ARTÍCULO ORIGINAL
Comparación de resultados inmediatos y a mediano plazo de la anastomosis de Blalock-Taussig versus la colocación de stent en tracto de salida de ventrículo derecho en neonatos sintomáticos con tetralogía de Fallot
Comparison of immediate and mid-term outcomes of Blalock-Taussig shunt versus right ventricular outflow tract stenting in symptomatic neonates with tetralogy of Fallot
Comparación de resultados inmediatos y a mediano plazo de la anastomosis de Blalock-Taussig versus la colocación de stent en tracto de salida de ventrículo derecho en neonatos sintomáticos con tetralogía de Fallot
Revista argentina de cardiología, vol. 90, núm. 1, pp. 25-30, 2022
Sociedad Argentina de Cardiología
Recepción: 27 Noviembre 2021
Aprobación: 14 Enero 2022
RESUMEN
Introducción: El manejo inicial de neonatos con tetralogía de Fallot (TF), con síntomas asociados a una anatomía desfavorable y un flujo vascular pulmonar significativamente reducido es controversial, y un desafío clínico.
Objetivo: Describir la evolución clínica y comparar el crecimiento de ramas pulmonares en neonatos con TF sintomáticos ingresados al Departamento de Cardiología del Hospital de Niños de Córdoba, desde marzo de 2011 hasta marzo de 2021, que recibieron anastomosis de Blalock-Taussig modificada (aBTm) versus colocación de stent en tracto de salida de ventrículo derecho (sTSVD).
Material y métodos: Estudio retrospectivo, observacional. Se identificaron 113 pacientes con TF; 20 de ellos (18%) fueron neonatos sintomáticos y requirieron paliación inicial. Las variables categóricas se expresan como porcentaje; las continuas como mediana y rango intercuartilo (RIC). Un valor de p <0,05 se consideró significativo.
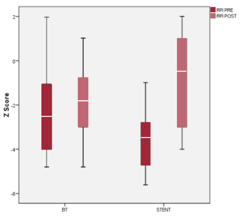
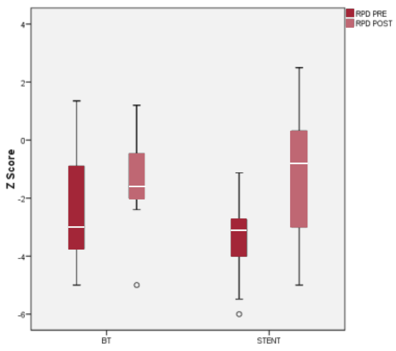
Resultados: De los 20 pacientes incluidos en el estudio, 11 (55%) constituyen el grupo aBTm y 9 (45%) el grupo sTSVD. En el grupo aBTm la rama pulmonar derecha (RPD) pre paliación tenía un score Z -3 (RIC 4,20), que aumentó a -1,6 (RIC 1,56) (p = 0,11) post intervención; y la rama pulmonar izquierda (RPI) un score Z -2,5 (RIC 4,8) que se incrementó a -1,80 (RIC 2,36) (p = 0,44). En el grupo sTSVD la RPD pre paliación tuvo un score Z -3,45 (RIC 3,83) que aumentó a - 2,5 (RIC 3,58) (p = 0,021) y la RPI un score Z -4,10 (RIC 2,51) que se incrementó a -2,00 (RIC 3,75) (p = 0,011). La saturación de O2 (SO2) pre intervención fue 75% (RIC 6), y aumentó a 87% (RIC 9) en el grupo aBTm (p = 0,005); e inicialmente fue 75% (RIC 16) y aumentó a 91% (RIC 13) en el grupo sTSVD (p = 0,008). La mediana de estadía hospitalaria post procedimiento fue 10 días (RIC 11) en el grupo aBTm, y 6 (RIC 2) en el grupo sTSVD (p= 0,095).
Conclusiones: En neonatos con TF sintomáticos, ambas estrategias paliativas mejoran la condición clínica. En los que recibieron sTSVD, se objetivó un crecimiento mayor de las ramas pulmonares. Mayor número de casos y seguimiento más largo serán necesarios para confirmar estos hallazgos.
