Ciências da Saúde
Maternal exposure of triclosan cause intrauterine development restriction, delay in puberty installation and deregulation of testicular function in rat offspring
Maternal exposure of triclosan cause intrauterine development restriction, delay in puberty installation and deregulation of testicular function in rat offspring
Acta Scientiarum. Health Sciences, vol. 41, 2019
Universidade Estadual de Maringá
Received: 30 June 2017
Accepted: 28 November 2017
Abstract: This study aimed to evaluate the effects of maternal exposure to triclosan (TCS), during gestation and lactation on physical development, puberty installation and testicular function of male offspring in puberty and sexual maturity. Sixteen pregnant Wistar rats were used and divided into four experimental groups: GI- they received corn oil daily by gavage; GII- they received 75 mg kg-1 day-1 of TCS; GIII- they received 150 mg kg-1 day-1 of TCS and GIV- they received 300 mg kg-1 day-1 of TCS during pregnancy and lactation. The mean weight of the treated rat’s offspring was lower in comparison to GI group. In the exposed offspring. A delay in puberty installation was observed following the exposure to triclosan. Regarding to the stages of the seminiferous epithelium in puberty, it was noticed an increase of the I-VI stages in GIV group, compared with to GI. In sexual maturity, it was observed an increase of VII-VIII, IX-XIII in contrast to a reduction of XIV stage in treated animals, comparing to GI. There was no difference in the number of Sertoli cells. We conclude that the maternal exposure to TCS during gestation and lactation causes restriction of the intrauterine development, delay in the puberty installation and deregulation in the seminiferous epithelium cycle.
Keywords: triclosan, endocrine desregulation, puberty, spermatogenesis, rat.
Introduction
The triclosan (2,4,4'-trichloro-2'-hydroxydiphenyl ether) (TCS) is a bactericide agent of a wide spectrum. It is often used in pharmaceutical industry of personal hygiene products such as antiseptic, toothpaste, soaps, cosmetics, cleaning products, besides toys and textile products (Eui-Man, Beum-Soo, Kyung-Chul, & Eui-Bae, 2012; Honkisz, Zieba-Przybylska, & Wojtowicz, 2012; Axelstad, Boberg, Vinggaard, Christiansen, & Hass, 2013).
Due to its use in large scale and in different products, the TCS is frequently used as water polluting in river and seas, suggesting extensive contamination of the aquatic ecosystems and biota bioaccumulation. The TCS quantification on plasma, breast milk and urine in human beings (Zorrilla et al., 2009; Paul, Hedge, DeVito, & Crofton, 2010) confirms its use in large scale and the human exposure to this substance. In human beings, the main ways of absorption is through the oral mucosa and gastrointestinal tract. Although the biological half-life on plasma and urine is of 21 and 11 hours, respectively, this composed, fat-soluble, suffers bioaccumulation in the adipose tissue (Honkisz et al., 2012).
On dentistry, the TCS is used in toothpastes and mouthwash products, typically with 0.3% concentration, has showing effective responses on the dental biofilm and gingivitis (Riley & Lamnot, 2013), besides controlling the chronic periodontal disease (Culliman et al., 2003) and avoiding the recurrent periodontitis (Rosling et al., 1997). These properties are related to TCS action against a wide variety of bacterias which compose the dental biofilm (Pires, Rossa, & Pizzolitto, 2007). Gilbert and Williams (1987) in their work, evaluated 12 volunteers of the male gender, healthy, from 19 to 37 years old, to investigate the TCS pharmacokinetics through brushing using 1g of toothpaste containing 0.02% of TCS, where, the oral retention of TCS was of 36% of the dose and the dental biofilm permanence was of at least 8 hours after the application and in oral mucosa for at least 3 hours.
A series of undesirable effects were related to TCS use, such as: dermatitis, skin irritation, immunotoxicity and neurotoxity reaction (Weatherly & Gosse, 2017) (). This substance has been included on the endocrine disrupter (ED) list by its effects initially observed in aquatic fauna (Capdevielle et al., 2008). By definition, ED is ‘any exogenous agent which interferes with the synthesis, secretion, transport, ligation, action or natural hormone elimination’, resulting in a deviation of the organism’s homeostatic normal control (Diamanti-Kandarakis et al., 2009).
The treatment of experimental animals with TCS caused reductions on the serum concentration of thyroid hormones, (Zorrilla et al., 2009; Paul et al., 2010; Axelstad et al., 2013). Kumar, Chakraborty, Kural, and Roy (2009) showed that, adult rats treated with TCS for 60 days, with three different doses of the composite, showed reduction of the androgens synthesis, histopathological damages on testicles and accessory sex glands, reduction of the daily protection of spermatozoids and alteration of the hypothalamic-pituitary-adrenal. In contrast, Zorrilla et al. (2009) verified that the treatment of the rats during the pubertal development, did not change the androgens, nor harmed the beginning of the puberty in these animals, but significantly reduced the concentrations of the thyroid hormones. These evidences suggest that TCS affects adversely the endocrine and reproductive function of the animals.
