ECONOMIA
Recepção: 01 Agosto 2016
Aprovação: 18 Setembro 2017
DOI: https://doi.org/10.4025/actascihumansoc.v39i3.32943
Resumo: Diante do grande percentual de indivíduos que declararam ter ingressado no mercado de trabalho ainda na infância no Brasil, objetivou-se nesta pesquisa verificar o impacto do trabalho infantil no rendimento do trabalho formal do indivíduo na fase adulta. Adicionalmente, esta análise também foi realizada considerando os diferentes níveis de renda dos trabalhadores. Para tanto, foi utilizado o método de momentos generalizados (GMM) e regressão quantílica, a partir de micro-dados da PNAD 2008. As estimativas indicaram que o fato do indivíduo ter trabalhado quando criança afetou negativamente os rendimentos provenientes do trabalho formal na vida adulta e este impacto foi ainda maior considerando o quantil mais elevado de renda. Além disso, constatou-se que boas condições de saúde influenciaram positivamente os níveis de salário.
Palavras-chave: trabalho na infância, capital humano, GMM, regressão quantílica.
Abstract: Considering the large percentage of individuals who claim to have entered the labor market still in its infancy in Brazil, this study aimed to investigate the impact of child labor in the formal labor income of the individual in adulthood. In addition, this analysis also considered the different income levels of workers. The generalized method of moments (GMM) and quantile regression was used for the micro-data from the PNAD 2008. The estimates indicate that child labor negatively affected the income from formal employment in adulthood and this impact was even higher considering the highest income quantile. Furthermore, it was found that good health positively influence wage levels.
Keywords: childhood labor, human capital, GMM, quantile regression.
Introdução
No Brasil, segundo informações da Pesquisa por Amostra de Domicílio [PNAD] (Intituto Brasileiro de Geografia e Estatística [IBGE], 2016) referente ao ano de 1998, 29,7% da população declarou ter-se inserido no mercado de trabalho antes de 14 anos de idade; já em 2008 esse percentual reduziu para 26,8%. Todavia, mesmo diante da queda ao longo da última década, o percentual de trabalho infantil ainda é elevado e mostra que a questão é preocupante. De acordo com Kassouf e Santos (2010), o fato de a criança ingressar precocemente no mercado de trabalho pode reduzir as chances de ela receber boa educação, limitando suas oportunidades de emprego a postos que não exijam qualificação e com baixa remuneração em sua vida adulta.
Já para Schwartzman (2001), ao investigar o cenário do trabalho infantil no Brasil, apesar da absorção precoce de criança e jovens no mercado de trabalho ser observada em todo o país, nas áreas rurais essa questão é ainda mais preocupante, principalmente pelo elevado percentual de crianças envolvidas em atividades agropecuárias. Essa questão é agravada pela falta e/ou condições precárias das escolas nas regiões rurais, o que, juntamente com a necessidade de complementar a renda familiar, gera desmotivação e aumenta a probabilidade de abandono escolar.
Zadra (2008) também argumentou que os efeitos do trabalho infantil são diversos e podem ser observados no desenvolvimento físico, social e educacional. No âmbito físico, as crianças são submetidas a atividades que podem gerar lesões e doenças graves, afetando-as por toda a vida. No que se refere ao aspecto social, o trabalho infantil pode prejudicar a convivência de crianças e jovens com pessoas de sua idade, dificultando o estabelecimento de vínculos e de troca de experiências. Quanto aos efeitos sobre o desenvolvimento educacional, essas crianças podem apresentar dificuldade de acesso e permanência no ambiente escolar devido à jornada de trabalho.
Nesse contexto, o trabalho infantil pode ser considerado um problema social, político e econômico, sobretudo para os países em desenvolvimento. O impacto social estaria relacionado à influência sobre a expectativa de vida das pessoas. Do ponto de vista econômico, o trabalho infantil restringiria o desenvolvimento e crescimento do nível de renda das nações. Já as questões políticas envolvem a formulação de leis mais severas, que reduzam a proporção de crianças e adolescentes inseridos no mercado de trabalho (Basu, 1999).
Existem diversos estudos que buscaram identificar o efeito do trabalho infantil sobre os níveis de rendimento do mercado de trabalho no Brasil. Kassouf (2000) verificou o impacto da entrada precoce no mercado de trabalho sobre os rendimentos e a saúde dos adultos brasileiros, por meio do modelo de regressão linear múltipla e probit, com base na PNAD de 1995. A autora identificou que, quanto mais jovem o indivíduo começa a trabalhar, menor o seu salário na fase adulta. Além disso, verificou que o fato de a pessoa ter começado a trabalhar ainda criança afetou negativamente sua saúde na fase adulta, o que, em parte, pode ser explicado pela participação em atividades que podem causar danos físicos e psicológicos.
Kassouf e Santos (2010) analisaram a influência do trabalho infantil nos rendimentos de adultos brasileiros, por meio do modelo de seleção amostral de Heckman (1979) e de dados da PNAD de 2007. Além disso, verificaram se este impacto é alterado quando se considera o sexo do indivíduo e as regiões brasileiras. Os resultados indicam que o trabalho infantil reduz o rendimento dos indivíduos na fase adulta independentemente do sexo ou região considerada.
O trabalho de Duarte e Silveira Neto (2014) investigou o impacto do trabalho infantil na remuneração do indivíduo na idade adulta para o meio rural brasileiro, utilizando o método de regressão quantílica com correção de seletividade amostral. Ao considerar diferentes faixas de renda, os autores concluíram que o trabalho infantil reduz as chances de melhores remunerações do indivíduo adulto e que este impacto negativo é maior para os trabalhadores pertencentes a menores faixas de renda. Adicionalmente, constataram que, para a região Sul, não houve influência negativa do trabalho infantil para os quantis mais elevados de rendimento.
