |
| Hemoglobina (mg/dL) | 12,6 ± 2,0 | 11,9 ± 1,6 | 12,7 ± 0,7 | 0,001 |
| Creatinina (mg/dL) | 1,32 ± 0,8 | 1,63 ± 1,1 | 1,28 ± 0,7 | < 0,001 |
| Creatinina > 2 mg/dL -n (%) | 67 (9,5) | 22 (25,2) | 45 (7,3) | < 0,001 |
| FE (%) | 40 ± 15 | 35 ± 10 | 41 ± 15 | 0,001 |
| FE < 20% n (%) | 57 (8) | 10 (11,5) | 47 (7,6) | 0,348 |
| Clasificación IC por FE - n (%) | 0,006 | |||
| IC-FEc (FE ≥ 50%) | 192 (27,3) | 13 (15) | 179 (29,0) | |
| IC-FEi (FE 40-49%) | 145 (20,6) | 24 (27,6) | 121 (19,6) | |
| IC-FEr (FE <40%) | 367 (52,2) | 50 (57,4) | 317 (51,3) | |
| Tratamiento: n (%) | ||||
| IECA/ARA | 603 (85,7) | 57 (65,5) | 513 (83,1) | < 0,001 |
| Betabloqueantes | 570 (81,2) | 72 (82,7) | 531 (86,0) | 0,487 |
| Puntaje 3C-HF | 14 ± 6 | 20,5 ± 9 | 14,1 ± 9 | < 0,001 |
| Mortalidad predicha (%) | 10,6 ± 8,9 | |||
| Puntaje MAGGIC | 20,4 ± 9 | 24,1 ± 6 | 19,9 ± 6 | < 0,001 |
| Mortalidad predicha (%) | 12,2 ± 8,5 |
HTA: hipertensión arterial. EPOC: Enfermedad pulmonar obstructiva crónica. FE: fracción de eyección del ventrículo izquierdo. PAS: presión arterial sistólica. IC-FEc: insuficiencia cardíaca con FE conservada; IC-FEi: insuficiencia cardíaca con FE intermedia; IC-FEr: insuficiencia cardíaca con FE reducida. IECA: inhibidores de la enzima de conversión de la angiotensina. ARA: inhibidores del receptor de la angiotensina II.
La mortalidad al año fue del 12,4% (87 pacientes). Los pacientes que fallecieron fueron más añosos (78 ± 9 años,frente a 73 ± 11 años, p<0,001) y presentaron menor hematocrito (36 ± 5%, versus 39 ± 6%, p < 0,001),menor Hb (11,9± 1,6 g/dL, contra 12,7± 2 g/dL, p = 0,001),mayor creatininemia (1,63 ± 1,1 mg/dL, versus 1,28 ± 0,7 mg/dL, p = 0,004) y menor FE (35 ± 10%, contra 41 ± 15%, p = 0,001). Por otro lado, presentaron mayor prevalencia de valvulopatía grave (25,2%,versus 11,9%, p = 0,007)y de CF III-IV (36,7%, frente a 13,6%, p < 0,001).Con respecto a los puntajes de riesgo, ambos fueron mayores en el grupo de pacientes que fallecieron durante el seguimiento (3C-HF: 20,5 ± 9, contra 14,1±6, p < 0,001; MAGGIC: 24,2 ± 6, versus 19,9 ± 6, p < 0,001)
En la Tabla 2 se muestra el análisis univariado y multivariado. Ambos puntajes fueron predictores independientes de mortalidad, con un HR de 1,03 (IC95% 1,008-1,06; p = 0,021)y de 1,08 (IC95% 1,02-1,13; p=0,004) para los puntajes 3C-HF y MAGGIC, respectivamente.
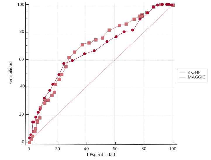
El puntaje 3C-HF presentó un ABC de 0,70 (IC95% 0,64-0,75) y el MAGGIC de 0,67 (0,61-0,73). No hubo diferencias entre ambos puntajes (p = 0,410).Ver Figura 1. Ambos puntajes presentaron adecuada calibración entre la mortalidad predicha y la encontrada: el test de Hosmer-Lemeshow para el puntaje3C-HF mostró un valor p = 0,065; para el MAGGIC, p = 0,322. En la Figura 2 se muestra la mortalidad predicha y la encontrada para los grupos de riesgo definidos mediante ambos puntajes.