The ED, among them the TCS, constitutes a class of compounds which can cause important reproductive dysfunctions in male gender. There is an increased interest, by many countries, in studying these chemical agents, because a number of them are often found in nature and used in daily life. The concept that the exposition to environmental factors, including the DE, during fetal and neonatal period can interact with the genome and influence the development of diseases which appear late in the individual’s life, including cancer and infertility, which has been gaining greater importance (Bruin et al., 1998; Godfrey & Barker, 2001; Van Meeuwen, Ter Burg, Piersma, Van den Berg, & Sanderson, 2007; Patisaul & Adewle, 2009). Thus, the present work, besides current, has an applied importance, because the concern about the human damages has been causing to the environment has been growing and one of the aspects which have been suffering with this fact is the reproductive function. Therefore, the aim of this study was to evaluate the effects of the TCS exposure, during pregnancy and lactation in dams rats, in development and reproductive function of the male offspring at the stages of: puberty and sexual maturity.
Material and methods
Animals
Four adult male rats (90-days-old, weighing approximately 300 g), and sixteen adult females Wistar (90-days-old, weighing approximately 250 g), provided by the Bioterium of Universidade Estadual do Oeste de Paraná (Unioeste), Cascavel, State Paraná, were used. The animals were adapted and maintained in the Sectorial Bioterium of the CCBS/Unioeste – Cascavel Campus. All animals were housed in polypropylene cages (43×30×15 cm) with laboratory-grade pine shavings as bedding and maintained under controlled temperature settings (23 ± 1°C) and lighting conditions (12 hours L, 12 hours D photoperiod, lights switched off at 0700 h), and had free access to water and standard rodent chow Nuvital® (Nuvilab CR-1, Colombo, PR, Brazil). The experimental procedures are in accordance with the Ethical Principles in Animal Research adopted by the Brazilian College of Animal Experimentation (BCAE) and approved by the Unioeste´s Ethics Committee for Animal Experimentation and Practical Classes.
Mating and obtainment of pregnant females
The matings were performed in the light-dark cycle putting two or three females in each male’s box, at the end of the afternoon. On the next morning, vaginal smear was collected and the presence of sperm on slides associated with estrous cycle were used as indicative of gestation and was considered as the gestational day 0 (GD 0). The pregnant females were separated into four experimental groups.
Experimental Groups, drugs, dose and route of administration
The treatment started at the eighth gestational day (GD 8). The pregnant females were treated once a day (between 9:00-10:00 A.M.), orally (intragastric gavage), during the gestation and lactation as follows: Group I (GI), composed by 4 rats which received corn oil orally; Group II (GII) composed by 4 rats which received TCS (CAS#3380-34-5, Calbiochem, purity 99,5%) diluted in corn oil, at a dose of 75 mg kg-1 day-1; Group III (GIII) composed by 4 rats that received TCS diluted in corn oil, at a dose of 150 mg kg-1 day-1 and Group IV (GIV), composed by 4 rats which received TCS diluted in corn oil, at a dose of 300 mg kg-1 day-1. The three selected doses were chosen based on a report by Crofton et al. (2007).
For indirect evaluation of the maternal toxicity, and doses adjustments, the animals were weighed in alternated days for the gain of weight during all the pregnancy and lactation period. From the 20th day of pregnancy, the rats were monitored about the pup’s birth. Following, the number of pups per litter was reduced to eight, trying to keep the male gender pups. The weaning was performed on the 21th day after the birth and the female rats were sacrificed.
Evaluation of the external signals of the offspring’s physical development
The litter was weighed on the third postnatal day (PND 3) and daily evaluated about the external signals of the physical development, which evaluated the ages of the ears detachment, hair appearance, eruption of the incisor teeth and opening eyes.
Sexual development evaluation of the male offspring
For male pups, it was determined the day that the testicular descent occured, through daily palpation of the scrotum, after the 15th postnatal day. The preputial separation was investigated after the 33th postnatal day, through foreskin manual retraction.
Pubertal and Adult Group
The pubertal group was composed by 24 male pups of control female rats and treated with TCS, which were sacrificed with 60-days-old (puberty). The adult group, was composed by 24 male rat pups of control female rats treated with TCS, which were sacrificed with 90-days-old (sexual maturity).
Biological material collection and processing
All of the male offspring were weighed and sacrificed at 60 and 90 days old, from 6 animals/groups/age, totalizing 48 animals. Testicle, epididymis, vas deferens, seminal vesicles, ventral prostrate, liver and adrenal were removed and weighed.
The left testicles of the animals were fixed in ALFAC (85% alcohol 80º, 10% formaldehyde P.A. and 5% acetic acid), for 24 hours, when the solution was substituted for 80% alcohol, where the parts were kept since the beginning of the process. After this period, the samples were serially dehydrated in progressive concentrations of alcohol, diaphanized in xylene and embedded in Paraplast. For histomorphologic analysis, serial sections with 5-µm-thickness were performed, using manual rotative microtome (Olympus 4060), equipped with steel razor. The sections were paraffin removed with xylene, hydrated with distilled water and submitted to the color technique: hematoxylin-eosin (HE) for analysis.
