Medicina
New drugs for the treatment of agitation in schizophrenia: a systematic review and meta-analysis of inhaled loxapine and infused sodium nitroprusside
Novos fármacos para o tratamento da agitação na esquizofrenia: revisão sistemática e meta-análise da loxapina inalável e nitroprussiato de sódio
New drugs for the treatment of agitation in schizophrenia: a systematic review and meta-analysis of inhaled loxapine and infused sodium nitroprusside
Acta Scientiarum. Health Sciences, vol. 39, no. 1, pp. 81-88, 2017
Universidade Estadual de Maringá
Received: 19 June 2016
Accepted: 31 October 2016
Abstract: The use of novel drugs such as inhaled loxapine (LOXi) for schizophrenia and the off-label use of substances such as sodium nitroprusside (NIT) for the management of mental disorders require further investigation. We aimed to evaluate the efficacy and safety of LOXi and NIT for the treatment of agitation associated with schizophrenia. A systematic review of randomized controlled trials (RCTs) comparing the use of LOXi or NIT versus placebo or other antipsychotic agents was conducted, and we evaluated the efficacy (CGI-scale) and safety (adverse events) of the therapies. Altogether, 71 studies were identified, of which 2 (LOXi) were included in the meta-analysis, and 1 (NIT) was included in the systematic review only. The efficacy data showed superiority of LOXi against placebo, regardless of the dose (5 and 10 mg). No significant differences were observed concerning the safety results. Treatment with NIT showed favorable results, with significant reduction of the symptoms. The efficacy of these medications is difficult to assess because of the lack of RCTs. However, there is some information regarding the efficacy and safety of LOXi in the treatment of agitation in schizophrenic patients.
Keywords: antipsychotic agents, mental disorders, evidence-based medicine.
Resumo: Fármacos mais recentes como a loxapina inalável (LOXi) para o tratamento da esquizofrenia e o uso off-label de substâncias como o nitroprussiato de sódio (NIT) para o manejo de desordens mentais requerem mais investigações. O objetivo do estudo foi avaliar eficácia e segurança da LOXi e do NIT para tratamento da agitação na esquizofrenia. Foi realizada revisão sistemática de ensaios clínicos randomizados (ECR) comparando o uso de LOXi ou NIT versus placebo ou outros antipsicóticos. Foram avaliados desfechos de eficácia (escala CGI-I) e segurança (eventos adversos). Ao todo 71 estudos foram identificados, dos quais dois foram incluídos nas meta-análises (ambos da LOXi) e 1 sobre NIT foi incluído somente na revisão sistemática. Os dados de eficácia demonstraram superioridade da LOXi frente ao placebo, independente das doses avaliadas (5 ou 10 mg). Não foram observadas diferenças significativas entre os resultados de segurança com o controle. O único estudo incluído sobre o NIT mostrou resultados favoráveis, com redução significativa dos sintomas. Apesar da carência de ECR com esses fármacos dificultar a determinação e a reunião de informações, há potenciais evidências de eficácia e segurança da LOXi no tratamento da agitação em pacientes com esquizofrenia.
Palavras-chave: antipsicóticos, transtornos mentais, medicina baseada em evidências.
Introduction
Schizophrenia is a chronic and damaging mental disease that significantly affects patient and family quality of life while generating massive costs to patients and health care systems. The recommended treatment is the use of antipsychotic medications with psychosocial therapy and additional psychotropic drugs (American Psychiatric Association [APA], 2013; Bhati, 2013).
According to the Pharmaceutical Research and Manufacturers of America (PHRMA, 2014), approximately 200 novel drugs for mental health disorders were under development in 2014, of which 30% were indicated for schizophrenia (PHRMA, 2014). In recent years, new antipsychotic drugs have been approved by regulatory agencies in several countries, which highlights the search for more effective and safer treatments, with fewer adverse events, greater tolerability, easier administration and better patient access (Bhati, 2013; Saddichha & Chaturvedi, 2014; Wang et al., 2013).