Palabras claves: Tetralogía de Fallot+ Procedimiento de Blalock-Taussing+ Anastomosis Quirúrgica+ Cardiopatías Congénitas.
ABSTRACT
Background: The initial management of neonate patients with tetralogy of Fallot (TOF) associated with an unfavorable anatomy and significantly reduced pulmonary vascular flow is controversial and continues to be a clinical challenge.
Objective: The aim of this study was to describe the clinical evolution and to compare pulmonary artery branch development in symptomatic neonatal TOF patients who received a modified Blalock Taussig shunt (mBT) versus right ventricular outflow tract stent placement (RVOTs) at the Department of Cardiology, Hospital de Niños de Córdoba, between March 2011 and March 2021.
Methods: A retrospective, observational study identified 113 patients with TOF, 20 of which (18%) were symptomatic neonates requqiring initial palliative intervention. Categorical variables are expressed as percentage and continuous variables as median and interquartile range (IQR). A p value <0.05 was considered significant.
Results: Among the 20 patients included in the study, 11 (55%) formed the mBT group and 9 (45%) the RVOTs group. In the mBT group, pre-palliative procedure right pulmonary artery (RPA) Z score was -3 (IQR 4.20) and increased to -1.6 (IQR 1.56) (p = 0.11) and left pulmonary artery (LPA) Z score of -2.5 (IQR 4.8) increased to -1.80 (IQR 2.36) (p = 0.44). In the RVOTs group, RPA Z score prior to palliative intervention was -3.45 (IQR 3.83) and increased to -2.5 (IQR 3.58) (p = 0.021) and LPA Z score of -4.10 (IQR 2.51) to -2.00 (IQR 3.75) (p = 0.011). Pre-intervention peripheral O2 saturation of 75% (IQR 6) increased to 87% (IQR 9) in the mBT group (p= 0.005) and from initially 75% (IQR 16) to 91% (IQR 13) in the RVOTs group (p= 0.008). Mean hospital stay after the procedure was 10 days (IQR 11) in the mBT group and 6 days (IQR 2) in the RVOTs group (p= 0.095).
Conclusions: In symptomatic neonates with TOF, both palliative strategies improved the clinical condition. In patients who received RVOTs, there was greater development of pulmonary artery branches. A larger number of cases and longer-term follow-up will be necessary to confirm these findings.
Key word: Tetralogy of Fallot, Stent, Blalock-Taussig Procedure, Anastomosis, Surgical, Heart Defects, Congenital.
INTRODUCCIÓN
El manejo inicial de neonatos con tetralogía de Fallot (TF), con síntomas asociados a una anatomía desfavorable y un flujo vascular pulmonar significativamente reducido es controversial, y es un desafío clínico.
La reparación quirúrgica primaria neonatal se realiza infrecuentemente debido a su elevada morbimortalidad temprana, y habitual necesidad de reoperaciones. Alternativamente, durante décadas, se ha utilizado la anastomosis sistémico pulmonar de Blalock-Taussig modificada (aBTm), con el objetivo de incrementar el flujo sanguíneo pulmonar, reducir la hipoxemia y promover el crecimiento de las ramas de las arterias pulmonares. Esta estrategia permite que la reparación quirúrgica definitiva se realice a una edad más avanzada, en general entre los 3 y 11 meses de vida según la evolución clínica del paciente. 1
Con frecuencia, la realización de una aBTm como estrategia inicial en estos pacientes tempranamente sintomáticos está asociada con índices elevados de complicaciones que incluyen obstrucciones agudas, distorsión de ramas de las arterias pulmonares, hiperfunción y ocasionalmente mortalidad. 2 Los datos publicados en la literatura que evalúan el crecimiento de ramas de arterias pulmonares luego de la realización de aBTm son escasos.
Por el contrario, el alivio de la obstrucción del tracto de salida de ventrículo derecho mediante la implantación de un stent (sTSVD), permite evitar una cirugía paliativa y/o correctiva en el período neonatal en un paciente crítico, tiene la potencialidad de estimular un mejor crecimiento de las ramas de las arterias pulmonares y evita también la distorsión de las mismas en comparación con una aBTm. Sin embargo, con frecuencia, la válvula pulmonar nativa queda cubierta por el stent y, por lo tanto, con esta técnica, será necesaria la utilización de parche transanular luego de la extracción del stent durante la reparación quirúrgica completa. 3,4,5,6,7.