Evaluation of the Spermatogenesis Stages
In the evaluation of the spermatogenesis stages, 100 sections of the seminiferous tubules of animals’ testis in puberty and sexual maturity, were classified into stages of I-VI (presence of two generations of spermatids), VII-VIII (mature spermatids present in lumen), IV-XII (presence of a spermatid generation) XIV (presence of secondary spermatocytes) (Ferreira, Lison, & Valeri, 1967).
Sertoli cell number count by seminiferous tubule
The nucleus of the Sertoli cells were counted in 20 transversal cuts of the seminiferous tubules by rat (n = 6 animals per group), on VII stage of spermatogenesis classified according to Leblond and Clermont (1952). The evaluations were performed using light microscope with 200x magnification.
Statistical analysis
For data analysis we used a statistical test for analysis of variance – ANOVA, complemented by Dunnett’s test. For the non-parametric data we used Kruskall-Wallis’ test, complemented by Dunn’s test, according to the characteristic of each variable. The differences were considered statistically significant when p < 0.05. The statistical software used was GraphPad Instat version 4.0, Inc., San Diego, CA, USA).
Results
Maternal parameters
The maternal body weight was similar among the groups at the beginning of the experimental period. The body weight gain in the end of the lactation period was lower in the rats of the GIV group, when compared to GI group. The pregnancy time as well as the size of the litter did not change over the experimental groups (Table 1).
Offspring evaluation
The mean weight of the litter was significantly lower in all the TCS-treated groups, when compared to GI. The ages of the ears detachment, hair appearance, eruption of the incisor teeth and opening eyes were similar in the experimental groups (Table 2).
Evaluation of the sexual development of the animals
The age of the testicular descent was similar among the experimental groups; however, the TCS exposure during the pregnancy and lactation, in the three tested doses, entailed a delay of preputial separation age of the animals (Figure1).



Body weight and organs weight of the animals at 60 days old
At 60-days-old (puberty), the average of the body weight of the animals was similar among the experimental groups. There was a statistically significant decrease of weight of the seminal vesicles of GIII and GIV groups, when compared to the animals of the GI group. The weight of the other reproductive organs was unchanged over the treatments (Table 3).
Body weight and organs weight of the animals at 90 days old
At 90-days-old (sexual maturity) the body weight of the animals was similar among the experimental groups. There was a significant reduction of the liver weight of the animals in the GIV group, when compared to animals in the GI group. The weight of the ventral prostrate was increased in the GIV group, when compared to the animals in the GI group. The weight of the other reproductive organs was unchanged over the treatments (Table 4).
Classification of the seminiferous epithelium stages of the animals at 60 days old
The analysis of the seminiferous epithelium cycle stages of the animals at 60-days-old showed a significant increase of the I-VI stages in the animals treated with 300 mg kg-1 day-1 of TCS when compared to GI group (Figure 2).
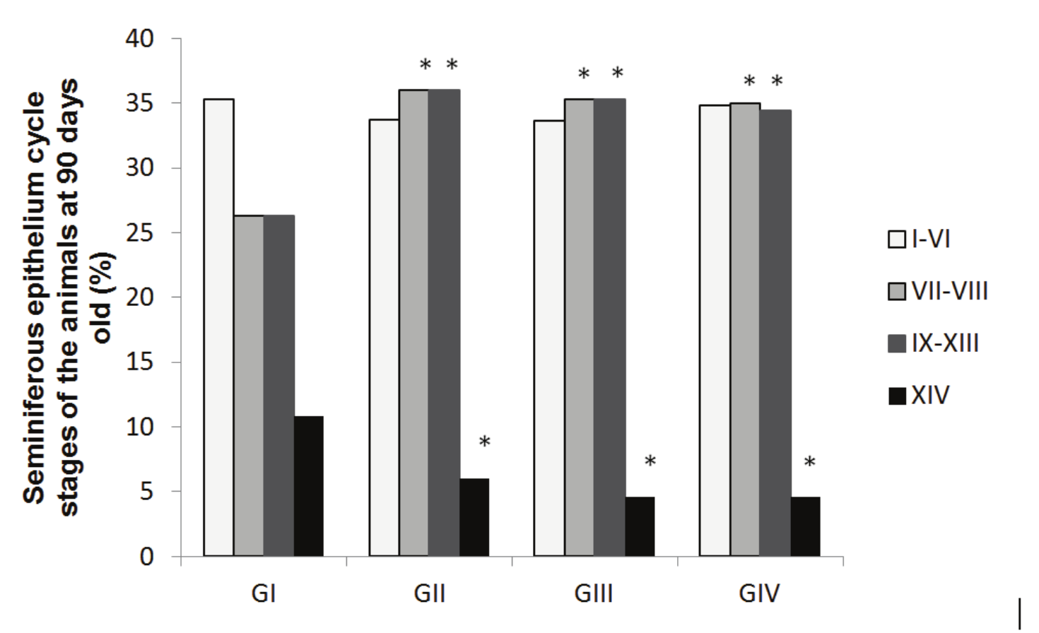
Classification of the seminiferous epithelium stages of the animals at 90 days old
The analysis of the seminiferous epithelium cycle stages of the animals at 90-days-old showed a significant increase of the VII-VIII, IX-XIII stages and a reduction in the frequency of the tubules in XIV stage of the spermatogenesis in the animals treated with different TCS doses when compared to GI group (Figure 3).


