ARTÍCULO ORIGINAL
Recepción: 10 Diciembre 2019
Aprobación: 22 Enero 2020
DOI: https://doi.org/10.7775/rac.es.v88.i1.17194
RESUMEN
Introducción: Se han encontrado diferencias en los diámetros de la aorta torácica de acuerdo al sexo, la edad y la superficie corporal. Sin embargo, los resultados son muy heterogéneos.
Objetivos: Determinar los diámetros normales de la aorta (DAo) torácica por ecocardiograma transtorácico en nuestra población y analizar la influencia de las variables antropométricas, demográficas y étnicas en los DAo.
Material y métodos: Se realizó un registro nacional, prospectivo y multicéntrico que incluyó 1000 adultos sanos (media de edad: 38,3 ± 12,7 años, 553 mujeres, 56,7% de origen caucásico y 38,3% de americanos nativos). Se realizaron mediciones aórticas siguiendo las recomendaciones actuales en 6 niveles: anillo, sinusal, unión sinotubular, ascendente proximal, cayado y descendente proximal.
Resultados: El percentilo 95 se encontró por debajo de los 3,80 cm para todos los DAo absolutos, 2,08 cm/m para los indexados por altura y 2,11 cm/m2 para los indexados por superficie corporal (SC). El análisis global mostró correlación positiva y significativa entre todos los diámetros aórticos y la SC y la altura, así como la edad, con la excepción del anillo aórtico, que no presentó modificaciones con el paso del tiempo. En los individuos con índice de masa corporal aumentado, la SC no se correlacionó con los diámetros aórticos. Las mujeres presentaron menores DAo en todos los segmentos y en la raíz aórtica, aun luego de indexar por altura. Los americanos nativos presentaron menores diámetros aórticos absolutos e indexados que los caucásicos en todos los niveles aórticos (p < 0,01), exceptuando la aorta descendente proximal, que no mostró diferencias significativas.
Conclusiones: Las variables demográficas, antropométricas y étnicas resultaron ser determinantes significativos de las dimensiones aórticas en todos sus niveles, por lo que deben tenerse en cuenta para la correcta interpretación de estas mediciones.
Palabras clave: Aorta torácica/diagnóstico por imagen, Ecocardiografía, Técnicas de Diagnóstico Cardiovasculares, Argentina.
ABSTRACT
Background: Transthoracic echocardiography (TTE) remains the screening tool of choice for thoracic aorta (TA) dilatation. Differences in TA diameters (TAD) according to gender (G), age (A) and body surface area (BSA) have been previously reported. However, these reports are limited by small sample size, different measurement sites or heterogeneous cohorts. There is scarce data on the influence of ethnicitiy on TAD.
Objective: We designed a prospective nationwide multicenter registry to determine the normal diameters of the thoracic aorta at all TA segments in healthy adults of both G and their correlations with A, ethnicity and BSA.
Methods: A national, prospective and multicenter registry was carried out in 1000 healthy adult people (mean age: 38.3 ± 12.7 years, 553 women, 56.7% of caucasian origin). Aortic measurements were made following the current recommendations at 6 levels: aortic annulus, sinus, sinotubular junction, proximal ascending, arch and proximal descending aorta. Pooled data showed a positive correlation between all TAD and A or BSA (p<0.001), similar in both G. In patients with obesity the correlation was better with height than BSA.
Resultados: The 95th percentile was found below 3.80 cm for all absolute aortic diameters, 2.08 cm / m for those indexed by height and 2.11 cm / m2 per body surface. Nomograms were obtained for 3 age categories to predict TAD from BSA with no need of G distinction. Native americans showed significatly lower absolute and indexed TAD than caucasian (p<0.01) from annulus to isthmus.
Conclusions: While age and BSA were significant determinants of aortic dimensions at six levels, we have also detected differences in TAD according to ethnicity, suggesting normative values should also be defined for each ethnic group. We propose nomograms of indexed TAD for different age and ethnic groups without G distinction.
Keywords: Aorta, Thoracic/Diagnostic Imaging, Echocardiography, Diagnostic Techniques, Cardiovascular, Argentina.