Loxapine was introduced to the market over 25 years ago in several countries, including the United States and Canada and in Europe. Its efficacy and safety profiles are well established, predominantly in the management of agitation. Its antipsychotic effect is similar to that of conventional drugs and is associated with partial action on the dopamine D2 receptor (Citrome, 2011; Allen et al., 2011). In addition to the oral formulation of loxapine, intramuscular formulations have been developed and approved. More recently, a staccato system of inhaled loxapine (LOXi) was developed, which shows a great capacity to generate loxapine aerosol. This mechanism facilitates the treatment of patients through faster and less invasive action and presents pharmacokinetic profile that is similar to that of intravenous administration. The administration of LOXi was approved by the FDA in 2012 (it has been available on the US market since 2014) as a single dose for the treatment of agitation in schizophrenic or bipolar patients. Additionally, this product was approved in 2013 by the European Medical Association for use in two doses (Gross et al., 2014; Citrome, 2012). This drug is not yet available in Brazil, although the pharmaceutical industry is interested in its registration (Ferrer International, 2015).
Concurrent with the development of new drugs, there are new indications and off-label uses of several drugs such as sodium nitroprusside (NIT) (Barnes et al., 2011; Hallak et al., 2013). The therapeutic merits of the intravenous formulation of NIT were initially described in 1800, and its clinical use has been established since 1929 for the treatment of severe hypertension (Coyle, 2013). However, infusion of NIT appears to reduce acute symptoms of schizophrenic patients, including agitation, and nitric oxide donor substances (such as NIT) might improve cognitive deficits. These findings justify the theory of neurodevelopment, suggesting that a decrease in nitric oxide production in the cortical areas could contribute to changes in neuronal development, dysfunction of neural circuits and impaired cognitive functioning (MacKay, Cetin, Baker & Dursun, 2010; Baker & Dursun, 2010; Chaves et al., 2009). The use of NIT in schizophrenia as an alternative therapy remains under study and has not been approved by any regulatory agency.
The aim of this paper is to present a systematic review with a meta-analysis of the efficacy and safety of two potential drugs, LOXi and NIT, for the treatment of agitation in schizophrenia.
Methods
A systematic review was conducted based on the Cochrane Collaboration recommendations for systematic reviews and meta-analyses (Higgins & Green, 2011). We selected randomized controlled trials (RCTs) that compared the efficacy and safety of LOXi or NIT with their respective placebos at any dosage or in any treatment regimen in schizophrenic patients. The following descriptors were used in the comprehensive search strategy: ‘clinical’, ‘trial’, ‘clinical trial’, ‘random*’, ‘random* allocation’, ‘schizophrenia’, ‘schizophrenic disorder’, loxapine, ‘inhaled loxapine’ ‘inhale loxapine*’, Adasuve, ‘sodium nitroprusside’, Nipride, and nitropress, which were combined with the Boolean operators ‘AND’ and ‘OR’. The databases used were MEDLINE, International Pharmaceutical Abstracts (IPA), The Cochrane Library, Scielo (Scientific Electronic Library Online), Science Direct, Lilacs (Latin American and Caribbean Health Sciences) and Scopus, and the search was updated in January 2015. Trials without a control group and articles published in non-Roman characters were excluded from the systematic review. The collected data consisted of the baseline characteristics of the patients and the efficacy and safety outcomes. The methodological quality of each selected study was assessed by the Jadad Scale (Jadad, 1996), which considers aspects of randomization, blinding, and withdrawals. To assess the risk of bias, we adopted the Cochrane Collaboration tool (Higgins & Green, 2011) and analyzed the studies in six areas for the following biases: selection, performance, detection, friction, and publishing bias as well as other sources of bias. The data extraction was performed using the tables in Microsoft Excel® specifically designed for this study. All the steps of the systematic review were performed by two independent reviewers. In the absence of consensus among the reviewers, a third reviewer was consulted.