Dado o exposto, o objetivo deste estudo é verificar o efeito do trabalho infantil sobre o rendimento dos adultos no mercado de trabalho formal brasileiro. Especificamente, buscou-se analisar se o fato de o indivíduo ter trabalhado na infância influencia seu nível salarial, considerando diferentes faixas de rendimento. Além do trabalho infantil e das variáveis de controle comumente utilizadas na literatura, acrescentou-se à pesquisa variáveis relacionadas à saúde, pois, como observado por Hsieh, Hsiao, e Lee (2012) e Gambin (2005), isso pode afetar diretamente o rendimento dos trabalhadores.
O presente trabalho concentrou-se na análise no mercado de trabalho formal, uma vez que crianças e adolescentes que se inserem antecipadamente no mercado de trabalho têm menor acesso à educação e, como consequência, têm menos chances de atuarem em postos formais de trabalho. Além disso, os indivíduos que trabalharam na infância e que participam do mercado formal podem ter menor remuneração. Portanto, verificar os determinantes do rendimento do trabalho formal pode trazer implicações importantes acerca dos danos do trabalho infantil para um indivíduo na fase adulta.
Outra contribuição desta pesquisa é a identificação do impacto do trabalho infantil e dos demais determinantes dos níveis salariais, considerando diferentes faixas de renda dos trabalhadores. Esta questão é relevante, pois o efeito do trabalho infantil e das outras variáveis sobre o rendimento do trabalho formal pode sofrer alterações ao longo da distribuição de renda. Assim, esta análise permite uma melhor compreensão de como o trabalho infantil afeta os diferentes rendimentos, uma vez que seu impacto pode ser distinto dependendo da faixa de renda na qual o indivíduo se encontra na fase adulta. Dessa forma, o estudo ajuda a verificaras consequências do trabalho infantil para o país, sendo importante para a criação e aperfeiçoamento de políticas direcionadas ao tema. Além disso, o presente trabalho contribui também ao levar em consideração questões relacionadas à saúde dos indivíduos dado que esta pode afetar diretamente o seu desempenho no mercado de trabalho e, consequentemente, seu nível salarial.
Este estudo está estruturado em quatro seções, além da introdução. Na primeira seção, tem-se o referencial teórico que deu suporte à análise relativa aos determinantes dos rendimentos no mercado de trabalho formal. A segunda seção abrange a metodologia e a fonte de dados. Na terceira, os resultados são analisados e discutidos. Na quarta seção, são apresentadas as considerações finais sobre o trabalho.
Referencial Teórico
Os referenciais teóricos utilizados na análise do efeito do trabalho infantil sobre o rendimento no mercado de trabalho formal referem-se à teoria do capital humano e à teoria que trata do trabalho infantil proposta por Gary Becker. Segundo Schultz (1961) e Becker (1962), o investimento em capital humano pode ser interpretado como o esforço da pessoa em elevar seu treinamento e/ou anos de escolaridade em determinada área profissional, buscando aumentar sua capacidade produtiva com a ampliação de suas habilidades. Isto ocorreria em decorrência da expectativa do agente econômico de obter uma maior renda no futuro devido à melhor qualificação.
Mincer (1974), ao buscar relacionar a teoria do investimento em capital humano com os modelos formais de teoria econômica, estabeleceu uma equação para determinar o efeito da educação e da experiência no salário dos trabalhadores. O autor propôs a equação, denominada função salário do capital humano, da seguinte forma (Equação 1):

em que:
ln Yi refere-se ao logaritmo do rendimento do trabalho, ou salário do indivíduo;
si refere-se à escolaridade do indivíduo, medido em anos de estudo;
ji representa a idade do indivíduo, podendo ser interpretada como proxy para experiência;
a e b são os parâmetros a serem estimados;
v refere-se ao termo de erro aleatório.
De acordo com Mincer (1974), as pressuposições sobre a equação de rendimentos implicam que maiores níveis de escolaridade e experiência estariam relacionados a maiores salários. Entretanto, a influência da experiência sobre os níveis de rendimento poderia apresentar retornos decrescentes (coeficiente b3 poderia ser negativo), indicando que a relação entre o nível de salário e a experiência teria um formato não linear, com um ponto de máximo próximo à idade média de vida do trabalhador (Berndt, 1996).
Deste modo, verifica-se que a melhoria no capital humano do indivíduo poderia resultar também em uma elevação de sua produtividade marginal, e, assim, em um aumento de seu valor de mercado, permitindo que o agente econômico vislumbre maior renda esperada. Portanto, a teoria do capital humano relaciona o retorno do rendimento do indivíduo às qualidades profissionais associadas à sua escolaridade, anos de treinamento e/ou a outros fatores.
Nesse sentido, o trabalho infantil está diretamente ligado ao capital humano ao considerar a existência de um trade-off entre trabalho e educação. Segundo Ponczek e Souza (2007), o trabalho infantil gera privações em termos de desenvolvimento físico e mental, restringindo o acesso à educação e aos demais meios de acumulação de capital humano, além de gerar desgastes nas condições físicas de crianças e adolescentes. Estes fatores poderiam afetar o rendimento do indivíduo no mercado formal de trabalho na fase adulta.
Ainda no contexto da teoria do capital humano, questões relacionadas à saúde dos indivíduos serão levadas em conta neste trabalho, dado que a saúde pode ser considerada um importante fator para acumulação de capital humano (Grossman & Benham, 1974; Luft, 1975). A relação entre os níveis de rendimento e as condições de saúde pode ser explicada pelas seguintes razões: 1) quanto melhor a saúde do trabalhador, maior será sua produtividade marginal. Por sua vez, o aumento da produtividade irá gerar um benefício positivo no salário; 2) os empregadores levam em conta características individuais dos trabalhadores para tomar decisões sobre o nível salarial quando eles não podem ser informados sobre a produtividade, sendo que a saúde é um dos indicadores mais importantes dessas características; 3) trabalhadores com problemas de saúde, independentemente se sua produtividade é realmente baixa ou não, muitas vezes são tratados discriminadamente no mercado de trabalho, refletindo em salários mais baixos.
