Educação Física
Received: 06 June 2018
Accepted: 07 March 2019
DOI: https://doi.org/10.4025/actascihealthsci.v41i1.43155
Abstract: The purpose of this study was to investigate the association between anthropometric (height and weight) and physical parameters in Brazilian football athletes and to determine if the relationship between various anaerobic indices of running anaerobic sprint test (RAST) and physical performance are dependent upon position. The present study is an observational, randomized cross-sectional research, where thirty-eight players (24.7 ± 3.9 years) performed a series of tests that consisted of physical fitness (horizontal jump, abdominal curl, push up, 10, 20 and 30 m sprint speed), anthropometric and RAST assessments. The players were classified into three groups: skill players (n = 14), big skill players (n = 10), and linemen (n = 14). One-way ANOVA followed by Bonferroni test presented no difference between groups for anthropometric, horizontal jump, push up, T agility, 10, 20, and 30 m sprint speed tests and all anaerobic indices computed (p > 0.05). However, higher abdominal curl performance was noted under skill player versus big skill player group (p = 0.045). In big skill players group, the relationship between 10, 20 and 30 m sprint speed and muscle power reduction index was great. In conclusion, the results of the current study indicated that only agility and sprint tests presented an association with the anaerobic performance for all group analyzed.
Keywords: exercise performance, athletic performance, physical activity assessment, sports medicine, physical fitness, football.
Introduction
American football is a team sport that requires high levels of physical attributes such as strength, power, speed, and agility (Yeargin et al., 2017). This sport is characterized by positions which require sets of very different skills for great sport performance (Yamashita, Asakura, Ito, Yamada, & Yamada, 2016). The National Football League (NFL) is a professional league in the United States and the highest level of athletic competition for American football in the world.
In an American football game, each position has distinct performance demands. Furthermore, previous studies have reported that height, body weight, and body composition are different among American football players (Dupler, Amonette, Coleman, Hoffman, & Wenzel, 2010; Iguchi et al., 2016), and the different speed and movement demands required may be explained by the specific characteristics of each playing position (Robbins & Young, 2012; Raymundo et al., 2018). High-level teams present at least 20 distinct positions.
For instance, wide receivers and defensive backs, who often weigh < 90 kg, are usually required to run distances in excess of 30 or 40 m. Linemen commonly weighing over 140 kg are rarely required to run > 10 m (Robbins & Young, 2012; Iguchi et al., 2016). Players in skill position achieve greater distances, high-intensity sprint, and acceleration and deceleration efforts than those in other positions (Nuzzo, 2015). With the different performance requirements in a game, physical profile differs between position categories and level of experience (Iguchi et al., 2016; Yamashita et al., 2016). Studies examining the relationship between physical strength and performance have suggested that superior physical strength, speed, and power are important to a higher team ranking or to becoming a starter (Dupler et al., 2010; Lockie et al., 2017). On the other hand, other studies have been reported that stronger and faster athletes are more likely to be injured because of higher speed and collision forces (Iguchi et al., 2016; Yeargin et al., 2017).
Robbins and Young (2012) investigated positional relationships between sprint and jump abilities and body mass in elite American college football players. The authors found that stationary start sprints up to 36.6 m seems to be heavily influenced by acceleration, possibly integrating similar characteristics. However, body mass was strongly associated with performance in the lineman group. These factors create a complex challenge for countries such as Brazil, where American football is emerging as a team sport. Nevertheless, American football is not a professional sport in Brazil yet, and there is no formal process of recruitment or selection of players. In this sense, with the growing interest in American football in Brazil, it is essential to develop studies with the goal to understand the current state of the Brazilian league, and the level of physical fitness performance of Brazilian players. These data are necessary to bring up the sport to a higher level and possibly become a professional sport in Brazil.
In the present study, we performed a battery of tests routinely performed in American football and used the data as variables for statistical analysis of the relationship between physical fitness parameters and playing position in Brazilian athletes of American football team. These data on football players in a country where the sports is growing may help football coaches, and strength and condition specialists to properly design year-round position and player-specific training programs with low cost and clear applicability. Therefore, the purpose of this study was to investigate the association among anthropometric and physical performance (horizontal jump, agility, muscle endurance and anaerobic performance) parameters in Brazilian American football athletes and to determine if the relationship between various anaerobic indices (power output, mean power, peak power per weight, mean power per weight, and the fatigue index) are dependent upon position.
