Fair Value Accounting: measurements of biological assets in praxis andperspectives of accounting professionals in the Brazilian sugarcane sector
Fair Value Accounting: a mensuração de ativos biológicos na práxis e perspectivas dos profissionais contábeis do setor sucroenergético brasileiro
Fair Value Accounting: measurements of biological assets in praxis andperspectives of accounting professionals in the Brazilian sugarcane sector
Enfoque: Reflexão Contábil, vol. 37, pp. 143-162, 2018
Universidade Estadual de Maringá

Received: 13 December 2017
Accepted: 05 February 2018
Abstract: This study aimed to analyze the context of fair value measurements of biological assets under the accounting professionals’ perspective from the Brazilian sugarcane sector. Secondly, verifying the existence of clusters among the participants of the study and also checking whether or not there is a relationship between the accounting professional’s profile and his perception of the impacts on the measurement of biological assets. A field study was carried out utilizing a survey with qualitative and quantitative approach, involving cluster analysis, content analysis and Fisher’s exact test, considering a population sample of 32 accounting professionals from the sector. From the cluster analysis it was possible to identify the existence of three professional groups with similar characteristics of profile and perception of impacts brought by IAS nº 41. The quantitative analysis shows that the professionals that work in plants located in states with high or low concentration of sugarcane productive chain perceive the rule distinctively. The qualitative analysis suggest that there are two views, one against and the other in favor of the rule, showing that there is not a consensus when it comes to enforcing the rule in the sector. As few studies attempt to analyze the impact, advantages and disadvantages from the accountant’s point of view, this study contributes to fill out this gap. This study offers insights to the governing entities on the necessity of a greater practical detailing and problems related to the acceptance of the rule in Brazil.
Keywords: IAS 41, Biological assets, Fair value.
Resumo: Este estudo teve por objetivo analisar o contexto da mensuração do fair value dos ativos biológicos na perspectiva dos profissionais contábeis do setor sucroalcooleiro brasileiro. Secundariamente, buscou-se verificar a existência de clusters entre os participantes do estudo, e também verificar se existe relação entre o perfil do profissional contábil com a sua percepção de impactos na mensuração de ativos biológicos. Para tanto, foi realizada uma pesquisa de campo, tipo survey com abordagem qualitativa e quantitativa, envolvendo análise de cluster, analise de conteúdo e o teste exato de Fisher, considerando uma amostra populacional de 32 profissionais contábeis do setor. A partir da análise de cluster foi possível identificar a existência de três grupos de profissionais com características similares de perfil e percepção dos impactos trazidos pela IAS nº 41. A análise quantitativa demonstra que os profissionais que atuam em usinas localizadas em estados com forte ou fraca concentração da cadeia produtiva da cana-deaçúcar percebem a norma de maneira distinta. Os resultados qualitativos sugerem duas visões, sendo uma contrária e outra favorável a norma, demonstrando que não há um consenso quanto à aplicação da norma no setor. Como poucos estudos buscam analisar os impactos, vantagens e desvantagens do ponto de vista do profissional contábil, este estudo contribui para o preenchimento dessa lacuna. Esse estudo oferece insights para as entidades normatizadoras sobre a necessidade de maior detalhamento prático e problemas de aceitação da norma no Brasil.
Palavras-chave: IAS 41, Ativos Biológicos, Fair value.
1 INTRODUCTION
The international standardization of accounting rules has been discussed since 1973 and became more intense with the establishment of the International Accounting Standards Board (IASB) in 2001 (NIYAMA, 2007). The adoption process of the International Financial Reporting Standards (IFRS) by several countries in the world is pointed by Daske et al. (2008) as a great regulating landmark in the history of accounting, and also represents a theoretical landmark in this study.
The adoption of IFRS with the publishing of the International Accounting Standards (IAS) nº 41 – Agriculture. the rural entities have had to meet an accounting demand to measure their biological assets and agricultural products, the fair value, most of the times abandoning the concept of historical cost. In 2010, in CPC issue nº 29 the same recommendations of IAS nº 41 were also adopted by Brazilian entities.
The superiority of fair value accounting on the historical cost is due to its capacity to incorporate new market conditions in the accounting numbers, providing more relevant useful information for economical decision making (ARGILÉS; GARCIA-BLANDON; MONLLAU, 2011; ARGILÉS BOSCH; ALIBERCH; BLANDÓN, 2012; ATHANASIOS; STERGIOS; LASKARIDOU, 2010; BARLEV; HADDAD, 2003; BARTH; LANDSMAN; LANG, 2008; DOWLING; GODFREY, 2001; GONÇALVES; LOPES; CRAIG, 2017; LEFTER; ROMAN, 2007; PENG; BEWLEY, 2010). However, there are several criticisms to fair value because it is an estimate-based measurement, mainly for assets that do not possess an active market and that consequently demand high level of judgement from the accounting professional (BOOTH; WALKER, 2003; COSENZA; LAURENCEL, 2011; ELAD, 2004; ELAD; HERBOHN, 2011; HERBOHN; HERBOHN, 2006; WATTS, 2003).
Argilés Bosch, Aliberch and Blandón (2012), Bohušová, Svoboda and Nerudová (2012), Rech and Pereira (2012), Hinke and Stárová (2013), Maina and Wingard (2013) and Mates et al. (2015) identified the obstacles, difficulties and shortcomings as well as the benefits and advantages of IAS nº 41 implementation. However, few studies aim to analyze the impacts, advantages and disadvantages from the accountant’s point of view that needs to apply the rule to meet the accounting legislation and mainly attend the stakeholders.
Due to the fact that sugarcane is a living plant subject to the growth and degeneration processes, it is considered a biological asset and represents a significant part of the equity of agro industries in the sugarcane sector. In the 2016/17 harvest, the sugarcane cultivated area in Brazil totalized 9,049,200 hectares, resulting in 657,184,000 tons, destined to the production of several aggregated-value products such as animal feeds, biofuels and bioenergy (CONAB, 2017).
The Brazilian sugarcane sector occupies an outstanding position among the agribusiness sectors, mainly because of its social and economic relevance, technological qualification and low production costs. The environmental importance of the sector reinforces this position, especially due to the potential that Brazilian ethanol has to reduce CO2 emissions in a short term (JAISWAL et al., 2017).