Em relação às discussões teóricas sobre o trabalho infantil, Gary Becker destaca que a inserção de uma criança no mercado de trabalho está relacionada ao altruísmo dos pais, à necessidade de se elevar a renda da família, dentre outros fatores sociais e culturais. Neste sentido, o trabalho de Rosenzweig (1981) utiliza a teoria econômica de decisão da família de forma a determinar a alocação entre trabalho, escolaridade e lazer de crianças na Índia. Assim, nesta teoria, o tempo é distribuído entre trabalho, lazer e escola. Os agentes econômicos buscam consumir o máximo de bens que podem obter, todavia, possuem restrições de renda e de tempo. Apesar de lazer ser preferível a trabalho, a escolha por realizar trabalhos ocorre, uma vez que, lazer implica em menos renda para consumir bens de mercado.
Segundo Kassouf (2007), no modelo proposto inicialmente por Gary Becker, a escola é um investimento, possuindo custos no presente e benefícios no futuro. Se a criança não trabalha e tem custos com educação, no presente, terá acesso a uma menor quantidade de bens de consumo. Por outro lado, no futuro, ela terá ganho adicional advindo do maior nível educacional. Deste modo, o trabalho infantil e o tempo na escola dependem da alocação de tempo dos membros da família em outras atividades e da busca por benefícios no futuro, como maiores níveis de educação e consumo. O nível educacional da criança e o tempo gasto com trabalho poderão ser determinados por fatores que afetam os benefícios e os custos da educação ou as restrições enfrentadas pelos membros do domicílio. Portanto, apesar do trabalho infantil gerar benefícios imediatos na forma de renda, ele produz custos significantes, decorrente do fato de a criança não estudar e por reduzir o tempo de lazer da mesma.
Metodologia
Efeitos do trabalho infantil sobre o rendimento do mercado de trabalho formal no Brasil
O modelo empírico utilizado nesta pesquisa, além do trabalho infantil, considera outras variáveis determinantes do rendimento do mercado formal de trabalho. Conforme proposto por Duarte e Silveira Neto (2014) e Hsieh et al. (2012), a equação estimada pode ser representada da seguinte forma (Equação 2):

em que:
lnWi é o logaritmo do rendimento mensal do indivíduo no mercado de trabalho formal;
bi é o vetor de parâmetros a ser estimado; sexo, dummy que assume o valor de 1 se a pessoa é do sexo masculino;
negro, dummy que assume o valor de 1 se a pessoa é negra;
filhos, se o casal tem filhos menores que 14 anos;
rural, dummy que assume o valor de 1 se a pessoa reside em área rural;
totalmor, refere-se ao número total de moradores no domicílio;
anosest, representa os anos de estudo;
Trabinfantil, refere-se a indivíduos da amostra que declararam ter começado a trabalhar com menos de 9 anos de idade;
Trabinfantil2, refere-se a indivíduos da amostra que declararam ter começado a trabalhar com idade entre 10 e 14 anos;
SaúdeBoa refere-se às pessoas que consideraram seu estado de saúde como bom ou muito bom;
SaúdeRuim, representa os indivíduos que consideraram seu estado de saúde como ruim ou muito ruim;idade, refere-se à idade do indivíduo, utilizada como proxy para a experiência e; idade2 é a idade do indivíduo ao quadrado;
CentroOeste, Nordeste, Norte e Sul, referem-se a dummies para controlar efeitos específicos de cada região, sendo a região Sudeste tratada como base; e ,
ei é o termo de erro aleatório.
Para tratar a endogeneidade existente na equação de rendimento do mercado de trabalho formal, causada pela variável representativa do nível educacional, utilizou-se o método de momentos generalizados (GMM), que considera variáveis instrumentais para apenas uma equação com o intuito de corrigir tal problema. Na pesquisa, a variável instrumental utilizada foi o nível de escolaridade da mãe (em anos de estudo). Esta variável pode ser considerada um bom instrumento, pois atende aos pré-requisitos definidos por Wooldridge (2002): é não-correlacionada com o termo de erro e é (parcialmente) correlacionada com a variável considerada endógena em questão – anos de estudo, utilizada como proxy para a variável educação.
Entre os testes analisados no GMM, estão o de endogeneidade e o da validade dos instrumentos. O primeiro testa se a variável considerada endógena pode ser tratada como exógena e sua hipótese nula é de que os regressores podem ser tratados como exógenos. Esse teste segue uma distribuição chi-quadrado com o grau de liberdade igual ao número de regressores testados. O teste de validade de instrumentos é o teste proposto por Stock e Yogo (2005), que construíram uma estatística de teste para definir instrumentos fracos. A hipótese nula é que o conjunto de instrumentos é fraco, baseada na estatística de Cragg e Donald (1993).
Efeitos do trabalho infantil sobre o rendimento do mercado de trabalho formal no Brasil para diferentes níveis de rendimento
Por meio do modelo de regressão quantílica, introduzida por Koenker e Basset Júnior (1978), estimam-se modelos cujos quantis da distribuição condicional da variável explicada são definidos como funções das co-variadas observadas. A técnica de regressão quantílica permite determinar a média condicional de uma variável aleatória como o rendimento em determinados quantis da função de distribuição condicional, permitindo distinguir diferenças de importância e de relação entre variáveis sobre a mediana e sobre os quantis da variável dependente (Cameron & Trivedi, 2009).
No modelo de Regressão Quantílica (RQ) é possível estimar efeitos específicos por quantil que descrevem os efeitos das co-variáveis nas caudas de distribuição e na média. Essa é uma técnica mais flexível e informativa, que fornece informações dos impactos marginais ao longo da distribuição do rendimento do mercado de trabalho formal, diferentemente do método de Mínimos Quadrados Ordinários, que é baseado na média da distribuição condicional. Assim, tem-se que no modelo de RQ os resultados são mais robustos, já que a estimativa é avaliada na mediana, e, portanto, não é influenciada por valores extremos. (Silva, 2013).