El objetivo del presente trabajo fue analizar la evolución clínica y crecimiento de las ramas de las arterias pulmonares, comparando neonatos con TF sintomáticos que recibieron aBTm versus la colocación de sTSVD.
MATERIAL Y METODOS
Estudio observacional, retrospectivo. Se incluyeron pacientes neonatos y lactantes menores de un año de vida, con diagnóstico de TF sintomáticos ingresados al Departamento de Cardiología del Hospital de Niños de la Santísima Trinidad de Córdoba en el período marzo de 2011 a marzo de 2021. Todos recibieron tratamiento paliativo como abordaje inicial de su cardiopatía. La decisión del tipo de paliación inicial fue consensuada por el equipo cardiovascular durante ateneos clínico-quirúrgicos. Al ingreso, todos los pacientes presentaban anatomía desfavorable (ramas de arterias pulmonares con score Z ≤-2,5), crisis de cianosis (saturación de oxígeno periférica <70%), shock cardiogénico, bajo peso, prematurez u otras comorbilidades significativas (enterocolitis necrotizante, insuficiencia renal, convulsiones) que inclinaron la decisión hacia un abordaje paliativo inicial, percutáneo o quirúrgico.
El score Z para cada estructura cardíaca reportada fue obtenido de acuerdo a la edad, peso y altura de cada paciente. 8 Se realizaron mediciones ecocardiográficas de las ramas de las arterias pulmonares inmediatamente antes del procedimiento paliativo inicial, y se repitieron un mes antes de la cirugía correctiva final, para determinar el crecimiento de las mismas. Se registraron la saturación de oxígeno por oximetría de pulso y los días de estadía hospitalaria post procedimiento. Por último, se registraron edad, tiempo de paliación y técnica quirúrgica utilizada (parche transanular / preservación de anillo pulmonar) al momento de la corrección quirúrgica completa.
Las variables categóricas se expresan como porcentaje y las continuas como mediana y rango intercuartilo (RIC). Las variables categóricas se compararon con test de chi cuadrado o test de Fisher. Para la comparación de muestras apareadas se usó la prueba de rangos con signo de Wilcoxon y para la comparación de variables continuas independientes se usó test de Mann-Whitney. Un valor de p <0,05 se consideró significativo. Se realizó el análisis con el paquete estadístico SPSS 24.
El abordaje paliativo utilizado, ya sea, aBTm o sTSVD fue aprobado por el comité de ética institucional y los padres y/o responsables legales de los pacientes firmaron el acta de información sanitaria específica para el procedimiento.
RESULTADOS
Se identificaron 113 pacientes con diagnóstico de TF, de los cuales 20 (18%) fueron neonatos sintomáticos, y requirieron paliación inicial. En 11 (55%) se realizó aBTm y en los 9 restantes (45%) se implantó sTSVD. Todos presentaron crisis de cianosis y 8 de ellos estaban recibiendo prostaglandinas. El grupo aBTm tuvo una edad mediana al momento de la intervención de 60 días (RIC 75) y una mediana de peso de 4,5 kg (RIC 3), mientras que en el grupo sTSVD la edad mediana fue 19,5 días (RIC 15) y el peso mediano 2,95 kg (RIC 1,65). Tres pacientes del grupo aBTm presentaron complicaciones: dos de ellos oclusión aguda