Sertoli cells number
There was no difference on the Sertoli cells number among the animals at 90-days-old considering the different experimental groups (Figure 4).



Discussion
The endocrine system performs a crucial role in the homeostasis maintenance of the organism and it is frequently affected by exogenous stimulus. A wide variety of synthetic compounds (drugs, pesticides, etc), and also natural (ex: flavonoids, phytoestrogens) possess the capacity of interacting with the endocrine system, due to structural similarity with the endogenous hormones, and when this interaction produces adverse effects to an organism’s health or to its progeny, these substances are classified as ‘endocrine disrupter’ (ED). The activity of the endocrine disrupter can occur by changing the normal hormonal concentrations, inhibiting or stimulating the production and the metabolism of hormones, or changing the way how the hormones circulate through the body, affecting the main functions of the hormones (Schug, Janesick, Blumberg, & Heindel, 2011).
In the current study, the treatment of the pregnant rats with different doses of TCS did not change the body weight over the gestation. However, at the end of the experimental period, it was observed a reduction of the body weight of the rats treated with a greater dose, suggesting the daily treatment of the animals with 300mg of TCS kg-1 day-1, causes moderate maternal toxicity (Axelstad et al., 2013).
In contrast, the time of gestation and the litter size were unchanged through TCS treatment, on the different tested doses. Experimental studies with treatments of pregnant rats with different TCS doses during gestation also have not show any interference of the drug on the pregnancy rate, gestation time, neonatal death or litter size (Paul et al., 2010; Rodriquez & Sanchez, 2010; Paul et al., 2012; Axelstad et al., 2013; Manservisi et al., 2015). In these works the treatment of the animals, such as in the current study, initiated after the embryo implantation period. However, Crawford and Decatanzaro (2012), showed that the treatment of pregnant mice with TCS from days 1 to 3 after the fertilization, which means, on the pre-implantation period, caused a reduction on the number of blastocysts implementation sites, suggesting a possible estrogenic effect by the drug. When evaluated, the rats’ pups treated with TCS, regardless of dose, presented low weight at birth, which characterizes the restriction of intrauterine growth. A number of reports have shown that the TCS during the gestation reduces maternal thyroid hormones concentrations (Paul et al., 2010; 2012; Axelstad et al., 2013). The maternal hypothyroidism is associated to the gestational complications (anemia, preeclampsia), fetal death, premature birth, fetal distress in labor, low weight at birth, congenital hypothyroidism and neurocognitive deficits in children (Saki et al., 2014).
In experimental animals, the treatment of the rats during the gestation and lactation, with antithyroid drugs, also has exhibited a negative effect on the fetal growth (Shibutani et al., 2009). The relationship between the maternal hypothyroidism and the intrauterine restriction growth observed in the offspring can be explained due to the essential function that the maternal antithyroid hormones perform about the growth and maturation of many tissues of the fetus such as the brain, the bones and the muscles (Rivkees, Bode, & Crawford, 1988). In this study, the evaluation of the body parameters related to the physical development did not show any alteration that could be attributed to the physical development, or to the animals’ treatment with TCS.
Epidemiological and experimental studies have proposed an association between the low weight at birth and the chronic development of diseases in adult life (Zambrano et al., 2006; Srinivasan et al., 2006). This association between the harm in fetus growth and the development of diseases in adult life is explained by the hypothesis of ‘fetal programming’, whereby, a stimulus or an insult during the period of the gestation would permanently affect the structure, physiology and metabolism of the fetus leading to the diseases development in adult life (Godfrey & Barker, 2001). Previous disturbance during the fetal life is associated to the increase in the risk of reproductive disorders, such as ovarian cancer, premature menopause, testicular cancer, cryptorchidism, reduction of spermatic quality (Barker, 1995).
In humans, it is observed that the intrauterine restriction growth harms the follicular development, characterized by a premature loss of ovarian follicle, suggesting that girls that are born with low weight at birth may have fertility problems in adult life (Bruin et al.,1998). These studies showed that environmental factors, which influence the continuity of the prenatal growth and physiology of many organs of the organism, may program persistent changes in the fetal reproductive axis and, partially, can explain some fertility problems in adult life.
The programming of the hypothalamus-hypophysis-gonad axis also occurs during critical stages of the fetal development and can be affected by the delayed intrauterine growth, leading to changes in the beginning and progression of the puberty (Van Weissenbruch, Engelbregt, Veening, & Wall, 2005). In this study, the ages of the testicular descent and preputial separation, were used as diagnoses of the initial sexual development in rats. In mice, it is established that the testicular descend occurs on the 15th postnatal day. The preputial separation observed when the foreskin separates itself from the glands penis, normally occurs around the 39th postnatal day (Korenbrot, Huhtaniemi, & Weiner, 1977). In this work, the treatment of the rats during the gestation and lactation did not change the age of the testicular descent of the offspring; however, it increased the age of the preputial separation of the animals, suggesting that the exposure of the offspring during the fetal and neonatal period to TCS delays the puberty installation in these animals. Shibutani et al. (2009) also verified that the maternal hypothyroidism caused a delay at the installation of the puberty in male offspring.