Material and methods
Subjects
To test the study hypothesis, an observational cross-sectional research design was carried out. All 38 players of Blazer’s team participating in this study performed a test battery that consisted of physical fitness, anthropometric and athletic movement skill assessments. The sequence of test was based on recommendations provided in the literature (Zagatto, Beck, & Gobatto, 2009; Robbins & Young, 2012; Vitale et al., 2016). Testing took place at the end of the non-injured 38 player’s respective preseason phase of training, in an attempt to standardize testing conditions. Each participant was instructed to wear comfortable clothing and shoes for the session. All participants had physician’s clearance to play football. They were asked to avoid vigorous exercise and the intake of caffeine or alcohol for 12 hours before testing.
Before testing, initial paperwork, including demographic data and football information, the consent form, and a health history were filled out. Each subject was assigned a number to ensure confidentiality and consistency. Each athlete and respective coach were informed about the aim of the study and the possible risks of the experiment, and they all signed a consent form before participating in the study. The present study was approved by the Research Ethics Committee of the local University under the number 2017100389.
Procedures
Players ware categorized into one of three groups based on playing position: skill players, big skill players, and linemen (Robbins & Young, 2012). Skill players consisted of wide receivers, running backs, and defensive backs. Big skill players consisted of fullbacks, tight ends, and linebackers. Linemen consisted of offensive lines and defensive lines. Defensive ends were categorized as linemen because their movement characteristics were similar to defensive tackles rather than linebackers and defensive ends in Brazil are usually grouped with defensive tackles and offensive lines as linemen in training and football practice. Quarterbacks, punters, and place kickers were not compared due to their specific skill position and a small sample size of Brazilian players.
The standard warm-up consisted of a 10 min. jogging. During the first 5 min., subjects performed a low-intensity run and in the next 5 min., they added some ballistic movements to the lower limbs (hip adductions, abductions, flexion and extension, and knee and ankle flexion and extension). Two anthropometric and six performance measures were taken: height, weight, horizontal jump, 10, 20 and 30 m sprint test, running anaerobic sprint test (RAST) and T agility test. Anthropometric measurements included height and body mass. Height was measured to the nearest 0.1 cm and body mass to the nearest 0.1 kg. The tests were randomized and categorized between limb effort demand (i.e., upper to lower body or trunk tor upper or lower body). Fifteen min. rest period was adopted between tests. Two measurements were performed for each test.
Strength performance tests
The horizontal jump is a test of horizontal jump ability. From a standing 2-footed position, using a countermovement and arm swing, the player jumps forward for maximal distance. Jump distance is measured as the distance from the start line to the nearest body part upon landing (this is typically the point of heel contact).
During push-up testing, participants started the exercise in an extended arm position with forearms and wrists pronated, feet at biacromial (shoulder) width, and fingers flexed. Hip and spine were maintained neutral during all the repetitions (Cho et al., 2014). The maximal numbers of successful repetitions were recorded. During the abdominal curl test, the subject simultaneously flexed the spine and hips until the elbows were even with the knees, then returned to the starting position (Escamilla et al., 2010).
Running anaerobic sprint test
The RAST was developed by Wolverhampton University (United Kingdom) adapted from the original Wingate test to assess the anaerobic power and capacity measuring the peak power (PP), mean power (MP), and fatigue index (FI) variables (Zagatto et al., 2009). The RAST consists of six 35 m maximal sprints with a 10 s recovery. By measuring body mass and running times, it is possible to determine the power of effort in each sprint [power = (body mass3 X distance2)/time3]. The results of the RAST can give an estimate of the neuromuscular and energy determinants of maximal anaerobic performance, and it seems to be a good option for the evaluation protocol to be used in sports that require running as the principal form of locomotion, such as soccer, athletics, basketball, and handball.
Initially, the body mass was measured with all clothes used in the RAST test. The RAST was applied with the participants performing six 35-m maximal sprints with a 10 s interval between each sprint. Four experienced researchers recorded all the measures. Mean power (MP), peak power per weight (PP Wkg-1), mean power per weight (MP kg-1), and the fatigue index (FI = (peak power – minimum power/peak power) X 100) were computed for RAST times.