Após realizadas as estimativas que mensuram o impacto do trabalho infantil e dos demais determinantes do rendimento no mercado de trabalho formal no Brasil utilizando o método de momentos generalizados (GMM), a regressão quantílica foi estimada, baseada na equação 2. A equação a ser estimada nos diversos pontos da distribuição é dada por (Equação 3):

em que:
Qy(q/X) representa os quantis, ou faixas de erros, para os quais serão calculados os parâmetros de determinação;
X é o vetor das variáveis explicativas no período t incluindo a variável representativa do trabalho infantil;
b é o vetor de coeficientes de determinantes a ser estimado;
e são os erros, ou desvios condicionais, no q-ésimo quantil.
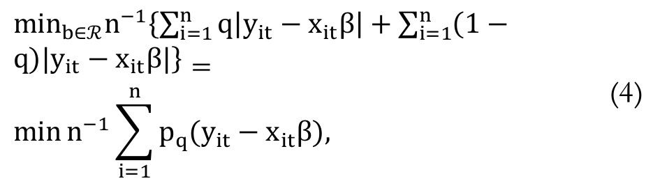
Segundo Koenker e Basset Júnior (1978), a regressão quantílica para o q-ésimo quantil, 0 < q < 1, é definida como qualquer solução para a minimização do problema (Equação 4):

em que pq é denominada função check e pode ser definida como (Equação 5):

Para que os resíduos sejam tratados assimetricamente, a função pq multiplica os resíduos por q se eles forem não negativos e por (q-1), caso o contrário.
O teste de Wald é aplicado para avaliar a diferença estatística entre os coeficientes de cada quantil. Por meio das estimativas da variância e covariância, testa-se a hipótese de igualdade entre pares de coeficientes em cada quantil
e
, correspondendo à mesma variância, mas diferentes quantis p e q (Equação 6):
(6) em que a estatística de Wald segue distribuição χ², com q graus de liberdade, em que q é o número de hipóteses testadas conjuntamente, ou com distribuição F (Hao & Naiman, 2007).
O problema da endogeneidade, observada na variável educação, foi tratado neste trabalho estimando a regressão quantílica em dois estágios, como proposto por Dufrénot, Mignon, & Tsangarides (2010). Foi utilizada a variável endógena no primeiro estágio estimada por least absolute deviation (LAD). Para a estimação do segundo estágio, foi utilizado o valor predito da variável tida como endógena no primeiro estágio. Portanto, verifica-se que a endogeneidade foi ajustada adotando uma função de controle e utilizando um estimador de dois estágios simples de modo a explorar a estrutura parcialmente linear do modelo.
Fonte de dados
Os dados utilizados neste trabalho foram obtidos da PNAD referente ao ano de 2008, sendo disponibilizada pelo Instituto Brasileiro de Geografia e Estatística (IBGE, 2016). Esta PNAD foi escolhida por apresentar de forma direta, no questionário, questões relacionadas à condição de saúde do indivíduo. No entanto, ressalta-se que a saúde é definida pelo próprio entrevistado, o que pode gerar problemas de medida, dado o caráter subjetivo da questão e/ou da resposta. Após a remoção de missings e outliers, a amostra foi constituída por 26.887 pessoas para o Brasil.
Na construção da base de dados da pesquisa, considerou-se como mercado de trabalho formal os trabalhadores que contribuíram para a previdência no ano de referência. A variável total de moradores (Totalmor) foi determinada considerando o número total de pessoas que residiam no domicílio, independentemente de não serem membros da família.
Resultados e discussão
Análise descritiva dos dados
Antes de analisar o impacto do trabalho infantil e dos determinantes do rendimento no mercado de trabalho formal é feita, inicialmente, uma análise descritiva dos dados com o objetivo de apresentar algumas características da amostra selecionada (Tabela 1).

A partir dos resultados da Tabela 1, verifica-se que a renda mensal da população inserida no mercado formal de trabalho foi de R$ 1833,2, porém, o alto desvio padrão encontrado (R$ 2617) indica grande heterogeneidade de renda na amostra analisada.
Quanto às características dos indivíduos, verificou-se que, em 2008, 54,2% da amostra selecionada foi composta por homens e 6,2% por pessoas negras. Além disso, cerca de 21,7% da amostra tinha filho com idade menor de 14 anos no domicílio, e 2,3% residiam no meio rural. A baixa proporção de pessoas residentes no meio rural pode ser explicada pelo fato desta pesquisa considerar na amostra apenas o mercado de trabalho formal, que é menos frequente nessas áreas.
No que tange à educação, observou-se que a média de anos de estudo foi de 12,3 anos, apresentando baixo desvio padrão (3,3 anos). Em relação às variáveis utilizadas para representar o trabalho infantil (trab.infantil1 e trab.infantil2), os dados apontam que 5,5% da amostra declarou ter começado a trabalhar com idade inferior a 9 anos e 26,9% ingressaram no mercado de trabalho formal com idade entre 10 e 14 anos. Dentre os fatores que envolvem a problemática do trabalho infantil, a questão educacional tem grande relevância. Nesse contexto, a pesquisa realizada por Stropasolas (2012) com base nos dados da PNAD de 2006 indicou que a jornada de trabalho infantil, muitas vezes acentuada, não se constituiu um impeditivo para as crianças estudarem, já que cerca de 95% delas trabalhavam e estudavam. Todavia, levando-se em consideração os dados do Índice de Desenvolvimento da Educação Básica [IDEB] (Instituto Nacional de Estudos e Pesquisas Educacionais Anísio Teixeira [INEP], 2016), foi constatado que as regiões com os índices mais elevados de trabalho infantil, Nordeste e Norte, foram aquelas que apresentaram o IDEB mais baixo.