Del análisis de la curva ROC se encontró para el 3CHF un punto de corte >15 y para el MAGGIC > 23, con HR ajustadas de 2,71 y 2,62, respectivamente (p < 0,001). En la Figura 3 se muestran las curvas de Kaplan-Meier para ambos puntajesncomo variables dicotomizadas.
| HR | IC95% | Univariado p | HR | Bivariado IC95% | P | |
| MAGGIC (continuo) | 1,12 | 1,07-1,16 | < 0,001 | 1,08 | 1,02-1,13 | 0,004 |
| Grupos de riesgo | 1,53 | 1,31-1,79 | < 0,001 | 1,25 | 1,02-1,60 | 0,021 |
| 3C-HF (continuo) | 1,06 | 1,04-1,09 | < 0,001 | 1,03 | 1,008-1,06 | 0,022 |
| Grupos de riesgo | 1,51 | 1,30-1,74 | < 0,001 | 1,33 | 1,11-1,52 | 0,001 |
Regresión Cox.


A. Grupo 1: <5, grupo 2: entre 5 y 8, grupo 3: entre 9 y 11, grupo 4: entre 12 y 15, grupo 5: entre 16 y 19, grupo 6: entre 20 y 24, grupo 7: entre 25 y 31, grupo 8: > 31. Puede observarse una tendencia a subestimar la mortalidad en los grupos 1, 2,5 y 6 y a sobre estimarla en el grupo de mayor riesgo.
B. Grupo 1 (0 a 16), grupo 2 (17 a 20), grupo 3 (21 a 24), grupo 4 (25 a 28), grupo 5 (29 a 32), grupo 6 ( 33). La mortalidad encontrada es similar al comparar los primeros 3 grupos de riesgo; a partir del grupo 4, la mortalidad encontrada se eleva considerablemente.

DISCUSIÓN
En el presente trabajo evaluamos el desempeño de los puntajes de riesgo 3C-HF y MAGGIC en una población de pacientes de dos centros de la República Argentina. Encontramos que ambos puntajes presentaron un modesto desempeño para predecir la mortalidad al año de seguimiento, con una adecuada calibración.
El 3C-HF (9) fue elaborado a partir de una cohorte de más de 6000 pacientes seguidos tanto en servicios de cardiología como de clínica médica, e incluye variables que son obtenidas de rutina al examinar a los pacientes cotidianamente. Una virtud de este registro es que incluyó sujetos evaluados tanto por médicos cardiólogos como por clínicos, internados y ambulatorios, lo que supone una población representativa de lo que los médicos asistenciales vemos a diario (lo que se llama “mundo real”). En la cohorte de validación, el puntaje aditivo presentó un ABC de 0,82, con una excelente capacidad de discriminación para el punto de mortalidad y trasplante de urgencia al año. Prácticamente la totalidad de los 759 eventos registrados fueron muertes,ya que solo 9 pacientes fueron trasplantados.
Luego de su publicación en 2013, hemos encontrado pocos trabajos que hayan evaluado el puntaje 3C-HF. Le Rovere et al.(11) evaluaron si la caminata de 6 minutos al alta de pacientes con IC agregaba valor predictivo al 3C-HF y al MAGGIC. Estos autores incluyeron 550 pacientes dados de alta luego de una internación por IC aguda, y la capacidad predictiva del 3C-HF solo fue de 0,75; al agregar la caminata de 6 minutos,se elevó a 0,79. Recientemente, Arzilli et al. (12) evaluaron el 3C-HF en una cohorte de más de 2000 pacientes ambulatorios con IC crónica, y encontraron una capacidad de discriminación similar (0,74). Nosotros encontramos que el 3C-HF presenta una moderada capacidad predictiva, con un ABC de 0,70, valor inferior al reportado en el trabajo original, así como en los posteriores. La calibración entre la mortalidad predicha y la finalmente encontrada fue aceptable, aunque con un valor de p muy cercano al límite de la significación (p = 0,065). Observamos una tendencia a subestimar la mortalidad global (la predicha fue del 10,6% y la encontrada fue del 12,4%). Esto se vio en los grupos de bajo riesgo(grupos 1 y 2) y más marcadamente en los de riesgo intermedio a alto (grupos 5 y 6), mientras que en los grupos de mayor riesgo,la tendencia fue a la sobrestimación (Figura 2A). Esto, sumado a la significación limítrofe ya mencionada, pone en duda la utilidad de este puntaje en nuestra población. Por otro lado, encontramos que un 3C-HF > 15 implica un riesgo de mortalidad aumentado en más de 2,5 veces.