At 60 days of age, the animals exposed to TCS showed a seminal vesicle weight reduction. It is known that the seminal vesicle is an organ which depends on androgens and its weight reduction can be an indirect response of the alteration in the testosterone production in the animals. Previous studies have documented that chemical agents are able to alter hormonal balance (e.g. testosterone), thus resulting in reduction and dysfunction of the male reproductive organs (Teixeira et al., 2012a; 2012b; Mendes et al., 2014). Moreover, the intrauterine restriction growth is related to a delay in pubertal development due to an altered secretion of gonadotropin-releasing hormone (GnRH) (Ojeda & Urbanski, 1994).
Several studies pointed to a decrease in T4 plasma levels in rat’s offspring exposed to TCS during the gestation and lactation, characterizing the congenital hypothyroidism (Paul et al., 2010; 2012; Axelstad et al., 2013). This indirect exposure occurs through the placenta and the maternal milk, and causes a considerable reduction of the T4 levels in the fetal period until the 4th postnatal, a crucial period for the development of testicular structure (Canale et al., 2001; Allmyr, Panagiotidis, Sparve, Diczfalusy, & Sandborgh-Englund, 2009; Paul et al., 2010).
This current study did not show significant differences considering the number of Sertoli cells. However, it is known that the thyroxine is responsible for the proliferation and differentiation of Sertoli and Leydig cells during the testicular development, by spermatogenesis and steroidogenesis, and its disturbs are related to the male reproductive dysfunction (Ramos & Zamoner, 2014), which indicates that, Sertoli cells function may have been affected at the molecular level, even we did not find any alteration in the quantity of cells.
The epithelium of the seminiferous cycle was evaluated in the animals at 60 and 90 days. It was verified that, the animals exposed to a higher dose of TCS (300 mg kg-1 day-1) at 60 days of age, showed a significant increase on the I-VI stages of the spermatogenesis when compared to the animals of GI group. The nuclear effects of the thyroid hormones are mediated by the receptors TRa and TRb, which are members of the superfamily of thyroid hormones receptors (Tsai & O’Malley, 1994). The activation of these receptors modulates the transition of the essential gene to initiate intranuclear changes in the metabolism of the cell (Yen et al., 2006; Patrick, 2009). Inside the seminiferous epithelium of the Sertoli cells are the isoforms of two main receptors: TRa1 and TRa2 (Subbaramaiah et al., 2011). The age of puberty (60 days) is one of the periods of greatest expression of TRa1 and TRa2 in Sertolli cells, showing a critical window for the thyroid hormones in the testicles (Jannini, Carosa, Rucci, Screponi, & D’Armiento, 1999), due to an increase of the steroidogenesis by the leydig cells (Manna, Tena-Sempere, & Huhtaniemi, 1999). This condition explains the elevated frequency of the I-VI stage of the spermatogenisis of the pubertal animals in this study, because it is in the stage that occurs the greatest presence of young and mature spermatids.
In the animals which were 90-days-old, there was a significant increase of VII, VIII and IX-XIII stages and decrease of XIV stage in all the treated groups, when we compare to the GI group. The conversion of the young spermatid to the mature one (spermatogenesis), is dependent on testosterone, mainly occurring during I-VI, VII-VIII and IX-XII stages, (O’Donnell, McLachlan, Wreford, & Robertson, 1994); on the contrary to the other ones, the XIV stage, is characterized for being a step dependent of the follicle stimulating hormone (FSH), which has a maximum expression of FSH receptor in Sertoli cells (D’ Souza et al., 2005). Studies have demonstrated that the normal levels of testosterone are insufficient for spermatogenesis maintenance, and FSH induce the Sertoli cells to synthesize and release the androgen-binding protein (ABP), which in turn binds to the testosterone, increasing the intratesticular testosterone level, and finally resulting in the maintenance of the spermatogenesis (Gartner & Hiatt, 2003). Studies point that the thyroxin acts inhibiting the ABP production (Fugassa, Palmero, & Gallo, 1987). Because the pups of the mothers exposed to TCS during the gestation and lactation developed congenital hypothyroidism (Saki et al., 2014), these animals can present hyperproduction of ABP, causing an increase of the intratesticular testosterone levels, resulting in a raise of young and mature spermatids in the seminiferous epithelium of the animals. This condition reflects in elevation of frequencies of the VII-VIII, IX-XII stages and the decrease of the XIV stage of spermatogenesis, resulting in the deregulation of the seminiferous epithelium cycle, and consequently, impact the fertility in the animals which were 90-days-old.
Conclusion
We conclude that the maternal exposure to TCS during the gestation and lactation causes effects in the male offspring, such as: restriction on the intrauterine development, delay in the puberty installation, alteration in the seminal vesicles in the animals at 60-days-old, alterations in the liver and prostrate weights in the animals at 90-days-old, and deregulation in the seminiferous epithelium cycle at both ages.
Acknowledgement
We would like to thank the Alessandra Ribeiro for the collaboration in the bacterium routines.