Therefore, due to the relevance of the sugarcane sector and the implementation of IAS nº 41 in Brazil, the following guiding issue of this study comes up: what do accounting professionals in the sugarcane sector perceive as impacts, advantages and disadvantages of the rule enforcement? From this context, the aim of this study is defined, that is, analyzing the measurement context of biological asset fair value under the accounting professionals’ perspective and also verifying the existence of clusters among the participants of the study and verifying if there is a relationship between the accounting professional and his perception of impacts in the measurement of biological assets.
In order to reach these goals, a literature review on fair value accounting for biological assets is initially done. Posteriorly, the adopted methodology in this study and the discussion of impacts, advantages and disadvantages perceived by accounting professionals from the sugarcane sector perceived are discussed and, finally, the final considerations and references are presented. This is a survey-based study focusing on the professionals who enforce the rule in the entrepreneurial practice in order to provide contributions to the users as well as to the accounting information regulators to clear out the professionals’ view and the acceptance of IAS nº 41 in the Brazilian sugarcane sector.
2 ACCOUNTING OF FAIR VALUE FOR BIOLOGICAL ASSETS
The accounting model based in principles have prevailed in IFRS (DANTAS et al., 2010), and these principles allow accounting professional and managers discretion when opting for the types of practices, techniques and accounting criteria. This model has a lot of advantages, mainly due to the freedom the accounting professional has to choose the technique that best represents the economic reality of the equity, but it opens possibilities for result management (CORMIER et al., 2009; HELLMAN, 2011; SILVA; NARDI; RIBEIRO, 2015).
Among the several IASB rules, IAS nº 41 – Agriculture covers the measurement of biological assets and agricultural products. This rule introduced the legal enforcement of fair value measurement of the main assets of the entities that work in agribusiness. IFRS nº 13 defines fair value as the price that would be received for the sales of an asset or paid for the transfer of a passive in a non-forced transaction between participants of the market on the evaluation date. In its last modification, IAS nº 41 determined that, from the 2016 financial year onwards, bearer plants have to be measured at historical cost instead of fair value, equating the accounting treatment of these assets to fixed assets.
Because of the new demands brought by IFRS to the agricultural entities, it is necessary to evaluate the effects of IAS nº 41to the accounting reality of agribusiness. Scholarly studies have emphasized the rule enforcement to the local reality, the measurement methods and criterion, the impacts of measurement on deferred corporate income taxes, the total value of biological assets, the equity, the explanatory notes, the information capacity and relevance of financial reporting, the impact on credit access as well as the impact of auditing on the measurement of these assets. These will be discussed next.
Holtz and Almeida (2013) showed the influence of biological asset measurement on the information capacity and relevance of financial reporting and verified that the information content of biological assets, released by companies listed in BM&FBovespa in 2010 and 2011 was not relevant for the analyzed sample. For the authors, the loss of relevance occurred partly due to the low quality of explanatory notes. Booth and Walker (2003) considered that the measurements of vines in Australia at net market value can generate fictitious and confusing information, reducing the relevance of the accounting information. Kurniawan, Mulawarman and Kamayanti (2014) also criticize IAS nº 41, because the fair value evaluation within the international standards is not considered reliable since it is overly subjective and does not apply to the local reality of Indonesia where the farmers have their own system to record biological assets and, therefore, the adoption of IAS nº 41 does not generate useful information for decision making.
Silva Filho, Martins and Machado (2013) disagree with Booth and Walker (2003), Holtz and Almeida (2013) and Kurniawan, Mulawarman and Kamayanti (2014), when verifying benefits from the information perspective, once the difference between the market estimate of fair value and the accounting numbers was lower compared to the measurement at historical cost. The information related to biological asset fair value are more useful for decision making than the ones at historical cost (HUFFMAN, 2016). Thus, under the market perspective, the information on biological asset valuation is relevant and the measurement of fair value is reliable(MARTINS; MACHADO; CALLADO, 2014). Such information is relevant, mainly for companies with greater levels of disclosure and release (GONÇALVES; LOPES, 2015). These results reinforce the improvement of accounting quality in 21countries between the periods before and after the adoption of international accounting rules verified by Barth, Landsman and Lang (2008).
For Rech and Pereira (2012) in the measurement of biological assets of physical nature, the accounting professionals depend on the estimates of price and production, normally found by statistics of subjective data, which makes the application of fair value difficult for biological assets. Maina and Wingard (2013) argue that the lack of an active and transparent market for commodities in Kenya is a great challenge for the application of fair value in the measurement of biological assets. Likewise, IAS 41 presents controversial evaluation criteria and measurements, making the implementation of this rule difficult in agri-food industries in Romania (MATES et al., 2015).
Argilés Bosch, Aliberch and Blandón (2012) analyzed the difficulties in the enforcement of the rule in Spain which rises from the utilization of two assessment methods: fair value and historical cost. The former can be more easily applied in the Spanish agricultural sector than the latter. Bohušová and Svoboda (2016), when analyzing the measurements methods for apple orchards and milk cattle verified that the historical cost is appropriate for the measurement of bearer plants and that fair value measure is adequate for living animals.
According to Bohušová, Svoboda and Nerudová (2012) a solution for fair value report, mainly in the biological transformation phase, could be represented by the harmonization of methods because IAS nº 41 does not solve the problem related to the way to evidence the value and costs related to the biological transformation of these assets. Hinke and Stárová (2013) compared the accounting rules of the Czech Republic with IFRS, culminating in the recommendation for changes in the Czech accounting and taxation rules that if implemented would result in more real and reliable accounting information. The authors also verified some skepticism from the Czech accounting professionals’ part to utilize fair value as a measurement basis of biological assets and agricultural products.
The measurement discretion of biological assets is conditioned to the presentation of premises and information utilized in the assessment of explanatory notes, mainly for biological assets that do not have an active market. Barros et al. (2012) show the superficiality and insufficiency of the available information in explanatory notes as well as for the partial accordance of release requirements demanded by the rule, verified by Silva et al.(2013). However, this information release scenario may be changing because there was a significant increase in the conformity level of Brazilian companies along time (MACEDO; CAMPAGNONI; ROVER,2015).
The measurement impacts of biological assets in the equity of the amount highlighted in the balance sheet and deferred corporate income taxes were studied in Brazil. Silva Filho et al. (2012), Brito and Ambrozini (2013) and Silva Filho, Martins and Machado (2013) identified the existence of significant impact of fair value adoption on the evaluation of biological assets in relation to several net equities of Brazilian agribusiness companies.