INTRODUCCIÓN
La dilatación aórtica se encuentra asociada con la presencia de insuficiencia valvular aórtica y determina su gravedad, así como el riesgo de padecer síndromes aórticos agudos. 1,2,3 Su diagnóstico precoz permite realizar un seguimiento de estos pacientes para determinar el momento óptimo de tratamiento y prevenir sus potenciales complicaciones 4,5 Por otro lado, su sobrediagnóstico implica trastornos en la calidad de vida de los pacientes, así como aumento del gasto en salud. Por lo tanto, es de gran importancia conocer los valores de normalidad para cada porción de la aorta y para cada técnica, con el fin de determinar con precisión cuándo se encuentra dilatada. 2,6,7
El ecocardiograma transtorácico (ETT) es el principal método para la evaluación inicial de la aorta torácica y, en la mayoría de los pacientes, permite realizar mediciones de todos sus segmentos. Varios estudios evaluaron los valores normales de la raíz aórtica con ETT, que sirvieron para la publicación de nomogramas. 6,8,9 Sin embargo, existe discordancia en la metodología utilizada para la medición de la aorta, y muchos de los datos que se toman como límites de normalidad se han obtenido con técnicas en desuso, en escasa cantidad de pacientes y con poca representación de adolescentes y adultos mayores. 6 Adicionalmente, casi no existen datos acerca de los diámetros normales del cayado aórtico y la aorta descendente proximal.
Se han publicado variaciones de los diámetros de la raíz aórtica en relación con la edad, la altura, la superficie corporal y el sexo, por lo que los factores antropométricos y demográficos son de vital importancia para su interpretación. 8,9,10,11 No obstante, aún no existe acuerdo en algunas cuestiones, como si las variaciones de los diámetros aórticos en relación con el sexo se deben a diferencias en la superficie corporal o a una tasa de crecimiento diferente entre hombres y mujeres, influenciada por factores hormonales, o si la indexación por superficie corporal subestima el grado de dilatación aórtica en sujetos obesos. De hecho, la mayoría de los estudios excluyen a pacientes con sobrepeso y obesos, o tales pacientes están subrepresentados en escasos estudios, aun cuando gran parte de la población actual sufre esta patología. 9,10 Más importante aún, los datos publicados incluyeron poblaciones con características antropométricas, demográficas y étnicas diferentes a las de nuestro país, por lo que desconocemos qué influencia pueden llegar a tener estas variables. Podríamos preguntarnos entonces si los valores publicados actualmente como límites normales superiores de los diámetros aórticos (DAo) son válidos para la población argentina.
El Registro Nacional de Medición de Aorta Torácica por Ecocardiografía en Argentina (MATEAR) se diseñó para determinar de manera prospectiva y siguiendo las recomendaciones metodológicas actuales 12 los diámetros (D) normales y los puntos de corte de los DAo de cada uno de los segmentos de la aorta torácica en una cohorte de pacientes sanos de nuestro país, así como para conocer su correlación con la edad, el sexo, algunas variables antropométricas y la etnia.
MATERIAL Y MÉTODOS
Población
El Registro MATEAR fue un registro prospectivo, observacional, multicéntrico, originado desde el Consejo de Ecocardiografía y Doppler Vascular de la Sociedad Argentina de Cardiología y que se desarrolló desde 02/2018 hasta 06/2019. Participaron de este registro 45 centros de 16 provincias de la República Argentina. Se incluyeron pacientes consecutivos sanos ≥ 18 años que concurrieron a realizarse un ETT por indicación médica. Se excluyeron pacientes con patologías que pudieran afectar los DAo o dificultaran su correcta medición (criterios de exclusión en Material sumplementario, Tabla 1inline-supplementary-material>). Para cada paciente se recolectaron las variables demográficas y antropométricas, la presión arterial, los antecedentes cardiovasculares propios y de familiares de primer grado y las variables clínicas de relevancia. Los datos fueron cargados a través de una plataforma web con clave única por investigador.
Mediciones aórticas
Los operadores fueron entrenados a través de un video explicativo para unificar las formas de medición de acuerdo con las recomendaciones internacionales vigentes. A cada paciente se le realizó un ETT convencional y completo para descartar patología cardiovascular no conocida.
Las mediciones se realizaron conforme con las recomendaciones vigentes. 7,12 En la vista de eje largo paraesternal izquierda se realizaron las mediciones del anillo aórtico (en la inserción de las valvas aórticas), senos de Valsalva, unión sinotubular y porción tubular (o ascendente) proximal (a 1 cm de la unión sinotubular o donde se consignó el mayor D de la porción tubular). El anillo aórtico se midió de borde interno a borde interno en mesosístole, y el resto de las mediciones se realizaron en telediástole y de borde superior a borde superior. En la vista supraesternal, se realizaron las mediciones del cayado proximal entre el nacimiento del tronco braquiocefálico y la carótida primitiva, de borde superior a borde superior, y de aorta descendente proximal inmediatamente luego del nacimiento de la arteria subclavia izquierda, de borde izquierdo a borde derecho, incluyendo solo el borde izquierdo, efectuando ambas en telediástole.