For the meta-analysis, the statistical analyses were performed using Review Manager® software version 5.1 and Addis® version 1.16.5 (software for clinical trials data analysis). For the efficacy and safety outcomes we used the random effects model and the inverse variance method to interpolate the odds ratio (OR) of each study with a 95 % confidence interval. The heterogeneity among the studies was assessed using the inconsistency index value (I2) (I2 < 25 % - low; 25% < I2 < 50 % - moderate; I2 > 50 % - high heterogeneity). We conducted a sensitivity analysis to test the robustness of the results with a hypothetical withdrawal of the meta-analysis studies.
Results
Through the electronic searches, 71 articles were found. After exclusion of the duplicates (n = 33) and screening, 8 studies were thoroughly evaluated. The principal reason for exclusion was non-randomization. Thus, 3 RCTs (2 evaluating LOXi and 1 evaluating NIT) met the eligibility criteria and were included in the systematic review. Only 2 articles on LOXi treatment could be included in the meta- analysis (Figure 1).

The Jadad Scale results indicate that all three studies presented acceptable methodological quality. Regarding the quality measured by the Cochrane tool, the overall results showed a risk of moderate bias for most of the questions. Although the studies were randomized and double-blinded, the methods of randomization and blinding were not well described. The risk of other bias was high because all the studies were funded by the pharmaceutical industry.
Inhaled Loxapine
Two RCTs (a total of 473 patients) that compared a single administration of LOXi (doses of 5 or 10 mg) and a placebo for the treatment of agitation in schizophrenic patients over a period of 24 hours were selected. The baseline average age of the patients was 42.6 years; 77.3% of the participants were male, and the average days of hospitalizations and duration of the last episode of psychosis were 9.6 and 7.4 days, respectively. Table 1 describes the characteristics of the studies included in the meta-analysis.
Efficacy was the primary outcome, and it was evaluated in the responding patients as a dichotomous variable on the Clinical Global Impression (CGI) psychiatric subscale. This scale is one of the most robust tools used internationally in psychiatry to assess the severity of mental diseases. The CGI Scale is divided into the following sections: the CGI-S (Severity Scale), CGI- E (Efficacy Index) and CGI-I (Improvement Scale). CGI-I refers to a seven-point scale that evaluates patient improvement or worsening from the baseline profile after the intervention (Busner & Targum, 2007; Guy, 1976).
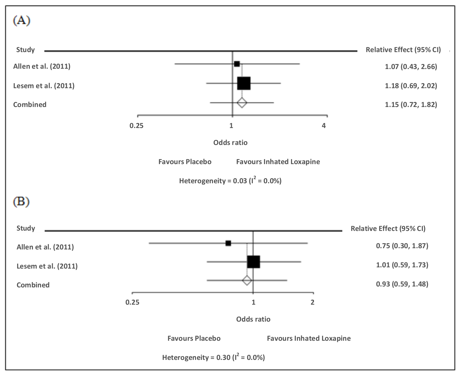
The results of the efficacy outcome meta-analysis were favorable to intervention at either dose (5 or 10 mg) compared to the placebo. The odds ratio was 2.63 (CI 1.66 to 4.18) for LOXi at a 5 mg dose and 4.17 (CI 2.59 to 6.72) at a 10 mg dose (Figure 2). There was no heterogeneity between the studies (I2 = 0%). The safety outcome was evaluated with dichotomous variables regarding any adverse events reported for each study. There was no difference between the use of LOXi and the placebo, as shown in Figure 3. An odds ratio of 1.15 (CI 0.72 to 1.82) for LOXi at 5 mg and of 0.93 (CI 0.59 to 1.48) at 10 mg were obtained.
Concerning the most common adverse events (Table 2), the intervention and placebo groups showed no significant differences in the incidence of any adverse event for 5 mg dosing. At a 10 mg dose, a significant difference in the occurrence of dysgeusia (p < 0.05) was observed, with more events occurring in the intervention group. Heterogeneity was high (I2 > 50%) only for dysgeusia at a dose of 5 mg and for headache at both doses.