Barros et al. (2012) when analyzing the financial statements from 2008 to 2010 of Mafrig, Cosan, Suzano, JBS and Klabin companies verified that the average of biological asset values increased in all analyzed periods with significant variations after the fair value adoption. This fact was also verified by Silva Filho, Martins and Machado (2013, p. 123), because the “change of the accounting criterion to measure the biological assets caused a statistically significant alteration in the balance of these goods.”
The impact of deferred corporate income taxes was made evident by Rech, Pereira and Oliveira (2008), who identified that the measurement of biological assets by the fair value in the livestock activity impacts passive value by deferred corporate income taxes. Similarly, Einsweiller and Fischer (2013) verified that fair value measurement has significant effects on the deferred corporate income taxes of paper and cellulose companies, and both studies state that with this recognition, the transparency in financial statements is increased.
The relevance of information related to biological assets for the access to credit was studied by Acuña (2015, p. 133), who identified that such information is useful and desired by credit analysts, but the author makes an exception because the “credit analyst users are not satisfied with the lack of standardization for the presentation of effects of adjustments to fair value of biological assets”, making it a reflection point for accounting professionals and regulatory organs.”
Regarding the external auditing in the measurement of biological assets, Acuña (2015, p. 133) identified that “the analysts value the support by renowned auditing services, an aspect that provides them comfort allowing them not to question the reported figures emphatically” considering the fact that if a company is audited by one of the Big Four, the quality of the accounting information increases (IATRIDIS, 2011). Caramanis and Lennox (2008) reiterate that the auditing service is directed related to the quality of the accounting information.
3 METHODOLOGY
A field studying using a survey was carried out with a population sample of the sugarcane sector in order to identify the impacts, advantages and disadvantages perceived by accounting professionals that measure the fair value of biological assets.
The survey tool was built based on the literature containing 21 questions, eight closed ones on the respondents’ profile, other eight closed ones on the impact of biological asset measurement and five open questions on the perception, benefits, advantages and disadvantages of the rule. The response options of closed questions were organized in a nominal scale, interval scale and ordinal scale (Likertmethod).
The analysis variables involved the impacts on equity, release volume, relevance and subjectivity of generated information. The advantages and disadvantages of biological asset measurement as well as the respondents’ profile and perception regarding the enforcement of IAS 41 in the context of the Brazilian sugarcane sector were also analyzed.
Before data collection, a pre-test of the survey was conducted with three senior professionals working in sugarcane companies. After the feedback on the first version, the re-adjustment of the text for some questions, the exclusion of repeated questions and the addition of open questions that included the perception/opinion of accounting professionals regarding the measurement of biological assets were done.
According to Novacana (2017), presently there are 215 groups of sugarcane plants in Brazil and 55.28% of their units are located in the southeastern region, 17.94% in the northeastern region, 17.44% in the center-western region, 8.11% in the southern region and 1.23 % in the northern region; all these 215 groups were considered the population of this study.
The sample selection was random through a draw of 115 groups, considering the group headquarters as the main contact. The surveys were emailed to 115 professionals by there searcher and independent auditors who work in auditing companies (Price water house Coopers, KPMG and Ernst & Young) were also asked to email the survey so that there was a greater response index. This support and interest in the result were fundamental to reach the objectives of this study. The questionnaire application to accounting professionals from companies that work in the sugarcane sector happened from January to March, 2017 utilizing the survey monkey tool. The method for data collection and definition of the analysis basis is shown in Figure1.

After data collection, a quantitative analysis of the open responses was done utilizing the technique of content analysis proposed by Bardin (2011), involving the pre-exploration phase of the material with floating readings of the questionnaire corpus, the selection of the analysis units as well as the process of categorization and progressive grouping of the categories. A descriptive analysis of the results was also done to obtain graphs and tables of frequency in order to characterize the individuals. The absolute frequency and the percentage for the category variables were utilized to describe the results. The respondents were identified as R1 to R32 to assure their anonymity.
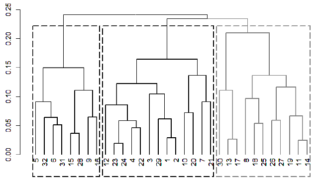
A cluster analysis by complete linkage hierarchical clustering was donein order to gather the professionals into groups that present similar characterisitcs. The clustering method was applied considering the general variables according to the surveyed responses by 32 participating professionals.
Because there was no knowledge on the number of groups the responding professionals would be divided into, the hierarchal approach was chosen by utilizing the complete linkage method. In each stage of agglomeration, two groups with the shortest maximum distance (more similar) were combined (HAIR JR. et al. ,2009). A dendogram was also built to evaluate the proximity of the observations and to select the number of groups. Pseudo-. indices based on mutability (PSFM) and on entropy (PSFE) were considered to determine na optimal number of clusters. Pseudo-. indices are based on . statistics and one cluster solution with the greatest value of this statistics is considered the best (ŠULC; ŘEZANKOVÁ, 2014). As all the variables considered in the cluster analysis have categorical analysis, the similarity measurement utilized in this study was proposed by Eskin et al. (2002). All the analyses were done with the help of R statistical environment (R Development Core Team), version 3.3.1, and nomclust and dendextend packages were utilized for for the cluster analysis.
Fisher’s exact test was utilized as an alternative to the chi-square test to investigare the possible association between the variables of the profile with the percepetion of the measurement impacts of biological assets instaed of contingency tables in which tere are expected values lower than 5. The level of significance was fixed at 5% and all analyses were done with the help of R statistical environment, version 3.3.1.
4 RESULTS AND DISCUSSIONS
Initially, the information on the participating accounting professionals’ profile is shown and then the impacts of biological asset measurement perceived by the accounting professional are explained. In the following section, the cluster analysis and the association of the accounting professionals’ profile variables versus the perception of the impacts of biological asset measurements is presented; and finally, the advantages, benefits, difficulties and disadvantages of the rule in the sugarcane sectorcontext.
4.1 PROFILE OF THE ACCOUNTING PROFESSIONALS IN THE SUGARCANE SECTOR
Due to the high degree of difficulty and access to the responsible professionals for the measurement of biological assets such as controllers, auditors, accountants, controlling managers and Chief Financial Officer (CFO), a differential of this study stands out by presenting this theme under the accounting professionals’ perspective that make decision and that are directly impacted by rules that involve the biological asset measurement. The participating professionals’ profile is presented in Table 1.