References
Allmyr, M., Panagiotidis, G., Sparve, E., Diczfalusy, U., & Sandborgh-Englund, G. (2009). Human exposure to triclosan via toothpaste does not change CYP3A4 activity or plasma concentrations of thyroid hormones. Basic & Clinical Pharmacology & Toxicology, 105(5), 339-344. doi: 10.1111/j.1742-7843.2009.00455.x
Axelstad, M., Boberg, J., Vinggaard, A. M., Christiansen, S., & Hass, U. (2013). Triclosan exposure reduces thyroxine levels in pregnant and lactating rat dams and in directly exposed offspring. Food and Chemical Toxicology, 59, 534-540. doi: 10.1016/j.fct.2013.06.050
Barker, D. J.(1995). Fetal origins of coronary heart disease. British Medical Journal, 311(6998), 171-174. doi: 10.2307/29728107
Bruin, J. P., Dorland, M., Bruinse, H. W., Spliet, W., Nikkels, P. G. J., & TeVelde, E. R. (1998). Fetal growth retardation as a cause of impaired ovarian development. Early Human Development, 51(1), 39-46. doi: 10.1016/S0378-3782(97)00073-X
Canale, D., Agostini, M., Giorgilli, G., Caglieresi, C., Scartabelli, G., Nardini, V., ... Macchia, E. (2001). Thyroid hormone receptors in neonatal, prepubertal, and adult rat testis. Journal of Andrology, 22(2), 284-288. doi: 10.1002/j.1939-4640.2001.tb02182.x
Capdevielle, M., Van Egmond, R., Whelan, M., Versteeg, D., Hofmann-Kamensky, M., Inauen, J., ... Woltering, D. (2008). Consideration of exposure and species sensitivity of triclosan in the freshwater environment. Integrated Environmental Assessment and Management, 4(1), 15-23. doi: 10.1897/IEAM2007-022.1
Crawford, B. R., & Decatanzaro, D. (2012). Disruption of blastocyst implantation by triclosan in mice: impacts of repeated and acute doses and combination with bisphenol-A. Reproductive Toxicology, 34(4), 607-613. doi: 10.1016/j.reprotox.2012.09.008
Culliman, M. P., Westerman, B., Hamlet, S. M., Palmer, J. E., Faddy, M. J., & Seymour, G. J. (2003). The effect of a triclosan containing dentifrice on the progression of periodontal disease in an adult population. Journal of Clinical Periodontology, 30(5), 414-419. doi: 10.1034/j.1600-051X.2003.20030.x
D’ Souza, R., Grill-Sharma, M. K., Pathak, S., Kedia, N., Kumar, R., & Balasinor, N. (2005). Effect of high intratesticular estrogen on the seminiferous epithelium in adult male rats. Molecular and Cellular Endocrinol, 241(1-2), 41-48. doi: 10.1016/j.mce.2005.04.011
Diamanti-Kandarakis, E., Bourguignon, J. P., Giudice, L. C., Hauser, R., Prins, G. S., Soto, A. M., ... Gore, A. C. (2009). Endocrine-disrupting chemicals: an Endocrine Society scientific statement. Endocrine Reviews, 30(4), 293-342. doi: 10.1210/er.2009-0002
Eui-Man, J., Beum-Soo, A., Kyung-Chul, C., & Eui-Bae, J. (2012). Potential estrogenic activity of triclosan in the uterus of immature rats and rat pituitary GH3 cells. Toxicology Letters, 208(2), 142-148. doi: 10.1016/j.toxlet.2011.10.017
Ferreira, A. L., Lison, L., & Valeri, V. (1967). Caryometric study of spermatogenesis in the rat. Zeitschriftfür Zellforschung und Mikroskopische Anatomie, 76(1), 31-55. doi: 10.1007/BF00337032
Fugassa, E., Palmero, S., & Gallo, G. (1987). Triiodothyronine decreases the production of androgen binding protein by rat Sertoli cells. Biochemical and Biophysical Research Communications, 143(1), 241-247. doi: 10.1016/0006-291X(87)90656-5
Gartner, L. P., & Hiatt, J. L. (2003). Tratado de histologia. 2ª Ed. Rio de Janeiro, RJ: Guanabara Koogan.