Regarding tolerability, the intervention apparently was well tolerated by the patients who participated in the studies, and few cases of withdrawal from the study were reported. Allen et al. (2011) found no recorded cases of discontinuation of participation (Allen et al., 2011). Lesem et al. (2011) found that a total of 6 patients discontinued treatment, as follows: 1 patient from the 5 mg LOXi group, 2 patients from the 10 mg LOXi group and 3 patients from the placebo group (Lesem et al., 2011)




Sodium nitroprusside
One RCT in the systematic review assessed NIT as an intervention for the management of schizophrenia (Hallak et al., 2013). In this double-blind RCT (conducted in a single center in Brazil), the researchers aimed to assess the efficacy and safety of a single intravenous administration of NIT (0.5 mcg kg-1 min.-1 for 4 hours) compared to a placebo (glucose solution) on the positive and negative symptoms, anxiety and depression, in schizophrenia. Twenty schizophrenic patients (mean age of 25.5 years) were selected and divided into two groups. There were no significant demographic or clinical differences between the groups. All the patients had undergone at least one hospitalization, and 70% of the participants were male. The patients were evaluated during the 4 hours-infusion, at 12 and 24 hours and 7 and 28 days after the infusion. The patients were allowed to use antipsychotic drugs one week after the infusion and solely when required.
The intervention group showed a significant decrease in all the acute symptoms of schizophrenia within the first hours of infusion and throughout the follow-up study. The efficacy endpoints included an examination with the Brief Psychiatric Rating Scale (BPRS) of the subcategories related to thought disorders, withdrawal, anxiety/depression, and activation and with the Positive and Negative Syndromes of Schizophrenia (PANSS) scale for the negative subscale (Hallak et al., 2013). Compared to the control group, after the infusion (12 hours), the NIT group had a reduction in the score (over 10 points) on both scales, which was maintained until the end of the study. No adverse events were reported in the patients who received the intervention. A low dose was administered, and the physiological parameters (blood pressure and heart rate) did not differ between the sodium nitroprusside and placebo groups.
Discussion
Although schizophrenia is the most prevalent and widely studied psychotic disease worldwide, its etiology and pathophysiology has not been fully elucidated. Strategies for the treatment of schizophrenia differ with its stage and severity. Despite the various psychological and educational therapies and family support, pharmacological treatment is essential for effective control of psychosis (Parker, 2013; Miyamoto, Duncan, Marx, & Lieberman, 2005).
More than 30 antipsychotic medications are approved for clinical use. With the growth and development of the pharmaceutical industry, approximately 200 novel drugs are being studied, with approximately 1/3 of them having a primary indication for schizophrenia (PHRMA, 2014; Chien & Yip, 2013). Although gradual advances in the development of these drugs have occurred, impairment of the efficacy of the therapies as well as adverse events remains (Miller, 2009; Chien & Yip, 2013).
The meta-analysis of two studies (Allen et al., 2011; Lesem et al., 2011) demonstrated potential evidence for the superiority of LOXi compared to a placebo regardless of the dosage for the treatment of chronic schizophrenic patients for agitation. The initial effects were observed 10 minutes after inhalation, and the intervention was more effective than the placebo for 2 hours following the treatment. Improvement of the clinical global symptoms was noted in the participants in the intervention group, and good responses were shown on the CGI-I scale.
Various rating scales measure the severity of psychiatric disorders, many of which are specific to a particular disorder or symptom. In schizophrenia, the PANSS or BPRS scale are used because they inform the nature and extent of symptoms as well as their change over time (Mortimer, 2007). Thus, in the LOXi studies, the complementary application of other clinical outcome assessments could provide more precise information on the effect of the intervention.