Análisis estadístico
Se consideraron valores de referencia los incluidos en el percentilo 5-95%. Las variables discretas se expresan como proporción. Las variables continuas con distribución normal se expresan con la media y el desvío estándar, mientras que las de distribución no normal se expresan con la mediana y el rango intercuartilo. Se utilizó el test t de Student para la comparación de variables continuas con distribución paramétrica.
Se realizó un análisis de regresión lineal simple entre variables dependientes (diámetros aórticos en cada nivel) y variables antropométricas como edad, superficie corporal, talla e índice de masa corporal (IMC), utilizando el test de cuadrados mínimos de Pearson para obtener coeficientes de determinación (R) e intervalos de predicción (95%). Se repitió el análisis estratificando a la población de acuerdo al sexo, la edad y la ascendencia. Se realizó un análisis de regresión múltiple para evaluar la influencia relativa de las variables predictoras en los DAo. Se ingresaron las variables que demostraron asociación significativa en el análisis de regresión simple. El análisis estadístico se llevó a cabo con el software STATA 13. Se consideró significativo un p-valor<0,05 (2 colas).
Consideraciones éticas
El registro fue aprobado por el Comité de Bioética de la Sociedad Argentina de Cardiología. Se obtuvo el consentimiento informado de cada participante.
RESULTADOS
Se incluyeron 1000 pacientes aparentemente sanos (553 mujeres; media de edad: 38,3 ± 12,7 años). En la Tabla 1 se expresan las variables antropométricas y los valores del ecocardiograma completo, globales y diferenciados por sexo.

Como era esperable, los hombres mostraron valores antropométricos, diámetros y espesores del ventrículo izquierdo significativamente mayores. Asimismo, los hombres presentaron mayores valores de presión arterial sistólica, diastólica y media, aunque dentro del rango de normalidad (Tabla 1). La SC fue calculada por el método de Mosteller y por la fórmula de Dubois, sin diferencias significativas entre ambos métodos (1,85 m2 ± 0,24 por el método de Mosteller vs. 1,84 m2 ± 0,26 por el método de Dubois, p = NS), por lo que para cálculos posteriores se tomó el resultado obtenido con el método de Mosteller.
Los hombres presentaron más frecuentemente IMC aumentado que las mujeres: 310 hombres con IMC > 25 (69,5%) vs. 260 mujeres (47%), p < 0,0001.
La reproducibilidad de las mediciones de las dimensiones aórticas fue buena, con un coeficiente de correlación intraclase (CCI) de 0,77-0,95 para la variabilidad intraobservador, y de 0,68-0,92 para la variabilidad interobservador.
Diámetros aórticos por ecocardiografía y tamaño corporal
En la Tabla 2 se da la estadística descriptiva de los diámetros aórticos absolutos en los 6 niveles analizados, discriminados por sexo. Los DAo fueron significativamente mayores en hombres en los 6 niveles analizados. El percentilo 95 de todos los DAo absolutos se encontró por debajo de los 3,80 cm.

Se observó una correlación positiva entre los 6 diámetros aórticos y las variables antropométricas (altura y superficie corporal). En la Tabla 3 proveemos los diámetros aórticos en los 6 niveles, indexados por altura y discriminados por sexo. Las mujeres presentaron menores diámetros aórticos indexados por altura en anillo, senos de Valsalva y unión sinotubular. No se observaron diferencias significativas entre sexos luego de indexar por altura en aorta ascendente, cayado, ni descendente proximal. El percentilo 95 de todos los diámetros aórticos indexados por altura se encontró por debajo de los 2,08 cm/m.