Sprint performance
Furthermore, three 30 m sprint sets were evaluated using a kinematic software (Kinovea.org, RUS) and a digital video camera (Sony CX505VE32 GB HDD model; New York, NY, USA) was placed perpendicular to the middle of the route. The times were measured at the starting point, and 10, 20 and 30 m following luminous markers in the fields (Ojeda, Rios, Barrilao, & Serrano, 2016).
T agility test
The T-Test was administered using a version standardized from previous literature (Miller, Herniman, Ricard, Cheatham, & Michael, 2006). The units of measurement were changed from yards to meters, creating a 10 × 10 m course. The course procedure of having the participant touch each cone is not standardized in the literature; therefore, the task was eliminated. The directions adopted for this study were based on Miller et al. (2006). On the ‘go’ command, the participant (1) ran or moved as quickly as possible forward to the center cone, (2) sidestepped to the right 5 m to the right cone, (3) sidestepped to the left 10 m to the far-left cone, and then (1) sidestepped back to the right of the center cone (Figure 1). The participant then ran or moved backward as quickly as possible to cross the finish line.
The rater began the stopwatch on ‘go’ and stopped when the participant broke the plane at the finish line. The time to complete each trial was recorded in s. The disqualification was determined if the participant failed to run the course as instructed, failed to reach the finish line or complete the course, moved any cones, did not keep his trunk and feet pointed forward at all times, or crossed his legs more than once when sidestepping. If a participant did not complete a trial successfully, a score of 0 was given.

Statistical analyses
Results are expressed as mean ± SD or SE. Initially, the Kolmogorov-Smirnov and Liliefors tests were used to analyze variable normality. All scores showed normality. The intraclass correlation coefficient (ICC = (MSb – MSw)/[MSb + (k-1)MSw)]), where MSb = mean-square between, MSw = mean-square within, and k = average group size. The cutoff points for classification of the ICC were defined considering: weak reliability (ICC ≤ 0.40); moderate reliability (ICC > 0.41 ≤ 0.75); and excellent reliability (ICC > 0.75). The RAST comparison was analyzed using the MANOVA for dependent samples. One-way ANOVA followed by Bonferroni test was adopted to compare the dependent variables (horizontal jump, sprint speed, t-test, and anthropometric data) between groups. Modified magnitudes of effect of the correlations were determined as follows: trivial, < 0.10; small, ≤ 0.10-0.29; moderate, 0.30-0.49; large, 0.50-0.69; very large, 0.70-0.89; and nearly perfect, 0.90-0.99 (Hopkins, Marshall, Batterham, & Hanin, 2009). A 5% level of significance was used to determine statistical differences.
Results
No difference was noticed between groups for anthropometric variables and training experience data (p > 0.05; Table 1). The ICC of the physical tests’ performance range between 0.87 to 0.97.
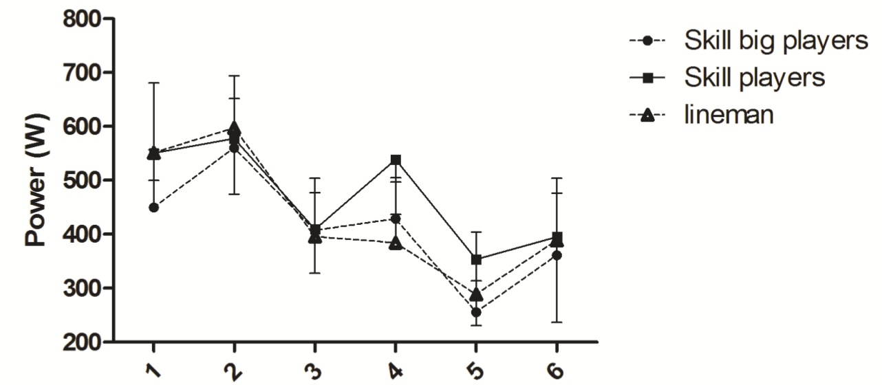
Higher abdominal curl performance was observed under skill player versus big skill player group (F = 3.604; p = 0.045; Table 2) regarding neuromuscular tests. On the other hand, no difference between groups was observed for the horizontal jump, push up, and T agility test (p > 0.05). No difference was noticed among groups in all anaerobic tests and indices computed (p > 0.05; Table 3). In addition, considering the sprint performance (Table 4) no difference was notable between groups (p > 0.05).