Incluimos pacientes tanto dados de alta luego de una internación por IC como ambulatorios, tal como aquellos incluidos para el desarrollo de ambos puntajes. (8, 9) La edad promedio de nuestros pacientes fue de 73 años, algo mayor que la encontrada en las cohortes con las que se elaboraron ambos puntajes, ya que tanto en la cohorte de derivación como en la de validación, la edad no superaba los 70 años promedio. Sin embargo, la edad de nuestros pacientes fue similar a la encontrada en diferentes registros de IC. (10,13,14)
El MAGGIC (8) fue desarrollado a partir de datos de casi 40.000 pacientes de 30 estudios, 6 ensayos clínicos aleatorizados y 24 observacionales, para predecir mortalidad al año y a los 3 años. Las variables incluidas también son obtenidas rutinariamente en la evaluación de los pacientes. La mayoría de estas coinciden en ambos sistemas de puntaje. Los estudios que aportaron la mayoría de los pacientes fueron realizados en la década de los 90, antes del desarrollo y la generalización de tratamientos que impactaron en la tasa de mortalidad. Sin embargo,fue validado en una cohorte externa de más de 50.000 pacientes del registro sueco de IC reclutados entre 2000 y 2012, (10) en la que presentó una buena capacidad de discriminación tanto para predecir la mortalidad a 3 años (ABC= 0,74) como al año (ABC = 0,76). (15) También fue utilizado en un subestudio del PARADIGM,para evaluar el impacto del valsartán/sacubitril comparado con el del enalapril en diferentes grupos de riesgo.(16) Una de las principales ventajas atribuidas al MAGGIC es que fue elaborado a partir de una cohorte de grandes dimensiones, incluyendo una amplia variedad de pacientes. Todo esto hace que sea uno de los puntajes más utilizados.
En nuestra población, el MAGGIC presentó una discriminación modesta (ABC = 0,67), inferior a la reportada previamente. (10,11)Allen et al. (17) encontraron una capacidad predictiva similar a la nuestra (ABC = 0,69) en una cohorte de 10.000 pacientes ambulatorios, en la que compararon la capacidad de predecir la mortalidad a un año del MAGGIC y del Seatle Heart Failure Model; en ese estudio ambos puntajes presentaron una capacidad predictiva modesta. En este sentido, Sawno et al. (18) evaluaron el desempeño del MAGGIC en una población de 2215 pacientes pertenecientes a dos registros japoneses de IC aguda y reportaron un ABC de 0,71, con una adecuada calibración.
En este análisis, la mortalidad predicha y la realmente registrada fueron muy similares (12,2%y 12.4%, respectivamente). Sin embargo, el comportamiento del puntaje en los diferentes grupos de riesgo fue muy variable. Encontramos que la mortalidad fue similar en los primeros tres grupos de riesgo (alrededor del 8%) y que comienza a aumentar a partir del grupo 4 (con puntaje MAGGIC 25-28). Esto se condice con el punto de corte encontrado > 23, que discrimina un grupo cuyo riesgo de mortalidad está aumentado en más de 2,5 veces. En el registro sueco,encontraron una tendencia a sobreestimar la mortalidad en los grupos debajo riesgo y a subestimar en los de alto riesgo(15), mientras que otros trabajos han informado una tendencia a sobrestimar la mortalidad en general. (18)
Al comparar el ABC de ambos puntajes, no encontramos diferencias significativas en la capacidad de discriminación: en ambos fue modesta. Si bien los dos puntajes presentaron calibración estadísticamente significativa, el 3C-HF parece adaptarse menos a nuestra población. Hay una gran cantidad de modelos de riesgo y numerosos factores de riesgo de eventos conocidos; sin embargo, frente al paciente individual, la estimación del riesgo y la sobrevida continúa siendo un desafío.
Limitaciones
Una de las limitaciones es que se trata de una cohorte de solo dos centros,relativamente pequeña en relación con las cohortes a partirde las cuales se establecieron ambos puntajes. Además, se realizó el cálculo de los puntajes en forma retrospectiva con la totalidad de los pacientes en el caso del 3C-HF y con casi la mitad de ellos en el del MAGGIC.Por esto, algunas variables no han sido tomadas exactamente como en los trabajos originales. Por ejemplo, en el caso de diabetes con daño de órgano blanco,es posible que su prevalencia haya quedado subestimada en nuestra población, debido a que no fue posible evaluar la retinopatía ni la neuropatía diabética.
CONCLUSIONES
En nuestra población, los puntajes 3C-HF y MAGGIC fueron predictores de mortalidad a un año, con una moderada capacidad de discriminar eventos (que no difirió entre ellos)y una adecuada calibración.
Conflicto de interés
Los autores no poseen conflicto de intereses.
(Véanse formularios de conflicto de intereses de los autores en la web/Material suplementario).