En relación con el aumento de los diámetros aórticos con la SC, se observó una correlación lineal y significativa en los 6 niveles aórticos para pacientes con IMC normal. Sin embargo, la fuerza de la correlación entre los diámetros aórticos y la SC disminuye con el aumento del IMC, debido a que la SC deja de ser representativa del tamaño corporal real. En la Figura 1 puede observarse la disminución de la correlación entre diámetro sinusal y SC a medida que el IMC aumenta. En pacientes con IMC > 35 kg/m2, la correlación entre diámetros y SC deja de ser significativa a nivel de senos de Valsalva, unión sinotubular, aorta ascendente proximal, cayado y aorta descendente. Por lo tanto, para el cálculo de los diámetros aórticos indexados por superficie corporal, se tuvo en cuenta solamente el subgrupo de pacientes con IMC normal. El grupo de 430 pacientes con IMC menor de 25 kg/ m2 (293 mujeres, 68%) presentó una SC = 1,68 ± 0,16 m2, un peso = 61,1 ± 9,28 kg, una altura = 165,8 ± 8,7 cm y un IMC = 22,15 ± 1,98 kg/m2. En la Tabla 4 se presentan los diámetros aórticos en los 6 niveles indexados por SC para el grupo con IMC normal. Las mujeres presentaron mayores diámetros indexados por SC en los 6 niveles analizados. El percentilo 95 de todos los DAo indexados por SC se encontró por debajo de los 2,11 cm/m2.


Dimensiones aórticas y edad
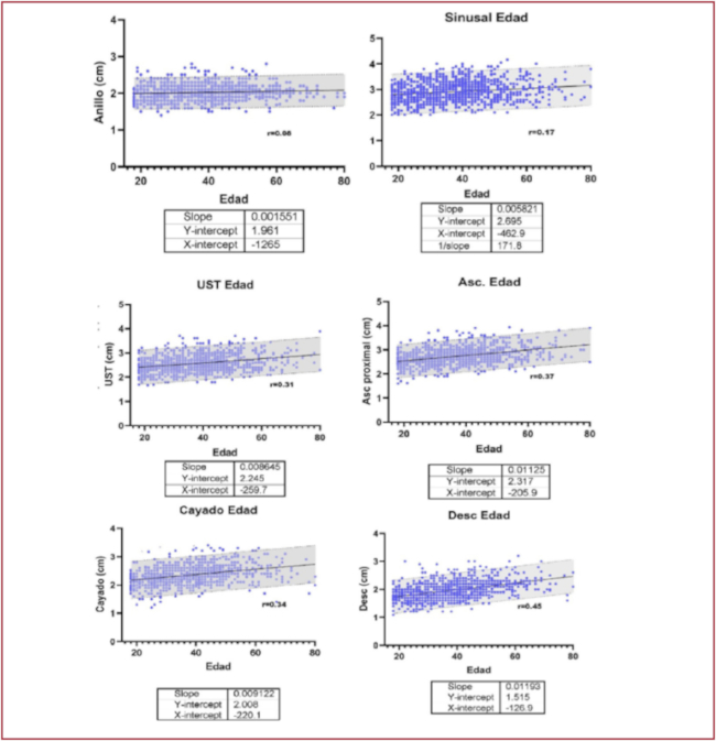
Los DAo se correlacionaron de manera significativa con la edad, excepto a nivel del anillo. Tanto en hombres como mujeres existe un aumento progresivo y lineal de las dimensiones absolutas de la aorta ascendente a medida que aumenta la edad como variable continua. Asimismo, se observa aumento de los diámetros de la raíz aórtica, ascendente, cayado y descendente para cada sexo y grupo etario definido por Roman y col. 6 En cada nivel, a excepción del anillo, se observó que los grupos etarios 2 (26 a 40 años) y 3 (mayores de 40 años) presentaron dimensiones aórticas significativamente mayores que los más jóvenes, tanto en hombres como mujeres (Material sumplementario, Figura 1). En el análisis por décadas, se observa también un aumento progresivo de los DAo cada 10 años, a excepción del anillo, que permanece estable, como puede verse en la Figura 2 del Material sumplementario. En la Figura 3 del Material sumplementario, se informan las proporciones normales entre los diferentes segmentos aórticos con respecto al anillo.