Das variáveis referentes à saúde dos indivíduos, a média observada para variável SaúdeBoa indica que aproximadamente 87% da amostra considerou seu estado de saúde como bom ou muito bom. Já em relação à variável SaúdeRuim, os resultados mostram que cerca de 1,2% da amostra declarou ter uma condição de saúde ruim ou muito ruim.
Quanto às demais características da amostra, verificou-se que a média de pessoas por domicílios foi de 3,7, considerando um desvio-padrão de 1,4 moradores. Além disso, o nível educacional médio da mãe, medido em anos de estudo, foi de 12,8. Já a idade média dos indivíduos na amostra selecionada foi de aproximadamente 37 anos.
A Tabela 2 apresenta a relação entre os níveis de rendimentos dos indivíduos da amostra e a faixa de idade em que começaram a trabalhar. Entre os resultados encontrados, observou-se que cerca de 79,3% dos indivíduos pertencentes à faixa de renda mais elevada declararam ter começado a trabalhar com idade superior a 14 anos, enquanto que apenas 2,6% ingressaram no mercado de trabalho antes dos 10 anos. Além disso, quando consideradas menores faixas de renda, a participação dos indivíduos que começaram a trabalhar precocemente aumenta de forma significativa. Desse modo, essa relação negativa entre o nível de renda e a idade de ingresso no mercado de trabalho sugere que o trabalho infantil pode, de fato, afetar negativamente o salário do indivíduo na vida adulta.

Determinantes do rendimento no mercado de trabalho formal
A Tabela 3 mostra o resultado do modelo estimado por GMM e os testes empregados na estimação. Pelo resultado da estatística do teste de Wald, rejeita-se a hipótese nula de insignificância conjunta das variáveis. Em relação ao teste de endogeneidade, verifica-se que a variável instrumentada (educação) é realmente endógena, já que a hipótese nula é rejeitada em nível de 1% de significância, indicando que o regressor tido como endógeno não pode ser tratado como exógeno.

Quanto ao teste de validade dos instrumentos, rejeitou-se a hipótese nula de que o instrumento é fraco, indicando que o instrumento utilizado na estimação do modelo, educação da mãe, é válido. Ademais, o modelo estimado foi corrigido para heterocedasticidade por meio da estimação dos erros padrão pelo procedimento de Newey-west.
Com base na Tabela 3, pode-se observar que, de acordo com o nível de significância, a maioria dos coeficientes estimados foram estatisticamente significativos a 1, 5 e 10%, com exceção da variável trabalho infantil até 9 anos de idade (Trab.Infantil1) e a dummy representativa da região Norte. Ressalta-se também que os sinais encontrados foram condizentes com a teoria e a literatura sobre o tema.
O resultado do coeficiente para a variável sexo indicou que indivíduos do sexo masculino inseridos no mercado de trabalho formal recebem, em média, maiores rendimentos que as mulheres. Conforme Santos, Fontes, Bastos e Lima (2010), a estimativa para esta variável demonstra que, apesar de a mulher apresentar maior média de anos de estudo, estas obtêm rendimentos inferiores aos dos homens. Relação semelhante foi encontrada para a variável ‘filhos’, indicando que a presença de filhos com idade menor de 14 anos afeta positivamente os níveis salariais dos brasileiros. Quanto à variável ‘raça’, verificou-se que o fato de a pessoa ser negra está associado a uma redução de 12,9% em seus salários, se comparados aos de indivíduos não negros.
Para a variável ‘rural’ verificou-se que foi estatisticamente significativa em nível de 1%,e constatou-se que indivíduos que residem no meio rural têm, em média, rendimentos menores do que indivíduos do meio urbano. Este resultado foi corroborado por Kassouf e Santos (2010), que analisaram a consequência do trabalho infantil no rendimento futuro do trabalho dos brasileiros, encontrando maiores salários para área urbana. O número total de moradores mostrou-se negativamente relacionado com o rendimento dos trabalhadores, evidenciando que o aumento do número de pessoas no domicílio está associado a uma redução de 0,083% nos salários do mercado formal.
Em se tratando da variável referente aos anos de estudo, utilizada como proxy para representar o nível de escolaridade, observou-se que, em média, quanto maior forem os anos de estudo do indivíduo, maior será seu rendimento, mantendo constantes os outros atributos. Este comportamento está coerente, pois, como proposto pela teoria do capital humano, os investimentos em educação elevam a capacidade produtiva dos trabalhadores, acarretando maiores estoques de conhecimentos e habilidades, o que,consequentemente, resulta em salários mais elevados. Resultado similar foi encontrado por Figueiredo Neto (1998) e Santos et al. (2010). Todavia, é importante destacar que, como argumentado por Santos, Bastos, e Rocha (2008), os retornos da educação para o mercado de trabalho como um todo apresentaram redução contínua entre 2002 e 2006, indicando que, embora o nível educacional seja de suma importância para explicar a renda, o seu efeito nos últimos anos reduziu.