Positional correlations are presented in Table 5-7. On the 50 positional performance measure correlations carried out, only 12 were not statistically significant at p ≤ 0.05 for big skill players group (Table 5). The relationship between T agility test score and RAST indices (i.e., total time, mean speed, mean power, mean power per weight, and anaerobic capacity) range between very large and nearly perfect. The significant correlations between horizontal jump and peak speed, peak power per weight, mean power per weight range between very large and nearly perfect. The relationship between 10, 20 and 30 m sprint speed and power reduction index were great. A very large correlation was also observed between 10 m sprint speed and fatigue index.
The relationships between T agility test, horizontal jump, and sprint speed tests score and RAST indices range in general between trivial and moderate (Table 6). A significant very large correlation was only noted between 30 m sprint speed and peak power output.
For lineman players, the relationship between T agility test, horizontal jump, and sprint speed tests score and RAST indices range in general between moderate and very large (Table 7). A significant negative correlation was observed on T agility test and peak speed, mean speed, mean power, mean power per weight and anaerobic capacity, respectively. A large correlation was also noticed between 10 m sprint speed and peak power output (Figure 2).

BMI: Body mass index.

† Significant difference for big skill player group (p ≤ 0.05).

RAST: running anaerobic sprint test.

† Significant difference for defense group (p ≤ 0.05).


**p ≤ 0.01; *p ≤ 0.05.

*p ≤ 0.05; **p ≤ 0.01; † Significant difference for defense group (p ≤ 0.05).

Discussion
The purpose of this study was to investigate the association among anthropometric and physical performance parameters in Brazilian American football athletes and to determine if the relationship between various anaerobic indices of RAST and physical performance skills are dependent upon position. No difference was found between groups for anthropometric, horizontal jump, push up, T agility, 10, 20, and 30 m sprint speed tests and all anaerobic indices computed. However, higher abdominal curl performance was observed under skill player versus big skill player group. The skills abilities as t-test agility score, horizontal jump and 10, 20 and 30 m sprint speed showed different relationship between groups when associated with the anaerobic indices computed during RAST test.
Despite the lack of significant differences, the anthropometric variables (177.7 ± 6.5 cm; 91.8 ± 19.1 kg; BMI: 25.8 ± 5.1) measured in the Brazilian athletes evaluated in the current study were significantly lower than values presented in previous studies with NFL athletes. Pryor et al. (2014), in a study with super bowl champions, observed greater anthropometric values (weight: 144.9 ± 20.8 kg; height: 183.8 ± 9.0 cm) when compared to those found in the present study. Dengel et al. (2014) evaluated the body composition and bone mineral density in 411 NFL professional athletes and observed that offensive lineman presented similar BMI (37.9 ± 2.1 kg m-2), body weight (140.9 ± 6.1 kg) and height (192 ± 4.1 cm) of defensive lineman (BMI: 36.5 ± 4.5 kg m-2; weight: 132.9 ± 14.7 kg; height: 190.9 ± 2.9 cm). In the present study, the corresponding Lineman category showed lower values of BMI (28.2 ± 6.5 kg m-2), body weight (100.9 ± 23.9 kg) and height (178 ± 7.7 cm) when compared to NFL athletes assessed by Dengel et al. (2014).
The physical fitness performance scores (i.e., horizontal jump: 210.9 ± 26.2 cm; push up: 34.4 ± 12.7; abdominal curl: 39.9 ± 10.1; T-test 12.4 ± 0.8 s) measured in Brazilian athletes were also lower than previous values observed in professional American football players from other countries. Vitate et al. (2016) investigated several physical performance skills in Italian American football players and found the significant difference in horizontal jump score between playing positioning (i.e., lineman: 207 ± 23.8 cm; skill players: 242.2 ± 14.2 cm and big skill players 225 ± 20 cm). These results were higher to those obtained in the present study even considering each positioning group: (Lineman: 202.4 ± 32.5 cm; skill player: 220.5 ± 18.3 cm; big skill player 209.3 ± 25.6 cm). On the other hand, considering the physical fitness tests evaluated, it was found significant differences only in abdominal curl test between skill player (45.7 ± 7.7) versus big skill player (33.0 ± 9.0), respectively. Recently, Yamashita et al. (2016) compared the physical performance score of Japanese versus American football players and noted that Americans presented greater results in all variable tests applied in NFL combine (i.e., height, weight, vertical jump, broad jump, 40-yard dash, proagility shuttle, three-cone drill, and 100 kg bench press repetition test).