Dimensiones aórticas y ascendencia
En relación con la ascendencia, la mayoría de los pacientes incluidos fueron de ascendencia ibérica (547, 55%) y americana nativa (406, 41%). Los pacientes de ascendencia americana presentaron diámetros absolutos diferentes a los de ascendencia ibérica: significativamente menores en anillo, senos, unión y ascendente proximal, similares en cayado y mayores en aorta descendente proximal (Tabla 5). Por su parte, al indexar por superficie corporal, se observó que los diámetros en los pacientes ibéricos fueron mayores en todos los niveles, a excepción de la aorta descendente (anillo: 1,12 cm vs. 1,08 cm; senos: 1,66 cm vs. 1,48 cm, unión: 1,44 cm vs. 1,35 cm, ascendente: 1,54 cm vs. 1,43 cm, cayado: 1,30 cm vs. 1,26 cm, descendente: 1,04 cm vs. 1,12 cm, p<0,0001 en todos los casos). Asimismo, se observó que los pacientes de ascendencia americana presentaron diámetros indexados por altura menores que los de ascendencia ibérica en senos, unión y ascendente proximal, similares en cayado y mayores en aorta descendente proximal (Tabla 2 del Material sumplementario).


Predictores de dimensiones aórticas
En el análisis univariado, los DAo se correlacionaron de manera significativa con la edad, la altura y la superficie corporal. Se confeccionaron dos modelos para el análisis multivariado, uno utilizando como variable antropométrica la SC y otro utilizando la altura para cada dimensión aórtica.
En la Tabla 6 se informan los resultados de ambos modelos de regresión lineal múltiple, los análisis subsecuentes y los coeficientes para cada ecuación lineal a nivel de senos de Valsalva. Se realizó el análisis de ambos modelos de regresión lineal múltiple para la totalidad de los pacientes y para el grupo con IMC < 25 kg/m2. Se observa que en los pacientes con IMC aumentado, la SC pierde valor predictor de las dimensiones de la aorta en los senos de Valsalva, mientras que la altura no se encuentra afectada por el IMC (R2 ajustado del modelo con SC en pacientes totales: 0,07 vs. R2 ajustado del modelo con SC en pacientes con IMC < 25 kg/m2: 0,27). Por su parte, en pacientes con ascendencia ibérica, el coeficiente de regresión lineal múltiple del modelo de altura es mayor que en los pacientes con ascendencia americana nativa.

DISCUSIÓN
El Registro MATEAR proporciona la primera evidencia científica nacional de los valores normales de la aorta torácica medidos por ecocardiografía. Dichos hallazgos son de suma relevancia, ya que permiten determinar a partir de resultados locales los límites superiores normales de las dimensiones aórticas en anillo, senos de Valsalva, unión sinotubular, aorta ascendente proximal, cayado y aorta descendente. En consecuencia, estos datos permiten detectar de manera precoz la dilatación aórtica y seguir más estrechamente a los pacientes con riesgo de complicaciones.
La población del Registro MATEAR es representativa de la población argentina de hombres y mujeres en términos de edad, SC, altura y peso. 13 Asimismo, creemos que la inclusión en el registro de pacientes con sobrepeso y obesidad en un país donde estos individuos comprenden más del 60% de la población constituye una fortaleza del estudio, ya que agrega validez externa. 13 Al respecto, el único trabajo de valores normales de DAo que incluyó también pacientes obesos dentro de su población fue el de Campens y col. 9, con menos de un 10% de obesos. Sin embargo, en dicho trabajo no informan un análisis del efecto de la obesidad en la correlación de DAo por SC. Dado que nuestro grupo de trabajo creía, según estudios previos, que debía analizarse el impacto del aumento espurio del tamaño corporal sobre la indexación por SC, se decidió incluir pacientes con IMC > 25. En nuestro conocimiento, el Registro MATEAR es el primer estudio que informa sobre la relevancia de tener en cuenta el IMC para evitar el subdiagnóstico de la dilatación aórtica en pacientes con sobrepeso/obesidad. En dicha población, recomendamos la utilización de indexación por altura, ya que la SC en pacientes obesos aumenta de manera desproporcionada y su correlación con los DAo es menor.
Asimismo, existen reportes recientes que empiezan a informar los DAo en relación con la altura, tanto para ecocardiografía como para tomografía computarizada. 10,14 Del mismo modo que lo reportado por Saura y col. en el estudio multicéntrico europeo NORRE, no se encontraron diferencias entre hombres y mujeres en los DAo de aorta ascendente, cayado y descendente indexados por altura. Sin embargo, la raíz aórtica presentó diámetros mayores indexados por altura en hombres, lo que parecería sugerir un comportamiento diferente de la raíz con respecto al resto de los segmentos de la aorta en relación con el sexo.
Por otra parte, algunos trabajos han informado la influencia de la etnia en el DAo. 15,16 Sin embargo, los estudios publicados no incluyeron las distintas ascendencias como una variable predictora de DAo, aun cuando existen diferencias antropométricas y fenotípicas entre aquellas. Nuestro estudio provee información acerca de la relevancia de tener en cuenta la ascendencia para determinar el DAo normal en cada paciente.