It is observed that most of the respondents are male, aged between 31 and 50 years old, with certificate or MBA degree, occupying a management position. The predominant experience time is over six years in the accounting area and more than three years in biological asset measurement bound to close-ended Corporations or Limited Liability Companies, located mainly in the states of São Paulo, Paraná and Mato Grosso doSul.
4.2 IMPACTS OF BIOLOGICAL ASSET MEASUREMENT
A question allowing the respondent to check all the alternatives that he considered important was asked to analyze the evaluation impact of biological asset in financial reporting of the company, according to Graph 1.

Graph 1shows that the biological asset measurement impacts the total amount of these assets, it also impacts the liquid equity and increases the information volume to be released in explanatory notes. It was also verified that most of the professionals do not consider that there was an increase in the subjectivity of the financial reporting, but the biological asset measurement does not increase the informational capacity and relevance of the financial reporting.
The accounting professionals understand that the biological asset measurement impacts on the total amount of these assets and the choice of methods, adopted methodologies and techniques which are important for the appropriate report of the biological asset value. This aspect, besides expected, reinforces the identification made by Barros et al. (2012) and by Silva Filho, Martins and Machado (2013).
Most of the respondents consider that the biological asset measurement impact the liquid equity, demonstrating that the preparers of the financial reporting of the sugarcane sector understand that this impact exists, suggesting that there are more conscious and judicious accounting choices for measuring these assets. This impact had been made evident by Silva Filho et al. (2012), Brito and Ambrozini (2013) and Silva Filho, Martins and Machado (2013).
The biological asset measurement, in the respondents’ opinion, increases the information volume to be released in explanatory notes, which can be one of the explanations for the superficiality problem and information insufficiency available in explanatory notes verified by Barros et al. (2012) and Silva et al. (2013). The basic concept establishes that the benefits resulting from the accounting information have to exceed the cost to produce them (CPC, 2010); however, it is important to point out that the accounting professional has the duty to report the equity based on the assumptions of comprehensibility, relevance, reliability, comparability and transparency, and has to meet stakeholders completely based on the information volume that needs to be released. However, this scenario of low quality of explanatory notes can be changing, as verified by Macedo, Campagnoni and Rover (2015).
Another finding is that most of the respondents do not consider that the biological asset measurement increases the subjectivity of the financial reporting. This suggests that , despite the high level of judgement and possibility of result management, criticized by Elad (2004), Elad and Herbohn (2011), Herbohn and Herbohn (2006) and Watts (2003), the professionals do not notice the increase of subjectivity in the financial reporting, starting “responsible subjectivism” discussed by Fuji and Slomski (2003). One of the respondents pointed out that the matter of increase in the subjectivity of the biological asset measurement “[...] is only raised by the reason of a culture where the accounting rules based on the legislation overlaps the concept of fair value (perceived value) or still by the lack of understanding of the method to have the reliability in the numbers generated in the evaluation [...]” (R26).
The impact on the deferred corporate income taxes was considered only by 40.63% of the respondents. This fact deserves attention because, although this impact has not been tested scientifically in sugarcane companies, there are evidences of them in the livestock (RECH; PEREIRA; OLIVEIRA, 2008), cellulose and paper sectors (EINSWEILLER; FISCHER, 2013).
Most of the respondents do not consider that the biological asset measurement increases the informational capacity and relevance of financial reporting. This aspect stands out in this study because it shows the critical view of the professionals who make this measurement on the most important characteristic of the financial reporting, whichever it is to manage useful and relevant information for decision making. This view is corroborated by Booth and Walker (2003), Holtz and Almeida (2013) and Kurniawan, Mulawarman and Kamayanti (2014); however, it meets the studies by Barth, Landsman and Lang (2008), Silva Filho, Martins and Machado (2013), Martins, Machado and Callado (2014), Gonçalves and Lopes (2015) and Huffman (2016).
Another evaluated aspect was the accounting professionals’ perception regarding the impact of biological assets in credit access. Therefore, the respondents were asked, “How
important are biological assets in credit access (financing)?”, and the following perceptions were verified:

Itis verified that 88% of the participants consider information related to relevant biological assets for credit access. Their view repeats the results found by Acuña (2015).
The external auditing can influence the accounting choices. Therefore, the participants were surveyed about the level of impact/influence of the external auditing on the biological asset measurement, and the results indicate that:

It was evident that the external auditing impacts or influences significantly the biological asset measurement, corroborating Caramanis and Lennox (2008), regarding the fact that the auditing work is directly related to the accounting information quality. However, it is important to point out that the accounting itself must report the economic substance of the equity components and should not create biases by pressure of the external auditing. The importance of auditing was demonstrated by Acuña (2015) and is reinforced by Iatridis (2011).
4.3 PROFESSIONALS’ PROFILE VERSUS PERCEPTION OF BIOLOGICAL ASSET MEASUREMENT IMPACTS
Due to the lack of unanimity among the accounting professionals regarding the impacts of the enforcement of IAS nº 41 on the sugarcane sector, grouping analyses were done to identify the existence of groups with similar characteristics as well as association tests. They aimed to verify if the variables of the professional profile are associated to the accounting professionals’ perception of the impacts brought by the biological asset measurement.
The cluster analysis on the responses of 32 participating professionals in the survey considered the general variables of the study and the following pseudo F indices were obtained based on mutability and entropy for different numbers of cluster.
| Number of clusters | PSFM | PSFE |
| 2 | 3.109 | 3.406 |
| 3 | 3.873 | 4.057 |
| 4 | 3.545 | 3.668 |
It is observed in Table 2 that both indices were greater for the grouping of three clusters, indicating the optimal number of clusters among which the observations will be divided. The dendogram presented in Figure 2 shows the division of participating professional among the three considered clusters.

The first cluster consists of eight, the second of13 and the third of11participants that compose the sample. Figure 3 was elaborated to identify the characteristics of the professionals grouped in each cluster.

In Figure 3, it is noted that the respondents that form the first cluster predominantly have six to ten years of professional experience (75%) and all of them point out that the evaluation of biological assets impacts on the total amount of biological assets, increases the informational capacity and relevance of financial reporting, but it does not impact the deferred corporate income taxes (75%) and does not increase the subjectivity of the financial reporting either (75%).