Em relação aos coeficientes estimados para as variáveis de interesse da pesquisa, ‘trabinfantil1’ e ‘trabinfantil2’, utilizadas para captar o impacto do trabalho infantil no nível de rendimentos, apenas a variável referente aos indivíduos que ingressaram no mercado de trabalho formal com idade entre 10 e 14 anos (trabinfantil2) foi estatisticamente significativa, apresentando sinal negativo. Este resultado indica que o fato do indivíduo ingressar precocemente no mercado de trabalho esteve associado, em média, a menores salários em sua fase adulta. Esse resultado é corroborado pelos trabalhos de Duarte e Silveira Neto (2014), Kassouf e Santos (2010) e Kassouf (2000). Assim como argumentado pelos autores, o trabalho infantil pode reduzir as chances de a criança receber boa educação. Como consequência, o indivíduo pode ser privado de acumular capital humano necessário para melhor aproveitar as oportunidades de emprego em postos que exigem maior qualificação e dão maior remuneração em sua fase adulta. Contudo, ao analisar um panorama mais recente do trabalho infantil no Brasil, Carvalho (2008) argumenta que há casos em que a privação de capital humano na infância não pode ser atribuída exclusivamente ao trabalho infantil, mas decorre também pelas condições precárias do setor educacional de determinada região, caracterizado pela ausência ou péssimas condições das escolas, fato este comum em grande parte do meio rural brasileiro. Considerando este cenário, para a família, a opção pelo trabalho de crianças e adolescentes pode tornar-se alternativa razoável, no sentido de trazer benefícios monetários para o domicílio e evitar a ociosidade desses indivíduos. Este fato evidencia que, conforme apontado por Schwartzman (2001), a deficiência escolar, que posteriormente afetará o rendimento na fase adulta, pode estar muito mais associada às deficiências do sistema educacional do que à real necessidade do ingresso no mercado de trabalho pelos jovens e crianças.
Quanto às condições de saúde dos indivíduos, representadas pelas variáveis ‘SaúdeBoa’ e ‘SaúdeRuim’, os coeficientes estimados indicaram que os rendimentos dos indivíduos que declararam ter saúde boa ou muito boa foram, em média, 10,7% superiores aos dos indivíduos com saúde regular. Em contrapartida, para os indivíduos associados à saúde ruim ou muito ruim, os rendimentos obtidos foram inferiores aos demais. Resultados semelhantes foram obtidos por O’Donnel, Rosati e Van Doorlaer (2005), Contoyannis e Rice (2001), Gambin (2005). Um dos fatores que podem explicar essa relação positiva entre saúde e rendimento é que o aumento, ou maior qualidade, da saúde do indivíduo gera ganhos de produtividade que, por sua vez, podem ser refletidos em aumento do nível salarial.
Para tentar controlar os efeitos de características específicas de cada região sobre os níveis de rendimento do mercado de trabalho formal foram acrescentadas as dummies Centro, Nordeste, Norte, Sul, tendo como base a região Sudeste. Pelos coeficientes estimados, observou-se que o rendimento das regiões Nordeste e Norte foram, em média, relativamente menores que os níveis de rendimentos da região Sudeste, sendo que a região Nordeste esteve associada a salários 14,1% menores. Já a região Centro Oeste foi a única que apresentou coeficiente positivo e significativo, indicando que a remuneração média do mercado de trabalho formal é cerca de 17,3% superior à da região Sudeste. Ressalta-se ainda que a dummy representativa da região Sul não foi estatisticamente significativa, não podendo fazer inferências sobre as diferenças salariais desta região em comparação com o Sudeste.
Por fim, o resultado para a variável ‘idade’, mostrou que, conforme o esperado, a idade eleva, em média, o rendimento dos indivíduos inseridos no mercado de trabalho formal em 0,064%. Além disso, com base no sinal da idade ao quadrado, observou-se que o retorno sobre a experiência apresenta um ponto de máximo a partir do qual o retorno da renda é decrescente, refletindo a depreciação do capital humano ao longo do ciclo de vida.
Determinantes do rendimento no mercado de trabalho formal por níveis de rendimento
Após a estimação da equação 2 pelo método de GMM, utilizou-se o método de regressão quantílica para verificar o efeito do trabalho infantil e das demais variáveis explicativas sobre o rendimento do mercado de trabalho formal no Brasil, considerando as diferentes faixas de rendimento. Foram utilizados os quantis 0,25; 0,50 e 0,75 para representar níveis salariais baixo, médio e alto, respectivamente (Tabela 4).

A Tabela 5 apresenta o teste de Wald para igualdade dos parâmetros. O resultado obtido para a estatística F foi 150,92, sendo estatisticamente significativo a 1%, rejeitando-se, assim, a hipótese nula de que os parâmetros estimados são iguais entre os diferentes quantis. Desse modo, verifica-se que os efeitos das variáveis explicativas selecionadas são de fato heterogêneos e podem alterar de acordo com o nível de rendimento.

De forma geral observou-se que a significância e os sinais dos coeficientes não apresentaram mudanças expressivas em relação às estimativas obtidas por meio do método de momentos generalizados (GMM). Para a variável ‘anos de estudo’, foi possível verificar maior impacto da escolaridade sobre níveis de rendimento mais elevados, quantil 0,75. Conforme mostrado na Tabela 4, quanto maior a média de anos de estudo, os salários dos indivíduos agrupados nos quantis 0,25, 0,50 e 0,75, aumentam em 6,29, 8,33 e 9,42%, respectivamente[1]. Comportamento semelhante foi obtido para as variáveis ‘Negro, Filhos, Rural, Totalmor’, demonstrando que estes determinantes do rendimento exercem influência ainda maior quando se considera níveis de salários mais elevados. Já em relação à variável sexo, além de positiva e estatisticamente significativa, apresentou o maior coeficiente em todos os níveis de rendimentos considerados, indicando uma expressiva discriminação de gênero no mercado de trabalho formal brasileiro, principalmente para o grupo de indivíduos com maiores níveis salariais.
Quanto às variáveis representativas do trabalho infantil, verificou-se que, diferentemente da estimativa por GMM, o fato do indivíduo ter começado a trabalhar antes dos 10 anos (trab.infantil1) afetou estatisticamente o nível de rendimento na fase adulta, assim como a variável referente à entrada no mercado de trabalho entre 10 e 14 anos (trab.infantil2). Além disso, os resultados indicaram que o trabalho infantil afetou negativamente os rendimentos em todos quantis, porém, apresentando diferentes impactos de acordo com o nível de renda. O trabalho de Duarte e Silveira Neto (2014) também identificou que a influência negativa do trabalho infantil não foi uniforme quando se considerou diferentes faixas de rendimento. Entretanto, ao contrário do resultado obtido por tais autores, no presente estudo observou-se que, para níveis de renda mais elevados (quantil 0,75), o efeito desta variável foi maior. Uma possível explicação para tal comportamento é que as menores faixas de renda podem estar associadas a postos de trabalho menos qualificados que exigem menor capital humano acumulado e, portanto, o impacto negativo do trabalho infantil pode ser menor em comparação a níveis mais elevados de renda, relacionados a postos mais qualificados de trabalho.