de la anastomosis y el restante desarrollo de hemopericardio con signos de taponamiento cardíaco, mientras que en el grupo sTSVD no se registraron eventos adversos (p = 0,28). No hubo cambios significativos en las dimensiones de ramas pulmonares en grupo aBTm: en la rama pulmonar derecha (RPD), pre paliación el score Z fue -3 (RIC 4,20), y se incrementó a -1,6 (RIC 1,56) post intervención (p = 0,11). En la rama pulmonar izquierda (RPI) el score Z pre paliación fue -2,5 (RIC 4,8), y se incrementó a -1,80 (RIC 2,36) post intervención (p= 0,44). En el grupo sTSVD se encontró diferencia significativa en estas dimensiones: en la RPD pre paliación el score Z fue - 3,45 (RIC 3,83) y aumentó a -2,5 (RIC 3,58) post intervención (p = 0,021); en la RPI el score Z pre paliación fue -4,10 (RIC 2,51) y aumentó a -2,00 (RIC 3,75) post intervención (p = 0,011) (Figuras 1 y 2). Se observó un aumento significativo en la saturación de O2 (SO2) en ambos grupos: la SO2 mediana pre intervención, de 75% (RIC 6) aumentó a 87% (RIC 9) post intervención en el grupo aBTm (p= 0,005); y la de 75% (RIC 16) a 91% (RIC 13) en el grupo sTSVD (p = 0,008) (Figura 3). El tiempo medio de estadía hospitalaria post procedimiento fue de 10 días (RIC 11) en el grupo aBTm y de 6 días (RIC 2) en el grupo sTSVD (p = 0,095). La edad mediana a la cirugía correctiva fue 24 meses (RIC 12) para el grupo aBTm y de meses (RIC 4) para el grupo sTSVD. La reparación quirúrgica definitiva en grupo aBTm requirió colocación de tubo entre ventrículo derecho y arteria pulmonar por anomalía coronaria en el 18% de los pacientes, preservación de anillo pulmonar en el 27% y parche transanular en el 55%. En el grupo sTSVD, la extracción del stent fue posible en todos los pacientes y los 9 casos que recibieron esta técnica paliativa inicial requirieron colocación de parche transanular. No se registró mortalidad tanto en los procedimientos paliativos como en los correctivos en toda la cohorte de pacientes intervenidos.



DISCUSIÓN
La mayoría de los pacientes asintomáticos con TF que presentan ramas pulmonares confluentes de buen calibre, reciben reparación quirúrgica primaria entre los 3-9 meses de edad con un peso aproximado de 5-9 kg, con excelentes resultados 1,2. Recién nacidos o lactantes menores que requieren intervenciones tempranas, usualmente están dependientes de prostaglandinas o presentan cianosis severa con flujo anterógrado pulmonar muy disminuido a consecuencia de una anatomía desfavorable del TSVD (estenosis infundibular o valvular) y/o del árbol vascular pulmonar (ramas pulmonares hipoplásicas o presencia de colaterales). La realización de una aBTm inicial es una estrategia efectiva en estos pacientes sintomáticos y/o con mala anatomía o comorbilidades significativas (prematurez, bajo peso, infecciones, anormalidades neurológicas / renales / gastrointestinales), aunque está asociada a una alta morbilidad temprana y tardía 3. Complicaciones alejadas, como la distorsión de las ramas pulmonares, parálisis de cuerdas vocales y/o del hemidiafragma, hiperfunción y las secundarias a la toracotomía/esternotomía, tienen también impacto a largo plazo 4.