However, among the professionals placed in the second cluster, it is noted that most believe that the biological asset evaluation significantly impacts equity(84.62%), impacts the total amount of biological assets (84.62%), increases the subjectivity of financial reporting(84.62%) and increases the information amount to be released in explanatory notes (92.31%), but they point out that such evaluation does not increase the information capacity and the relevance of financial reporting (92.31%).
Finally, among the participating professionals grouped in the third cluster, most of them answered negatively when asked if the biological asset evaluation increases the information capacity and the relevance of the financial reporting (81.82%), increases the subjectivity of the financial reporting (81.82%), and for all of them it increases the information amount to be released in explanatory notes.
A quantitative analysis was done utilizing Fisher’s exact test to try to explain some of the variables that interfere in the way the accounting professional perceive the rule. The association of the participants’ perception with the size and state where the company is located, the academic background, time of professional experience as well as time utilizing biological asset measurement was verified, considering a level of significance at 5%. The results of Fisher’s exact test are shown in Table 3.

* Significant association.
The data from Table 3 present evidences that the state where the company is located is significantly associated to the issues of: impact on deferred corporate income taxes (p value of 0.0126), increase in the information amount to be released in explanatory notes (p value of 0.0003) and impact of the external auditing on the biological asset (p value of 0.0003).
Due to the sample characteristic that refers to the states where the companies are located, the states of São Paulo (37.50%), Paraná (31.25%), Mato Grosso do Sul (15.63%), Pernambuco (13.13%), Alagoas (6.25%), Mato Grosso (3.13%) and Tocantins(3.13%) and the development stages of the sugarcane plants in Brazil, the results suggest that the professional’s perception changes according to the local reality where he applies the rule which is an important result in thestudy.
There were not enough samples to make evident that the other studied associations were significant according to Fisher’s exact test at 5 % of significance. These results are surprising considering the size of the company, academic background, time of experience in the accounting area as well as measurement of biological assets are not associated to the respondents’ perception on the rule.
4.4 ACCOUNTING PROFESSIONALS’ PERCEPTION OF FAIR VALUE ACCOUNTING IN BIOLOGICAL ASSET MEASUREMENT
Open questions were asked to identify the accounting professionals’ perception on the mandatory insertion of biological asset measurement in Brazilian accounting. The results suggest that there are two views, one against the rule and another in favor of it, involving the relevance of accounting information, financial reporting, the measuring methodology, result management, normative aspects, and professional valorization and profile.
Views on the relevance of biological asset information were initially identified. It was verified that professionals who are in favor of the rule realize that the reported information are useful and important for the decision making, which brings a greater prediction values for the financial reporting, making the companies give greater importance to accounting numbers. This perception is demonstrated in the response by several participants and that can be verified by the following statement “[...] in my understanding, it makes evident the fact that the agricultural product, in our case sugarcane, is really valuable since at harvest point it is already recognized in the balance with the real and just market value [...]” (R28).The opposing view defends that the biological asset measurement is not informative or reliable, instead it is subjective and usually not considered by investors, as answered by one of the professionals “[...] the fair value involves high estimate level and judgement. It is totally subject to result management. Investors do not consider [...]” (R24). It is evident that there is no consensus among the accounting professional in the sugarcane sector regarding the relevance of information regarding biological assets, reinforcing the favorable currents to the rule (ARGILÉS; GARCIA-BLANDON; MONLLAU, 2011; ARGILÉS BOSCH; ALIBERCH; BLANDÓN, 2012; ATHANASIOS; STERGIOS; LASKARIDOU, 2010; BARLEV; HADDAD, 2003; BARTH; LANDSMAN; LANG, 2008; DOWLING; GODFREY, 2001; GONÇALVES; LOPES; CRAIG, 2017; LEFTER; ROMAN, 2007; PENG; BEWLEY, 2010) and the ones against it (BOOTH; WALKER, 2003; COSENZA; LAURENCEL, 2011; ELAD, 2004; ELAD; HERBOHN, 2011; HERBOHN; HERBOHN, 2006; WATTS, 2003).
Regarding the financial reporting, the professionals who favor the biological asset fair value measurement state that the verified results reflect the equity reality, that is, present close equity values to the ones in the market, which is fundamental to the correct disclosure of the equity, including the possibility to compare it with the one from other entities. This stands out in the response by one of the participating professionals in the research study: “[...] they reflect the real equity value. The historical cost does not offer any information close to the reality [...]” (R10).The opposing view understands that the biological asset measurement many times does not reflect the equity reality, according to one of the professionals’ response “[...] It is a complex topic, mainly for sugarcane, without an asset Market where the measurement is done through the cash flow and the results many times do not reflect the reality [...]”(R2).
These opposing perceptions are important for governing entities because they reveal problems of rule acceptance and belief in the information generated by accounting. The opposing view stands out because the accountant is responsible for generating accounting information does not believe that it reflects the equity reality or that it will be presented as such to stakeholders, mainly the internal ones. Such situation jeopardizes the quality and the usefulness of financial reporting and consequently the accounting itself.
The measurement methodology was one of the main reflection points raised by the respondents. The favorable view argues that sugarcane measurement must be done by discounted cash flow, which demands reliable information and assumptions. Some of the participants believe that the fair value measurement must occur only at harvest. However, the opposing view is multifaceted regarding the measuring methodology because some believe that as sugarcane does not have an asset Market, the calculation is complex and there is great difficulty to define its assumptions. This complexity is made potent by the lack of a calculation method that is standard, clear and applicable mainly with the presently utilized concept of bearer plants. The most traditional accountants believe that because calculation may impact significantly the exercise result, it is better to keep utilizing the historical cost, that is, the accounting conservatism principle isapplied.
Accounting based on principles brings a series of benefits, but the “adoption of a model which demands more professional judgement and utilization of subjective criteria also brings more costs and risks” (Dantas et al., 2010, p.25).The result management was a risk raised by the participating accounting professionals and the supporters of the rule realize that discretion represents a number of choice possibilities, generating different results/impacts in financial reporting. However, the opponents to this rule believe that this great opening for accounting decisions allows the result management, “[...]liable for the recording of a more attractive value for the company owning the asset [...]”(R21), demonstrating that the professional are concerned with this opening, a view that is in accordance to the results by Cormier et al. (2009), Hellman (2011) and Silva, Nardi and Ribeiro (2015).