De modo geral, para as faixas de renda 0,25, 050 e 0,75, o fato do indivíduo ter trabalhado antes dos 10 anos esteve associado a rendimentos 19, 23,7 e 28% menores, respectivamente.
Os resultados encontrados paras as variáveis ‘SaudeBoa’ e ‘SaudeRuim’ foram estatisticamente significativos em todos os quantis analisados e apresentaram sinais semelhantes aos obtidos pela estimativa do modelo GMM. Contudo, identificou-se que há diferenças no impacto da saúde quando as diferentes faixas de salários foram consideradas. O coeficiente estimado para variável que indica que o indivíduo que tem boa saúde apresentou maior impacto no quantil mais elevado (0,75), indicando que o fato do trabalhador ter boa saúde esteve relacionado, em média, a um salário 19,8% maior. Os autores Hsieh et al. (2012) identificaram resultado semelhante ao investigarem o impacto das condições de saúde sobre os salários no mercado de trabalho em Taiwan. Quanto à variável ‘SaudeRuim’, os resultados obtidos demonstraram um comportamento diferente, sendo menor o impacto deste coeficiente para o quantil de renda mais elevado. Este resultado não chega a ser surpreendente, pois, espera-se que, ao receber salários mais elevados, o indivíduo tenha maiores condições financeiras de cuidar de sua saúde, reduzindo, deste modo, o impacto negativo que esta variável poderia ter sobre o rendimento total.
Em se tratando das diferenças regionais captada pelas dummies referentes a cada região, verificou-se que para o Centro-Oeste e Sul os coeficientes estimados apresentaram-se positivos em todos os quantis de renda, porém, apenas os resultados para a primeira região foram estatisticamente significativos. Entre os quantis analisados, observou-se que a maior diferença regional foi observada no nível salarial mais elevado (quantil 0,75), indicando que o rendimento da região Centro-Oeste foi em média 30,8% superior ao do Sudeste. Para a região Nordeste, a maior diferença é observada no grupo de indivíduos com menor rendimento (quantil 0,25), demonstrando que esta região apresenta, em média, salários 17,9% inferiores ao da região Sudeste. Por fim, no que tange a região Norte, os resultados foram estatisticamente significativos apenas para o quantil 0,25 e indicaram que os rendimentos desta região foram, em média, menores que o da região Sudeste. Portanto, estas evidências sugerem condições de trabalhos distintas entre as regiões do país.
Conclusão
Diante do grande percentual de indivíduos que declararam ter ingressado no mercado de trabalho antes de 14 anos de idade, cerca de 32% em 2008, objetivou-se nesta pesquisa verificar o impacto do trabalho infantil no rendimento do trabalho formal do indivíduo na fase adulta.
Foi verificado que a criança que se inseriu no mercado de trabalho antes dos 14 anos de idade apresentou menores rendimentos provenientes do trabalho formal na vida adulta e este efeito foi ainda maior considerando o quantil mais elevado de renda. Além disso, conforme proposto pela teoria do capital humano, maiores níveis educacionais estão associados a salários mais elevados. Outro resultado importante deste estudo é que melhores condições de saúde têm impacto positivo e expressivo sobre os níveis de salários, especialmente para os trabalhadores do nível mais elevado de rendimento.
De modo geral, conclui-se que, apesar de o trabalho infantil ter reduzido de maneira significativa nos últimos anos, o percentual de crianças no mercado de trabalho ainda é grande, contribuindo para que menores níveis de renda sejam observados no futuro. Neste sentido, políticas públicas sociais e econômicas devem ser formuladas para garantir a permanência da criança na escola, permitindo acumulação de capital humano capaz de garantir a ela acesso a postos de trabalho com melhor remuneração no mercado formal. Ao alcançar a redução ou até mesmo a erradicação do trabalho infantil, no longo prazo, poderá haver elevação de renda, gerando ganhos de bem-estar social e econômico ao Brasil.
Apesar de o país ter realizado alguns esforços para amenização deste quadro nos últimos anos, como a inserção no Programa Internacional para a Erradicação do Trabalho Infantil – IPEC, coordenado pela Organização Internacional do Trabalho – OIT (2014), o cenário atual do combate ao trabalho infantil aponta para estagnação. Nesse sentido, o maior conhecimento quanto as causas e consequências deste fenômeno, como as apresentadas ao longo do trabalho, é fundamental para a elaboração de medidas complementares que poderiam amenizar o quadro. Os resultados obtidos aqui sugerem que políticas relacionadas a melhorias do sistema nacional de saúde, a políticas de apoio ao meio rural e à redução das desigualdades raciais, podem ter impacto positivo sobre o rendimento dos trabalhadores no mercado de trabalho e, consequentemente, proporcionar maiores níveis de crescimento econômico.
Como sugestão para trabalhos futuros, acredita-se ser relevante ampliar a análise para verificar o efeito do trabalho infantil discriminando a amostra para área urbana e rural. Dada a discrepância entre a proporção de crianças que trabalham nestas áreas, os resultados poderiam ter implicações relevantes no contexto de políticas públicas.
Referências
Basu, K. (1999). Child labor: cause, consequence, and cure, with remarks on international labor standards. Journal of Economic Literature, 37(3), 1083-1119.
Becker, G. S. (1962). Investiment in human capital: a theorical analysis. Journal of Political Economy, 70(5), 9-49.