Additionally, the results obtained in the current study were predictable considering that the development of American Football in Brazil has a long way to go when compared to the level of training and structure offered at universities in the United States, which allowed the athletes to achieve a greater physical and technical performance level before entering in the NFL organization. One of the factors that may explain this difference is related to the training routine of Brazilian athletes which is not as hard as the training American players have while competing at a collegiate level. Brazilian players usually practice on the field only a few days per week.
Another factor that may explain our findings is the recruitment process. In Brazil, there is no formal recruitment of players for the coaches and managers to be able to build a stronger team. The reality in Brazil and most of the South American countries is that anyone interested in the sport which presented the minimal performance attributes required on the field will be integrated into a team. Additionally, in Brazil, soccer, volleyball and basketball are the most popular team sports, so the stronger and skilled athletes often prefer to join those kinds of sports. In this sense, Dupler et al. (2010) examined the physical and performance differences between grade levels and playing positions within two thousand three hundred and twenty-seven High-School football players. They were tested for height, weight, 40-yd sprint time, proagility time, and vertical jump height. They noted a similar maturation and performance enhancement process across grades, regardless of offensive and defensive position. These results indicate that implementation of the sports since the high-school period is essential to achieve a greater anthropometric and physical performance scores in professional competitive level.
However, positional correlations between ability tests and RAST indices presented distinct results between groups. Big skill players presented great to a nearly perfect correlation between T agility test and horizontal jump scores with several power indices computed during RAST. The 10, 20 and 30 m sprint speed showed large correlation with power reduction index. On the other hand, in skill players group, a significant very large correlation was only seen between 30 m sprint speed and peak power output. Additionally, in lineman players group, a significant negative correlation was noticed on T agility test and peak speed, mean speed, mean power, mean power per weight and anaerobic capacity, respectively. This is due to the relative increased upper body demands of lineman during position-specific drills and gameplay. Much of the power and strength for these players come from the lower body (Nuzzo, 2015); however, the transfer of this strength and power occurs through the upper extremities and is typically imparted to the opponent through the arms.
Sierer, Battaglini, Mihalik, Shields, and Tomasini (2008) suggested that players in the skill group should prepare themselves as much as possible to perform considerably greater during the 40-yard dash, vertical jump, pro-agility shuttle, and 3-cone drill assessments. Since BSP (Linebackers, Fullbacks, and Tight ends) require speed in order to dutifully perform their respective positions. Yamashita et al. (2016) compared the physical characteristics and performance between top-level non-professional football players in Japan (i.e., one hundred sixty-eight), and NFL combine invited players and a top and middle-level player in Japan with the goal to determine the factors that enhance performance in international and national competition. Compared with non-selected players, selected Japanese skill players had better performance in the 40-yard dash and bench press test and big skill players had better performance in the vertical jump, broad jump, and 40-yard dash. Selected and non-selected Japanese linemen were not different in any measurements. Similar to our results, the Japanese players were smaller, lighter, slower, and weaker than the NFL candidates,
Studies examining the relationship between physical strength and performance have suggested that superior physical strength, speed, and power are important to a higher team ranking or to becoming a starter (Robbins, Young, Behm, Payne, & Klimstra, 2010; Nuzzo, 2015; Pion et al., 2015; Paz et al., 2016a). Others studies (Gabbett, Kelly, & Pezet, 2008; Hegedus, McDonough, Bleakley, Baxter, & Cook, 2015; McLaren, Weston, Smith, Cramb, & Portas, 2015) have been reported that stronger and faster athletes are more likely to be injured due to higher speed and collision forces. Players with higher power presented a significantly greater risk for knee sprains. The ones with low power had a significantly higher incidence of an ankle sprain, and vertical jump height was a significant predictor of hamstring strain (Iguchi et al., 2016). Gabbett, Ullah, and Finch (2012) observed that players with greater speed performance suffered more injuries than those with lower speed. In addition, the results of the current study showed that 10, 20 and 30 m sprint speed was positively correlated with power relative to body weight. On the other hand, the RAST indices scores, sprint speed and t-agility performance observed in the current study were lower when compared to Japanese, Italian, and American Football players.