Regarding the normative aspects, the accountants supporting the enforcement of the rule state that it has brought benefits, advances and modernization to the Brazilian accounting, besides regulating the agricultural sector, whose importance is pointed out by one of the participants “[...] important because it inserts the measurement of output values in the accounting [...]” (R16). The respondents opposing to the rule defend that it is too subjective with high level of estimate and judgement , reinforcing the need of greater detailing and directed to professional responsible to apply it in practice.
Another aspect raised by the professional was the impact on the professional valorization and profile; the supporters of the rule believe that there is a valorization of the accounting professional, pointing out the need of transparency, capacitation and search for professional excellence. However, the opposing accountants defend that the enforcement of the rule made the professional work harder, according to the response of one of the professionals “[...] Presently we have a lot of difficulties to measure the value of a biological asset in Brazil [...]” (R29).
Two open questions were asked to identify the advantages and disadvantages and/or benefits and difficulties observed by accounting professional in the application of the rule. TheresultsareshowninChart1, detailing the respondents’ perception on the measuring method, time of cash flow projections, normative and agricultural aspects as well as the impacts inherent to biological asset measurement.
| Factor | Advantages/Benefits | Disadvantages/Difficulties |
| Measuring Methodology | Fair value represents the asset Market value; reflects the real value of the equity which is superior to the historical one; with the change in the rule, it has become possible to measure reliably the value of biological assets; it allows the administration to understand the risks on the biological assets realization; comparability of financial reporting. | Complexity; fair value measurement; Measurement of bearer plant value; calculation of TAB (Tax Amortization Benefit) factor; Acceptance of the methodology by users; assumptions impacted mainly by price volatility and exchange rate. |
| Projection Time | With the change in the rule, the projection time became more appropriate to estimate the values for a single cycle. | --- |
| Normative Aspects | Transparency in accounting; change in the rule is seen as positive; reduction ofvolatility; Presentation of the result expected in a short term. | Utilizing CPC 29 and CPC 46 in a practical way; Lack of a technical rule with more details; Lack of a database on biological assets with regional detailing. |
| Agricultural Aspects | --- | Insertion of climatic risk in the measurement; Great areas to be measured; Great varieties of sugarcane cultivars; Productivity estimates; Competition between accounting and agricultural information. |
| Impacts | Presents the economic asset value; Contributes to better understand the difference between accounting value and Market value of the company; Demonstrates impacts on the economic results in future periods; Demonstrates the real equity value; Demands governance; Improves liquidity and credit access. | Makes cost control difficult; Impacts result reliability; Little or no relevance of the generated information. |
Ac shown in Chart 1, it is verified that the change in the rule is seen as positive by accounting professional, mainly by the projection time of flow cash, which impact the biological asset measurement directly. However, there is still room to discuss the application and implications of the adoption of IAS nº 41 in the sugarcane sector, mainly on the utilization of fair value, the measurement considering bearer plants, the quality of information and its release as well as the acceptance of the rule and its impacts in the view of the financial reporting preparers.
5 FINAL CONSIDERATIONS
From the cluster analysis it was possible to identify the existence of three groups of professional with similar characteristics regarding their profiles as well as their perception of that the accounting professional who work in plants located in states with strong or weak concentration of sugarcane productive chain perceive the rule distinctively. It was verified that the age, time of experience in the accounting area and in biological asset measurement are not associated to the perception of the impact of the rule in the business practice.
It was verified that that the accounting professional consider that the biological asset measurement method impacts the financial reporting by reflecting in the total amount of these assets and equity. An important result is that most of the professionals do not consider that there was an increase in the subjectivity of the financial reporting; however, they do not consider that fair value measurement increases the informational capacity and the relevance of these reporting.
The qualitative results suggest that there are two views, one against the rule and the other in favor of it, that is, it was verified that there is not a consensus among the accounting professionals when it comes to the application of the rule in the sugarcane sector, corroborating with Laux and Leuz (2009). The accounting supporters of the rule perceive that the reported information is useful and important for decision making, which brings a greater prediction value to the financial reporting and that the companies started giving a greater importance to accounting numbers. However, the opposing view defends that the biological asset measurement is not informative, brings less reliability because it is surrounded by judgements and is usually not considered by investors. These antagonistic perceptions are important for governing entities because they bring out the problems of acceptance of the rule and belief in the information generated by accounting. For this rule to be fully adopted it is necessary that there is a consensus among professional, scientists and governing institutions.
The measurement methodology was one of the main reflection points raised by the respondents, reinforcing the need of standardization mentioned by Bohušová, Svoboda and Nerudová (2012). The professional supporting the rule believe that the sugarcane measurement should be done by discounted cash flow method utilizing reliable information and assumptions; however, the ones opposing the rule think that the necessary calculation is complex and that there is great difficulty to define its assumptions, and the most conservative believe that it is better to keep on utilizing the historical cost.
It was verified that the accounting professionals have positive expectations regarding the change of the rule related to the concept of bearer plants, but they demonstrate some concern regarding the lack of a methodology of standardized calculation that is accepted by stakeholders.
It is important to point out that IFRS are based on principles and demand greater judgement by preparers of financial reporting which causes a certain discomfort among theprofessionals who were used to the accounting based on rules. It is verified that the favorable view as well as the opposing one are not consensual and demand greater detailing on how to apply the rule in practice, demonstrating that the non-unanimity related to IFRS, mentioned by Dantas et al. (2010), are present in the adoption of IAS nº 41 by the sugarcane sector, allowing to perceive that there are signs that the accounting professional cannot handle discretion as stated by IAS nº 41 as well as by IFRS nº13.
The findings of this study indicate that there is still room to discuss the application and the implications of the adoption of IAS nº 41 in the sugarcane sector, mainly related to the utilization of fair value, the new rule forbearer plants, the impacts seen differently by the financial reporting preparers themselves, the information quality and its release, corroborating with the study by Damian et al. (2014) regarding that significant explanations are needed on the application of IAS nº 41 and biological asset fair value.
The conclusions presented here are limited to the obtained sample; however, it is considered that the respondents possess the necessary characteristics to meet the goals of this study because they have important positions in the sugarcane companies. Research studies that utilize surveys are subject to the respondents’ bias, which is a limitation in this study.
It is recommended that future studies be carried out to identify utilized assumptions by accounting professional to make evident the techniques which have been utilized in the measurement of biological asset fair value so that the difficulties mentioned here are cleared out in order to contribute to the search of a standardization of measurement methods. Another possibility of study would be to analyze the causes of the association between the state where the plants are installed and the impact of biological asset measurement perceived by accounting professionals.