BIBLIOGRAFÍA
1. Mosterd A, Hoes W. Clinical epidemiology of heart failure.Heart 2007;93:1137-46. http://doi.org/d4nwsk
2. Cowie D, Wood D, Coats A, Thompson S, Suresh V, Poole-Wilson P, et al. Survival of patients with a new diagnosis of heart failure: a population based study. Heart 2000;83:505-10. http://doi.org/d4grc3
3. Tavazzi L, SenniM, Metra M, Gorini M, Cacciatore G, Chinaglia A, et al. Multicenter prospective observational study on acute and chronic heart failure: one-year follow-up results of IN-HF (Italian Network on Heart Failure) outcome registry. Circ Heart Fail 2013;6:473-81. http://doi.org/f5szjg
4. Anderson M, Kannel W, Grossman W, and Levy D. Survival after the onset of congestive heart failure in Framingham Heart Study subjects. Circulation 1993;88:107-15. http://doi.org/cs2z
5. Meta-analysis Global Groupin Chronic HeartFailure (MAGGIC). The survivalof patients with heart failurewith preserved or reduced left ventricular ejection fraction: an individual patient data metaanalysis. Eur Heart J 2012;33:1750-7. http://doi.org/d42fp2
6. O’Connor C, Whellan D, Wojdyla D, Leifer E, Clare R, Ellis S, et al. Factors related to morbidity and mortality in patients with chronic heart failure with systolic dysfunction : The HF-ACTION predictive risk score model. Circ Heart Fail 2013;5:63-71. http://doi.org/ftn4z6
7. Levy W, Mozaffarian D, Linker DT, Sutradhar S, Anker S, Cropp A, et al. The Seattle Heart Failure Model: Prediction of survival in heart failure. Circulation 2006; 113:1424-33. http://doi.org/bwc4pr
8. Pocock S , Ariti C, McMurray J, Maggioni A, Køber L, Squire IB, et al. Chronic heart failure Predicting survival in heart failure : a risk score based on 39 372 patients from 30 studies. Eur Heart J 2013;34:1404-13. http://doi.org/npz
9. Senni M, ParrellaP, De Maria R, Cottini C, Böhm M, Ponikowski P, et al. Predicting heart failure outcome from cardiac and comorbid conditions : The 3C-HF score.Int J Cardiol 2013;163:206-11. http://doi.org/f4ndxw
10. Sartipy U, Dahlstrom U, Edner M, Lund L. Predicting survivalin heart failure: validation of the MAGGIC heart failure risk score in 51,043 patients from the Swedish heart failure registry. Eur J Heart Fail 2014;16:173-9. http://doi.org/f22d32
11. La Rovere M, Maestri R, Caporotondi A, Corbellini D, Guazzotti G, Pinna G, et al. Pre-Discharge Evaluation in HeartFailure - Additive predictive value of the 6-minute walking test to clinical scores. Circ J 2015;79:1756-63. http://doi.org/f7ktbk
12. Arzilli C, Aimo A, Vergaro G, Ripoli A, Senni M, Emdin M, et al. N-terminal fraction of pro-B-type natriuretic peptide versus clinical risk scores for prognostic stratification in chronic systolicheart failure. Eur J Prev Cardiol 2018;8:1-7. http://doi.org/gdqwqr
13. Gómez-Otero I, Ferrero-Gregori A, Varela Román A, Seijas Amigo J, Pascual-Figal D, Delgado Jiménez J, et al. La fracciónde eyección intermedia no permite estratificar el riesgo de los pacientes hospitalizados por insuficiencia cardiaca. Rev Esp Cardiol 2017;70:338-46. http://doi.org/cs22
14. Kapoor J, Kapoor R, Ju C, Heidenreich P, Eapen Z, Hernandez A, et al. Precipitating Clinical Factors, Heart Failure Characterization, and Outcomes in Patients Hospitalized With Heart Failure With Reduced, Borderline, and Preserved Ejection Fraction. JACC Heart Fail 2016;4:464-72. http://doi.org/cs23
15. Sartipy U, Edner M, Lund L. Appendix 1. Predicting survival in heart failure: validation of the MAGGIC heart failure risk score in 51043 patients from the Swedish Heart Failure Registry. Eur Heart J 2104:1-22.
16. Simpson J, Jhund P, Silva Cardoso J, Martinez F, Mosterd A, Ramires F, et al. Comparing LCZ696 with Enalapril According to Baseline Risk Using the MAGGIC and EMPHASIS-HF Risk Scores An Analysis of Mortality andMorbidity in PARADIGM-HF. J Am Coll Cardiol 2015;66:2059-71. http://doi.org/f3mz9p
17. Allen L, Matlock D, Shetterly S, Xu S, Levy W, Portalupi L, et al. Use of risk models to predict death in the next year among individual ambulatory patients with heart failure. JAMA Cardiol 2017;2:435-17. http://doi.org/cs24
18. Sawano M, Shiraishi Y, Kohsaka S, Nagai T, Goda A, Mizuno A, et al . Performance of the MAGGIC heart failure risk score and its modification with the addition of discharge natriuretic peptides. ESC Heart Failure 2018;5:610-9. http://doi.org/cs25
Notas de autor
Daniel A. Chirino Navarta. La Rioja 951, CABA, Argentina. E-mail: daniel.chirino@hotmail.com
Artículo relacionado
[Artículo comentario , vol. 86, 324-325] http://dx.doi.org/10.7775/rac.es.v86.i5.14045