The meta-analysis results could contribute significantly to decisions regarding the safety outcomes of antipsychotic medications. Adverse events including dysgeusia (at the 5-mg dose) and headaches (at the 5 and 10 mg doses) presented high I2 values (> 50%), indicating high heterogeneity among the included studies. There were only two studies, and no sensitivity analyses were performed. Some independent variables might influence this result, including the inherent differences in the studies concerning the cohort size, population characteristics, and evaluation of adverse events. In the study of Lesem et al. (2011), some patients were smokers (a comorbidity), and the clinical trial population included Hispanic and Asian minorities; these characteristics differ from those in a study by Allen et al. (2011). Relatively few adverse events were reported, which were mild, subjective and typical (headache and dysgeusia), and the presence of heterogeneity is plausible.
The safety of LOXi has been assessed in other studies and in different contexts. In a clinical trial by Spyker published in 2014 (Spyker, Voloshko, Heyman, & Cassella, 2014), no evidence was found regarding QTc interval prolongation in healthy patients using therapeutic doses of LOXi. Many atypical antipsychotics could lead to significant cardiac alterations, which might compromise treatment and, particularly, patient safety. In another trial published in 2014, 8 patients with chronic obstructive pulmonary disease (COPD) as well as asthmatics, particularly, presented with bronchospasms and lung function alteration after inhaled loxapine. This information is relevant to the safety limits as well as to the indications and contraindications for the treatment. No other serious adverse events have been reported with the use of this drug (Gross et al., 2014; Spyker et al., 2014).
The selected studies had some limitations. As they were RCTs, which occur in controlled environments, some data might not completely represent actual clinical conditions, particularly in terms of patient compliance. In both studies, the patients used lorazepam to reduce agitation when necessary. Additionally, the short duration of the studies and outcome evaluation (24 hours) might be problematic. This simple and immediate device for symptom relief represents an alternative application, as described by other authors (Spyker et al., 2014; Juckel, 2013). Evaluating patients for a longer period (e.g., for approximately 1 week) to verify the extent of the symptomatic relief and the safety with prolonged use is required because long-term adverse events have not been quantified. A longer evaluation period could provide a wider range of information on the treatment efficacy.
Few RCTs on the subject were found in the literature review, which shows a lack of data and clinical trials on the efficacy and safety of LOXi. Clinical trials comparing treatments head-to-head are needed to evaluate the efficacy, safety, tolerability and costs of LOXi therapy.
Concerning NIT, Hallak et al. (2013) suggests that nitric oxide might be related to the development of schizophrenia. Nitric oxide mediates the release of neurotransmitters and participates in the learning process, memory and brain development (Baker & Dursun, 2010; Chaves et al., 2009). Whereas nitric oxide irregularities were not found in schizophrenia, this molecule is associated with the glutamatergic pathway and, more specifically, with NMDA (N-methyl-D-aspartate) hypoactivation. This receptor activation typically leads to a cascade of events that includes the production of nitric oxide, which acts as a second or third messenger mediating the central nervous system neurotransmission (Bernstein, Keilhoff, Steiner, Dobrowolny, & Bogerts, 2011).
This study suggests a new approach for the treatment of acute schizophrenia, because the NIT infusion increases, in a short period of time, the levels of nitric oxide, which causes the main symptoms of the disease (including agitation as well as the positive and negative symptoms). This drug might be a viable alternative for treatment compliance and dosage monitoring in the future.
However, Hallak’s patients (Hallak, 2013) were allowed to use antipsychotic drugs after a week of infusion, which might have contributed to the positive result of intervention. In addition, the placebo was the only comparator, and evaluating NIT versus typically used antipsychotics would be helpful. Other limitations of the study are the small number of patients, the absence of an evaluation of treatment tolerability, and the possibility of the onset of long-term adverse events. There are few RCTs on NIT in the literature, and the data do not allow decision-making or provide enough information regarding therapy for schizophrenia.