REFERENCES
ACUÑA, B. C. M. Utilidade do valor justo de Ativos Biológicos para a análise de crédito de corporações brasileiras baseadas no agronegócio. São Paulo: FEA-USP, 2015.
ARGILÉS, J. M.; GARCIA-BLANDON, J.; MONLLAU, T. Fair value versus historical costbased valuation for biological assets: predictability of financial information. Revista de Contabilidad Spanish Accounting Review, v. 14, n. 2, p. 87–113, 2011.
ARGILÉS BOSCH, J. M.; ALIBERCH, A. S.; BLANDÓN, J. G. A comparative study of difficulties in accounting preparation and judgement in agriculture using fair value and historical cost for biological assets valuation. Revista de Contabilidad Spanish Accounting Review, v. 15, n. 1, p. 109–142, 2012.
ATHANASIOS, V.; STERGIOS, A.; LASKARIDOU, E. C. The Importance of Information through Accounting Practice in Agricultural Sector-European Data Network. Journal of Social Sciences, v. 6, n. 2, p. 221–228, 2010.
BARDIN, L. Análise de Conteúdo. 1. ed. São Paulo: Almedina Brasil, 2011.
BARLEV, B.; HADDAD, J. R. Fair value accounting and the management of the firm.Critical Perspectives on Accounting, v. 14, n. 4, p. 383–415, 2003.
BARROS, C. D. C. et al. O Impacto do Valor Justo na Mensuração dos Ativos Biológicos nas Empresas Listadas na BM&FBOVESPA. Revista de Contabilidade do Mestrado em Ciências Contábeis da UERJ, v. 17, n. 3, p. 41–59, 2012.
BARTH, M. E.; LANDSMAN, W. R.; LANG, M. H. International accounting standards and accounting quality. Journal of Accounting Research, v. 46, n. 3, p. 467–498, 2008.
BOHUŠOVÁ, H.; SVOBODA, P. Biological Assets: In What Way should be Measured by SMEs? Procedia Social and Behavioral Sciences, v. 220, p. 62–69, 2016.
BOHUŠOVÁ, H.; SVOBODA, P.; NERUDOVÁ, D. Biological assets reporting: Is the increase in value caused by the biological transformation revenue? Agricultural Economics (Czech Republic), v. 58, n. 11, p. 520–532, 2012.
BOOTH, B.; WALKER, R. G. Valuation of SGARAs in the Win Industry: time for sober reflection. Australian Accounting Review, v. 13, n. 3, p. 52–60, 2003.
BRITO, S. S.; AMBROZINI, M. A. Impactos da implementação das normas internacionais de contabilidade sobre indicadores financeiros: um estudo das empresas brasileiras com ativos biológicos. Revista Contabilidade Vista & Revista, v. 24, n. 3, p. 78–102, 2013.
CARAMANIS, C.; LENNOX, C. Audit effort and earnings management. Journal of Accounting and Economics, v. 45, n. 1, p. 116–138, 2008.
CONAB, C. N. DE A. Séries históricas cana-deaçúcar. Disponível em: <http://www.conab.gov.br>. Acesso em: 12 oct. 2017.
CORMIER, D. et al. First-Time Adoption of IFRS, Managerial Incentives, and ValueRelevance: Some French Evidence. Journal of International Accounting Research, v. 8, n. 2, p. 1–22, 2009.
COSENZA, J. P.; LAURENCEL, L. D. C. Análise epistemológica da valoração como constructo para decisões estratégicas: óticas contábil e econômica. Enfoque: Reflexão Contábil, v. 30, n. 3, p. 60–78, 2011.
CPC. Estrutura conceitual para a elaboração e apresentação das demonstrações contábeis CPC 00.
DAMIAN, M. I. et al. Bearer plants: Stakeholders’ view on the appropriate measurement model. Accounting and Management Information Systems, v. 13, n. 4, p. 719–738, 2014.
DANTAS, J. A. et al. Normatização Contábil Baseada em Princípios ou em Regras? Benefícios, Custos, Oportunidades e Riscos. Revista de Contabilidade e Organizações FEA-RP/USP, v. 4, n. 9, p. 3–29, 2010.
DASKE, H. et al. Mandatory IFRS reporting around the world: Early evidence on the economic consequences. Journal of Accounting Research, v. 46, n. 5, p. 1085–1142, 2008.
DOWLING, C.; GODFREY, J. AASB 1037 Sows the Seeds of Change: A Survey of SGARA Measurement Methods. Australian Accounting Review, v. 11, n. 23, p. 45–51, 2001.
EINSWEILLER, A. C.; FISCHER, A. Efeitos da aplicação de valor justo no ativo biológico de uma empresa do ramo de celulose e papel. Revista Catarinense da Ciência Contábil – CRCSC, v. 12, n. 37, p. 24–34, 2013.
ELAD, C. Fair value accounting in the agricultural sector: some implications for international accounting harmonization. European Accounting Review, v. 13, n. 4, p. 621–641, 2004.
ELAD, C.; HERBOHN, K. Implementing fair value accounting in the agricultural sector. Edinburgo: The institute of chartered accountants of Scotland, 2011.
ESKIN, E. et al. A Geometric Framework for Unsupervised Anomaly Detection. In: BARBARÁ, D.; JAJODIA, S. (Eds.). . Applications of data mining in computer security. 6. ed. Boston: Springer, 2002. p. 77–101.
FUJI, A. H.; SLOMSKI, V. Subjetivismo responsável: necessidade ou ousadia. Revista Contabilidade & Finanças USP, v. 14, n. 33, p. 33–44, 2003.
GONÇALVES, R.; LOPES, P. Accounting in Agriculture: Disclosure practices of listed firms. FEP Working Papers, n. 530, p. 1–34, 2015.
GONÇALVES, R.; LOPES, P.; CRAIG, R. Value relevance of biological assets under IFRS. Journal of International Accounting, Auditing and Taxation, v. 29, n. October, p. 118– 126, 2017.
HAIR JR., J. F. et al. Análise multivariada de dados. 6. ed. Porto Alegre: Bookman, 2009.
HELLMAN, N. Soft Adoption and Reporting Incentives: A Study of the Impact of IFRS on Financial Statements in Sweden. Journal of International Accounting Research, v. 10, n. 1, p. 61–83, 2011.