Es importante resaltar que, si bien se detectaron variables predictoras de DAo en nuestra población, el modelo de regresión solo nos explica un 36% de la variabilidad total de las observaciones. Estos hallazgos son compatibles con los de los principales estudios publicados. 8 Por lo tanto, cuando se analizan variables biológicas, no debe olvidarse que existen aspectos no medidos que influyen sobre los resultados analizados.
Limitaciones
Como limitaciones identificamos la dificultad para incluir pacientes mayores de 65 años que no tuvieran criterios de exclusión, principalmente hipertensión arterial o factores de riesgo cardiovascular. Es esta una limitación de la mayoría de los estudios de este tipo, de modo que nuestros resultados son útiles si se analizan pacientes con características similares.
Direcciones futuras
Nuestro grupo actualmente está llevando a cabo el desarrollo del cálculo automático del Z score para cada uno de los segmentos aórticos estudiados, de manera de facilitar al cardiólogo la interpretación de los resultados. De este modo, ingresando la altura, el peso, la edad, el sexo y la dimensión aórtica, se podrá conocer el Z score y diagnosticar dilatación cuando el resultado sea mayor de 2. Por otra parte, se plantea la realización del registro societario multicéntrico nacional de medición de valores normales de aorta torácica por tomografía computarizada y resonancia cardíaca en los años 2020-2021.
CONCLUSIONES
Los resultados de este estudio, pionero a nivel nacional, demuestran que los DAo se correlacionan con variables antropométricas y demográficas. El IMC debe ser tenido en cuenta, ya que en individuos obesos se pierde la correlación entre DAo y SC. En ese subgrupo se recomienda la indexación por altura.
Además, las mujeres presentaron menores DAo en relación a una menor altura y SC. En la raíz aórtica, los DAo de las mujeres fueron menores, aun luego de indexar por altura.
Por otra parte, los DAo (excepto el del anillo) aumentaron con la edad. Según nuestros hallazgos, la ascendencia debería ser tenida en cuenta, ya que los pacientes con ascendencia americana nativa presentaron menores DAo absolutos e indexados por SC en anillo, senos, unión sinotubular y aorta ascendente que los de ascendencia ibérica.
Estos hallazgos permiten obtener puntos de corte precisos y nomogramas nacionales en pacientes adultos para poder diagnosticar dilatación aórtica, teniendo en cuenta tamaño corporal, edad, sexo y ascendencia.
Material Suplementario
suppl1.pdf (pdf) DIÁMETROS NORMALES DE AORTA TORÁCICA
Agradecimientos
Agradecemos a los pacientes que aceptaron participar del estudio y a los investigadores del Registro MATEAR, comprometidos de manera desinteresada y voluntaria con el desarrollo de material científico, independiente y de calidad en la Argentina.
A nuestras familias, por comprender que ser investigador independiente en Argentina implica trabajo y entrega sin remuneración alguna más que la satisfacción del trabajo cumplido.
BIBLIOGRAFÍA
Roman MJ, Devereux RB, Niles NW, Hochreiter C, Kligfield P, Sato N, et al. Aortic root dilatation as a cause of isolated, severe aortic regurgitation. Prevalence, clinical and echocardiographic patterns, and relation to left ventricular hypertrophy and function. Ann Intern Med 1987;106:800-7. https://doi.org/10.7326/0003-4819-106-6-800
Asch FM, Yuriditsky E, Prakash SK, Roman MJ, Weinsaft JW, Weissman G, et al. The Need for Standardized Methods for Measuring the Aorta: Multimodality Core Lab Experience From the Gen-TAC Registry. JACC Cardiovasc Imaging 2016;9:219-26. https://doi.org/10.1016/j.jcmg.2015.06.023
American College of C, American Heart Association Task Force on Practice G, Society of Cardiovascular A, Bonow RO, Carabello BA, Chatterjee K, et al. ACC/AHA 2006 guidelines for the management of patients with valvular heart disease: a report of the American College of Cardiology/American Heart Association Task Force on Practice Guidelines (writing Committee to Revise the 1998 guidelines for the management of patients with valvular heart disease) developed in collaboration with the Society of Cardiovascular Anesthesiologists endorsed by the Society for Cardiovascular Angiography and Interventions and the Society of Thoracic Surgeons. J Am Coll Cardiol 2006;48(3):e1-148.