Conclusion
Research regarding new treatments is a foundation for therapeutic decision-making. This systematic review and meta-analysis highlights the potential efficacy and safety of inhaled loxapine, specifically regarding symptoms of agitation in schizophrenia. Inhalation administration could be advantageous for patients in certain situations, and it is more easily accepted and tolerated than intravenous administration. Additional comparative data of LOXi versus other active drugs are needed. Regarding NIT, few studies have demonstrated its effects in schizophrenic patients and the possibility of off-label use. The initial data suggest that this drug might represent a viable future alternative for the treatment of mental diseases.
References
Allen, M. H., Feifel, D., Lesem, M. D., Zimbroff, D. L., Ross, R. Muzar, P., & Cassella, J. V. (2011). Efficacy and safety of loxapine for inhalation in the treatment of agitation in patients with schizophrenia: a randomized, double-blind, placebo-controlled trial. Journal of Clinical Psychiatry, 72(10), 1313-1321.
American Psychiatric Association (APA). (2013). Diagnostic and statistical manual of mental disorders Fifth Edition (DSM-V) (5th ed.). Washington, DC: American Psychiatric Association.
Baker, G. B., & Dursun, S. (2010). Novas perspectivas e diretrizes na terapêutica da esquizofrenia: avanços relacionados com os sistemas não dopaminérgicos. Revista Brasileira de Psiquiatria, 32(4), 336-338.
Barnes, T. R., Cooper, S., Cowen, P., Ferrier, N., Haddad, P., Hawton, K., & Wieck, A. (2011). Evidence-based guidelines for the pharmacological treatment of schizophrenia: recommendations from the British Association for Psychopharmacology. Journal of Psychopharmacology, 25(5), 567-620.
Bernstein, H. G., Keilhoff, G., Steiner, J., Dobrowolny, H., & Bogerts, B. (2011). Nitric oxide and schizophrenia: present knowledge and emerging concepts of therapy. CNS & Neurological Disorders Drug Targets, 10(7), 792-807.
Bhati, M. T. (2013). Defining psychosis: the evolution of DSM-5 schizophrenia spectrum disorders. Current Psychiatry Report, 15(11), 409.
Busner, J., & Targum, S. D. (2007). The clinical global impression scale: applying a research tool to clinical practice. Psychiatry, 4(7), 28-37.
Chaves, C., Marque, C. R., Trzesniak, C., Machado de Sousa, J. P., Zuardi, A. W., Crippa, J. A., … Hallak, J. E. (2009). Glutamate-N-methyl-D-aspartate receptor modulation and minocycline for the treatment of patients with schizophrenia: an update. Brazilian Journal of Medical and Biological Research, 42(11), 1002-1014.
Chien, W. T., & Yip, A. L. K. (2013). Current approaches to treatments for schizophrenia spectrum disorders, part I: an overview and medical treatments. Neuropsychiatry Disease and Treatment, 9(1), 1311-1332.
Citrome, L. (2011). Aerosolised antipsychotic assuages agitation: inhaled loxapine for agitation associated with schizophrenia or bipolar disorder. International Journal of Clinical Practice, 65(3), 330-340.
Citrome, L. (2012). Inhaled loxapine for agitation revisited: focus on effect sizes from 2 Phase III randomized controlled trials in persons with schizophrenia or bipolar disorder. International Journal of Clinical Practice, 66(3), 318-325.
Coyle, J. T. (2013). Nitric oxide and symptom reduction in schizophrenia. JAMA Psychiatry, 70(7), 664-665.
Ferrer Internacional (2015). Alexza and Grupo Ferrer Amend Adasuve™ Partnership. Recovered from http://www.prnewswire.com/news-releases/alexza-and-grupo-ferrer-amend-adasuve-partnership-141805863.html
Gross, N., Greos, L. S., Meltzer, E. O., Spangenthal, S., Fishman, R. S., Spyker, D. A., & Cassella, J. V. (2014). Safety and tolerability of inhaled loxapine in subjects with asthma and chronic obstructive pulmonary disease-two randomized controlled trials. Journal of Aerosol Medicine and Pulmonary Drug Delivery, 27(6), 478-487.