Gilbert, R. J., & Williams, P. E. O. (1987). The oral retention and antiplaque efficacy of triclosan in human volunteers. British Journal of Clinical Pharmacology, 23(5), 579-583. doi: 10.1111/j.1365-2125.1987.tb03094.x
Godfrey, K. M., & Barker, D. J. (2001). Fetal programming and adult health. Public Health Nutrition, 4(2B), 611-624. doi: 10.1079/PHN2001145
Honkisz, E., Zieba-Przybylska, D., & Wojtowicz, A. K. (2012). The effect of triclosan on hormone secretion and viability of human choriocarcinoma JEG-3 cells. Reproductive Toxicology, 34(3), 385-392. doi: 10.1016/j.reprotox.2012.05.094
Jannini, E. A., Carosa, E., Rucci, N., Screponi, E., & D’Armiento, M. (1999). Ontogeny and regulation of variant thyroid hormone receptor isoforms in developing rat testis. Journal of Endocrinological Investigation, 22(11), 843-848. doi: 10.1007/bf03343656
Korenbrot, C. C., Huhtaniemi, I. T., & Weiner, R. I. (1977). Preputial separation as an external sign of pubertal development in the male rat. Biology of Reproduction, 17(2), 298-303. doi: 10.1095/biolreprod17.2.298
Kumar, V., Chakraborty, A., Kural, M. R., & Roy, P. (2009). Alteration of testicular steroidogenesis and histopathology of reproductive system in male rats treated with triclosan. Reproductive Toxicology, 27(2), 177-185. doi: 10.1016/j.reprotox.2008.12.002
Leblond, C. P., & Clermont, Y. (1952). Definition of the stages of the cycle of the seminiferous epithelium in the rat. Annals of the New York Academy of Sciences, 55(4), 548-573. doi: 10.1111/j.1749-6632.1952.tb26576.x
Manna, P. R., Tena-Sempere, M., & Huhtaniemi, I. T. (1999). Molecular mechanisms of thyroid hormone-stimulated steroidogenesis in mouse leydig tumor cells. Involvement of the steroidogenic acute regulatory (StAR) protein. The Journal of Biological Chemistry, 274(9), 5909-5918. doi: 10.1074/jbc.274.9.5909
Manservisi, F., Gopalakrishnan, K., Tibaldi, E., Hysi, A., Lezzi, M., Lambertini, L., ... Belpoggi, F. (2015). Effect of maternal exposure to endocrine disrupting chemicals on reproduction and mammary gland development in female Sprague-Dawley rats. Reproductive Toxicology, 54, 110-119. doi: 10.1016/j.reprotox.2014.12.013
Mendes, L. O., Scarano, W. R., Rochel-Maia, S. S., Fioruci-Fontaneli, B. A., Chuffa, L. G., Anselmo-Franci, J. A., & Martinez, F. E. (2014). Androgen therapy reverses injuries caused by ethanol consumption in the prostate: testosterone as a possible target to ethanol-related disorders. Life Science, 120, 22-30. doi: 10.1016/j.lfs.2014.11.003
O’Donnell, L., McLachlan, R. I., Wreford, N., & Robertson, D. M. (1994). Testosterone promotes the conversion of round spermatids between stages VII and VIII of the rat spermatogenic cycle. Endocrinology, 135(6), 2608-2614. doi: 10.1210/endo.135.6.7988449
Ojeda, S. R., & Urbanski, H. F. (1994). Puberty in the rat. In E. Knobil, & J. D. Neill (Eds), The physiology of reproduction (2nd ed., p. 363-409). New York, NY: Raven Press.
Patisaul, H. B., & Adewle, H. B. (2009). Long-term effects of environmental endocrine disruptors on reproductive physiology and behavior. Frontiers in Behavioral Neuroscience, 3, 10. doi: 10.3389/neuro.08.010.2009
Patrick, L.(2009). Thyroid disruption: mechanism and clinical implications in human health. Alternative Medicine Review, 14(4), 326-346.
Paul, K. B., Hedge, J. M., Bansal, R., Zoeller, R. T., Peter, R., DeVito, M. J., & Crofton, K. M. (2012). Developmental triclosan exposure decreases maternal, fetal, and early neonatal thyroxine: a dynamic and kinetic evaluation of a putative mode-of-action. Toxicology, 300(1-2), 31-45. doi: 10.1016/j.tox.2012.05.023
Paul, K. B., Hedge, J. M., DeVito, M. J., & Crofton, K. M. (2010). Shortterm exposure to triclosan decreases thyroxine in vivo via upregulation of hepatic catabolism in young Long-Evans rats. Toxicological Sciences, 113(2), 367-379. doi: 10.1093/toxsci/kfp271
Pires, J.R., Rossa, J. C., & Pizzolitto, A.C. (2007). In vitro antimicrobial efficiency of a mouthwash containing Triclosan/gantrez and sodium bicarbonate. Brasilian Oral Research, 21(4), 342-347. doi: 10.1590/S1806-8324242007000400011
Ramos, C. F., & Zamoner, A. (2014). Thyroid hormone and leptin in the testis. Frontiers in Endocrinology, 5(198), 1-12. doi: 10.3389/fendo.2014.00198
Riley, P., & Lamont, T. (2013). Triclosan/copolymer containing toothpastes for oral health. The Cochrane Database of Systematic Reviews, 12, CD010514. doi: 10.1002/14651858.CD010514.pub2