Young, James, and Montgomery (2002) proposed a deterministic model of agility, and they indicated that change of direction speed was composed of technique, straight sprinting speed, and leg muscle qualities. The lack of training of such specific skills in high school and college may be one the factors that may justify the scores presented by Brazilian athletes when compared to players from countries with large experience in American football. When cornering around a cone, the ability to produce lateral force while braking forward force with several steps rather than producing great lateral force in one step is required (Raya et al., 2013). On the other hand, the lack of difference between skill groups in agility and RAST scores may be associated to the similar anthropometric characteristics of the players evaluated in the present study (Zagatto et al., 2009).
Generally, shorter players have a lower center of gravity and higher step frequency, which may be an advantage when adjusting their stride length with smaller foot displacement and increasing step frequency to complete cornering around a cone (Williams et al., 2015; Paz et al., 2016b). Zhang, Bates, and Dufek (2000) indicated that ankle, knee, and hip joints have a different role in energy dissipation during landing tasks: the ankle joint muscles had the least ability to absorb energy and its energy generated during landing was transferred from ankle to knee to hip. In this sense, the author suggested that players with less power are less able to dissipate the energy around the ankle joint during athletic movements such as cutting and landing, which may increase the risk of ankle sprain.
The results of the present study should, therefore, be interpreted with caution for a better understanding of the relationship between physical performance parameters and positional differences. We investigated a Brazilian American Football team with physical performance levels smaller than NFL athletes in several skills such as speed, power, agility and anaerobic capacity. In Brazil, the American football does not have a large number of teams, and even with the increasing growth of interest in Brazil in these last years, American football is still not a big business. The consequences of little support from big companies are reflected into the absent of state-of-the-art facilities, scientific evidence, materials, and qualify personnel that could help further develop the Brazilian league. However, a future study including more performance tests, more detailed categories for playing positions, and athletes from countries where the American Football is growing may help coaches and conditional professionals to develop this sport with low financial support. Therefore, the results of this study involving players currently participating in the top level Brazilian American football leagues serve as a starting point, that, if any progress is to be made to popularize the sports in Brazil, more investments in the sport need to be made.
Conclusion
In conclusion, no difference was noticed between groups (lineman, skill players, and big skill players) for anthropometric, horizontal jump, push up, T agility, 10, 20, and 30 m sprint speed tests and all anaerobic indices computed in Brazilian American football athletes. However, higher abdominal curl performance was noted under skill player versus big skill player group. The skills abilities as T agility score, horizontal jump and 10, 20 and 30 m sprint speed showed different relationships between intra-group when associated with the anaerobic indices computed during RAST. Therefore, these results of the current study indicated that only agility and sprint tests presented an association with the anaerobic performance for all analyzed groups. These results may help coaches to develop conditioning programs and to design new models to recruit American football players in Brazil and countries where this sport is growing, but there is still a lack of financial and structure support.