Las técnicas percutáneas intervencionistas en cardiopatías congénitas han tenido un desarrollo exponencial durante los últimos 20 años. Como consecuencia de estos avances, pacientes prematuros y neonatos cianóticos han sido tratados con implante de stents en el ductus arterioso o en una aBTm disfuncionante para mantener un flujo vascular pulmonar efectivo adecuado. Valiéndose de estas experiencias, el implante de sTSVD como alternativa a una aBTm está siendo elegido como una estrategia inicial segura, efectiva y reproducible en un número creciente de pacientes. 6,7,9,10,11 Los resultados a mediano plazo del sTSVD han demostrado una supervivencia similar a la aBTm, con menor tiempo de estancia hospitalaria y complicaciones peri procedimiento, aunque asociados a una tasa de re intervención mayor que el abordaje quirúrgico. 5
Nuestra experiencia inicial incluyó pacientes gravemente enfermos que se presentaron con cianosis severa, hipoxemia, dependientes de asistencia respiratoria mecánica, recibiendo prostaglandinas y con ramas pulmonares muy pequeñas como lo demuestra el score Z obtenido de las mismas. Fueron considerados de “alto riesgo” para cualquier tratamiento quirúrgico. Nuestra hipótesis fue que con esta técnica percutánea se logra una mejor y más estable hemodinamia, ya que el retorno venoso sistémico es dirigido a la circulación pulmonar, con incremento de la saturación periférica de oxígeno, a la vez que se evita una disminución de la presión diastólica de perfusión aórtica, lo que lleva a mejoría de la perfusión coronaria, en contraposición de lo observado con una aBTm. También se evita la toracotomía / esternotomía de la cirugía, que a menudo requiere la utilización de circulación extracorpórea con las potenciales complicaciones que estas intervenciones conllevan, sobre todo en el período neonatal 6. De acuerdo a la experiencia publicada, también el crecimiento de las ramas pulmonares (índices angiográficos de Nakata y McGoon y mediciones ecocardiográficas) es mayor con el aumento del flujo anterógrado al lecho vascular pulmonar a través del sTSVD en contraposición del flujo provisto por una aBTm. 7,12,13
En nuestra cohorte hubo un beneficio general en la selección de la estrategia de paliación inicial mediante la colocación de sTSVD sobre la aBTm en términos de crecimiento de arterias pulmonares cuantificado antes de la cirugía correctiva, ocurrencia de complicaciones agudas y tiempo de estadía hospitalaria. El tiempo para completar la reparación quirúrgica definitiva fue notablemente más corto en el grupo sTSVD en comparación con el grupo aBTm. Creemos que esto está relacionado con el mayor crecimiento de las ramas de las arterias pulmonares, pero también debido a un seguimiento más estricto de los pacientes que recibieron esta nueva técnica paliativa en nuestra institución, y la tendencia a realizar una reparación completa a edad más temprana para facilitar la extracción del stent. Hubo una diferencia significativa de utilización de parche transanular durante la reparación quirúrgica definitiva, debido a que en todos los pacientes con sTSVD, este último atravesaba la válvula pulmonar y por consiguiente la colocación del parche fue la regla. El menor tiempo de estadía hospitalaria se explica por la menor invasividad del procedimiento percutáneo comparado con el abordaje quirúrgico paliativo inicial, que en nuestra institución se realiza mediante esternotomía y muchas veces con utilización de circulación extracorpórea.
Potenciales limitaciones pueden influir en los resultados de nuestra experiencia. En primer lugar, se trata de un estudio retrospectivo y de un único centro asistencial, lo que puede implicar sesgos al momento de la elección del tratamiento indicado a cada paciente. La realización de la paliación inicial a través de colocación de sTSVD fue una estrategia escogida durante los últimos tres años.
No se realizó estudio de la variabilidad inter e intraobservador en la medición de las ramas pulmonares; sin embargo, ésta fue realizada por 3 operadores formados con más de 10 años de experiencia en la especialidad. Tanto el tiempo de internación como la ocurrencia de complicaciones mostraron una tendencia a ser más favorables en el grupo sTSVD, aunque no alcanzaron significación estadística. Es posible que la falta de demostración de beneficios en estos apartados se deba a una limitación de poder estadístico. El presente estudio reproduce experiencias reportadas por otros investigadores acerca de la eficacia y seguridad del implante de sTSVD como puente a una cirugía correctiva. Estudios de mayor número de pacientes, prospectivos y/o aleatorizados serán necesarios para identificar las características de los pacientes que se podrían beneficiar de una u otra estrategia de paliación en neonatos con tetralogía de Fallot que demuestren síntomas tempranamente.
CONCLUSION
En esta cohorte de casos, los neonatos sintomáticos con TF que recibieron sTSVD como paliación inicial mostraron un crecimiento mayor de ramas pulmonares comparados con el grupo que recibió aBTm. La utilización de parche transanular al momento de la corrección quirúrgica definitiva fue imperativo en el grupo sTSVD. Un tiempo de seguimiento más largo y un mayor número de pacientes serán necesarios para demostrar beneficios clínicos.