Rivkees, S. A., Bode, H. H., & Crawford, J. D. (1988). Long-term growth in juvenile acquired hypothyroidism: the failure to achieve normal adult stature. The New England Journal of Medicine, 318(10), 599-602. doi: 10.1056/NEJM198803103181003
Rodriquez, P. E., & Sanchez, M. S. (2010). Maternal exposure to triclosan impairs thyroid homeostasis and female pubertal development in wistar rat offspring. Journal of Toxicology and Environmental Health. Part A, 73(24), 1678-1688. doi: 10.1080/15287394.2010.516241
Rosling, B., Wannfors, B., Volpe, A. R., Furuichi, Y., Ramberg, P., & Lindhe, J. (1997). The use of a triclosan/copolymer dentifrice may retard the progression of periodontitis. Journal of Clinical Periodontology, 24(12), 873-880. doi: 10.1111/j.1600-051X.1997.tb01205.x
Saki, F., Dabbaghmanesh, M. H., Ghaemi, S. Z., Forouhari, S., Omrani, G. R., & Bakhshayeshkaram, M. (2014). Thyroid function in pregnancy and its influences on maternal and fetal outcomes. International Journal of Endocrinology and Metabolism, 12(4), 1-7. doi: 10.5812/ijem.19378
Schug, T. T., Janesick, A., Blumberg, B., & Heindel, J. J. (2011). Endocrine disrupting chemicals and disease susceptibility. The Journal of Steroid Biochemistry and Molecular Biology, 127(3-5), 204-215. doi: 10.1016/j.jsbmb.2011.08.007
Shibutani, M., Woo, G. H., Fujimoto, H., Saegusa, Y., Takahashi, M., Inoue, K., … Nishikawa, A. (2009). Assessment of developmental effects of hypothyroidism in rats from in utero and lactation exposure to anti-thyroid agents. Reproductive Toxicology, 28(3), 297-307. doi: 10.1016/j.reprotox.2009.04.011
Srinivasan, M., Aalinkeel, R., Song, F., Mitrani, P., Pandya, J. D., Strutt, B., ... Patel, M. S. (2006). Maternal hyperinsulinemia predisposes rat fetuses for hyperinsulinemia, and adult-onset obesity and maternal mild food restriction reverses this phenotype. American Journal of Physiology Endocrinology and Metabolism, 290(1), 129-134. doi: 10.1152/ajpendo.00248.2005
Subbaramaiah, K., Howe, L. R., Bhardwaj, P., Du, B., Gravaghi, C., Yantiss, R. K., ... Dannenberg, A. J. (2011). Obesity is associated with inflammation and elevated aromatase expression in the mouse mammary gland. Cancer prevention research, 4(3), 329-346. doi: 10.1158/1940-6207
Teixeira, G. R., Chuffa, L. G., Martins, O. A., Kremer, R., Pinheiro, P. F., Mello Júnior, W., ... Domeniconi, R. F. (2012a). The expression of aquaporins 1 and 9 in adult rat epididymis is perturbed by chronic exposure to ethanol. Tissue Cell, 44(1), 47-53. doi: 10.1016/j.tice.2011.11.001
Teixeira, G. R., Fávaro, W. J., Pinheiro, P. F., Chuffa, L. G., Amorim, J. P., Mendes, L. O., ... Martinez, F. E. (2012b). Physical exercise on the rat ventral prostate: steroid hormone receptors, apoptosis and cellproliferation. Scandinavian Journal of Medicine & Science in Sports, 22(5), 86-92. doi: 10.1111/j.1600-0838.2012.01501.x
Tsai, M. J., & O’Malley, B. W. (1994). Molecular mechanisms of action of steroid/thyroid receptor superfamily members. Annual review of biochemistry, 63, 451-486. doi: 10.1146/annurev.bi.63.070194.002315
Van Meeuwen, J. A., Ter Burg, W., Piersma, A. H., Van den Berg, M., & Sanderson, J. T. (2007). Mixture effects of estrogenic compounds on proliferation and pS2 expression of MCF-7 human breast cancer cells. Food and Chemical Toxicology, 45(11), 2319-2330. doi: 10.1016/j.fct.2007.06.011
Van Weissenbruch, M. M., Engelbregt, M. J. T., Veening, M. A., & Wall, H. A. D.-V. (2005). Fetal nutrition and timing of puberty. Endocrine Development, 8, 15-33. doi: 10.1159/000084084
Yen, P. M., Ando, S., Feng, X., Liu, Y., Maruvada, P., & Xia, X. (2006). Thyroid hormone action at the cellular, genomic and target gene levels. Molecular and Cellular Endocrinology, 246(1-2), 121-127. doi: 10.1016/j.mce.2005.11.030
Zambrano, E., Bautista, C. J., Deás, M., Martinez-Samayoa, P. M., González-Zamorano, M., Ledesma, H., ... Nathanielsz, P. W. (2006). A low maternal protein diet during pregnancy and lactation has sex- and window of exposure-specific effects on offspring growth and food intake, glucose metabolism and serum leptin in the rat. The Journal of Physiology, 571(1), 221-230. doi: 10.1113/jphysiol.2005.100313
Zorrilla, L. M., Gibson, E. K., Jeffay, S. C., Crofton, K. M., Setzer, W. R., Cooper, R. M.,& Stoker, T. E. (2009). The effects of triclosan on puberty and thyroid hormones in male wistar rats. Toxicological Sciences, 107(1), 56-64. doi: 10.1093/toxsci/kfn225
Weatherly, L. M., & Gosse, J. A. (2017). Triclosan exposure, transformation, and human health effects. Journal of Toxicology and Environmental Health. Part B, Critical Reviews, 20(8), 447-469. doi: 10.1080/10937404.2017.199306