HERBOHN, K.; HERBOHN, J. International Accounting Standard ( IAS ) 41 : What Are theImplications for Reporting Forest Assets ? Small-scale Forest Economics, Management and Policy, v. 5, n. 2, p. 175–189, 2006.
HINKE, J.; STÁROVÁ, M. Application Possibilities and Consequences of Biological Assets and Agricultural Produce Reporting in Accordance with IFRS Principles in the Czech Republic. Agris Online Papers in Economics and Informatics, v. 5, n. 4, p. 77–89, 2013.
HOLTZ, L.; ALMEIDA, J. E. F. DE. Estudo sobre a Relevância e a Divulgação dos Ativos Biológicos das Empresas Listadas na BM&FBOVESPA. Sociedade, Contabilidade e Gestão, v. 8, n. 2, p. 28–46, 2013.
HUFFMAN, A. A. Asset use and the decision-usefulness of fair value measurement :Evidence from IAS 41. Disponível em: <http://dx.doi.org/10.2139/ssrn.2529974>. Acesso em: 20 feb. 2017.
IATRIDIS, G. E. Accounting disclosures, accounting quality and conditional and unconditional conservatism. International Review of Financial Analysis, v. 20, n. 2, p. 88– 102, 2011.
JAISWAL, D. et al. Brazilian sugarcane ethanol as an expandable green alternative to crude oil use. Nature Climate Change, v. October, p. 1–8, 23 Oct. 2017.
KURNIAWAN, R.; MULAWARMAN, A. D.; KAMAYANTI, A. Biological Assets Valuation Reconstruction: A Critical Study of IAS 41 on Agricultural Accounting in Indonesian Farmers. Procedia Social and Behavioral Sciences, v. 164, n. 1, p. 68–75, 2014.
LAUX, C.; LEUZ, C. The crisis of fair-value accounting: Making sense of the recent debate. Accounting, Organizations and Society, v. 34, n. 6–7, p. 826–834, 2009.
LEFTER, V.; ROMAN, A. G. IAS 41 Agriculture: Fair Value Accounting. Theoretical and Applied Economics, v. 5, n. 510, p. 12–15, 2007.
MACEDO, V. M.; CAMPAGNONI, M.; ROVER, S. Ativos Biológicos nas Companhias Abertas no Brasil: Conformidade Com o CPC 29 e Associação com Características Empresariais. Sociedade, Contabilidade e Gestão, v. 10, n. 3, p. 7–24, 2015.
MAINA, P. N.; WINGARD, H. C. Small and medium-sized entities in the agricultural sector: Fair value reporting challenges. Agrekon, v. 52, n. 2, p. 52–74, 2013.
MARTINS, V. G.; MACHADO, M. A. V.; CALLADO, A. L. C. Relevância e representação fidedigna na mensuração de ativos biológicos a valor justo por empresas listadas na BM & FBovespa. Revista Contemporânea de Contabilidade, v. 11, n. 22, p. 163–188, 2014.
MATES, D. et al. Biological assets and the agricultural products in the context of the implementation of the IAS 41: A case study of the Romanian agrofood system. Archives of Biological Sciences, v. 67, n. 2, p. 705–714, 2015.
NIYAMA, J. K. Contabilidade Internacional. 4ª reimp. ed. São Paulo: Atlas, 2007. NOVACANA. Usinas do Brasil. Disponível em: <https://www.novacana.com/usinas-brasil/>;. Acesso em: 17 jan. 2017.
PENG, S.; BEWLEY, K. Adaptability to fair value accounting in an emerging economy. Accounting, Auditing & Accountability Journal, v. 23, n. 8, p. 982–1011, 2010.
RECH, I. J.; PEREIRA, I. V. Valor justo : análise dos métodos de mensuração aplicáveis aosativos biológicos de natureza fixa. Custos e @gronegócio on line, v. 8, n. 2, p. 131–157, 2012.
RECH, I. J.; PEREIRA, I. V.; OLIVEIRA, J. R. DE. Impostos Diferidos Na Atividade Pecuária Originados Da Avaliação Dos Ativos Biológicos Pelo Valor Justo: Um Estudo De Seu Reconhecimento E Evidenciação Nas Maiores Propriedades Rurais Do Estado De Mato Grosso. Revista UniversoContabil, v. 4, n. 2, p. 42–58, 2008.
SILVA, R. L. M. DA et al. CPC 29: Uma Análise dos Requisitos de Divulgação entre Empresa de Capital Aberto e Fechado do Setor de Agronegócios. Sociedade, Contabilidade e Gestão, v. 8, n. 1, p. 27–49, 2013.
SILVA, R. L. M. DA; NARDI, P. C. C.; RIBEIRO, M. DE S. Gerenciamento de Resultados e Valorização dos Ativos Biológicos. Brazilian Business Review, v. 12, n. 4, p. 1–27, 2015.
SILVA FILHO, A. C. DA C. et al. Sensibilidade do Patrimônio Líquido a adoção do fair value na avaliação dos ativos biológicos e produtos agrícolas: um estudo nas empresas do agronegócio listadas na Bovespa no período de 2008 e 2009 . Custos e @gronegócio on line, v. 8, n. Especial, p. 59–77, 2012.
SILVA FILHO, A. C. DA C.; MARTINS, V. G.; MACHADO, M. A. V. Adoção do valor justo para os ativos biológicos: análise de sua relevância em empresas brasileiras. Revista Universo Contábil, v. 9, n. 4, p. 110–127, 2013.
ŠULC, Z.; ŘEZANKOVÁ, H. Evaluation of Recent Similarity Measures for Categorical Data. 17th Applications of Mathematics and Statistics in Economics. Anais...Jermanowice: Anais 17th AMSE, 2014
WATTS, R. L. Conservatism in accounting part I: Explanations and implications. Accounting Horizons, v. 17, n. 3, p. 207–221, 2003.
Author notes
Universidade Federal da Grande Dourados
Orcid: https://orcid.org/0000-0002-3468-5357
Faculdade de Administração, Ciências Contábeis e Economia (FACE), Campus Universitário Jardim Ipê
Dourados MS PR Brasil
CEP 79804-970 / Caixa Postal 364
Orcid: https://orcid.org/0000-0001-7834-9892
Orcid: https://orcid.org/0000-0002-0349-4566