Davies JE, Sundt TM. Surgery insight: the dilated ascending aorta-indications for surgical intervention. Nat Clin Pract Cardiovasc Med 2007;4:330-9. https://doi.org/10.1038/ncpcardio0885
Kim SY, Martin N, Hsia EC, Pyeritz RE, Albert DA. Management of aortic disease in Marfan Syndrome: a decision analysis. Arch Intern Med 2005;165:749-55. https://doi.org/10.1001/archinte.165.7.749
Roman MJ, Devereux RB, Kramer-Fox R, O’Loughlin J. Two-dimensional echocardiographic aortic root dimensions in normal children and adults. Am J Cardiol 1989;64:507-12. https://doi.org/10.1016/0002-9149(89)90430-X
Goldstein SA, Evangelista A, Abbara S, Arai A, Asch FM, Badano LP, et al. Multimodality imaging of diseases of the thoracic aorta in adults: from the American Society of Echocardiography and the European association of cardiovascular imaging: endorsed by the society of cardiovascular computed tomography and society for cardiovascular magnetic resonance. J Am Soc Echocardiogr 2015;28:119-82. https://doi.org/10.1016/j.echo.2014.11.015
Devereux RB, de Simone G, Arnett DK, Best LG, Boerwinkle E, Howard BV, et al. Normal limits in relation to age, body size and gender of two-dimensional echocardiographic aortic root dimensions in persons >/=15 years of age. Am J Cardiol 2012;110:1189-94. https://doi.org/10.1016/j.amjcard.2012.05.063
Campens L, Demulier L, De Groote K, Vandekerckhove K, De Wolf D, Roman MJ, et al. Reference values for echocardiographic assessment of the diameter of the aortic root and ascending aorta spanning all age categories. Am J Cardiol 2014;114:914-20. https://doi.org/10.1016/j.amjcard.2014.06.024
Saura D, Dulgheru R, Caballero L, Bernard A, Kou S, Gonjilashvili N, et al. Two-dimensional transthoracic echocardiographic normal reference ranges for proximal aorta dimensions: results from the EACVI NORRE study. Eur Heart J Cardiovasc Imaging 2017;18:167-79. https://doi.org/10.1093/ehjci/jew053
Muraru D, Maffessanti F, Kocabay G, Peluso D, Dal Bianco L, Piasentini E et al. Ascending aorta diameters measured by echocardiography using both leading edge-to-leading edge and inner edge-to-inner edge conventions in healthy volunteers. Eur Heart J Cardiovasc Imaging 2014;15:415-22. https://doi.org/10.1093/ehjci/jet173
Lang RM, Badano LP, Mor-Avi V, Afilalo J, Armstrong A, Ernande L et al. Recommendations for cardiac chamber quantification by echocardiography in adults: an update from the American Society of Echocardiography and the European Association of Cardiovascular Imaging. J Am Soc Echocardiogr 2015;28:1-39 e14. https://doi.org/10.1016/j.echo.2014.10.003
4ta Encuesta Nacional de Factores de Riesgo 2018. Secretaría de Gobierno de Salud Argentina. Republica Argentina. 2018.
Pham MH, Ballegaard C, de Knegt MC, Sigvardsen PE, Sørgaard MH, Fuchs A, et al. Normal values of aortic dimensions assessed by multidetector computed tomography in the Copenhagen General Population Study. Eur Heart J Cardiovasc Imaging 2019;20:939-48. https://doi.org/10.1093/ehjci/jez012
Bella JN, MacCluer JW, Roman MJ, Almasy L, North KE, Welty TK, et al. Genetic influences on aortic root size in American Indians: the Strong Heart Study. Arterioscler Thromb Vasc Biol 2002;22:1008-11. https://doi.org/10.1161/01.ATV.0000017473.78775.F6
Wang Y-L, Wang Q-L, Wang L, Wu Y-B, Wang Z-B, Cameron J, et al. Body surface area as a key determinant of aortic root and arch dimensions in a population-based study. Exp Ther Med 2013;5:406-10. https://doi.org/10.3892/etm.2012.839
Notas
Notas de autor
*Dirección para separatas: María Celeste Carrero - E-mail: registro.matear@gmail.com, Azcuénaga 980 - C1115AAD - Buenos Aires, Argentina. +54-11- 4961-6027
Declaración de intereses