Berndt, E. R. (1996). The practice of econometrics: classic and contemporary. Massachusetts: Addison-Wesley.
Cameron, A. C., & Trivedi, P. K. (2009). Microeconometrics Using Stata. College Station, TX: Stata Press.
Carvalho, I. M. M. (2008). O trabalho infantil no Brasil contemporâneo. Caderno CRH, 21(54), 551-569.
Contoyannis, P., & Rice, N. (2001). The impact of health on wages: evidence from the British Household Survey. Empirical Economics, 26(1), 599-622.
Cragg, J. G., & Donald, S. G. (1993). Testing identifiability and specification in instrumental variable models, Econometric Theory, 9(1), 222-240.
Duarte, G. B., & Silveira Neto, R. (2014). Trabalho infantil e a renda na vida adulta: uma análise para o meio rural brasileiro. Revista Econômica do Nordeste, 45(1), 78-79.
Dufrénot, G., Mignon, V., & Tsangarides, C. (2010). The trade-growth nexus in the developing countries: a quantile regression approach. Review of World Economics, 146(4),731-761.
Figueiredo Neto, L. F. (1998). Determinantes da participação no mercado de trabalho e dos rendimentos e retornos aos investimentos em capital humano. Análise Econômica, 16(9), 67-86.
Gambin, L. M. (2005). The impact of health on wages in Europe – does gender matter? York, UK: HEDG.
Grossman, M., & Benham, L. (1974). Health, hours and wages. London, UK: Macmillan and Co.
Hao, L., & Naiman, D. Q. (2007). Quantile regression. Thousand Oaks, CA: Sage Publications.
Heckman, J. J. (1979). Sample selection bias as a specification error. Econometrica, 45(1), 153-161.
Hsieh, W., Hsiao, P., & Lee, J. (2012). The impact of health status on wages – evidence from the quantile regression. Journal of International and Global Economic Studies, 1(5), 35-56.
Instituto Brasileiro de Geografia e Estatística [IBGE]. (2016). Microdados da Pesquisa Nacional por Amostra de Domicílios (PNAD). Recuperado de http://www.ibge.gov.br//
Instituto Nacional de Estudos e Pesquisas Educacionais Anísio Teixeira [INEP]. (2016). Índice de Desenvolvimento da Ecucação Básica (IDEB). Recuperado de http://ideb.inep.gov.br//
Kassouf, A. L. (2000). O Efeito do Trabalho Infantil para os Rendimentos e a Saúde dos Adultos. In Anais do XXII Encontro de Econometria. Campinas, SP: Sociedade Brasileira de Econometria.
Kassouf, A. L. (2007). O que conhecemos sobre o trabalho infantil? Nova Economia, 17(2), 323-350.
Kassouf, A. N., & Santos, M. J. (2010). Consequência do trabalho infantil no rendimento futuro do trabalho dos brasileiros: diferenças regionais e de gênero. In Anais do 38º Encontro Nacional de Economia – ANPEC, Salvador, Bahia (p. 1-18). Salvador, BA.
Koenker, R., & Basset Júnior, G. (1978). Regression quantile. Econometrica, 46(1), 33-50.
Luft, H. (1975). The impact of poor health on earnings. Review of Economics and Statistics, 57(1), 43-57.
Mincer, J. (1974). Schooling, experience, and earnings. New York, NY: National Bureau of Economic Research.
O’Donnel, O.; Rosati, F. C., & Van Doorlaer, E. (2005). Health effects of child work: Evidence from rural Vietnam. Journal of Population Economics, 1(18), 437-467.
Organização Internacional do Trabalho [OIT]. (2014). Recuperado de http://www.ilo.org/brasilia/lang--pt/index.htm
Ponczek, V., & Souza, A. P. (2007). The causal effect of family size on child labor and education. SãoPaulo, SP: Fundação Getúliio Vargas.
Rosenzweig, M. (1981). Household and non-household activities of youths: issues of modelling, data and estimation strategies. Genebra, SZ: International Labour Office.
Santos, G. C., Bastos, P. M. A. & Rocha, L. E. V. (2008). Determinantes da renda do trabalho no Brasil no período de 2002 a 2006. In Anais do 46 Congresso da Sociedade Brasileira de Economia, Administração e Sociologia Rural- SOBER, Rio Branco, Acre (p. 1-21). Rio Branco, AC.
Santos, G. C., Fontes, R. M. O., Bastos, P. M. A., & Lima, J. E. (2010). Mercado de trabalho e rendimento no meio rural brasileiro. Economia Aplicada, 14(3), 355-379.
Schwartzman, S. (2001). Trabalho infantil no Brasil. Brasília, DF: Organização Internacional do Trabalho.
Silva, N. R. (2013). Demanda de energia elétrica residencial no Brasil segundo os quantis de consumo (Dissertação de Mestrado). Universidade Federal de Viçosa, Viçosa, MG.
Stock, J. H., & Yogo, M. (2005). Testing for weak instruments in linear IV regression. In D. W. K. Andrewsand, & J. H. Stock (Ed.), Identification and inference for econometric models: essays in honor of Thomas Rothenberg (p. 80-108). Cambridge, UK: Cambridge University Press.
Stropasolas, V. L. (2012). Trabalho infantil no campo: do problema social ao objeto sociológico. Revista Latino-americana de Estudos do Trabalho, 27(17), 249-286.
Wooldridge, J. M. (2002). Econometric analysis of cross section and panel data. London, UK: MIT Press.
Schultz, T. W. (1961). Investiment in human capital. American Economic Review, 51(1), 1-17.
Zadra, C. C. P. (2008). Trabalho infantil: contextualização e análise comparativa das avaliações do programa de erradicação do trabalho infantil. (Dissertação de Mestrado). Universidade Federal do Paraná, Curitiba, PR.
Notas
Autor notes
carlos.freitas87@gmail.com (Error 4: El correo no tiene un formato correcto)