BIBLIOGRAFÍA
1. Van Arsdell GS, Maharaj GS, Tom J, Rao VK, Coles JG, Freedom RM et al. What is the optimal age for repair of tetralogy of Fallot? Circulation 2000;102 (19 Suppl 3):III123-9. https://doi.org/10.1161/01.CIR.102.suppl_3.III-123
2. Petrucci O, O’Brien SM, Jacobs ML, Jacobs SP, PB Manning, Eghtesady P. Risk factors for mortality and morbidity after the neonatal Blalock-Taussig shunt procedure. Ann Thorac Surg 2011;92:64251. https://doi.org/10.1016/j.athoracsur.2011.02.030
3. Al Habib H, Jacobs J, Mavroudis C, Tchervenkov CL, O’Brien SM, Mohammadi S et al. Contemporary patterns of management of tetralogy of Fallot: data from the Society of Thoracic Surgeons database. Ann Thorac Surg 2010;90:813-20. https://doi.org/10.1016/j.athoracsur.2010.03.110
4. Williams JA, Bansal AK, Kim BJ, Nwakanma LU, Patel ND, Seth AK et al. Two thousand Blalock-Taussig shunts: a six-decade experience. Ann ThoracSurg 2007;84:2070-5. https://doi.org/10.1016/j.athoracsur.2007.06.067
5. Bigdelian H, Ghaderian M, Sedighi M. Surgical repair of Tetralogy of Fallot following primary palliation: Right ventricular outflow track stenting versus modified Blalock-Taussig shunt. Indian Heart J 2018;70 Suppl 3:394-8. https://doi.org/10.1016/j.ihj.2018.06.020
6. Peirone A, Contreras A, Guadagnoli A, Francucci V, Juaneda I, Cabrera M et al. Implante de stent en tracto de salida de ventrículo derecho en tetralogía de Fallot severa: alternativa a la anastomosis de Blalock-Taussig. Rev Argent Cardiol 2019;87:125-30.
7. Quandt D, Ramchandani B, Stickley J, Mehta C, Bhole V, Barron DJ et al. Stenting of the right ventricular outflow tract promotes better pulmonary arterial growth compared with modified BlalockTaussig shunt palliation in tetralogy of Fallot-type lesions. JACC Cardiovasc Interv 2017;10:1774- 84. https://doi.org/10.1016/j.jcin.2017.06.023
8. Daubeney PE, Blackstone EH, Weintraub RG, Slavik Z, Scanlon J, Webber SA. Cardiol Young 1999;9:402-10. https://doi.org/10.1017/S1047951100005217
9. Dohlen G, Chatuverdi RR, Benson LN, Ozagua A, Van Arsdell GS, Fruitman DS et al. Stenting of the right ventricular outflow tract in the symptomatic infant with tetralogy of Fallot. Heart. 2009;95:142-7. https://doi.org/10.1136/hrt.2007.135723
10. Sandoval J, Chaturvedi R, Benson L, Morgan G, Van Arsdell G, Honjo O et al. Right ventricular outflow tract stenting in tetralogy of Fallot infants with risk factors for early primary repair. Circ Cardiovasc Interv. 2016;9: e003979. https://doi.org/10.1161/CIRCINTERVENTIONS.116.003979
11. Quandt D, Ramchandani B, Penford G, Stickley J, Bhole V, Mehta C et al. Right ventricular outflow tract stent versus BT shunt palliation in tetralogy of Fallot. Heart 2017;103:1985-91. https://doi.org/10.1136/heartjnl-2016-310620
12. Wilder T, Van Arsdell G, Benson L, Pham-Hung E, Gritti M, Page A et al. Young infants with severe tetralogy of Fallot: Early primary surgery versus transcatheter palliation. J Thorac Cardiovasc Surg 2017;154:1692-700. https://doi.org/10.1016/j.jtcvs.2017.05.042
13. Barron D, Ramchandani B, Murala J, Stumper O, De Giovanni J, Jones T et al. Surgery following primary right ventricular outflow tract stenting for Fallot’s tetralogy and variants: rehabilitation of small pulmonary arteries. Eur J Cardiothorac Surg. 2013;44:656-62. https://doi.org/10.1093/ejcts/ezt188
Notas de autor
Dirección para separatas: Dra. Fátima Rocchia, Av. Pueyrredón 149, Córdoba, 3564- 582542, E-mail: fatimarocchia@gmail.com