References
Cho, S. H., Baek, I. H., Cheon, J. Y., Cho, M. J., Choi, M. Y., & Jung, D. H. (2014). Effect of the Push-up Plus (PUP) Exercise at different shoulder rotation angles on shoulder muscle activities. Journal of Physical Therapy Science, 26(11), 1737-1740. doi: 10.1589/jpts.26.1737
Dengel, D. R., Bosch, T. A., Burruss, T. P., Fielding, K. A., Engel, B. E., Weir, N. L., & Weston, T. D. (2014). Body composition and bone mineral density of national football league players. Journal of Strength and Conditioning Research, 28(1), 1-6. doi: 10.1519/JSC.0000000000000299
Dupler, T. L., Amonette, W. E., Coleman, A. E., Hoffman, J. R., & Wenzel, T. (2010). Anthropometric and performance differences among high-school football players. Journal of Strength and Conditioning Research, 24(8), 1975-1982. doi: 10.1519/JSC.0b013e3181e4f9ec
Escamilla, R. F., Lewis, C., Bell, D., Bramblet, G., Daffron, J., Lambert, S., Pecson, A., ... Andrews, J. R. (2010). Core muscle activation during Swiss ball and traditional abdominal exercises. Journal of Orthopaedic & Sports Physical Therapy, 40(5), 265-276. doi: 10.2519/jospt.2010.3073
Gabbett, T. J., Ullah, S., & Finch, C. F. (2012). Identifying risk factors for contact injury in professional rugby league players-application of a frailty model for recurrent injury. Journal of Science and Medicine in Sport, 15(6), 496-504. doi: 10.1016/j.jsams.2012.03.017
Gabbett, T., Kelly, J., & Pezet, T. (2008). A comparison of fitness and skill among playing positions in sub-elite rugby league players. Journal of Science and Medicine in Sport, 11(6), 585-592. doi: 10.1016/j.jsams.2007.07.004
Hegedus, E. J., McDonough, S. M., Bleakley, C., Baxter, D., & Cook, C. E. (2015). Clinician-friendly lower extremity physical performance tests in athletes: a systematic review of measurement properties and correlation with injury. Part 2-the tests for the hip, thigh, foot and ankle including the star excursion balance test. British Journal of Sports Medicine, 49(10), 649-656. doi: 10.1136/bjsports-2014-094341
Hopkins, W. G., Marshall, S. W., Batterham, A. M., & Hanin, J. (2009). Progressive statistics for studies in sports medicine and exercise science. Medicine & Science in Sports & Exercise, 41(1), 3-13. doi: 10.1249/MSS.0b013e31818cb278
Iguchi, J., Watanabe, Y., Kimura, M., Fujisawa, Y., Hojo, T., Yuasa, Y., ... Kuzuhara, K. (2016). Risk factors for injury among Japanese collegiate players of American football based on performance test results. Journal of Strength and Conditioning Research, 30(12), 3405-3411. doi: 10.1519/JSC.0000000000001429
Lockie, R. G., Farzad, J., Orjalo, A. J., Giuliano, D. V., Moreno, M. R., & Wright, G. A. (2017). A methodological report: adapting the 505 change-of-direction speed test specific to American football. Journal of Strength and Conditioning Research, 31(2), 539-547. doi: 10.1519/JSC.0000000000001490
McLaren, S. J., Weston, M., Smith, A., Cramb, R., & Portas, M. D. (2015). Variability of physical performance and player match loads in professional rugby union. Journal of Science and Medicine in Sport, 19(6), 493-497. doi: 10.1016/j.jsams.2015.05.010
Miller, M. G., Herniman, J. J., Ricard, M. D., Cheatham, C. C., & Michael, T. J. (2006). The effects of a 6-week plyometric training program on agility. Journal of Sports Science & Medicine, 5(3), 459-465. doi: 10.5507/ag.2013.019
Nuzzo, J. L. (2015). The National Football League Scouting Combine from 1999 to 2014: normative reference values and an examination of body mass normalization techniques. Journal of Strength and Conditioning Research, 29(2), 279-289. doi: 10.1519/JSC.0000000000000755
Ojeda, A. H., Rios, L. C., Barrilao, R. G., & Serrano, P. C. (2016). Acute effect of a complex training protocol of back squats on 30-m sprint times of elite male military athletes. Journal of Physical Therapy Science, 28(3), 752-756. doi: 10.1589/jpts.28.752
Paz, G. A., Gabbett, T. J., Maia, M. F., Santana, H., Miranda, H., & Lima, V. (2016a). Physical performance and positional differences among young female volleyball players. Journal of Sports Medicine and Physical Fitness, 57(10), 1282-1289. doi: 10.23736/S0022-4707.16.06471-9
Paz, G. A., Maia, M. F., Farias, D., Santana, H., Miranda, H., Lima, V., & Herrington, L. (2016b). Kinematic analysis of knee valgus during drop vertical jump and forward step-up in young basketball players. International Journal of Sports Physical Therapy, 11(2), 212-219.