Guy, W. (1976). ECDEU Assessment manual for psychopharmacology. Rockville, MD: US Department of Health, Education, and Welfare Public Health Service Alcohol, Drug Abuse, and Mental Health Administration.
Hallak, J. E., Maia-de-Oliveira, J. P., Abrao, J., Evora, P. R., Zuardi, A. W., Crippa, J. A. ... Dursun, S. M. (2013). Rapid improvement of acute schizophrenia symptoms after intravenous sodium nitroprusside: a randomized, double-blind, placebo-controlled trial. JAMA Psychiatry, 70(7), 668-676.
Higgins, J. P. T., & Green, S. (Eds.). (2011). Cochrane handbook for systematic reviews of interventions version 5.1.0. The Cochrane Collaboration. Recovered from http://handbook.cochrane.org
Jadad, A. R. (1996). Assessing the quality of reports of randomized clinical trials: is blinding necessary? Controlled Clinical Trials, 17(1), 1-12.
Juckel, G. (2013). Inhalatives loxapin alt bewährtes medikament mit neuer indikation. Der Nervenarzt, 84(9), 1113-1116.
Lesem, M. D., Tran-Johnson, T. K., Riesenberg, R. A., Feifel, D., Allen, M. H., Fishman, R., … Cassella, J. V. (2011). Rapid acute treatment of agitation in individuals with schizophrenia: multicentre, randomised, placebo-controlled study of inhaled loxapine. British Journal of Psychiatry, 198(1), 51-58.
MacKay, M., Cetin, M., Baker, G., & Dursun, S. (2010). Modulation of central nitric oxide as a therapeutic strategy for schizophrenia. Bulletin of Clinical Psychopharmacology, 20(2), 115-119.
Miller, R. (2009). Mechanisms of action of antipsychotic drugs of different classes, refractoriness to therapeutic effects of classical neuroleptics, and individual variation in sensitivity to their actions: part I. Current Neuropharmacology, 7(4), 302-314.
Miyamoto, S., Duncan, G. E., Marx, C. E., & Lieberman, J. A. (2005). Treatments for schizophrenia: a critical review of pharmacology and mechanisms of action of antipsychotic drugs. Molecular Psychiatry, 10(1), 79-104.
Mortimer, A. M. (2007). Symptom rating scales and outcome in schizophrenia. British Journal of Psychiatry, 191(50), 7-14.
Parker, C. (2013). Antipsychotics in the treatment of schizophrenia. Progress in Neurology and Psychiatry, 13(2), 1-11.
Pharmaceutical Research and Manufacturers of America (PHRMA). (2014). Biopharmaceutical research companies are developing more than 100 medicines to treat mental and addictive disorders. Report on medicine in development for mental health. Recovered from http://www.phrma. org/mental-health-medicines-in-development-report-2014
Saddichha, S., & Chaturvedi, S. K. (2014). Clinical practice guidelines in psychiatry: more confusion than clarity? A critical review and recommendation of a unified guideline. ISRN Psychiatry, 31(1), 1-8. doi: 10.1155/2014/828917
Spyker, D. A., Voloshko, P., Heyman, E. R., & Cassella, J. V. (2014). Loxapine delivered as a thermally generated aerosol does not prolong QTc in a thorough QT/QTc study in healthy subjects. Journal of Clinical Pharmacology, 54(6), 665-674.
Wang, S. M., Han, C., Lee, S. J., Patkar, A. A., Masand, P. S., & Pae, C. U. (2013). Asenapine, blonanserin, iloperidone, lurasidone, and sertindole: distinctive clinical characteristics of 5 novel atypical antipsychotics. Clinical Neuropharmacology, 36(6), 223-238.
Author notes
pontarolo@ufpr.br