Pion, J. A., Fransen, J., Deprez, D. N., Segers, V. I., Vaeyens, R., Philippaerts, R. M., & Lenoir, M. (2015). Stature and jumping height are required in female volleyball, but motor coordination is a key factor for future elite success. Journal of Strength and Conditioning Research, 29(6), 1480-1485. doi: 10.1519/JSC.0000000000000778
Pryor, J. L., Huggins, R. A., Casa, D. J., Palmieri, G. A., Kraemer, W. J., & Maresh, C. M. (2014). A profile of a National Football League team. Journal of Strength and Conditioning Research, 28(1), 7-13. doi: 10.1519/JSC.0000000000000303
Raya, M. A., Gailey, R. S., Gaunaurd, I. A., Jayne, D. M., Campbell, S. M., Gagne, E., … Tucker, C. (2013). Comparison of three agility tests with male servicemembers: Edgren side step test, t-test, and Illinois agility test. Journal of Rehabilitation Research and Development, 50(7), 951-960. doi: 10.1682/JRRD.2012.05.0096
Raymundo, A. C. G., Pernambuco, C. S., Brum, R. D. O., Castro, J. B. P., Oliveira, F. B., Gama, D. R. N., ... Vale, R. G. S. (2018). Evaluation of strength, agility and aerobic capacity in Brazilian football players. Biomedical Human Kinetics, 10(1), 25-30. doi: 10.1515/bhk-2018-0005
Robbins, D. W., & Young, W. B. (2012). Positional relationships between various sprint and jump abilities in elite American football players. Journal of Strength and Conditioning Research, 26(2), 388-397. doi: 10.1519/JSC.0b013e318225b5fa
Robbins, D. W., Young, W. B., Behm, D. G., Payne, W. R., & Klimstra, M. D. (2010). Physical performance and electromyographic responses to an acute bout of paired set strength training versus traditional strength training. Journal of Strength and Conditioning Research, 24(5), 1237-1245. doi: 10.1519/JSC.0b013e3181cc60ec
Sierer, S. P., Battaglini, C. L., Mihalik, J. P., Shields, E. W., & Tomasini, N. T. (2008). The National Football League Combine: performance differences between drafted and nondrafted players entering the 2004 and 2005 drafts. Journal of Strength and Conditioning Research, 22(1), 6-12. doi: 10.1519/JSC.0b013e31815ef90c
Vitale, J. A., Caumo, A., Roveda, E., Montaruli, A., La Torre, A., Battaglini, C. L., & Carandente, F. (2016). Physical attributes and NFL combine performance tests between Italian National League and American Football Players: a comparative study. Journal of Strength and Conditioning Research, 30(10), 2802-2808. doi: 10.1519/JSC.0000000000001377
Williams, V. J., Nagai, T., Sell, T. C., Abt, J. P., Rowe, R. S., McGrail, M. A., & Lephart, S. M. (2015). Prediction of dynamic postural stability during single-leg jump landings by ankle and knee flexibility and strength. Journal of Sport Rehabilitation, 25(3), 266-272. doi: 10-1123/jsr.2015-0001
Yamashita, D., Asakura, M., Ito, Y., Yamada, S., & Yamada, Y. (2016). Physical characteristics and performance of Japanese top-level American football players. Journal of Strength and Conditioning Research, 31(9), 2455-2461. doi: 10.1519/JSC.0000000000001714
Yeargin, S. W., Cahoon, E., Hosokawa, Y., Mensch, J. M., Dompier, T. P., & Kerr, Z. Y. (2017). Environmental conditions and seasonal variables in American youth football leagues. Clinical Pediatrics, 56(13), 1-10. doi: 10.1177/0009922816684603
Young, W. B., James, R., & Montgomery, I. (2002). Is muscle power related to running speed with changes of direction? Journal of Sports Medicine and Physical Fitness, 42(3), 282-288.
Zagatto, A. M., Beck, W. R., & Gobatto, C. A. (2009). Validity of the running anaerobic sprint test for assessing anaerobic power and predicting short-distance performances. Journal of Strength and Conditioning Research, 23(6), 1820-1827. doi: 10.1519/JSC.0b013e3181b3df32
Zhang, S. N., Bates, B. T., & Dufek, J. S. (2000). Contributions of lower extremity joints to energy dissipation during landings. Medicine and Science in Sports and Exercise, 32(4), 812-819. doi: 10.1097/00005768-200004000-00014